Effect of Platelet-Rich Plasma and Bioactive Glass Powder for the Improvement of Rotator Cuff Tendon-to-Bone Healing in a Rabbit Model
Abstract
:1. Introduction
2. Results and Discussion
2.1. Histologic Results

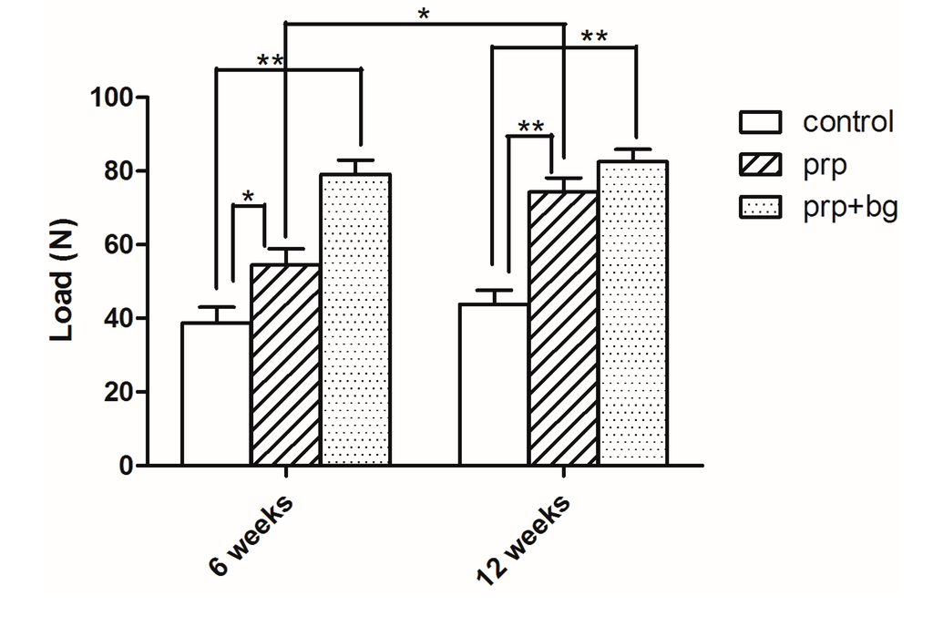
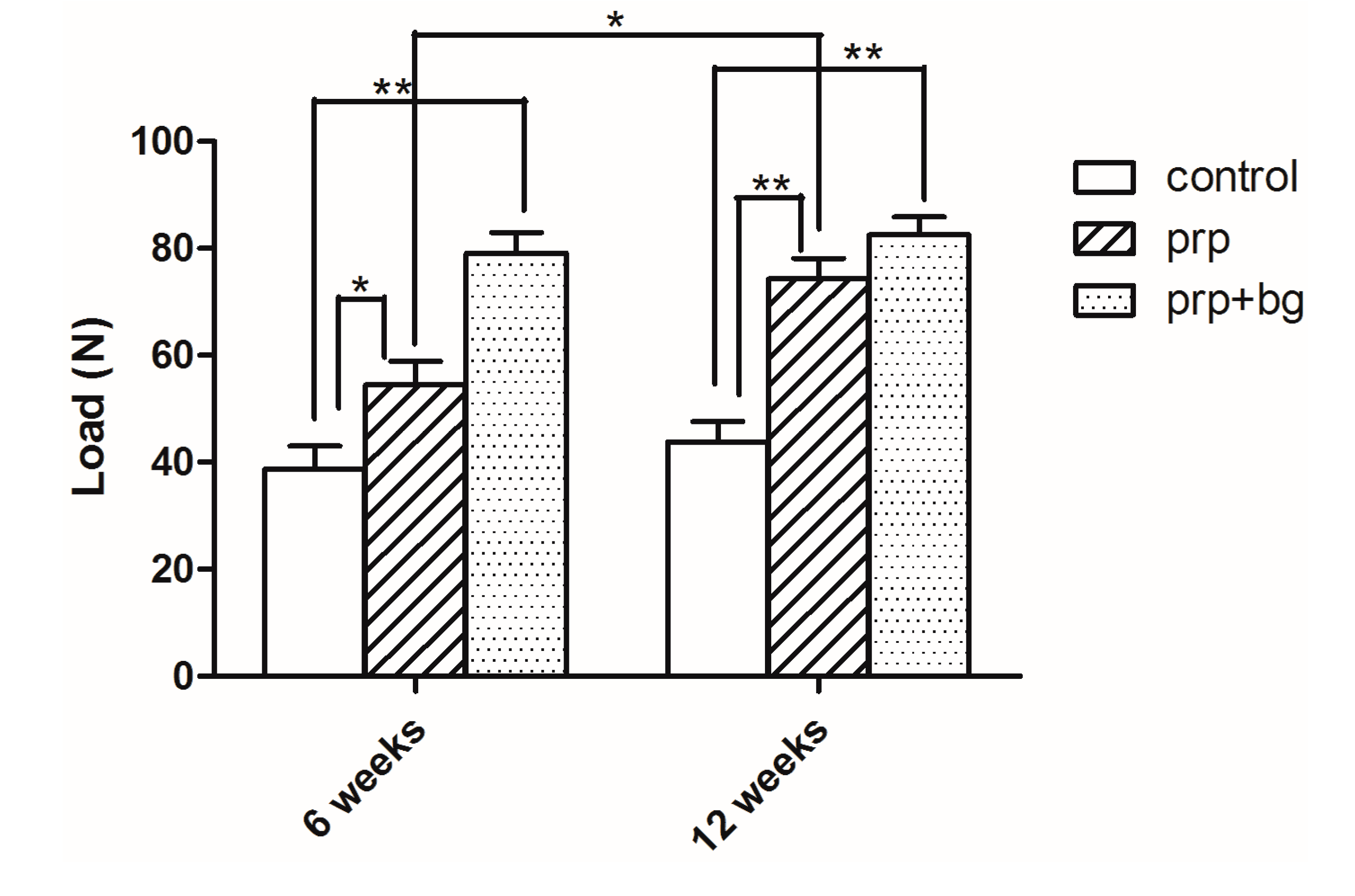
2.2. Mechanical Results

| Time | Group | Mean (95% CI) | Mean Difference (95% CI) | p |
|---|---|---|---|---|
| 6 weeks | Control | 38.73 (25.07, 52.38) | - | - |
| PRP | 54.49 (40.61, 68.37) | 15.76 (2.45, 29.07) | 0.025 * | |
| PRP + BG | 79.15 (67.03, 91.27) | 40.43 (27.11, 53.74) | <0.001 **; 0.002 ** | |
| 12 weeks | Control | 43.83 (31.66, 56.00) | - | - |
| PRP | 74.27 (61.96, 86.57) | 30.43 (18.67, 42.20) | <0.001 ** | |
| PRP + BG | 82.57 (72.02, 93.11) | 38.73 (26.97, 50.50) | <0.001 **; 0.145 |
| Group | Time | Mean(95%CI) | p |
|---|---|---|---|
| Control | 6 weeks | 38.73 (25.07, 52.38) | - |
| 12 weeks | 43.83 (31.66, 56.00) | 0.409 | |
| PRP | 6 week | 54.49 (40.61, 68.37) | - |
| 12 weeks | 74.27 (61.96, 86.57) | 0.015 * | |
| PRP + BG | 6 weeks | 79.15 (67.03, 91.27) | - |
| 12 weeks | 82.57 (72.02, 93.11) | 0.524 |
2.3. RT-PCR Results

| Time | Group | Mean (95% CI) | Mean Difference (95% CI) | p |
|---|---|---|---|---|
| 6 weeks | Control | 0.1180 (0.0544, 0.1816) | - | - |
| PRP | 0.2840 (0.1946, 0.3734) | 0.1660 (0.0554, 0.2766) | 0.007 * | |
| PRP + BG | 0.6480 (0.5147, 0.7813) | 0.5300 (0.4194, 0.6406) | <0.001 **; p < 0.001 ** | |
| 12 weeks | Control | 0.1500 (0.1304, 0.1696) | - | - |
| PRP | 0.1480 (0.0988, 0.1972) | −0.0020 (−0.0454, 0.0414) | 0.922 ** | |
| PRP + BG | 0.1900 (0.1479, 0.2321) | 0.0400 (−0.0034, 0.0834) | 0.067; 0.056 |
| Group | Time | Mean(95%CI) | p |
|---|---|---|---|
| Control | 6 weeks | 0.1180 (0.0544, 0.1816) | - |
| 12 weeks | 0.1500 (0.1304, 0.1696) | 0.218 | |
| PRP | 6 week | 0.2840 (0.1946, 0.3734) | - |
| 12 weeks | 0.1480 (0.0988, 0.1972) | 0.006 * | |
| PRP + BG | 6 weeks | 0.6480 (0.5147, 0.7813) | - |
| 12 weeks | 0.1900 (0.1479, 0.2321) | <0.001 * |
2.4. Discussion
3. Experimental Section
3.1. The PRP Preparation
3.2. The Mixture Preparation
3.3. Animal Experiment
3.4. Histological Analysis
3.5. Mechanical Testing
3.6. Real-Time Polymerase Chain Reaction
3.7. Statistical Analysis
4. Conclusions
Acknowledgments
Author Contributions
Conflicts of Interest
References
- Duquin, T.R.; Buyea, C.; Bisson, L.J. Which method of rotator cuff repair leads to the highest rate of structural healing? A systematic review. Am. J. Sports Med. 2010, 38, 835–841. [Google Scholar]
