Liquid Crystal Phase Behaviour of Attractive Disc-Like Particles
Abstract
:1. Introduction
2. Theory
2.1. Generalized van der Waals-Onsager Free Energy Functional
2.2. Equation of State for Hard-Cylindrical Disc Particles with an Anisotropic Square-Well Potential
3. Results and Discussion
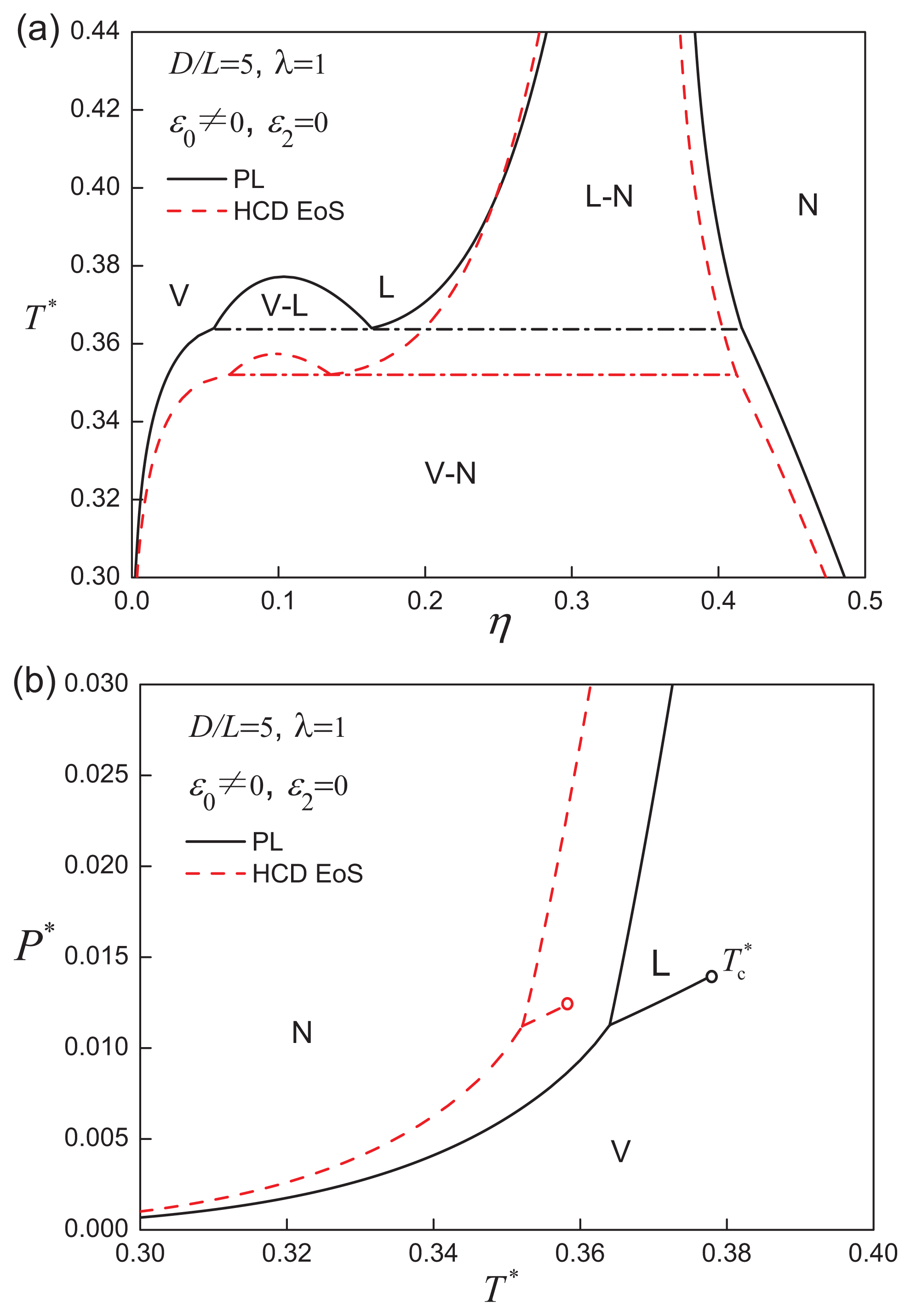
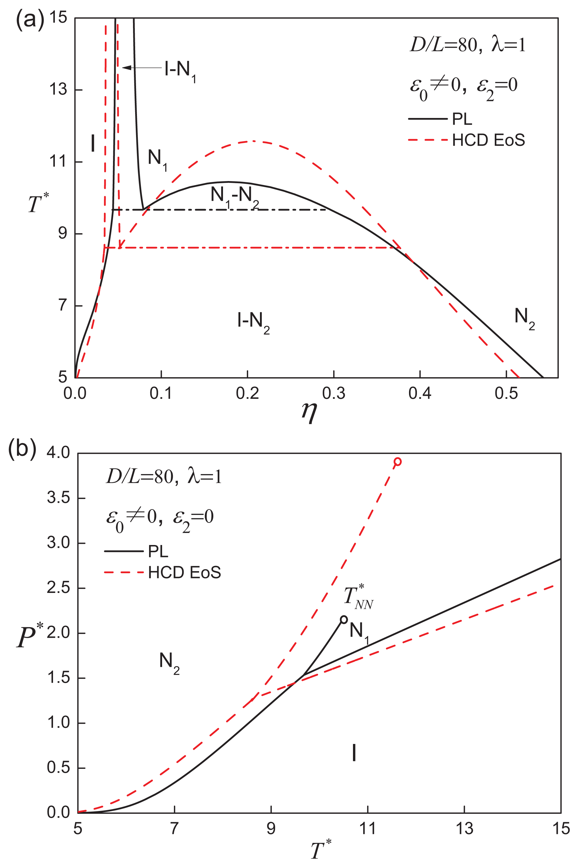
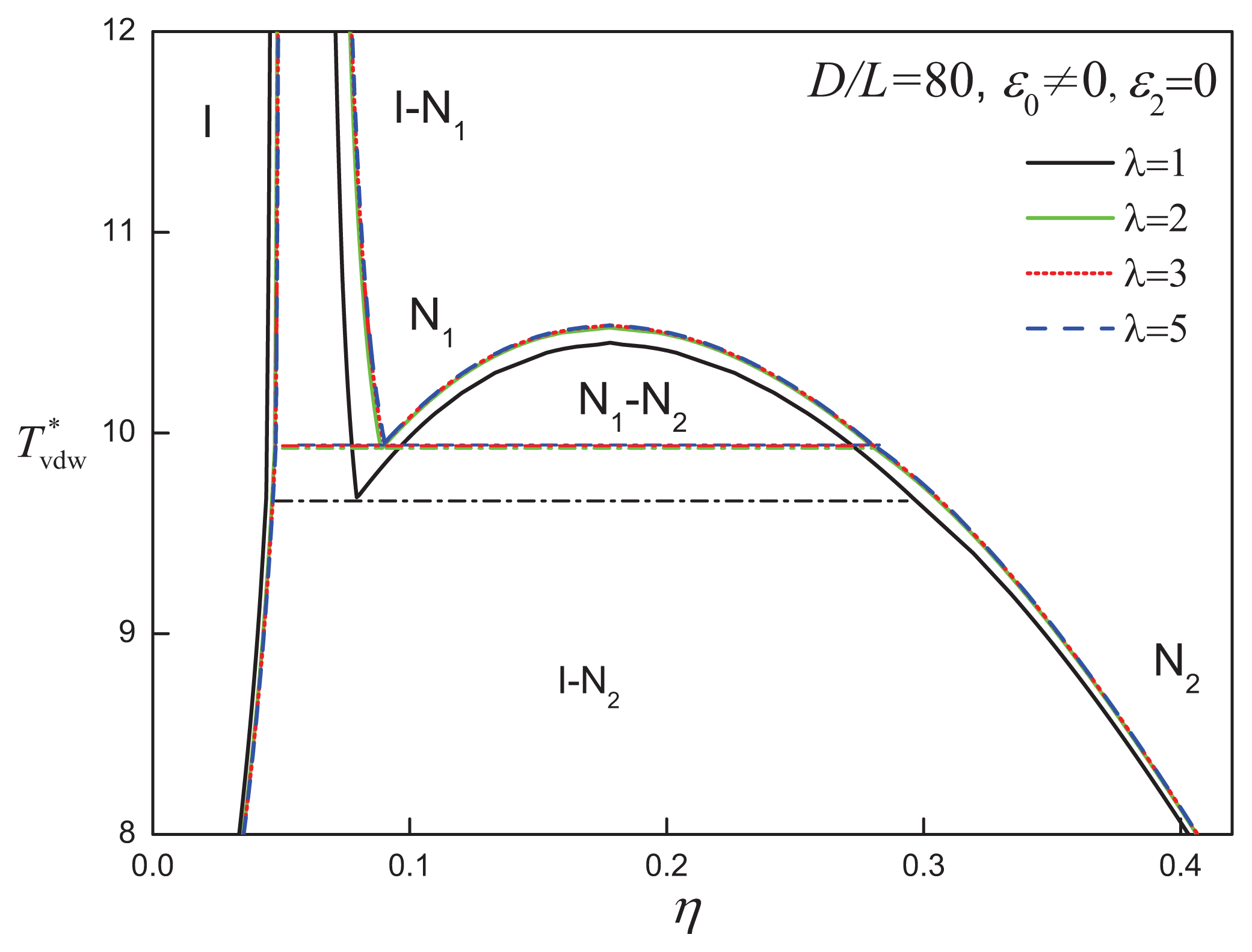
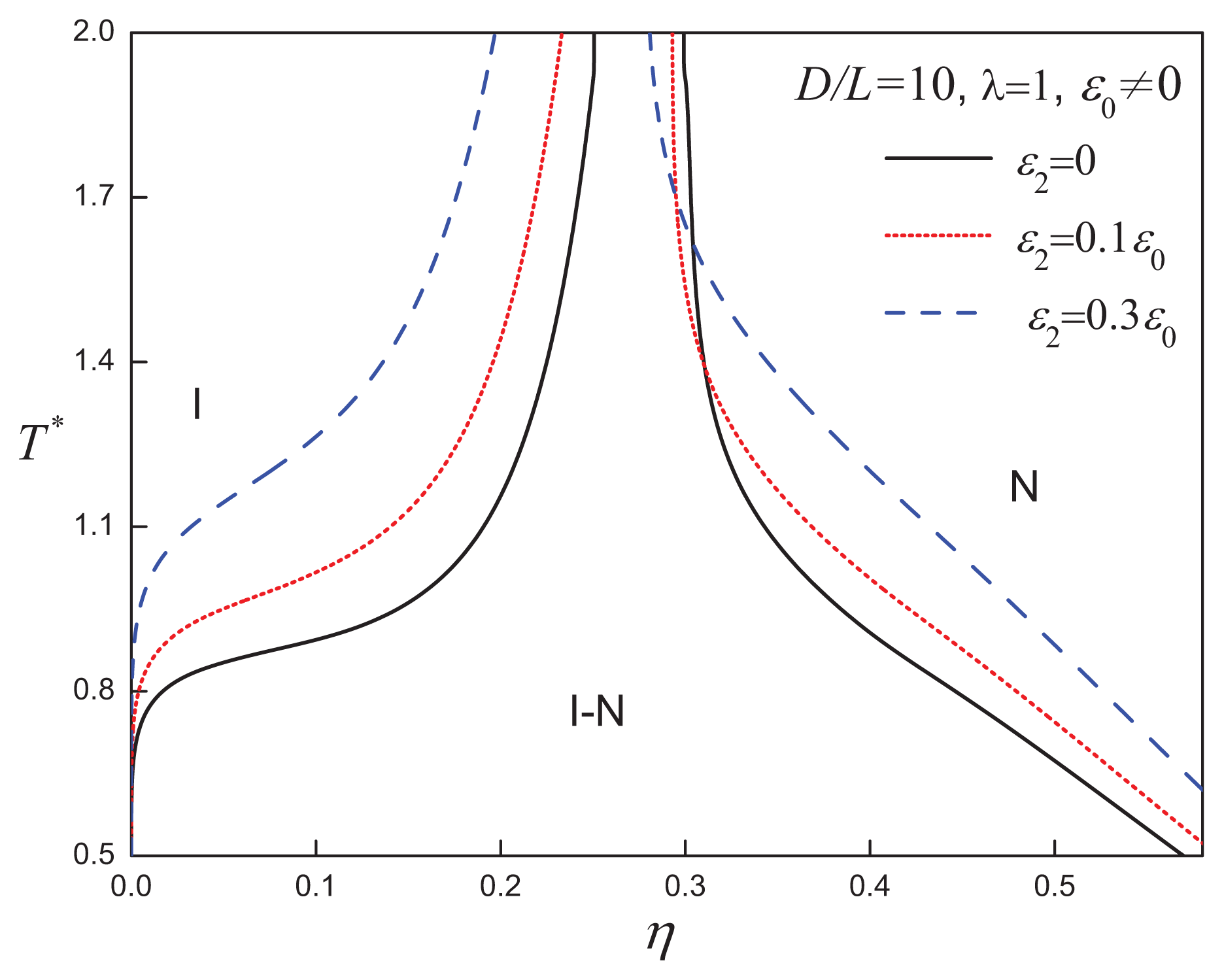
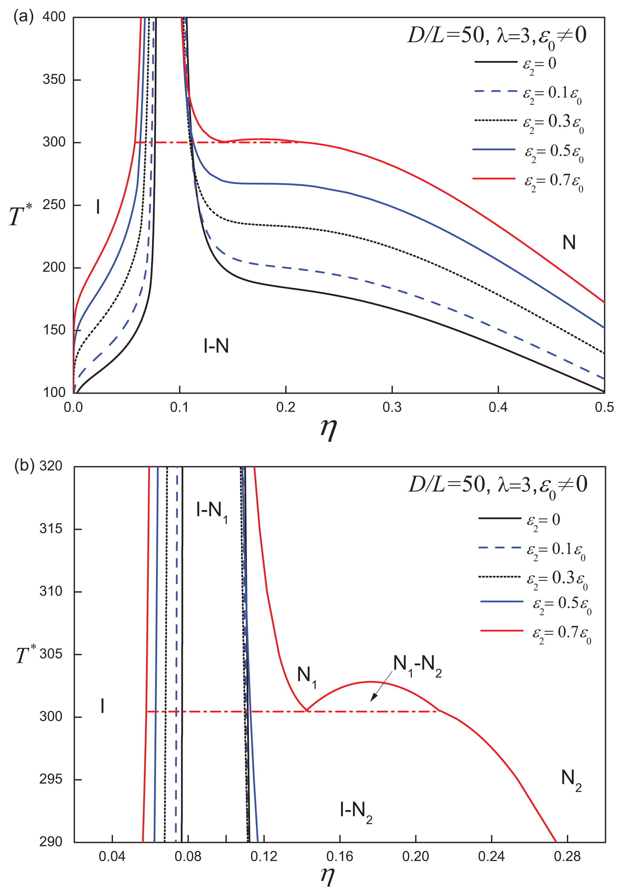
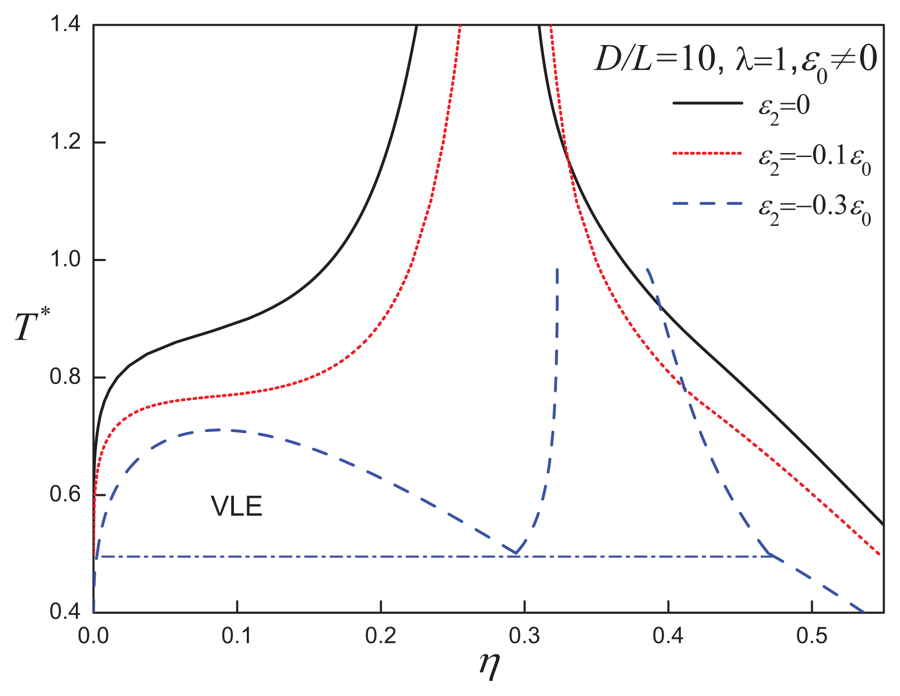
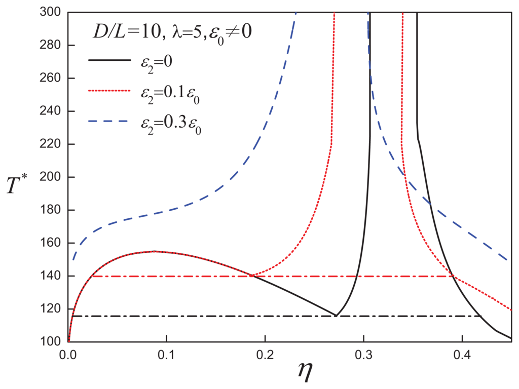
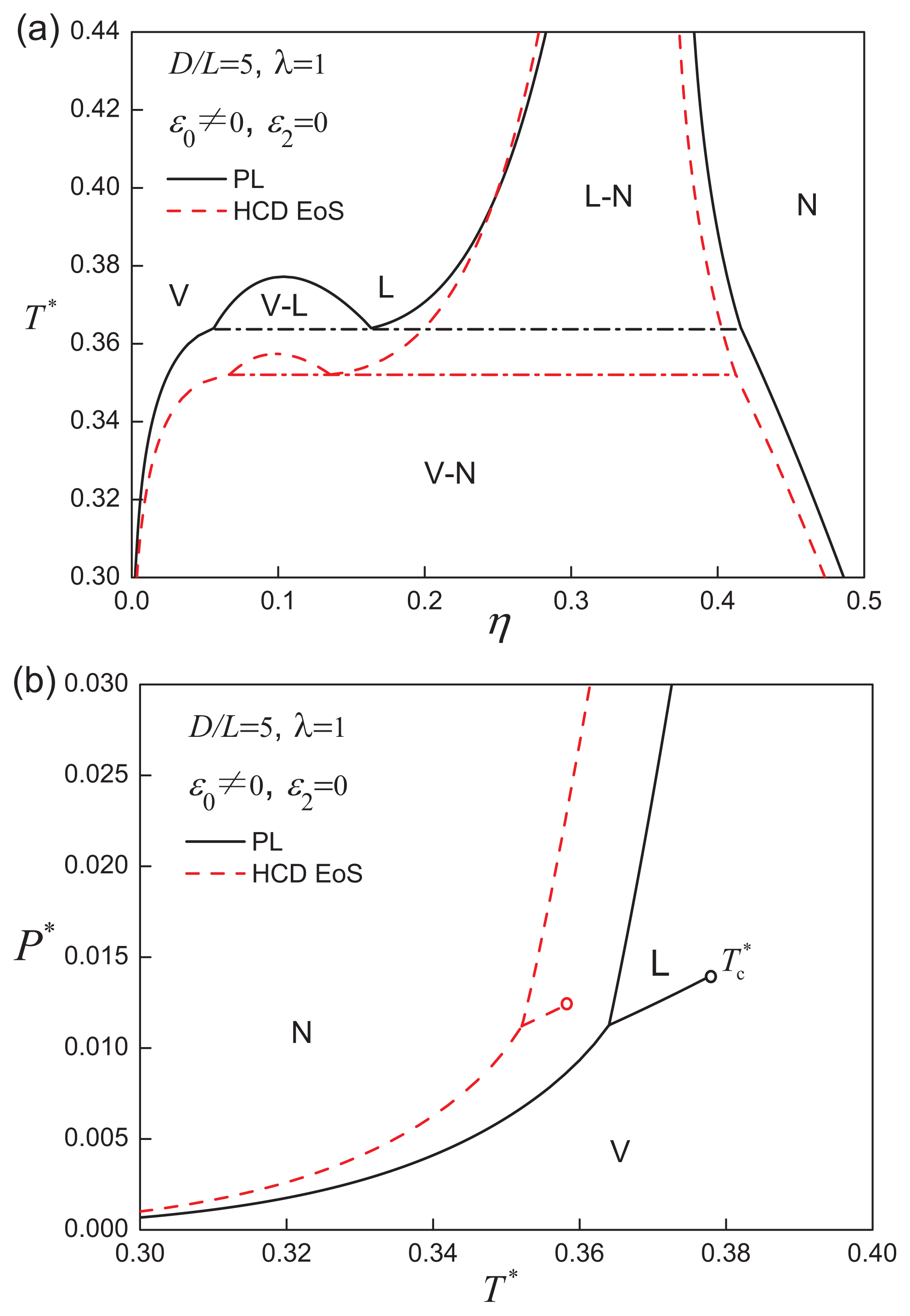
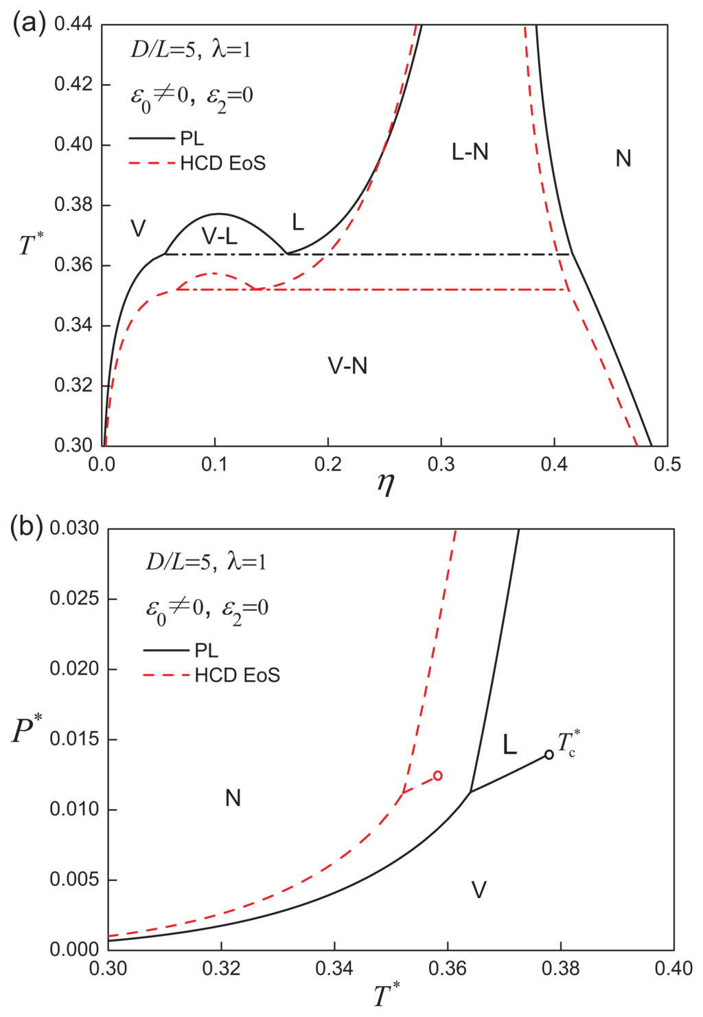
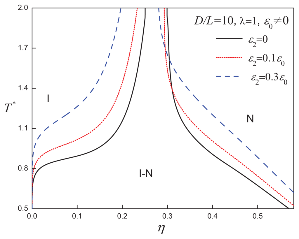
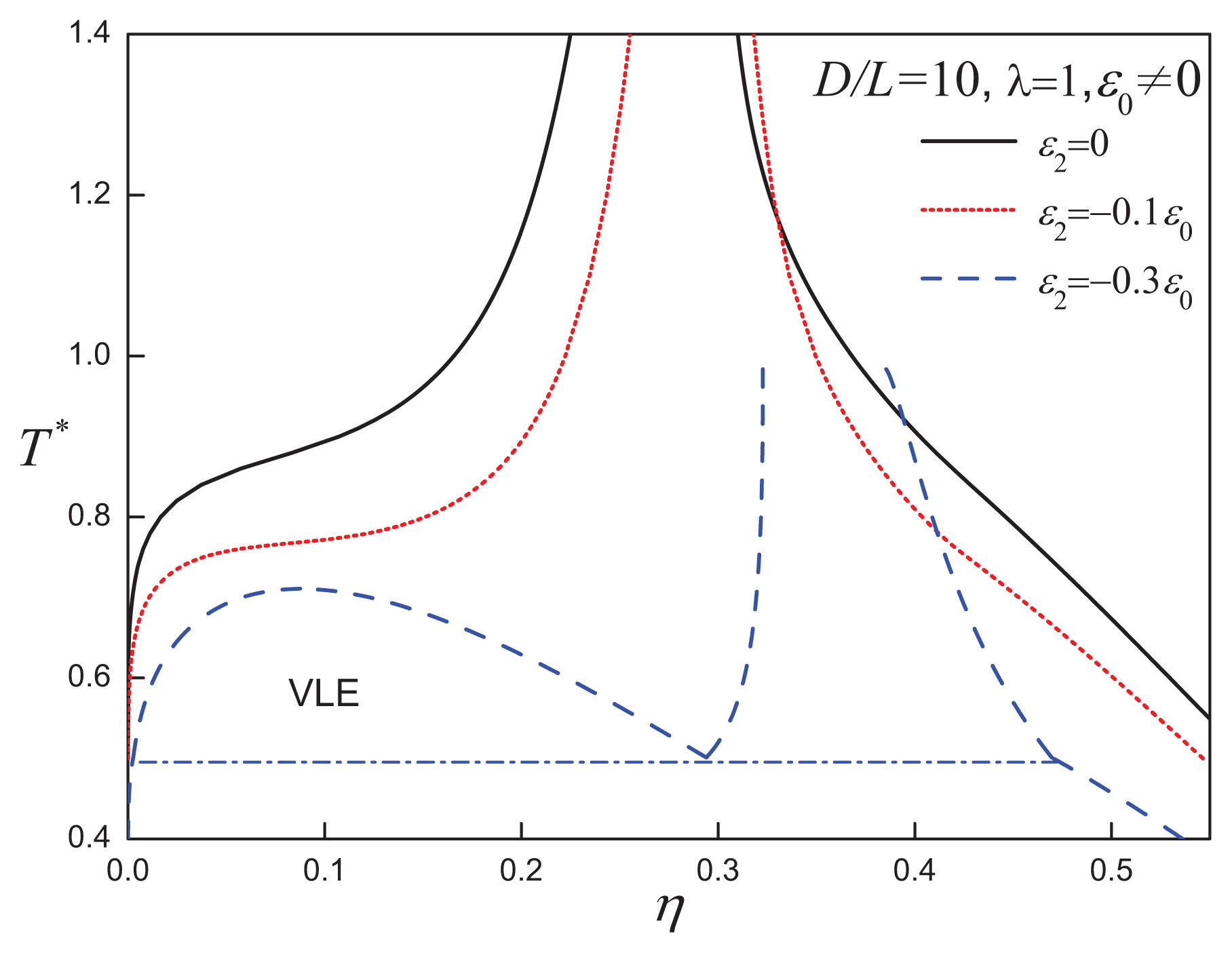
