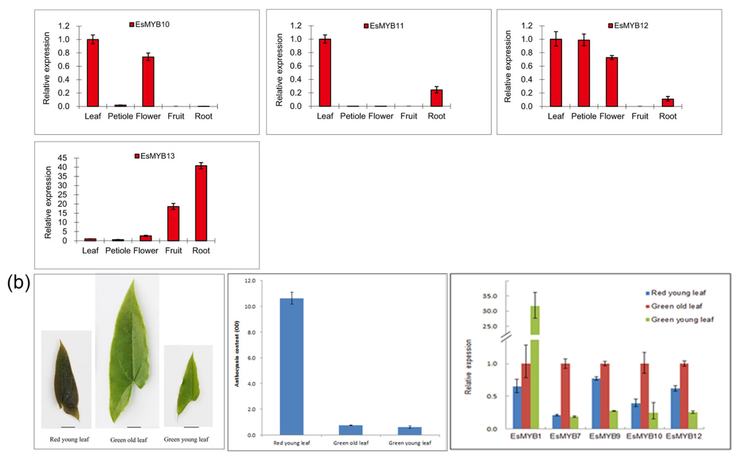
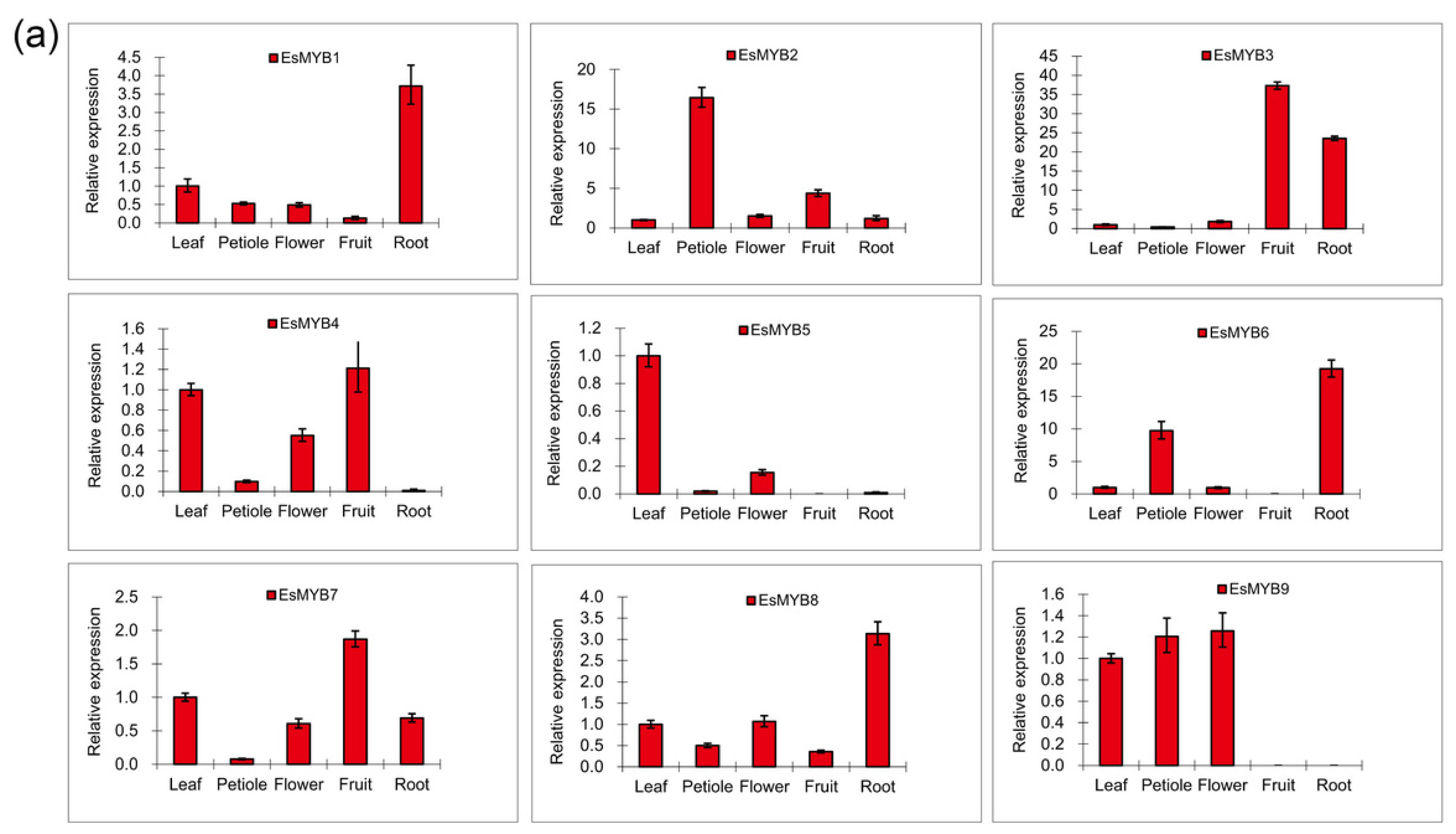
Isolation and Molecular Characterization of Thirteen R2R3-MYB Transcription Factors from Epimedium sagittatum
- Supplementary File 1:
Supplemental Table (PDF, 124 KiB)
- Supplementary File 2:
Supplemental Figures (PDF, 725 KiB)
Huang, W.; Sun, W.; Lv, H.; Xiao, G.; Zeng, S.; Wang, Y. Isolation and Molecular Characterization of Thirteen R2R3-MYB Transcription Factors from Epimedium sagittatum. Int. J. Mol. Sci. 2013, 14, 594-610. https://doi.org/10.3390/ijms14010594
Huang W, Sun W, Lv H, Xiao G, Zeng S, Wang Y. Isolation and Molecular Characterization of Thirteen R2R3-MYB Transcription Factors from Epimedium sagittatum. International Journal of Molecular Sciences. 2013; 14(1):594-610. https://doi.org/10.3390/ijms14010594
Chicago/Turabian StyleHuang, Wenjun, Wei Sun, Haiyan Lv, Gong Xiao, Shaohua Zeng, and Ying Wang. 2013. "Isolation and Molecular Characterization of Thirteen R2R3-MYB Transcription Factors from Epimedium sagittatum" International Journal of Molecular Sciences 14, no. 1: 594-610. https://doi.org/10.3390/ijms14010594