- Miller, B.S.; Downie, B.K.; Kohen, R.B.; Kijek, T.; Lesniak, B.; Jacobson, J.A.; Hughes, R.E.; Carpenter, J.E. When do rotator cuff repairs fail? Serial ultrasound examination after arthroscopic repair of large and massive rotator cuff tears. Am. J. Sports Med. 2011, 39, 2064–2070. [Google Scholar]
- Tashjian, R.Z.; Hollins, A.M.; Kim, H.M.; Teefey, S.A.; Middleton, W.D.; Steger-May, K.; Galatz, L.M.; Yamaguchi, K. Factors affecting healing rates after arthroscopic double-row rotator cuff repair. Am. J. Sports Med. 2010, 38, 2435–2442. [Google Scholar]
- Marx, R.E.; Carlson, E.R.; Eichstaedt, R.M.; Schimmele, S.R.; Strauss, J.E.; Georgeff, K.R. Platelet-rich plasma: Growth factor enhancement for bone grafts. Oral Surg. Oral Med. Oral Pathol. Oral Radiol. Endod. 1998, 85, 638–646. [Google Scholar]
- Rodeo, S.A.; Delos, D.; Williams, R.J.; Adler, R.S.; Pearle, A.; Warren, R.F. The effect of platelet-rich fibrin matrix on rotator cuff tendon healing: A prospective, randomized clinical study. Am. J. Sports Med. 2012, 40, 1234–1241. [Google Scholar]
- Rahaman, M.N.; Day, D.E.; Bal, B.S.; Fu, Q.; Jung, S.B.; Bonewald, L.F.; Tomsia, A.P. Bioactive glass in tissue engineering. Acta Biomater. 2011, 7, 2355–2373. [Google Scholar]
- Jones, J.R.; Ehrenfried, L.M.; Hench, L.L. Optimising bioactive glass scaffolds for bone tissue engineering. Biomaterials 2006, 27, 964–973. [Google Scholar]
- Hench, L.L. The story of Bioglass. J. Mater. Sci. Mater. Med. 2006, 17, 967–978. [Google Scholar]
- Valerio, P.; Pereira, M.M.; Goes, A.M.; Leite, M.F. The effect of ionic products from bioactive glass dissolution on osteoblast proliferation and collagen production. Biomaterials 2004, 25, 2941–2948. [Google Scholar]
- Jones, J.R. Review of bioactive glass: From Hench to hybrids. Acta Biomater. 2013, 9, 4457–4486. [Google Scholar]
- Slavkin, H.C.; Bartold, P.M. Challenges and potential in tissue engineering. Periodontology 2000 2006, 41, 9–15. [Google Scholar]
- Griffith, L.G.; Naughton, G. Tissue engineering—Current challenges and expanding opportunities. Science 2002, 295, 1009–1014. [Google Scholar]
- Mishra, A.; Woodall, J., Jr.; Vieira, A. Treatment of tendon and muscle using platelet-rich plasma. Clin. Sports Med. 2009, 28, 113–125. [Google Scholar]
- Wu, Y.; Chen, S.; Jiang, J.; Li, H.; Gao, K.; Zhang, P. The effect of 58S bioactive glass coating on polyethylene terephthalates in graft-bone Healing. J. Bionic Eng. 2012, 9, 470–477. [Google Scholar]