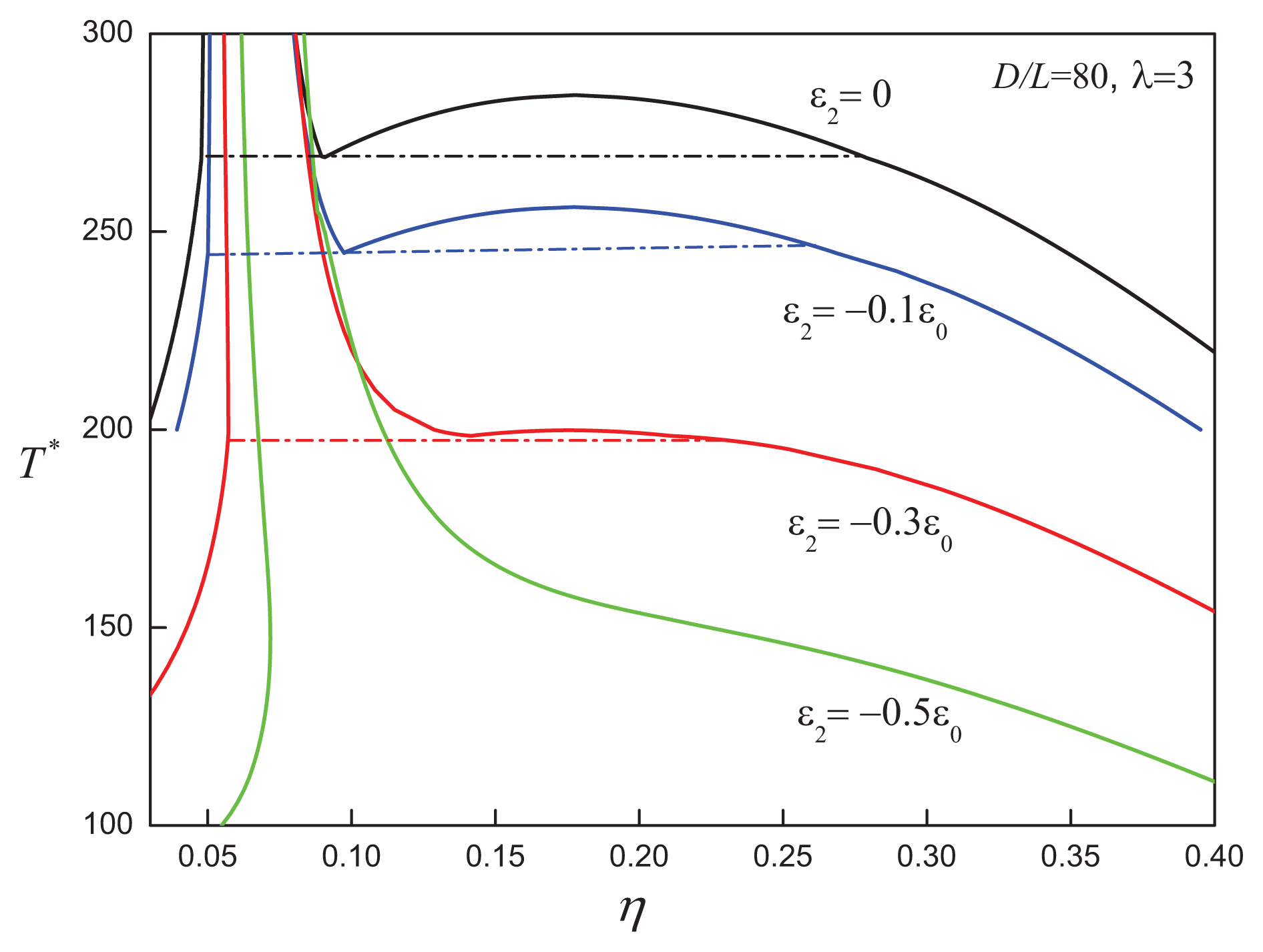
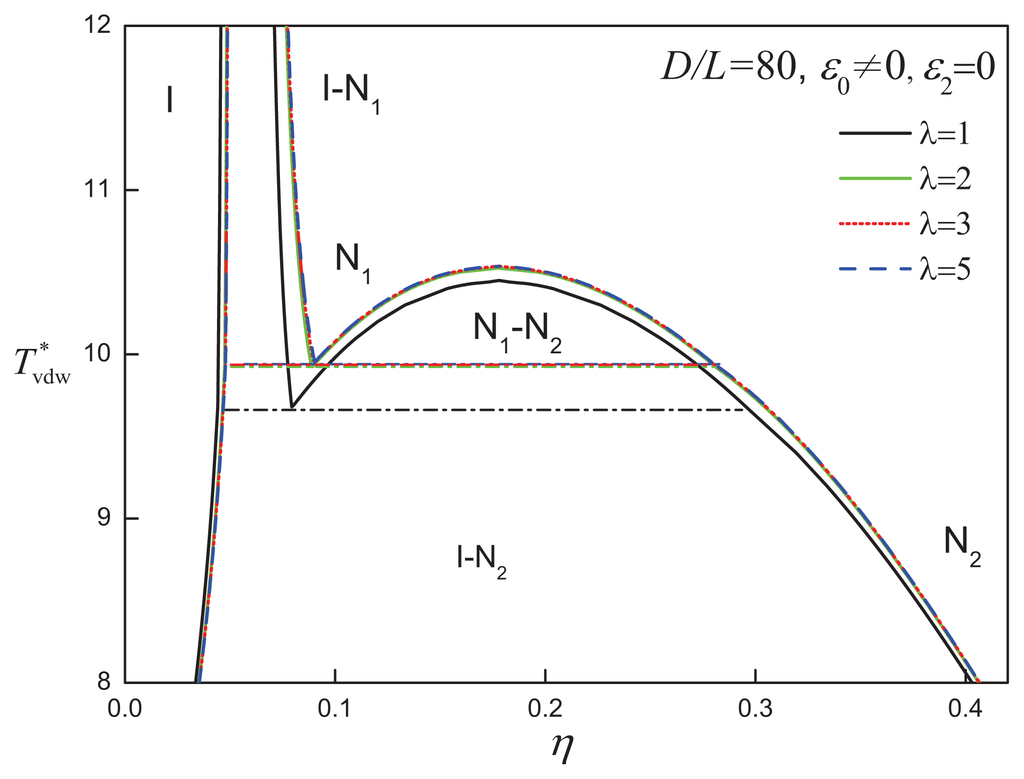
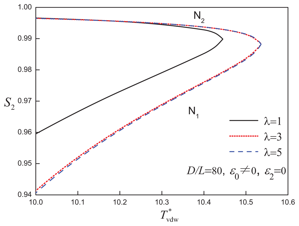
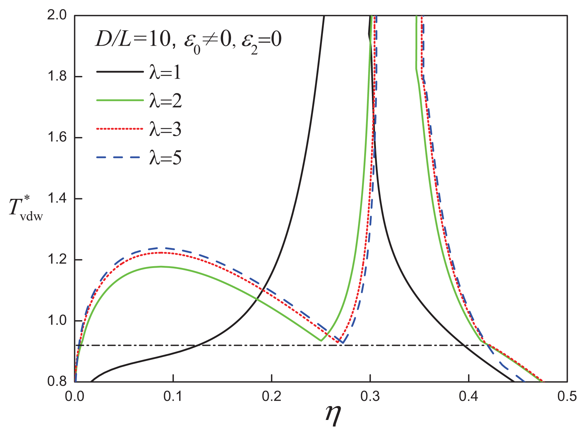
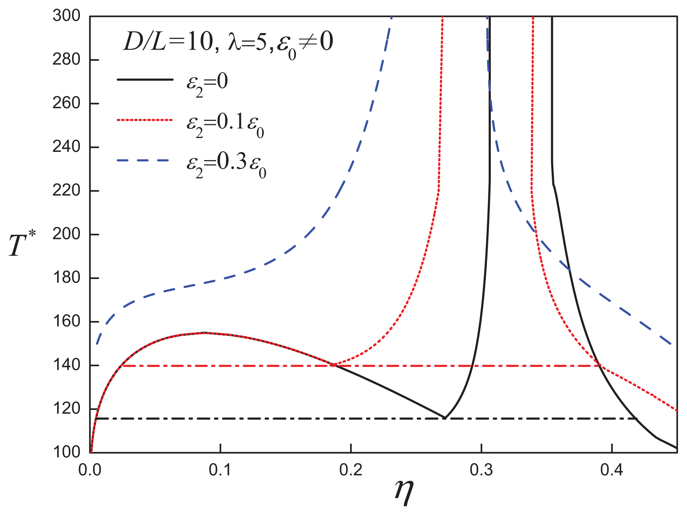
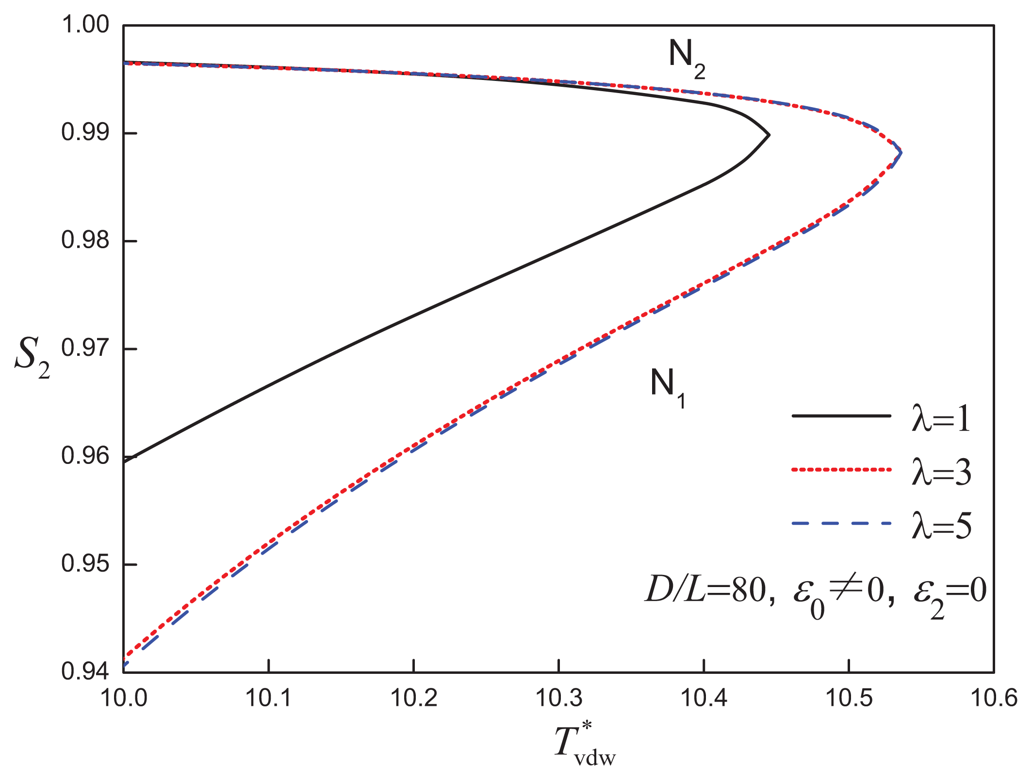
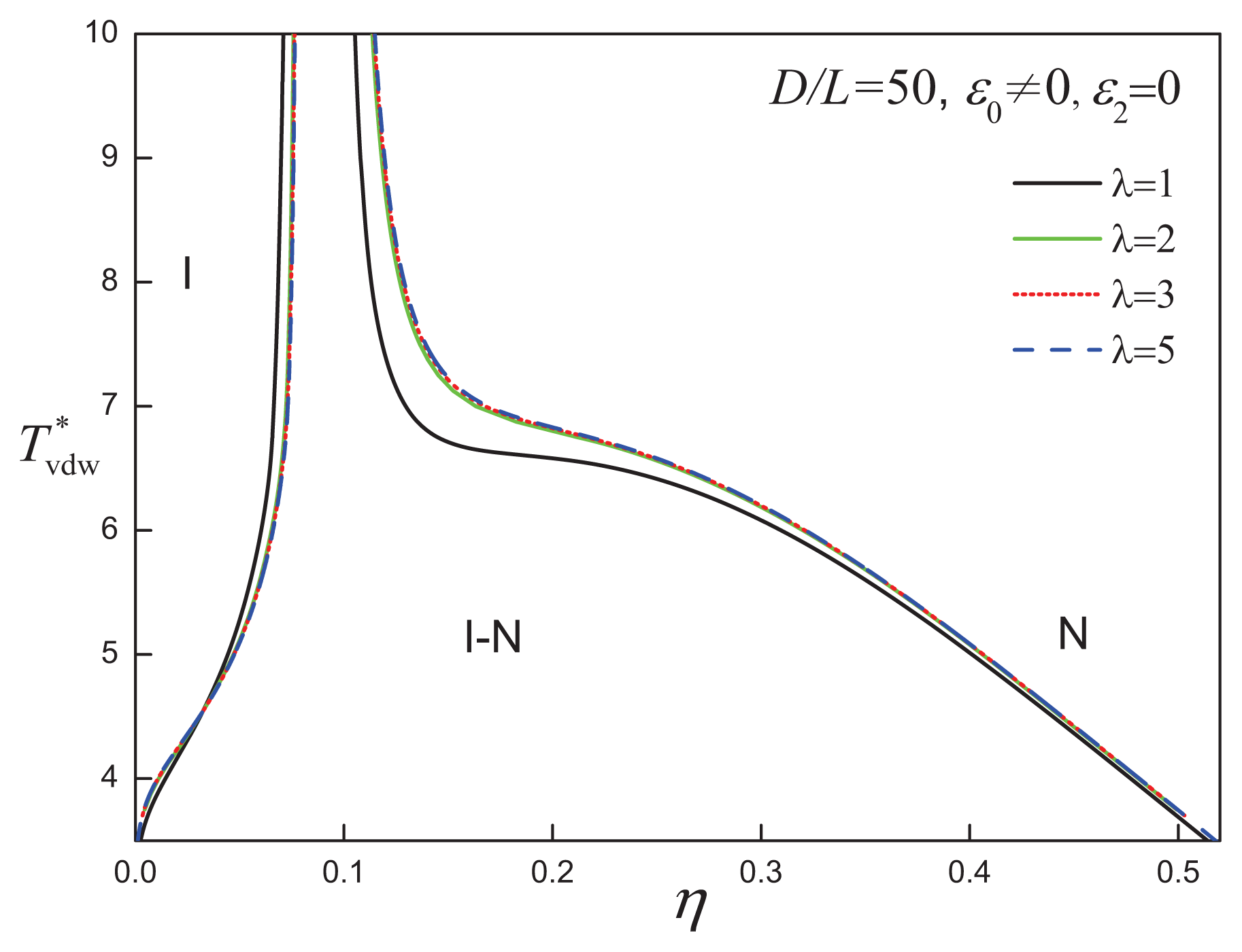
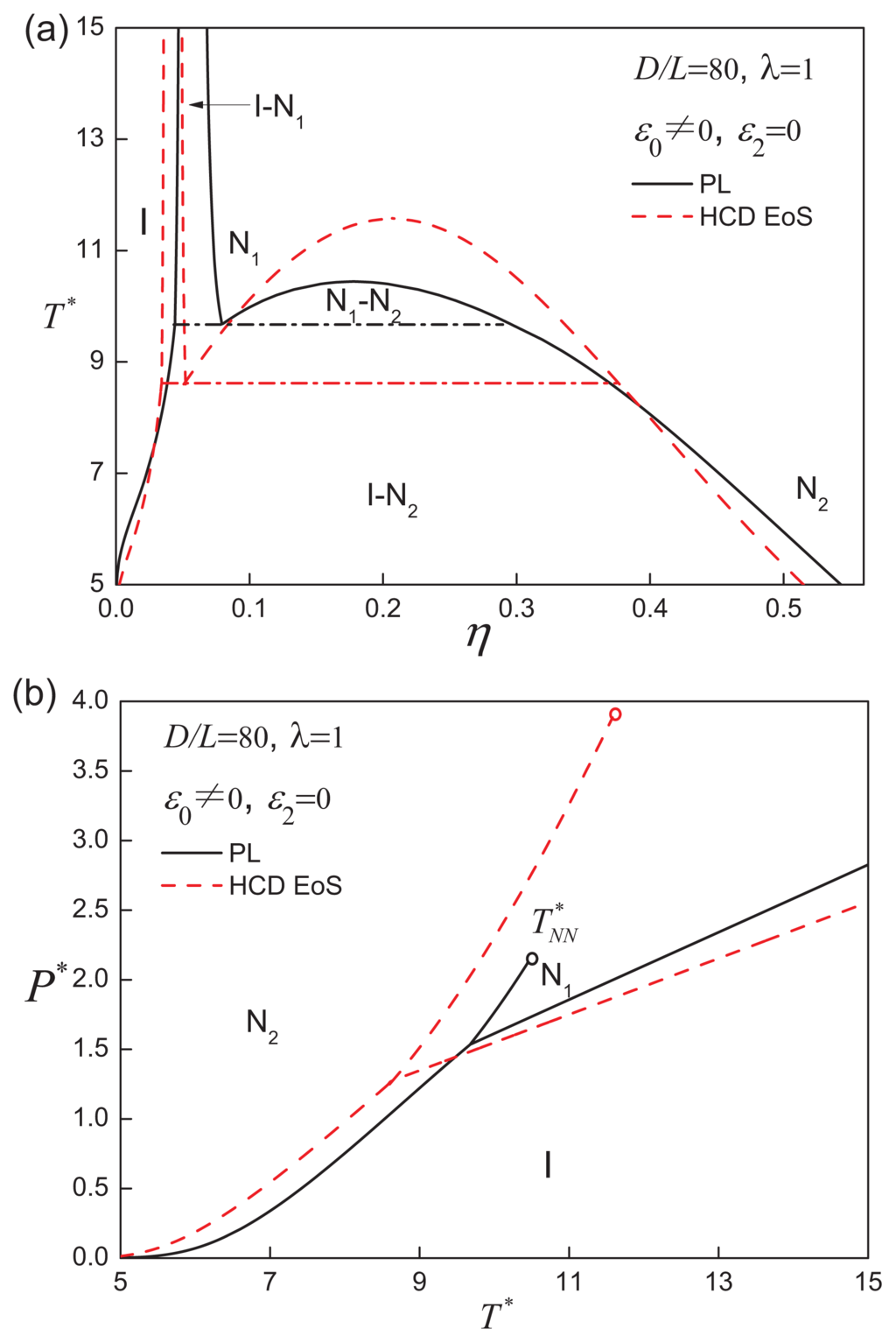
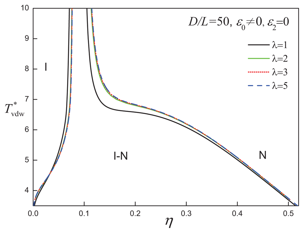
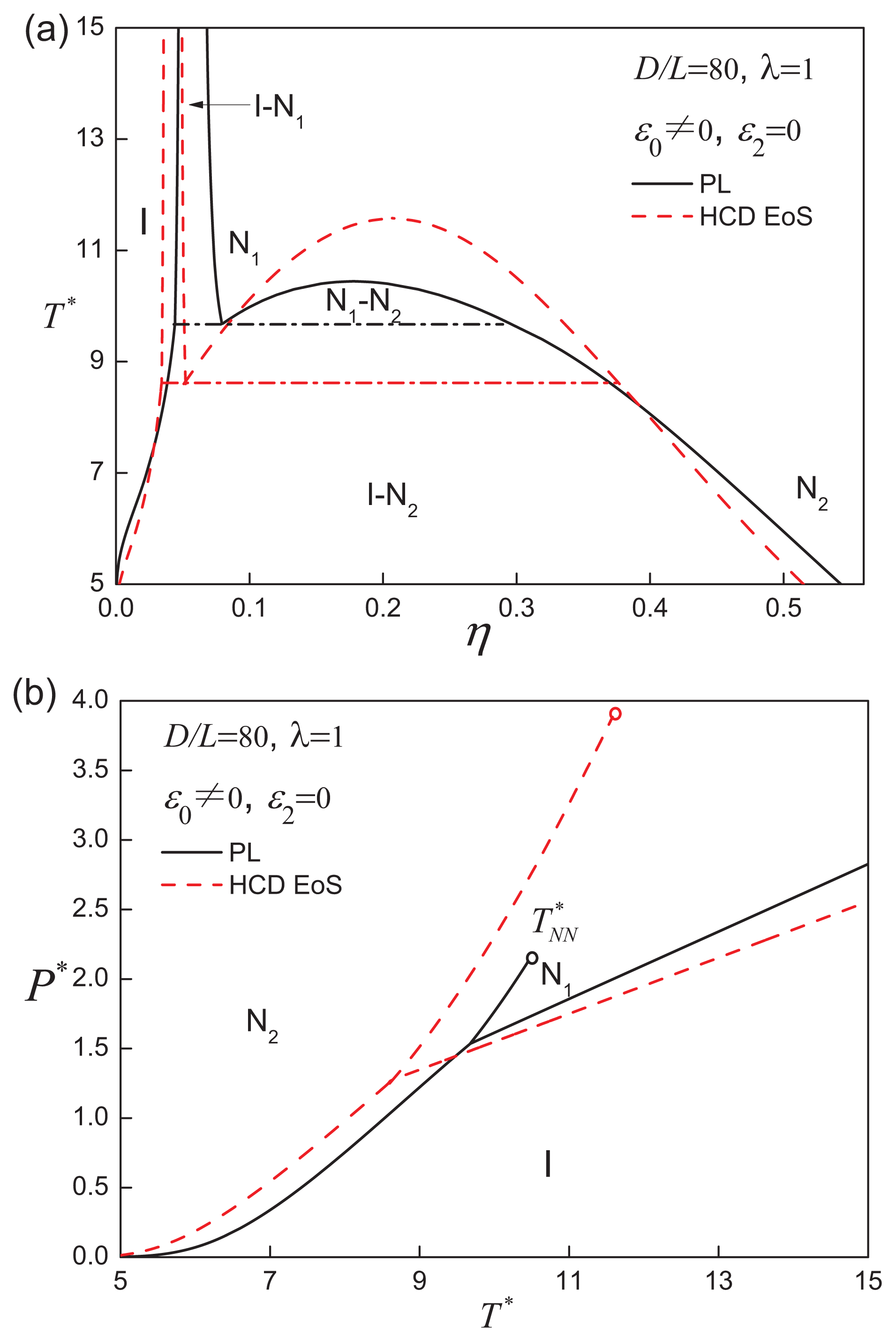
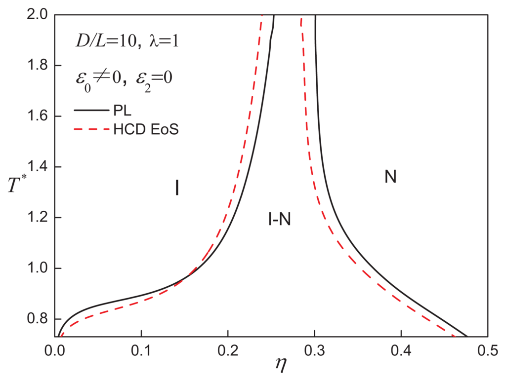
3.1. Attractive Cylindrical Discs with Isotropic SW Potentials
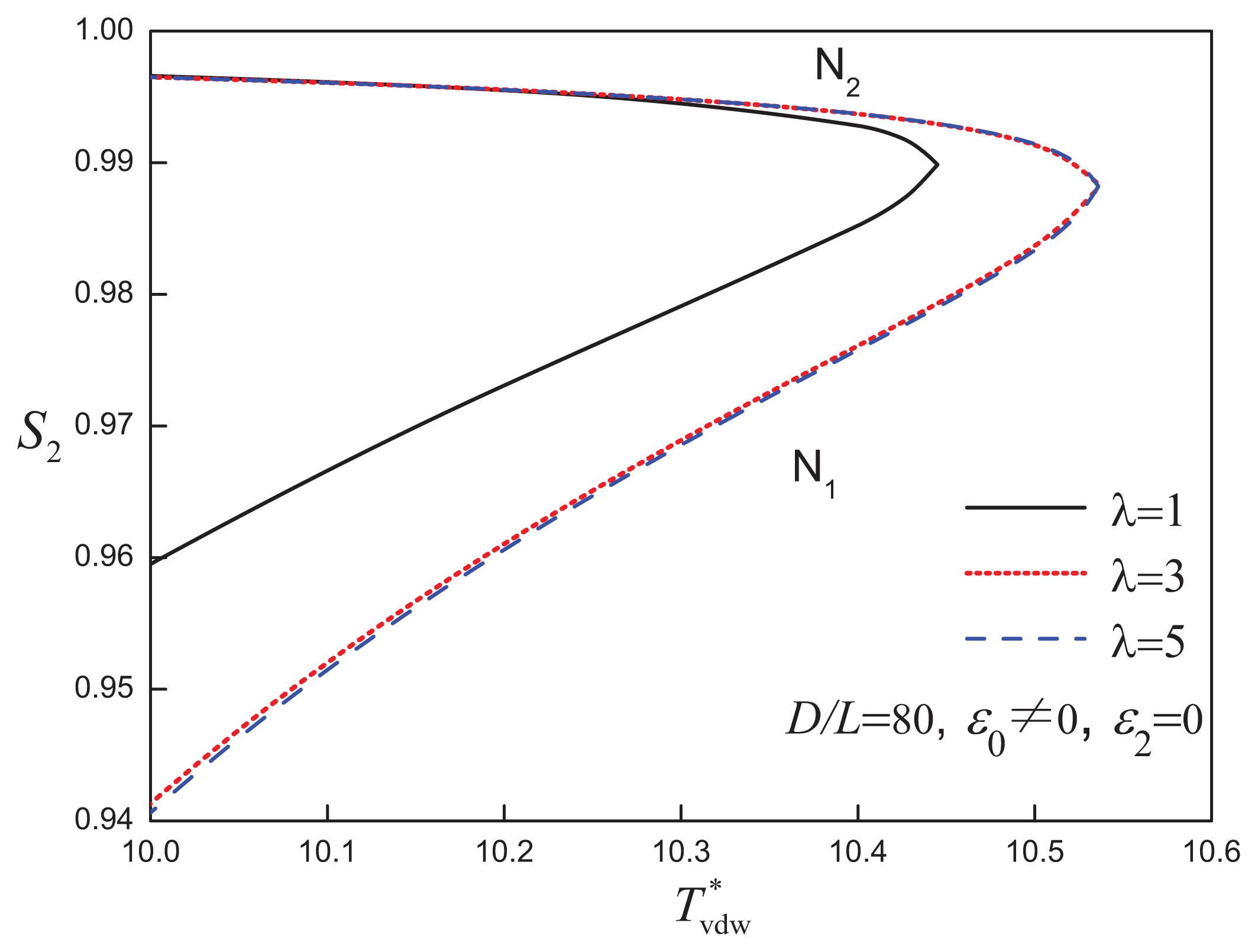
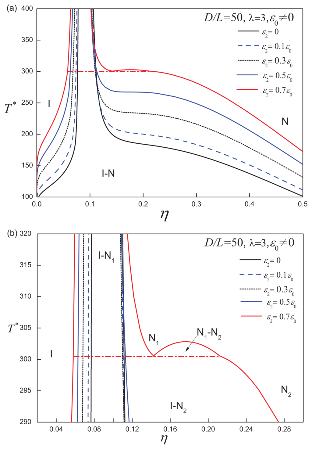
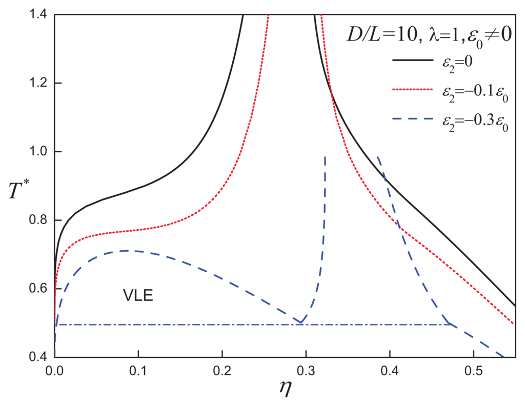
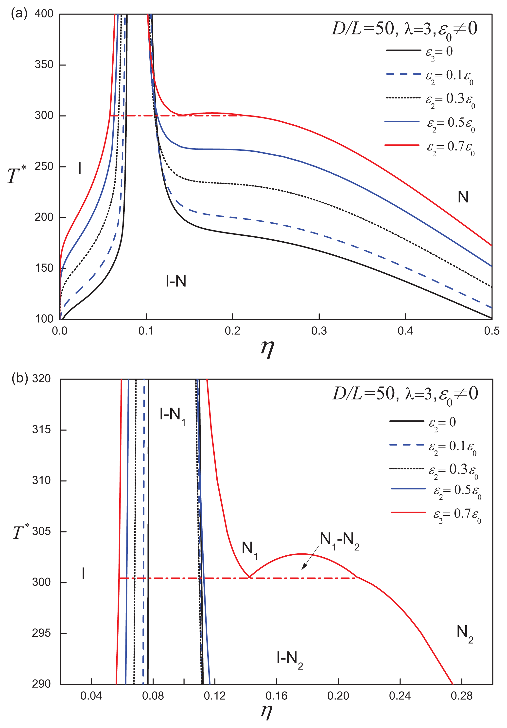
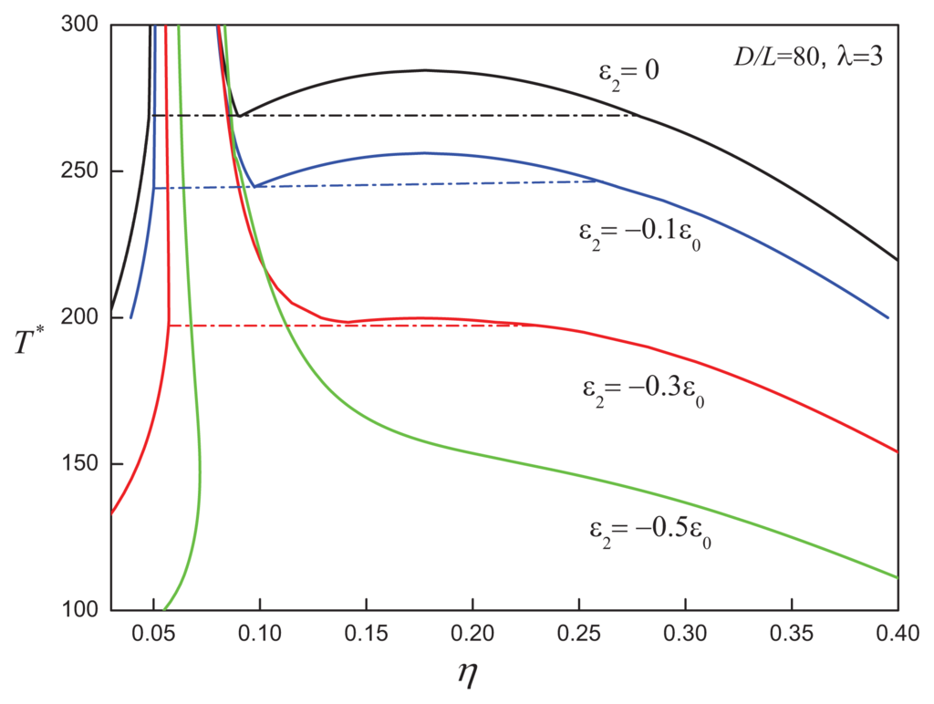
