Characterization and Expression of Genes Encoding Three Small Heat Shock Proteins in Sesamia inferens (Lepidoptera: Noctuidae)
Abstract
:1. Introduction
2. Results and Discussion
2.1. Results
2.1.1. Sequence Analysis of S. inferens Small Heat Shock Proteins (sHSPs) Genes

2.1.2. Structural Prediction of S. inferens sHSPs

2.1.3. Phylogenetic Analysis of S. inferens sHSPs

2.1.4. Genomic Structure of S. inferens sHSP Genes

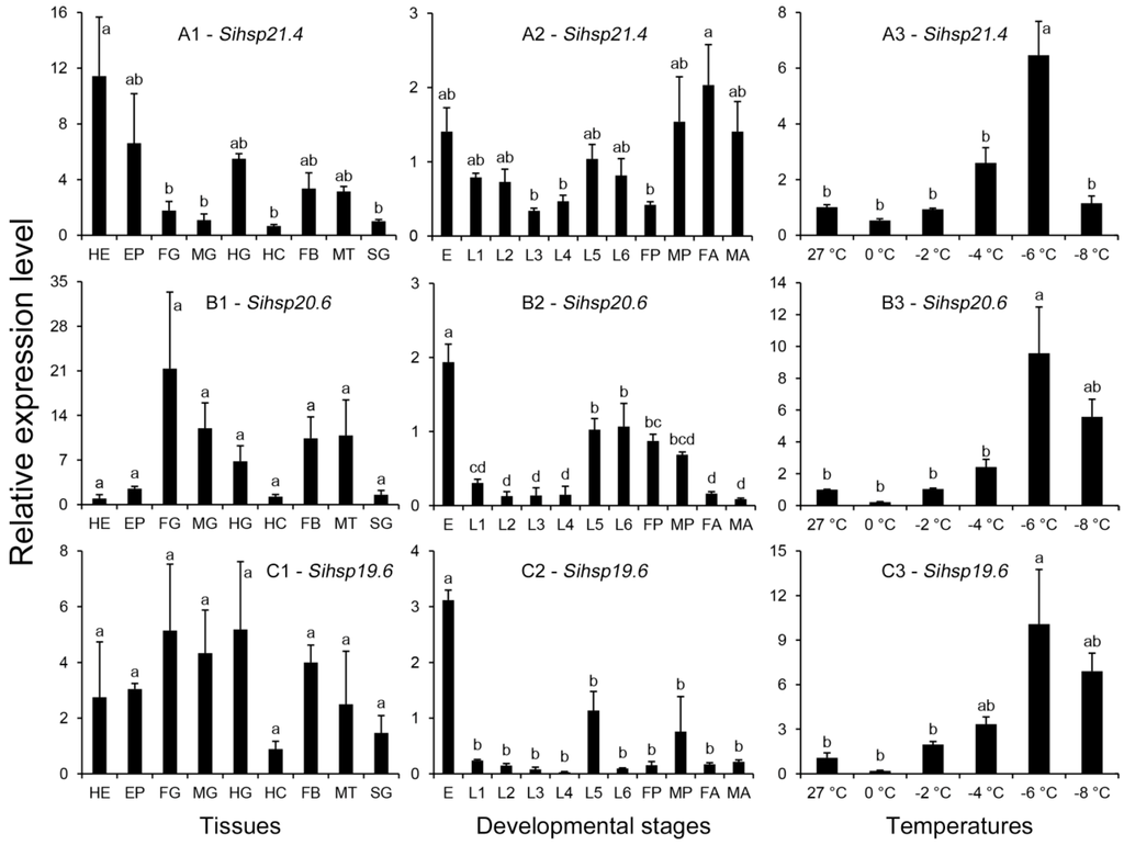
2.1.5. Expression of Genes Encoding sHSPs in S. inferens Tissues
2.1.6. Expression of Genes Encoding sHSPs in Different Developmental Stages

2.1.7. Expression of Genes Encoding sHSPs in Response to Cold Temperatures
2.2. Discussion
3. Experimental Section
3.1. Insects
3.2. Reverse Transcription Polymerase Chain Reaction (PCR) and Rapid-Amplification of cDNA Ends (RACE)
| Primer Name | Primer Sequences (5'–3') | Amplicon Size (bp) | Purpose |
|---|---|---|---|
| hsp21.4DP-F | ATGGARGAAGAAATGASAARTT | 241 | Intermediate fragment amplification |
| hsp21.4DP-R | TCGACHGTCTTVACRACGAT | ||
| hsp20.6DP-F | CCTMGCCGYCTGDTGGAYCARC | 467 | |
| hsp20.6DP-R | TCCTTGATCTCCTTGCGVACGG | ||
| hsp19.6DP-F | AAGTBAACCTDGACGTGCAGCATT | 296 | |
| hsp19.6DP-R | TTTCACCTCCTTGCGCACTGGT | ||
| hsp21.4RACE-5' | CTTCAATGACTTGCCGTCGCCCTC | 418 | Rapid-amplification of cDNA ends (RACE) |
| hsp21.4RACE-3' | AGCACAGTGACAGCAGACAGTTGGC | 1062 | |
| hsp20.6RACE-5' | ATTCCACGGACTCGGGTTCCACGC | 510 | |
| hsp20.6RACE-3' | TTGCTGCTGGACCTTTGCTGACGA | 610 | |
| hsp19.6RACE-5' | TCTGGTAAAGCGTAGCGGCGGGT | 502 | |
| hsp19.6RACE-3' | GGCAGTTTACCCGCCGCTACGCT | 327 | |
| hsp21.4cDNA-F | ATGGGGAGTACTGCCTTG | 963 | Verification of open reading frame (ORF) |
| hsp21.4cDNA-R | TGCCTGAATACATCCCTTA | ||
| hsp20.6cDNA-F | AAGATGTCTCTGTTGCCA | 559 | |
| hsp20.6cDNA-R | CACTTTACTTCTTTTCCTTT | ||
| hsp19.6cDNA-F | GTGCGAAACAAGTACAAAGC | 692 | |
| hsp19.6cDNA-R | CAAAGAGAACACTGAAAGGAAT | ||
| hsp21.4DNA1-F | TGTCTGCTGTAGAGTGCGTAG | 372 | Verification of genome |
| hsp21.4DNA1-R | TTGAACTCGCCCCTGATC | ||
| hsp21.4DNA2-F | TGGGACAGCTTGAACTCG | 1529 | |
| hsp21.4DNA2-R | AGTGCTTCTGGATGGGGA | ||
| hsp21.4DNA3-F | CGACAGGAACATCCCCATCCAGAA | 697 | |
| hsp21.4DNA3-R | TATTGACATCTAAAACATTCGTAAC | ||
| hsp20.6DNA-F | AAGATGTCTCTGTTGCCA | 559 | |
| hsp20.6DNA-R | CACTTTACTTCTTTTCCTTT | ||
| hsp19.6DNA-F | GTGCGAAACAAGTACAAAGC | 692 | |
| hsp19.6DNA-R | CAAAGAGAACACTGAAAGGAAT |
3.3. Characterization of Genomic DNA
3.4. Tissues Samples
3.5. Samples Representing Developmental Stages and Sex
3.6. Cold Tolerance Samples
3.7. Quantitative Real-Time PCR
3.8. Data Analysis