- Thomopoulos, S.; Williams, G.R.; Gimbel, J.A.; Favata, M.; Soslowsky, L.J. Variation of biomechanical, structural, and compositional properties along the tendon to bone insertion site. J. Orthop. Res. 2003, 21, 413–419. [Google Scholar]
- Thomopoulos, S.; Williams, G.R.; Soslowsky, L.J. Tendon to bone healing: Differences in biomechanical, structural, and compositional properties due to a range of activity levels. J. Biomech. Eng. 2003, 125, 106–113. [Google Scholar]
- Smith, L.; Xia, Y.; Galatz, L.M.; Genin, G.M.; Thomopoulos, S. Tissue-engineering strategies for the tendon/ligament-to-bone insertion. Connect. Tissue Res. 2012, 53, 95–105. [Google Scholar]
- Levy, D.M.; Saifi, C.; Perri, J.L.; Zhang, R.; Gardner, T.R.; Ahmad, C.S. Rotator cuff repair augmentation with local autogenous bone marrow via humeral cannulation in a rat model. J. Should. Elb. Surg. 2013, 22, 1256–1264. [Google Scholar]
- Randelli, P.; Arrigoni, P.; Ragone, V.; Aliprandi, A.; Cabitza, P. Platelet rich plasma in arthroscopic rotator cuff repair: A prospective RCT study, 2-year follow-up. J. Should. Elb. Surg. 2011, 20, 518–528. [Google Scholar]
- Hoppe, S.; Alini, M.; Benneker, L.M.; Milz, S.; Boileau, P.; Zumstein, M.A. Tenocytes of chronic rotator cuff tendon tears can be stimulated by platelet-released growth factors. J. Should. Elb. Surg. 2013, 22, 340–349. [Google Scholar]
- Quigley, R.J.; Gupta, A.; Oh, J.H.; Chung, K.C.; McGarry, M.H.; Gupta, R.; Tibone, J.E.; Lee, T.Q. Biomechanical comparison of single-row, double-row, and transosseous-equivalent repair techniques after healing in an animal rotator cuff tear model. J. Orthop. Res. 2013, 31, 1254–1260. [Google Scholar]
- Zhang, S.; Li, H.; Tao, H.; Li, H.; Cho, S.; Hua, Y.; Chen, J.; Chen, S.; Li, Y. Delayed early passive motion is harmless to shoulder rotator cuff healing in a rabbit model. Am. J. Sports Med. 2013, 41, 1885–1892. [Google Scholar]
- Zhang, X.; Bogdanowicz, D.; Erisken, C.; Lee, N.M.; Lu, H.H. Biomimetic scaffold design for functional and integrative tendon repair. J. Should. Elb. Surg. 2012, 21, 266–277. [Google Scholar]
- Karampas, I.A.; Orkoula, M.G.; Kontoyannis, C.G. A quantitative bioapatite/collagen calibration method using Raman spectroscopy of bone. J. Biophotonics 2013, 6, 573–586. [Google Scholar]
- Cohen, D.B.; Kawamura, S.; Ehteshami, J.R.; Rodeo, S.A. Indomethacin and celecoxib impair rotator cuff tendon-to-bone healing. Am. J. Sports Med. 2006, 34, 362–369. [Google Scholar]