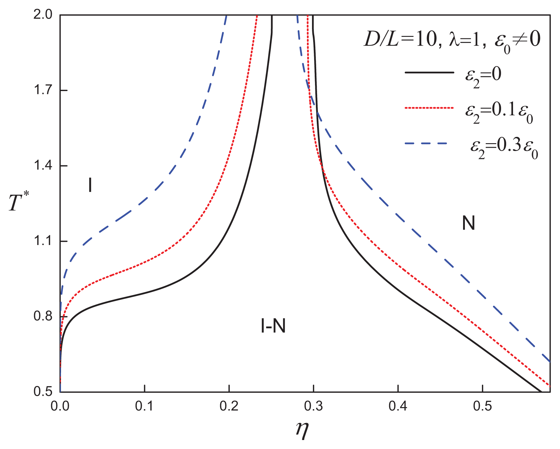
3.2. Attractive Cylindrical Discs with Anisotropic SW Potentials
4. Conclusions
Acknowledgments
Conflict of Interest
References
- Collings, P.J.; Hird, M. Introduction to Liquid Crystals. Chemistry and Physics; Taylor & Francis: London, UK; p. 1997.
- Chandrasekhar, S. Liquid Crystals, 2nd ed; Cambridge University Press: Cambridge, UK; p. 1992.
- De Gennes, P.-G.; Prost, J. The Physics of Liquid Crystals, 2nd ed; Oxford University Press: Oxford, UK; p. 1993.
- Reinitzer, F. Beiträge zur kenntiss des cholesterins (in Germany). Monatshefte für Chem. (Wien) 1888, 9, 421–441. [Google Scholar]