| Gene | Primer Sequences (5'–3') | Amplicon Size (bp) | PCR Efficiency | Tm (°C) | R2 |
|---|---|---|---|---|---|
| hsp21.4qRT-F | TGGCTGACAGTGGTCTGAAAA | 196 | 91.6% | 60.1 | 0.996 |
| hsp21.4qRT-R | GTGGTGCTGCTAGTTGTGCTT | ||||
| hsp20.6qRT-F | GCATCAAGACTGACGGAGATAAG | 111 | 99.5% | 60.1 | 0.994 |
| hsp20.6qRT-R | GTTTGCCTTCCACCACAATG | ||||
| hsp19.6qRT-F | CGAAGGTAAACACGAGGAGAAG | 132 | 102.7% | 58.2 | 0.970 |
| hsp19.6qRT-R | GTCAAAACGCCGTCAGAAGA | ||||
| RPS13qRT-F | TGGTAAGGGTATCTCCCAATCA | 75 | 93.5% | 60.1 | 0.994 |
| RPS13qRT-R | TCGTCAGCAGTCAGTTTCAGC | ||||
| RPS20qRT-F | CTCATCAATGGAGCCAAGAAAC | 162 | 102.0% | 60.1 | 0.986 |
| RPS20qRT-R | GTGCAGGTCAATGACACGCT | ||||
| EF1qRT-F | GTCGCTTTCGTACCCATTTCT | 86 | 97.4% | 56.6 | 0.994 |
| EF1qRT-R | ACAGTCCATCCCTTGAACCAG | ||||
| 18SqRT-F | CAACACGGGAAATCTCACCA | 115 | 107.3% | 55.6 | 0.996 |
| 18SqRT-R | GACAAATCGCTCCACCAACTAA | ||||
| GAPDHqRT-F | GGTCATCTCCAACGCTTCCT | 166 | 95.0% | 56.6 | 0.993 |
| GAPDHqRT-R | ACGTCCATCACGCCACAAT | ||||
| TUBqRT-F | TTGCTACAGAACCCTCAAAGTGC | 159 | 104.4% | 59.2 | 0.985 |
| TUBqRT-R | AGACGTGGGAACGGAACCAT |
4. Conclusions
Acknowledgments
Author Contributions
Conflicts of Interest
References
- Tissières, A.; Mitchell, H.K.; Tracy, U.M. Protein synthesis in salivary glands of Drosophila melanogaster: Relation to chromosome puffs. J. Mol. Biol. 1974, 84, 389–398. [Google Scholar] [CrossRef] [PubMed]
- De Jong, W.W.; Caspers, G.J.; Leunissen, J.A. Genealogy of the α-crystallin-small heat-shock protein superfamily. Int. J. Biol. Macromol. 1998, 22, 151–162. [Google Scholar]
- Franck, E.; Madsen, O.; van Rheede, T.; Ricard, G.; Huynen, M.A.; de Jong, W.W. Evolutionary diversity of vertebrate small heat shock proteins. J. Mol. Evol. 2004, 59, 792–805. [Google Scholar] [CrossRef] [PubMed]
- Stromer, T.; Fischer, E.; Richter, K.; Haslbeck, M.; Buchner, J. Analysis of the regulation of the molecular chaperone Hsp26 by temperature-induced dissociation: The N-terminal domail is important for oligomer assembly and the binding of unfolding proteins. J. Biol. Chem. 2004, 279, 11222–11228. [Google Scholar] [CrossRef] [PubMed]
- Gusev, N.B.; Bogatcheva, N.V.; Marston, S.B. Structure and properties of the small heat shock proteins (sHsp) and their interaction with cytoskeleton proteins. Biochemistry 2002, 67, 511–519. [Google Scholar] [PubMed]
- Horwitz, J. α-Crystallin can function as a molecular chaperone. Proc. Natl. Acad. Sci. USA 1992, 89, 10449–10453. [Google Scholar] [CrossRef] [PubMed]