- Jell, G.; Stevens, M.M. Gene activation by bioactive glasses. J. Mater. Sci. Mater. Med. 2006, 17, 997–1002. [Google Scholar]
- Zhang, J.; Wang, J.H. Platelet-rich plasma releasate promotes differentiation of tendon stem cells into active tenocytes. Am. J. Sports Med. 2010, 38, 2477–2486. [Google Scholar]
- Kumar, K.A.; Rao, J.B.; Pavan Kumar, B.; Mohan, A.P.; Patil, K.; Parimala, K. A prospective study involving the use of platelet rich plasma in enhancing the uptake of bone grafts in the oral and maxillofacial region. J. Maxillofac. Oral Surg. 2013, 12, 387–394. [Google Scholar]
- DohanEhrenfest, D.M.; Rasmusson, L.; Albrektsson, T. Classification of platelet concentrates: From pure platelet-rich plasma (P-PRP) to leucocyte- and platelet-rich fibrin (L-PRF). Trends Biotechnol. 2009, 27, 158–167. [Google Scholar]
- Li, Q.; Reed, D.A.; Min, L.; Gopinathan, G.; Li, S.; Dangaria, S.J.; Li, L.; Geng, Y.; Galang, M.T.; Gajendrareddy, P.; et al. Lyophilized platelet-rich fibrin (PRF) promotes craniofacial bone regeneration through Runx2. Int. J. Mol. Sci. 2014, 15, 8509–8525. [Google Scholar]
- Ersen, A.; Demirhan, M.; Atalar, A.C.; Kapicioglu, M.; Baysal, G. Platelet-rich plasma for enhancing surgical rotator cuff repair: Evaluation and comparison of two application methods in a rat model. Arch. Orthop. Trauma. Surg. 2014, 134, 405–411. [Google Scholar]
- Rauch, F.; Lauzier, D.; Croteau, S.; Travers, R.; Glorieux, F.H.; Hamdy, R. Temporal and spatial expression of bone morphogenetic protein-2, -4, and -7 during distraction osteogenesis in rabbits. Bone 2000, 27, 453–459. [Google Scholar]
- Park, J.; Ries, J.; Gelse, K.; Kloss, F.; von der Mark, K.; Wiltfang, J.; Neukam, F.W.; Schneider, H. Bone regeneration in critical size defects by cell-mediated BMP-2 gene transfer: A comparison of adenoviral vectors and liposomes. Gene Ther. 2003, 10, 1089–1098. [Google Scholar]
- Dutra, C.E.; Pereira, M.M.; Serakides, R.; Rezende, C.M. In vivo evaluation of bioactive glass foams associated with platelet-rich plasma in bone defects. J. Tissue Eng. Regen. Med. 2008, 2, 221–227. [Google Scholar]
- Christgau, M.; Moder, D.; Wagner, J.; Glassl, M.; Hiller, K.A.; Wenzel, A.; Schmalz, G. Influence of autologous platelet concentrate on healing in intra-bony defects following guided tissue regeneration therapy: A randomized prospective clinical split-mouth study. J. Clin. Periodontol. 2006, 33, 908–921. [Google Scholar]
