Design, Synthesis and Antiviral Activity Studies of Schizonepetin Derivatives
Abstract
:1. Introduction
2. Results and Discussion
2.1. Chemistry
2.2. Biological Activity
3. Experimental Section
3.1. Chemistry
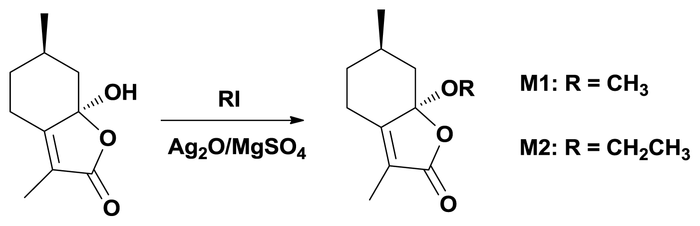
3.2. General Procedure for the Preparation of M1 and M2
3.2.1. (6R,7aR)-7a-Methoxy-3,6-Dimethyl-5,6,7,7a-Tetrahydrobenzofuran-2(4H)-One (M1)
3.2.2. (6R,7aR)-7a-Ethoxy-3,6-Dimethyl-5,6,7,7a-Tetrahydrobenzofuran-2(4H)-One (M2)
3.3. General Procedure for the Preparation of M4, M5 and M8
3.3.1. (6R,7aR)-3,6-Dimethyl-2-oxo-2,4,5,6,7,7a-Hexahydrobenzofuran-7a-Yl Acetate (M4)
3.3.2. (6R,7aR)-3,6-Dimethyl-2-oxo-2,4,5,6,7,7a-Hexahydrobenzofuran-7a-yl Propionate (M5)
3.3.3. (6R,7aS)-3,6-Dimethyl-2-Oxo-2,4,5,6,7,7a-Hexahydrobenzofuran-7a-yl Benzoate (M8)
3.4. General Procedure for the Preparation of M9–M35
3.4.1. (6R,7aS)-3,6-Dimethyl-2-Oxo-2,4,5,6,7,7a-Hexahydrobenzofuran-7a-yl 4-Nitrobenzoate (M9)
3.4.2. (6R,7aS)-3,6-Dimethyl-2-Oxo-2,4,5,6,7,7a-Hexahydrobenzofuran-7a-yl 4-Iodobenzoate (M10)
3.4.3. (6R,7aS)-3,6-Dimethyl-2-Oxo-2,4,5,6,7,7a-Hexahydrobenzofuran-7a-yl 4-Chlorobenzoate (M11)
3.4.4. (6R,7aS)-3,6-Dimethyl-2-Oxo-2,4,5,6,7,7a-Hexahydrobenzofuran-7a-yl 4-Methoxybenzoate (M18)
3.4.5. (6R,7aS)-3,6-Dimethyl-2-Oxo-2,4,5,6,7,7a-Hexahydrobenzofuran-7a-yl Nicotinate (M21)
3.4.6. (6R,7aS)-3,6-Dimethyl-2-Oxo-2,4,5,6,7,7a-Hexahydrobenzofuran-7a-yl 4-Fluorobenzoate (M22)
3.4.7. (6R,7aS)-3,6-Dimethyl-2-Oxo-2,4,5,6,7,7a-Hexahydrobenzofuran-7a-yl 3-Chlorobenzoate (M25)
3.4.8. (6R,7aS)-3,6-Dimethyl-2-Oxo-2,4,5,6,7,7a-Hexahydrobenzofuran-7a-yl Thiophene-2-Carboxylate (M27)
3.4.9. (6R,7aS)-3,6-Dimethyl-2-Oxo-2,4,5,6,7,7a-Hexahydrobenzofuran-7a-yl 3-Fluorobenzoate (M28)
3.4.10. (6R,7aS)-3,6-Dimethyl-2-oxo-2,4,5,6,7,7a-Hexahydrobenzofuran-7a-yl 3-Iodobenzoate (M29)
3.4.11. (6R,7aS)-3,6-Dimethyl-2-Oxo-2,4,5,6,7,7a-Hexahydrobenzofuran-7a-yl 3-Bromobenzoate (M31)
3.4.12. (6R,7aS)-3,6-Dimethyl-2-Oxo-2,4,5,6,7,7a-Hexahydrobenzofuran-7a-yl 4-Bromobenzoate (M33)
3.4.13. (6R,7aS)-3,6-Dimethyl-2-Oxo-2,4,5,6,7,7a-Hexahydrobenzofuran-7a-yl 2-Bromobenzoate (M34)
3.4.14. (6R,7aS)-3,6-Dimethyl-2-Oxo-2,4,5,6,7,7a-Hexahydrobenzofuran-7a-yl 4-(Trifluoromethyl) Benzoate (M35)
3.5. Biological Activity
3.5.1. Cytotoxicity Studies
3.5.2. Anti HSV-1 Studies
3.5.3. Anti-H3N2 Studies
4. Conclusions
Acknowledgments
Conflicts of Interest
References
- Spector, F.C.; Liang, L.; Giordano, H.; Sivaraja, M.; Peterson, M.G. Inhibition of herpes simplex virus replication by a 2-amino thiazole via interactions with the helicase component of the UL5-UL8-UL52 complex. J. Virol 1998, 72, 6979–6987. [Google Scholar]
- Pass, R.F.; Whitley, R.J.; Whelchel, J.D.; Diethelm, A.G.; Reynolds, D.W.; Alford, C.A. Identification of patients with increased risk of infection with herpes simplex virus after renal transplantation. J. Infect. Dis 1979, 140, 487–492. [Google Scholar]
- Norris, S.A.; Kessler, H.A.; Fife, K.H. Severe, progressive herpetic whitlow caused by an acyclovir-resistant virus in a patient with AIDS. J. Infect. Dis 1988, 157, 209–210. [Google Scholar]