- Haslbeck, M.; Franzmann, T.; Weinfurtner, D.; Buchner, J. Some like it hot: The structure and function of small heat-shock proteins. Nat. Struct. Mol. Biol. 2005, 12, 842–846. [Google Scholar] [CrossRef] [PubMed]
- Horwitz, J. α-Crystallin. Exp. Eye Res. 2003, 76, 145–153. [Google Scholar] [CrossRef] [PubMed]
- Garrido, C.; Paul, C.; Seigneuric, R.; Kampinga, H.H. The small heat shock proteins family: The long forgotten chaperones. Int. J. Biochem. Cell B 2012, 44, 1588–1592. [Google Scholar] [CrossRef]
- Haslbeck, M. sHsps and their role in the chaperone network. Cell Mol. Life Sci. 2002, 59, 51–60. [Google Scholar] [CrossRef]
- Quinlan, R. Cytoskeletal competence requires protein chaperones. Prog. Mol. Subcell. Biol. 2002, 28, 219–234. [Google Scholar] [PubMed]
- Sun, Y.; MacRae, T.H. Small heat shock proteins: Molecular structure and chaperone function. Cell Mol. Life Sci. 2005, 62, 2460–2476. [Google Scholar] [CrossRef] [PubMed]
- Tsvetkova, N.M.; Horvath, I.; Torok, Z.; Wolkers, W.F.; Balogi, Z.; Shigapova, N.; Crowe, L.M.; Tablin, F.; Vierling, E.; Crowe, J.H.; et al. Small heat shock proteins regulate membrane lipid polymorphism. Proc. Natl. Acad. Sci. USA 2002, 99, 13504–13509. [Google Scholar] [CrossRef] [PubMed]
- Arrigo, A.P.; Simon, S.; Gibert, B.; Kretz-Remy, C.; Nivon, M.; Czekalla, A.; Guillet, D.; Moulin, M.; Diaz-Latoud, C.; Vicart, P. Hsp27 (HspB1) and α B-crystallin (HspB5) as therapeutic targets. FEBS Lett. 2007, 581, 3665–3674. [Google Scholar] [CrossRef] [PubMed]
- Gu, J.; Huang, L.X.; Shen, Y.; Huang, L.H.; Feng, Q.L. Hsp70 and small Hsps are the major heat shock protein members involved in midgut metamorphosis in the common cutworm, Spodoptera litura. Insect Mol. Biol. 2012, 5, 535–543. [Google Scholar] [CrossRef]
- Hayward, S.A.L.; Pavlidesb, S.C.; Tammariellob, S.P.; Rineharta, J.P.; Denlinger, D.L. Temporal expression patterns of diapause associated genes in flesh fly pupae from the onset of diapause through post-diapause quiescence. J. Insect Physiol. 2005, 51, 631–640. [Google Scholar] [CrossRef] [PubMed]
- Huang, L.H.; Kang, L. Cloning and inter-specific altered expression of heat shock protein genes in two leaf miner species in response to thermal stress. Insect Mol. Biol. 2007, 16, 491–500. [Google Scholar] [CrossRef] [PubMed]
- Jakob, U.; Buchner, J. Assisting spontaneity: The role of Hsp90 and small Hsps as molecular chaperones. Trends Biochem. Sci. 1994, 19, 205–211. [Google Scholar] [CrossRef] [PubMed]
- Lu, M.X.; Hua, J.; Cui, Y.D.; Du, Y.Z. Five small heat shock protein genes from Chilo suppressalis: Characteristics of gene, genomic organization, structural analysis, and transcription profiles. Cell Stress Chaperones 2014, 19, 91–104. [Google Scholar] [CrossRef] [PubMed]