- Carvalho, M.D.; Suaid, F.F.; Santamaria, M.P.; Casati, M.Z.; Nociti, F.H., Jr.; Sallum, A.W.; Sallum, E.A. Platelet-rich plasma plus bioactive glass in the treatment of intra-bony defects: A study in dogs. J. Appl. Oral Sci. 2011, 19, 82–89. [Google Scholar]
- Demir, B.; Sengun, D.; Berberoglu, A. Clinical evaluation of platelet-rich plasma and bioactive glass in the treatment of intra-bony defects. J. Clin. Periodontal. 2007, 34, 709–715. [Google Scholar]
- Diehl, K.H.; Hull, R.; Morton, D.; Pfister, R.; Rabemampianina, Y.; Smith, D.; Vidal, J.M.; van de Vorstenbosch, C. A good practice guide to the administration of substances and removal of blood, including routes and volumes. J. Appl. Toxicol. 2001, 21, 15–23. [Google Scholar]
- Li, Q.; Pan, S.; Dangaria, S.J.; Gopinathan, G.; Kolokythas, A.; Chu, S.; Geng, Y.; Zhou, Y.; Luan, X. Platelet-rich fibrin promotes periodontal regeneration and enhances alveolar bone augmentation. BioMedRes. Int. 2013, 2013. [Google Scholar] [CrossRef]
- Day, R.M. Bioactive glass stimulates the secretion of angiogenic growth factors and angiogenesis in vitro. Tissue Eng. 2005, 11, 768–777. [Google Scholar]
© 2014 by the authors; licensee MDPI, Basel, Switzerland. This article is an open access article distributed under the terms and conditions of the Creative Commons Attribution license (http://creativecommons.org/licenses/by/4.0/).
Share and Cite
Wu, Y.; Dong, Y.; Chen, S.; Li, Y. Effect of Platelet-Rich Plasma and Bioactive Glass Powder for the Improvement of Rotator Cuff Tendon-to-Bone Healing in a Rabbit Model. Int. J. Mol. Sci. 2014, 15, 21980-21991. https://doi.org/10.3390/ijms151221980
Wu Y, Dong Y, Chen S, Li Y. Effect of Platelet-Rich Plasma and Bioactive Glass Powder for the Improvement of Rotator Cuff Tendon-to-Bone Healing in a Rabbit Model. International Journal of Molecular Sciences. 2014; 15(12):21980-21991. https://doi.org/10.3390/ijms151221980
Chicago/Turabian StyleWu, Yang, Yu Dong, Shiyi Chen, and Yunxia Li. 2014. "Effect of Platelet-Rich Plasma and Bioactive Glass Powder for the Improvement of Rotator Cuff Tendon-to-Bone Healing in a Rabbit Model" International Journal of Molecular Sciences 15, no. 12: 21980-21991. https://doi.org/10.3390/ijms151221980
APA StyleWu, Y., Dong, Y., Chen, S., & Li, Y. (2014). Effect of Platelet-Rich Plasma and Bioactive Glass Powder for the Improvement of Rotator Cuff Tendon-to-Bone Healing in a Rabbit Model. International Journal of Molecular Sciences, 15(12), 21980-21991. https://doi.org/10.3390/ijms151221980