- Dunmur, D.; Fukuda, A.; Luckhurst, G.R. Physical Properties of Liquid Crystals. Nematics (EMIS Datareviews Series No. 25); INSPEC: London, UK, 2001. [Google Scholar]
- Collings, P.J. Liquid Crystals. Nature’s Delicate Phase of Matter, 2nd ed; Princeton University Press: Princeton, NJ, USA; p. 2002.
- Guillon, D.; Donnio, B.; Bruce, D.W.; Cukiernik, F.D.; Rusjan, M. Columnar mesomorphic order in thermotropic liquid crystals. Mol. Cryst. Liquid Cryst 2003, 396, 141–154. [Google Scholar]
- Onsager, L. The effects of shape on the interaction of colloidal particles. Ann. N. Y. Acad. Sci 1949, 51, 627–659. [Google Scholar]
- Brown, A.B.D.; Clarke, S.M.; Rennie, A.R. Ordered phase of platelike particles in concentrated dispersions. Langmuir 1998, 14, 3129–3132. [Google Scholar]
- Van der Kooij, F.M.; Lekkerkerker, H.N.W. Formation of nematic liquid crystals in suspensions of hard colloidal platelets. J. Phys. Chem. B 1998, 102, 7829–7832. [Google Scholar]
- Van der Kooij, F.M.; Kassapidou, K.; Lekkerkerker, H.N.W. Liquid crystal phase transitions in suspensions of polydisperse plate-like particles. Nature 2000, 406, 868–871. [Google Scholar]
- Van der Kooij, F.M.; van der Beek, D.; Lekkerkerker, H.N.W. Isotropic-nematic phase separation in suspensions of polydisperse colloidal platelets. J. Phys. Chem. B 2001, 105, 1696–1700. [Google Scholar]
- Liu, S.; Zhang, J.; Wang, N.; Liu, W.; Zhang, C.; Sun, D. Liquid-crystalline phases of colloidal dispersions of layered double hydroxides. Chem. Mater 2003, 15, 3240–3241. [Google Scholar]
- Fossum, J.O.; Gudding, E.; Fonseca, D.d.M.; Meheust, Y.; DiMasi, E.; Gog, T.; Venkataraman, C. Observations of orientational ordering in aqueous suspensions of a nano-layered silicate. Energy 2005, 30, 873–883. [Google Scholar]
- Michot, L.J.; Bihannic, I.; Maddi, S.; Funari, S.S.; Baravian, C.; Levitz, P.; Davidson, P. Liquid-crystalline aqueous clay suspensions. Proc. Natl. Acad. Sci. USA 2006, 103, 16101–16104. [Google Scholar]
- Lekkerkerker, H.N.W.; Tuiner, R. Colloids and the Depletion Interaction; Springer: Berlin/Heidelberg, Germany, 2011. [Google Scholar]
- Speight, J.G. The Chemistry and Technology of Petroleum, Fourth Edition (Chemical Industries); Marcel Dekker: New York, NY, USA; p. 1999.