- Rinehart, J.P.; Li, A.Q.; Yocum, G.D.; Robich, R.M.; Hayward, S.A.L.; Denlinger, D.L. Up-regulation of heat shock proteins is essential for cold survival during insect diapause. Proc. Natl. Acad. Sci. USA 2007, 104, 11130–11137. [Google Scholar] [CrossRef] [PubMed]
- Song, K.H.; Jung, S.J.; Seo, Y.R.; Kang, S.W.; Han, S.S. Identification of up-regulated proteins in the hemolymph of immunized Bombyx mori larvae. Comp. Biochem. Phys. D 2006, 1, 260–266. [Google Scholar]
- Xu, L.N.; Li, C.C.; Hu, B.J.; Zhou, Z.Y.; Li, X.X. Review of history, present situation and prospect of pink stem borer in China. Chin. Agric. Sci. Bull. 2011, 27, 244–248. [Google Scholar]
- Areekul, S.; Chamchanya, T. Effects of humidity, temperature, and light on the growth and development of Sesamia inferens (Walker). Kasetsart J. 2004, 7, 65–75. [Google Scholar]
- Chouraddi, M.; Mallapur, C.P.; Goud, K.B.; Patil, R.H. Status of stem borers in major maize growing areas of Karnataka, India. J. Exp. Zool. 2012, 15, 505–511. [Google Scholar]
- Joshi, G.; Ram, L.; Singh, R. Biology of pink borer, Sesamia inferens (Walker) on Taraori Basmati rice. Ann. Biol. 2009, 25, 41–45. [Google Scholar]
- Mahesh, P.; Chandran, K.; Srikanth, J.; Nisha, M.; Manjunatha, T. Natural incidence of Sesamia inferens Walker, in sugarcane germplasm. Sugar Technol. 2013, 15, 384–389. [Google Scholar] [CrossRef]
- Rahman, M.; Khalequzzaman, M. Temperature requirements for the development and survival of rice stemborers in laboratory conditions. Insect Sci. 2004, 11, 47–60. [Google Scholar] [CrossRef]
- Singh, B. Incidence of the pink noctuid stem borer, Sesamia inferens (Walker), on wheat under two tillage conditions and three sowing dates in north-western plains of India. J. Entomol. 2012, 9, 368–374. [Google Scholar] [CrossRef]
- Sun, M.; Tang, X.T.; Lu, M.X.; Yan, W.F.; Du, Y.Z. Cold tolerance characteristics and overwintering strategy of Sesamia inferens (Lepidoptera: Noctuidae). Fla. Entomol. 2014, 97, 1544–1553. [Google Scholar]
- Stamler, R.; Kappé, G.; Boelens, W.; Slingsby, C. Wrapping the α-crystallin domain fold in a chaperone assembly. J. Mol. Biol. 2005, 353, 68–79. [Google Scholar] [CrossRef] [PubMed]
- Braun, N.; Zacharias, M.; Peschek, J.; Kastenmüller, A.; Zou, J.; Hanzlik, M.; Haslbeck, M.; Rappsilber, J.; Buchner, J.; Weinkauf, S. Multiple molecular architectures of the eye lens chaperone αB-crystallin elucidated by a triple hybrid approach. Proc. Natl. Acad. Sci. USA 2011, 108, 20491–20496. [Google Scholar] [CrossRef] [PubMed]