- Corey, L.; Adams, H.G.; Brown, Z.A.; Holmes, K.K. Genital herpes simplex virus infections: Clinical manifestations, course, and complications. Ann. Intern. Med 1983, 98, 958–972. [Google Scholar]
- Whitley, R.J.; Kimberlin, D.W.; Roizman, B. Herpes simplex viruses. Clin. Infect. Dis 1998, 26, 541–553. [Google Scholar]
- Liu, Y.Q.; Liu, Z.L.; Tian, X.; Yang, L. Anti-HSV activity of camptothecin analogues. Nat. Prod. Res 2010, 24, 509–514. [Google Scholar]
- Khan, M.T.H.; Ather, A.; Thompson, K.D.; Gambari, R. Extracts and molecules from medicinal plants against herpes simplex viruses. Antivir. Res 2005, 67, 107–119. [Google Scholar]
- Sibrack, C.D.; Gutman, L.T.; Wilfert, C.M.; McLaren, C.; St. Clair, C.M.; Keller, P.M.; Barry, D.W. Pathogenicity of acyclovir-resistant herpes simplex virus type 1 from an immunodeficient child. J. Infect. Dis 1982, 146, 673–682. [Google Scholar]
- Birch, C.J.; Tachedjian, G.; Doherty, R.R.; Hayes, K.; Gust, I.D. Altered sensitivity to antiviral drugs of herpes simplex virus isolates from a patient with the acquired immunodeficiency syndrome. J. Infect. Dis 1990, 162, 731–734. [Google Scholar]
- Kimberlin, D.W.; Coen, D.M.; Biron, K.K.; Cohen, J.I.; Lamb, R.A.; McKinlay, M.; Emini, E.A.; Whitley, R.J. Molecular mechanisms of antiviral resistance. Antivir. Res 1995, 26, 369–401. [Google Scholar]
- Tu, J.; Wang, L.; Yang, J.; Fei, H.; Li, X. Formulation and pharmacokinetic studies of acyclovir controlled-release capsules. Drug Dev. Ind. Pharm 2001, 27, 687–692. [Google Scholar]
- Ding, A.; Zhang, L.; Ding, J. Extraction and Application of Schizonepetin. Chin. Pat. ZL 2001, 01108186. [Google Scholar]
- Liu, D.; Shan, M.; Chen, P.; Zhang, L.; Ding, A. Qualitative and quantitative studies on impurities in schizonepetin, a novel antiviral agent, using HPLC, NMR and MS. Chromatographia 2013, 76, 491–498. [Google Scholar]
- Xu, L.; Zhu, X.; Feng, Y.; Ding, A. Study on antiviral activity of the alcohol extract of schizonepeta tenuifolia. Res. Tradit. Chin. Med 2000, 16, 45–46. [Google Scholar]
- Lu, J.; Feng, Y.; Zhang, L.; Ding, A.; Liu, X.; Du, P. Effect of herba schizonepetae tenuifoliae lipids on acute inflammation of mice (in Chinese). J. Nanjing Univ. Tradit. Chin. Med 2003, 6, 350–351. [Google Scholar]
- Zhang, L.; Zhang, M.; Sun, E.; Ding, A. Anti-inflammatory, analgesic and antipyretic effects of schizonepetolide poly-lactic-co-glycolic acid nanoparticles (in Chinese). J. China Pharm. Univ 2008, 39, 433–436. [Google Scholar]
- Liu, D.; Geng, T.; Zhang, L.; Yao, W.; Ding, A.; Shan, M. Acute and subacute toxicity and genotoxicity of schizonepetin, a naturally occurring monoterpene with antiviral activity. Food Chem. Toxicol 2012, 50, 2256–2262. [Google Scholar]
- Bao, B.; Geng, T.; Cao, Y.; Yao, W.; Zhang, L.; Ding, A. Effects of schizonepetin on activity and mRNA expression of cytochrome p450 enzymes in rats. Int. J. Mol. Sci 2012, 13, 17006–17018. [Google Scholar]
- Geng, T.; Sun, Y.; Yao, W.; Ding, A.; Zhang, L.; Guo, J.; Tang, Y. Pharmacokinetics and tissue distribution of schizonepetin in rats. Fitoterapia 2011, 82, 1110–1117. [Google Scholar]