- Shishido, M.; Inomata, H.; Arai, K.; Saito, S. Application of liquid crystal theory to the estimation of mesophase pitch phase-transition behavior. Carbon 1997, 35, 797–799. [Google Scholar]
- Hurt, R.H.; Hu, Y. Thermodynamics of carbonaceous mesophase. Carbon 1999, 37, 281–292. [Google Scholar]
- Aguilera-Mercado, B.; Herdes, C.; Murgich, J.; Müller, E.A. Mesoscopic simulation of aggregation of asphaltene and resin molecules in crude oils. Energy & Fuels 2006, 20, 327–338. [Google Scholar]
- Burgess, W.A.; Zhuang, M.S.; Hu, Y.; Hurt, R.H.; Thies, M.C. SAFT-LC: An equation of state for predicting liquid-crystalline phase behavior in carbonaceous pitches. Ind. Eng. Chem. Res 2007, 46, 7018–7026. [Google Scholar]
- Artola, P.A.; Pereira, F.E.; Adjiman, C.S.; Galindo, A.; Müller, E.A.; Jackson, G.; Haslam, A.J. Understanding the fluid phase behaviour of crude oil: Asphaltene precipitation. Fluid Phase Equilibria 2011, 306, 129–136. [Google Scholar]
- Eppenga, R.; Frenkel, D. Monte-Carlo study of the isotropic and nematic phases of infinitely thin hard platelets. Mol. Phys 1984, 52, 1303–1334. [Google Scholar]
- Frenkel, D.; Mulder, B.M. The hard ellipsoid-of-revolution fluid I. Monte Carlo simulations. Mol. Phys 1985, 55, 1171–1192. [Google Scholar]
- Veerman, J.A.C.; Frenkel, D. Phase-behavior of disk-like hard-core mesogens. Phys. Rev. A 1992, 45, 5632–5648. [Google Scholar]
- Samborski, A.; Evans, G.T.; Mason, C.P.; Allen, M.P. The isotropic to nematic liquid crystal transition for hard ellipsoids: An Onsager-like theory and computer simulations. Mol. Phys 1994, 81, 263–276. [Google Scholar]
- Bates, M.A.; Frenkel, D. Infinitely thin disks exhibit a first order nematic-columnar phase transition. Phys. Rev. E 1998, 57, 4824–4826. [Google Scholar]
- Zhang, S.D.; Reynolds, P.A.; van Duijneveldt, J.S. Phase behavior of mixtures of colloidal platelets and nonadsorbing polymers. J. Chem. Phys 2002, 117, 9947–9958. [Google Scholar]
- Van der Beek, D.; Reich, H.; van der Schoot, P.; Dijkstra, M.; Schilling, T.; Vink, R.; Schmidt, M.; van Roij, R.; Lekkerkerker, H.N.W. Isotropic-nematic interface and wetting in suspensions of colloidal platelets. Phys. Rev. Lett 2006, 97, 087801. [Google Scholar]
- Reich, H.; Dijkstra, M.; van Roij, R.; Schmidt, M. Entropic wetting and the free isotropic-nematic interface of hard colloidal platelets. J. Phys. Chem. B 2007, 111, 7825–7835. [Google Scholar]
- Reich, H.; Schmidt, M. Capillary nematization of hard colloidal platelets confined between two parallel hard walls. J. Phys. Condens. Matter 2007, 19, 326103. [Google Scholar]
- Cuetos, A.; Martínez-Haya, B. Columnar phases of discotic spherocylinders. J. Chem. Phys 2008, 129, 214706. [Google Scholar]
- Duncan, P.D.; Dennison, M.; Masters, A.J.; Wilson, M.R. Theory and computer simulation for the cubatic phase of cut spheres. Phys. Rev. E 2009, 79, 031702. [Google Scholar]
- Martínez-Haya, B.; Cuetos, A. Simulation study of discotic molecules in the vicinity of the isotropic-liquid crystal transition. Mol. Simul 2009, 35, 1077–1083. [Google Scholar]
- Martínez-Haya, B.; Cuetos, A. Columnar phases of discotics with orientation-dependent interactions. J. Chem. Phys 2009, 131, 074901. [Google Scholar]
- Marechal, M.; Cuetos, A.; Martínez-Haya, B.; Dijkstra, M. Phase behavior of hard colloidal platelets using free energy calculations. J. Chem. Phys 2011, 134, 094501. [Google Scholar]
- Harnau, L.; Rowan, D.; Hansen, J.-P. Thermodynamics and phase behavior of the lamellar Zwanzig model. J. Chem. Phys 2002, 117, 11359. [Google Scholar]
- Bier, M.; Harnau, L.; Dietrich, S. Bulk and interfacial properties of binary hard-platelet fluids. Phys. Rev. E 2004, 69, 021506. [Google Scholar]
- Wensink, H.H. Equation of state of a dense columnar liquid crystal. Phys. Rev. Lett 2004, 93, 157801. [Google Scholar]
- Costa, D.; Hansen, J.-P.; Harnau, L. Structure and equation of state of interaction site models for disc-shaped lamellar colloids. Mol. Phys 2005, 103, 1917–1927. [Google Scholar]
- You, X.M.; Vlasov, A.Y.; Masters, A.J. The equation of state of isotropic fluids of hard convex bodies from a high-level virial expansion. J. Chem. Phys 2005, 123, 034510. [Google Scholar]
- Masters, A.J. Virial expansions. J. Phys. Condens. Matter 2008, 20, 283102. [Google Scholar]
- Cheung, D.L.; Anton, L.; Allen, M.P.; Masters, A.J.; Phillips, J.; Schmidt, M. Structure and stability of isotropic states of hard platelet fluids. Phys. Rev. E 2008, 78, 041201. [Google Scholar]
- Wensink, H.H.; Lekkerkerker, H.N.W. Phase diagram of hard colloidal platelets: A theoretical account. Mol. Phys 2009, 107, 2111–2118. [Google Scholar]
- Gámez, F.; Merkling, P.J.; Lago, S. Parsons-Lee approach for oblate hard spherocylinders. Chem. Phys. Lett 2010, 494, 45–49. [Google Scholar]
- Wu, L.; Wensink, H.H.; Jackson, G.; Müller, E.A. A generic equation of state for liquid crystalline phases of hard-oblate particles. Mol. Phys 2012, 110, 1269–1288. [Google Scholar]
- Piñeiro, M.M.; Galindo, A.; Parry, A.O. Surface ordering and capillary phenomena of confined hard cut-sphere particles. Soft Matter 2007, 3, 768–778. [Google Scholar]
- Chandler, D.; Weeks, J.D.; Andersen, H.C. Van der Waals picture of liquids, solids, and phase transformations. Science 1983, 220, 787–794. [Google Scholar]
- Hansen, J.-P.; McDonald, I.R. Theory of Simple Liquids, 3rd ed; Academic Press: New York, NY, USA, 2006. [Google Scholar]
- Kimura, H. Nematic ordering of rod-like molecules interacting via anisotropic dispersion forces as weII as rigid-body repulsions. J. Phys. Soc. Jpn 1974, 36, 1280–1287. [Google Scholar]
- Cotter, M.A. Hard spherocylinders in an anisotropic mean field: A simple model for a nematic liquid crystal. J. Chem. Phys 1977, 66, 1098–1106. [Google Scholar]
- Cotter, M.A. Generalized van der Waals theory of nematic liquid crystals: Requirements for self-consistency. J. Chem. Phys 1977, 67, 4268–4270. [Google Scholar]
- Cotter, M.A. Generalized van der Waals theory of nematic liquid crystals: An alternative formulation. J. Chem. Phys 1977, 66, 4710–4711. [Google Scholar]
- Gelbart, W.M.; Baron, B.A. Generalized van der Waals theory of the isotropic–nematic phase transition. J. Chem. Phys 1977, 66, 207–213. [Google Scholar]
- Gelbart, W.M.; Barboy, B. A van der Waals picture of the isotropic-nematic liquid crystal phase transition. Acc. Chem. Res 1980, 13, 290–296. [Google Scholar]
- Bolhuis, P.G.; Stroobants, A.; Frenkel, D.; Lekkerkerker, H.N.W. Numerical study of the phase behavior of rodlike colloids with attractive interactions. J. Chem. Phys 1997, 107, 1551–1564. [Google Scholar]
- Williamson, D.C. The ‘convex peg’ model: The long range approximation. Mol. Phys 1998, 95, 319–329. [Google Scholar]
- Teixeira, P.I.C. A thermotropic nematic of slightly non-spherical molecules: Generalized van der Waals theory. Mol. Phys 1999, 96, 805–811. [Google Scholar]
- Garcia, E.; Williamson, D.C.; Martínez-Richa, A. Effects of molecular geometry on liquid crystalline phase behaviour: Isotropic-nematic transition. Mol. Phys 2000, 98, 179–192. [Google Scholar]
- García-Sánchez, E.; Martínez-Richa, A.; Villegas-Gasca, J.A.; Mendoza-Huizar, L.H.; Gil-Villegas, A. Predicting the phase diagram of a liquid crystal using the convex peg model and the semiempirical PM3 method. J. Phys. Chem. A 2002, 106, 10342–10349. [Google Scholar]
- Williamson, D.C.; del Rio, F. The isotropic–nematic phase transition in a fluid of square well spherocylinders. J. Chem. Phys 1998, 109, 4675–4686. [Google Scholar]
- Williamson, D.C.; Guevara, Y. Deviation from corresponding states for a fluid of square well spherocylinders. J. Phys. Chem. B 1999, 103, 7522–7530. [Google Scholar]
- Del Río, E.M.; Galindo, A.; de Miguel, E. Density functional theory and simulation of the columnar phase of a system of parallel hard ellipsoids with attractive interactions. Phys. Rev. E 2005, 72, 051707. [Google Scholar]
- Gámez, F.; Lago, S.; Garzón, B.; Merkling, P.J.; Vega, C. Vapour-liquid equilibrium of fluids composed by oblate molecules. Mol. Phys 2008, 106, 1331–1339. [Google Scholar]
- McGrother, S.C.; Gil-Villegas, A.; Jackson, G. The liquid-crystalline phase behaviour of hard spherocylinders with terminal point dipoles. J. Phys. Condens. Matter 1996, 8, 9649–9655. [Google Scholar]
- Groh, B.; Dietrich, S. Orientational order in dipolar fluids consisting of nonspherical hard particles. Phys. Rev. E 1997, 55, 2892–2901. [Google Scholar]
- Gil-Villegas, A.; McGrother, S.C.; Jackson, G. Chain and ring structures in smectic phases of molecules with transverse dipoles. Chem. Phys. Lett 1997, 269, 441–447. [Google Scholar]
- McGrother, S.C.; Gil-Villegas, A.; Jackson, G. The effect of dipolar interactions on the liquid crystalline phase transitions of hard spherocylinders with central longitudinal dipoles. Mol. Phys 1998, 95, 657–673. [Google Scholar]
- Varga, S.; Szalai, I.; Liszi, J.; Jackson, G. A study of orientational ordering in a fluid of dipolar Gay–Berne molecules using density-functional theory. J. Chem. Phys 2002, 116, 9107–9119. [Google Scholar] [Green Version]
- Williamson, D.C.; Thacker, N.A.; Williams, S.R. Effects of intramolecular dipolar coupling on the isotropic-nematic phase transition of a hard spherocylinder fluid. Phys. Rev. E 2005, 71, 021702. [Google Scholar]
- Varga, S.; Jackson, G. Study of the pitch of fluids of electrostatically chiral anisotropic molecules: Mean-field theory and simulation. Mol. Phys 2006, 104, 3681–3691. [Google Scholar]
- Wensink, H.H.; Jackson, G. Generalized van der Waals theory for the twist elastic modulus and helical pitch of cholesterics. J. Chem. Phys 2009, 130, 234911. [Google Scholar]
- Wensink, H.H.; Jackson, G. Cholesteric order in systems of helical Yukawa rods. J. Phys. Condens. Matter 2011, 23, 194107. [Google Scholar]
- Frenkel, D. Columnar ordering as an excluded-volume effect. Liquid Cryst 1989, 5, 929–940. [Google Scholar]
- Emerson, A.; Luckhurst, G.R.; Whatling, S. Computer simulation studies of anisotropic systems XXIII. The Gay-Berne discogen. Mol. Phys 1994, 82, 113–124. [Google Scholar]
- Camp, P.J.; Allen, M.P.; Bolhuis, P.G.; Frenkel, D. Demixing in hard ellipsoid rod-plate mixtures. J. Chem. Phys 1997, 106, 9270–9275. [Google Scholar]
- Franco-Melgar, M.; Haslam, A.J.; Jackson, G. Advances in generalised van derWaals approaches for the isotropic-nematic fluid phase equilibria of thermotropic liquid crystals-an algebraic equation of state for attractive anisotropic particles with the Onsager trial function. Mol. Phys 2009, 107, 2329–2358. [Google Scholar]
- Franco-Melgar, M. Developing a Molecular-Based Equation of State for Engineering Applications of Fluid-Phase Equilibria and Orientational Ordering in Liquid Crystal Systems. In Ph.D. Thesis; Imperial College London: London, UK, 2006. [Google Scholar]
- Stone, A.J. The Theory of Intermolecular Forces; Clarendon Press: Oxford, UK; p. 1996.