- Huggett, J.; Dheda, K.; Bustin, S.; Zumla, A. Real-time RT-PCR normalisation; Strategies and considerations. Genes Immun. 2005, 6, 279–284. [Google Scholar] [CrossRef] [PubMed]
- Shen, Y.; Gu, J.; Huang, L.H.; Zheng, S.C.; Liu, L.; Xu, W.H.; Feng, Q.L.; Kang, L. Cloning and expression analysis of six small heat shock protein genes in the common cutworm, Spodoptera litura. J. Insect Physiol. 2011, 57, 908–914. [Google Scholar] [CrossRef] [PubMed]
- Comeron, J.M. Selective and mutational patterns associated with gene expression in humans: Influences on synonymous composition and intron presence. Genetics 2004, 167, 1293–1304. [Google Scholar] [CrossRef] [PubMed]
- Li, Z.W.; Li, X.; Yu, Q.Y.; Xiang, Z.H.; Kishino, H.; Zhang, Z. The small heat shock protein (sHSP) genes in the silk worm, Bombyx mori, and comparative analysis with other insect sHSP genes. BMC Evol. Biol. 2009, 9, 215. [Google Scholar] [CrossRef] [PubMed]
- Liu, Z.H.; Xi, D.M.; Kang, M.J.; Guo, X.Q.; Xu, B.H. Molecular cloning and characterization of Hsp27.6: The first reported small heat shock protein from Apis cerana cerana. Cell Stress Chaperones 2012, 17, 539–551. [Google Scholar] [CrossRef] [PubMed]
- Concha, C.; Edman, R.M.; Belikoff, E.J.; Schiemann, A.H.; Carey, B.; Scott, M.J. Organization and expression of the Australian sheep blowfly (Lucilia cuprina) hsp23, hsp24, hsp70 and hsp83 genes. Insect Mol. Biol. 2012, 21, 169–180. [Google Scholar] [CrossRef] [PubMed]
- Takahashi, K.H.; Rako, L.; Takano-Shimizu, T.; Hoffmann, A.A.; Lee, S.F. Effects of small Hsp genes on developmental stability and micro-environmental canalization. BMC Evol. Biol. 2010, 10, 284. [Google Scholar] [CrossRef] [PubMed]
- Kurzik-Dumke, U.; Lohmann, E. Sequence of the new Drosophila melanogaster small heat-shock-related gene, lethal(2) essential for life [l(2)efl], at locus 59F4, 5. Gene 1995, 154, 171–175. [Google Scholar] [CrossRef] [PubMed]
- Krebs, R.A.; Feder, M.E. Hsp70 and larval thermotolerance in Drosophila melanogaster: How much is enough and when is more too much? J. Insect Physiol. 1998, 44, 1091–1101. [Google Scholar] [CrossRef] [PubMed]
- Sørensen, J.G.; Kristensen, T.N.; Loeschcke, V. The evolutionary and ecological role of heat shock proteins. Ecol. Lett. 2003, 6, 1025–1037. [Google Scholar] [CrossRef]
- Han, C.; Peng, Y.F.; Hou, M.L.; Chen, F.J.; Zhai, B.P.; Han, L.Z. A preliminary study on artificial rearing of the pink stem borer, Sesamia inferen. Chin. J. Appl. Entomol. 2012, 49, 281–285. [Google Scholar]