- Levitan, H. Food, drug, and cosmetic dyes: Biological effects related to lipid solubility. Proc. Nat. Acad. Sci. USA 1977, 74, 2914–2918. [Google Scholar]
- Winkler, J.D.; Quinn, K.J.; MacKinnon, C.H.; Hiscock, S.D.; McLaughlin, E.C. Tandem Diels-Alder/fragmentation approach to the synthesis of eleutherobin. Org. Lett 2003, 5, 1805–1808. [Google Scholar]
- Hanzlik, R.P. Selective epoxidation of terminal double bond: 10,11-Epoxyfarnesyl acetate [2,6-nonadien-1-ol, 9-(3,3-dimethyloxiranyl)-3,7-dimethyl-, acetate, (E,E)-]. Org. Synth. Coll 1988, 6, 560. [Google Scholar]



| Entry | Compounds | Antiviral activity against HSV-1 virus | Antiviral activity against H3N2 virus | ||||
|---|---|---|---|---|---|---|---|
| TC50(μM) | IC50(μM) | TI | TC50(μM) | IC50(μM) | TI | ||
| 1 | M1 | 366.8 | - | 298.5 | - | - | |
| 2 | M2 | 246.7 | 100.0 | 2.5 | 139.5 | - | - |
| 3 | M4 | 374.6 | 93.8 | 4.0 | 319.2 | - | - |
| 4 | M5 | 66.0 | 26.9 | 2.5 | 39.1 | - | - |
| 5 | M8 | 24.8 | - | - | 54.2 | - | - |
| 6 | M9 | 216.0 | - | - | 216.0 | - | - |
| 7 | M10 | 44.2 | - | - | 41.3 | - | - |
| 8 | M11 | 47.1 | - | - | 47.1 | - | - |
| 9 | M21 | 439.0 | - | - | 180.5 | - | - |
| 10 | M22 | 87.8 | - | - | 60.5 | - | - |
| 11 | M25 | 11.5 | - | - | 80.8 | - | - |
| 12 | M27 | 100.3 | - | - | 177.4 | - | - |
| 13 | M28 | 170.4 | - | - | 96.4 | 34.5 | 2.8 |
| 14 | M29 | 45.4 | - | - | 71.1 | - | - |
| 15 | M31 | 80.3 | - | - | 80.3 | - | - |
| 16 | M33 | 80.3 | - | - | 71.0 | 13.7 | 5.2 |
| 17 | M34 | 80.3 | 17.1 | 4.7 | 71.0 | - | - |
| 18 | M35 | 82.8 | - | - | 75.4 | 29.7 | 2.5 |
| 19 | Schizonepetin | 834.2 | - | - | 829.4 | - | - |
| 20 | Aciclovir | >666.0 | 4.9 | >136.4 | ND | ND | ND |
| 21 | Ribavirin | ND | ND | ND | ND | 1023.7 | - |
© 2013 by the authors; licensee MDPI, Basel, Switzerland This article is an open access article distributed under the terms and conditions of the Creative Commons Attribution license (http://creativecommons.org/licenses/by/3.0/).
Share and Cite
Bao, B.; Meng, Z.; Li, N.; Meng, Z.; Zhang, L.; Cao, Y.; Yao, W.; Shan, M.; Ding, A. Design, Synthesis and Antiviral Activity Studies of Schizonepetin Derivatives. Int. J. Mol. Sci. 2013, 14, 17193-17203. https://doi.org/10.3390/ijms140817193
Bao B, Meng Z, Li N, Meng Z, Zhang L, Cao Y, Yao W, Shan M, Ding A. Design, Synthesis and Antiviral Activity Studies of Schizonepetin Derivatives. International Journal of Molecular Sciences. 2013; 14(8):17193-17203. https://doi.org/10.3390/ijms140817193
Chicago/Turabian StyleBao, Beihua, Zheng Meng, Nianguang Li, Zhengjie Meng, Li Zhang, Yudan Cao, Weifeng Yao, Mingqiu Shan, and Anwei Ding. 2013. "Design, Synthesis and Antiviral Activity Studies of Schizonepetin Derivatives" International Journal of Molecular Sciences 14, no. 8: 17193-17203. https://doi.org/10.3390/ijms140817193
APA StyleBao, B., Meng, Z., Li, N., Meng, Z., Zhang, L., Cao, Y., Yao, W., Shan, M., & Ding, A. (2013). Design, Synthesis and Antiviral Activity Studies of Schizonepetin Derivatives. International Journal of Molecular Sciences, 14(8), 17193-17203. https://doi.org/10.3390/ijms140817193