- Zwanzig, R.W. High-temperature equation of state by a perturbation method. I. nonpolar gases. J. Chem. Phys 1954, 22, 1420–1426. [Google Scholar]
- Parsons, J.D. Nematic ordering in system of rods. Phys. Rev. A 1979, 19, 1225–1230. [Google Scholar]
- Lee, S.-D. A numerical investigation of nematic ordering based on a simple hard-rod model. J. Chem. Phys 1987, 87, 4972–4974. [Google Scholar]
- Lee, S.-D. The Onsager-type theory for nematic ordering of finite-length hard ellipsoids. J. Chem. Phys 1988, 89, 7036–7037. [Google Scholar]
- Carnahan, N.F.; Starling, K.E. Equation of state for nonattracting rigid spheres. J. Chem. Phys 1969, 51, 635–636. [Google Scholar]
- Yelash, L.V.; Kraska, T.; Müller, E.A.; Carnahan, N.F. Simplified equation of state for non-spherical hard particles : An optimized shape factor approach. Phys. Chem. Chem. Phys 1999, 1, 4919–4924. [Google Scholar]
- Luckhurst, G.R.; Gray, G.W. The Molecular Physics of Liquid Crystals; Academic Press: London, UK; p. 1979.
- Ibarra-Avalos, N.; Gil-Villegas, A.; Martínez-Richa, A. Excluded volume of hard cylinders of variable aspect ratio. Mol. Simul 2007, 33, 505–515. [Google Scholar]
- Herzfeld, J.; Berger, A.E.; Wingate, J.W. A highly convergent algorithm for computing the orientation distribution functions of rodlike particles. Macromolecules 1984, 17, 1718–1723. [Google Scholar]
- Vroege, G.J.; Lekkerkerker, H.N.W. Phase-transition in lyotropic colloidal and polymer liquid-crystals. Rep. Progr. Phys 1992, 55, 1241–1309. [Google Scholar]
- Williamson, D.C.; Jackson, G. Monte-Carlo annealing technique for the minimization of the Onsager free-energy functional. Mol. Phys 1994, 83, 603–611. [Google Scholar]
- Franco-Melgar, M.; Haslam, A.J.; Jackson, G. A generalisation of the Onsager trial-function approach: Describing nematic liquid crystals with an algebraic equation of state. Mol. Phys 2008, 106, 649–678. [Google Scholar]
- Meneses-Juáres, E.; Varga, S.; Orea, P.; Odriozola, G. Towards understanding the empty liquid of colloidal platelets: Vapour–liquid phase coexistence of square-well oblate ellipsoids. Soft Matter 2013, 9, 5277–5284. [Google Scholar]
- Flory, P.J. Phase equilibria in solutions of rod-like particles. Proc. R. Soc. Lond. A 1956, 234, 73–89. [Google Scholar]
- Warner, M.; Flory, P.J. The phase equilibria in thermotropic liquid crystalline systems. J. Chem. Phys 1980, 73, 6327–6332. [Google Scholar]
- Horton, J.C.; Donald, A.M.; Hill, A. Coexistence of two liquid crystalline phases in poly(γ-benzyl-α, L-glutamate) solutions. Nature 1990, 346, 44–45. [Google Scholar]
- Khokhlov, A.R.; Semenov, A.N. On the theory of liquid-crystalline ordering of polymer chains with limited fexibility. J. Stat. Phys 1985, 38, 161–182. [Google Scholar]
- Varga, S.; Williamson, D.C.; Szalai, I. Square-well fluid based decoupling approximation for system of hard non-spherical particles with spherical square-wells. Mol. Phys 1999, 96, 1695–1703. [Google Scholar]
- Wu, L.; Müller, E.A.; Jackson, G. Understanding and describing the liquid crystalline states of polypeptide solutions: A coarse-grained model of PBLG in DMF. Macromolecules 2013. submitted for publication. [Google Scholar]
- Vijayaraghavan, D.; Kumar, S. Effect of slow cooling on a discotic nematic liquid crystal: Evidences for nematic–nematic transitions. Mol. Cryst. Liquid Cryst 2006, 452, 11–26. [Google Scholar]
- Hagen, M.H.J.; Frenkel, D. Determination of phase diagrams for the hard-core attractive Yukawa system. J. Chem. Phys 1994, 101, 4093–4097. [Google Scholar]
- Bolhuis, P.G.; Hagen, M.H.J.; Frenkel, D. Isostructural solid-solid transition in crystalline systems with short-ranged interaction. Phys. Rev. E 1994, 50, 4880–4890. [Google Scholar]
- Gil-Villegas, A.; Galindo, A.; Whitehead, P.J.; Mills, S.J.; Jackson, G.; Burgess, A.N. Statistical associating fluid theory for chain molecules with attractive potentials of variable range. J. Chem. Phys 1997, 106, 4168–4186. [Google Scholar]
- Müller, E.A.; Gubbins, K.E. Molecular-based equations of state for associating fluids: A review of SAFT and related approaches. Ind. Eng. Chem. Res 2001, 40, 2193–2211. [Google Scholar]
- Lymperiadis, A.; Adjiman, C.S.; Galindo, A.; Jackson, G. A group contribution method for associating chain molecules based on the statistical associating fluid theory (SAFT-). J. Chem. Phys 2007, 127, 234903. [Google Scholar]
- Lymperiadis, A.; Adjiman, C.S.; Jackson, G.; Galindo, A. A generalisation of the SAFT- group contribution method for groups comprising multiple spherical segments. Fluid Phase Equilibria 2008, 274, 85–104. [Google Scholar]
- Avendaño, C.; Lafitte, T.; Galindo, A.; Adjiman, C.S.; Jackson, G.; Müller, E.A. SAFT- force field for the simulation of molecular fluids.1. A single-site coarse grained model of carbon dioxide. J. Phys. Chem. B 2011, 115, 11154–11169. [Google Scholar]
- Lafitte, T.; Avendaño, C.; Papaioannou, V.; Galindo, A.; Adjiman, C.S.; Jackson, G.; Müller, E.A. SAFT- force field for the simulation of molecular fluids: 3. Coarse-grained models of benzene and hetero-group models of n-decylbenzene. Mol. Phys 2012, 110, 1189–1203. [Google Scholar]
- Avendaño, C.; Lafitte, T.; Adjiman, C.S.; Galindo, A.; Müller, E.A.; Jackson, G. SAFT- force field for the simulation of molecular fluids: 2. Coarse-grained models of greenhouse gases, refrigerants, and long alkanes. J. Phys. Chem. B 2013, 117, 2717–2733. [Google Scholar]














© 2013 by the authors; licensee MDPI, Basel, Switzerland This article is an open access article distributed under the terms and conditions of the Creative Commons Attribution license (http://creativecommons.org/licenses/by/3.0/).
Share and Cite
Wu, L.; Jackson, G.; Müller, E.A. Liquid Crystal Phase Behaviour of Attractive Disc-Like Particles. Int. J. Mol. Sci. 2013, 14, 16414-16442. https://doi.org/10.3390/ijms140816414
Wu L, Jackson G, Müller EA. Liquid Crystal Phase Behaviour of Attractive Disc-Like Particles. International Journal of Molecular Sciences. 2013; 14(8):16414-16442. https://doi.org/10.3390/ijms140816414
Chicago/Turabian StyleWu, Liang, George Jackson, and Erich A. Müller. 2013. "Liquid Crystal Phase Behaviour of Attractive Disc-Like Particles" International Journal of Molecular Sciences 14, no. 8: 16414-16442. https://doi.org/10.3390/ijms140816414
APA StyleWu, L., Jackson, G., & Müller, E. A. (2013). Liquid Crystal Phase Behaviour of Attractive Disc-Like Particles. International Journal of Molecular Sciences, 14(8), 16414-16442. https://doi.org/10.3390/ijms140816414