- Chenna, R.; Sugawara, H.; Koike, T.; Lopez, R.; Gibson, T.J.; Higgins, D.G.; Thompson, J.D. Multiple sequence alignment with the Clustal series of programs. Nucleic Acids Res. 2003, 31, 3497–3500. [Google Scholar] [CrossRef] [PubMed]
- Tamura, K.; Stecher, G.; Peterson, D.; Filipski, A.; Kumar, S. MEGA6: Molecular evolutionary genetics analysis version 6.0. Mol. Biol. Evol. 2013, 30, 2725–2729. [Google Scholar] [CrossRef] [PubMed]
- Kelley, L.A.; Sternberg, M.J.E. Protein structure prediction on the Web: A case study using the Phyre server. Nat. Protoc. 2009, 4, 363–371. [Google Scholar] [CrossRef] [PubMed]
- Pettersen, E.F.; Goddard, T.D.; Huang, C.C.; Couch, G.S.; Greenblatt, D.M.; Meng, E.C.; Ferrin, T. UCSF Chimera—A visualization system for exploratory research and analysis. J. Comput. Chem. 2004, 25, 1605–1612. [Google Scholar] [CrossRef] [PubMed]
- Pfaffl, M. A new mathematical model for relative quantification in real-time RT-PCR. Nucleic Acids Res. 2001, 29, e45. [Google Scholar] [CrossRef] [PubMed]
- Vandesompele, J.; de Preter, K.; Pattyn, F.; Poppe, B.; van Roy, N.; de Paepe, A.; Speleman, F. Accurate normalization of real-time quantitative RT-PCR data by geometric averaging of multiple internal control genes. Genome Biol. 2002, 3, research0034. [Google Scholar] [CrossRef] [PubMed]
© 2014 by the authors; licensee MDPI, Basel, Switzerland. This article is an open access article distributed under the terms and conditions of the Creative Commons Attribution license (http://creativecommons.org/licenses/by/4.0/).
Share and Cite
Sun, M.; Lu, M.-X.; Tang, X.-T.; Du, Y.-Z. Characterization and Expression of Genes Encoding Three Small Heat Shock Proteins in Sesamia inferens (Lepidoptera: Noctuidae). Int. J. Mol. Sci. 2014, 15, 23196-23211. https://doi.org/10.3390/ijms151223196
Sun M, Lu M-X, Tang X-T, Du Y-Z. Characterization and Expression of Genes Encoding Three Small Heat Shock Proteins in Sesamia inferens (Lepidoptera: Noctuidae). International Journal of Molecular Sciences. 2014; 15(12):23196-23211. https://doi.org/10.3390/ijms151223196
Chicago/Turabian StyleSun, Meng, Ming-Xing Lu, Xiao-Tian Tang, and Yu-Zhou Du. 2014. "Characterization and Expression of Genes Encoding Three Small Heat Shock Proteins in Sesamia inferens (Lepidoptera: Noctuidae)" International Journal of Molecular Sciences 15, no. 12: 23196-23211. https://doi.org/10.3390/ijms151223196
APA StyleSun, M., Lu, M.-X., Tang, X.-T., & Du, Y.-Z. (2014). Characterization and Expression of Genes Encoding Three Small Heat Shock Proteins in Sesamia inferens (Lepidoptera: Noctuidae). International Journal of Molecular Sciences, 15(12), 23196-23211. https://doi.org/10.3390/ijms151223196
