Immune Responses in Pigs Induced by Recombinant DNA Vaccine Co-Expressing Swine IL-18 and Membrane Protein of Porcine Reproductive and Respiratory Syndrome Virus
Abstract
:1. Introduction
2. Results
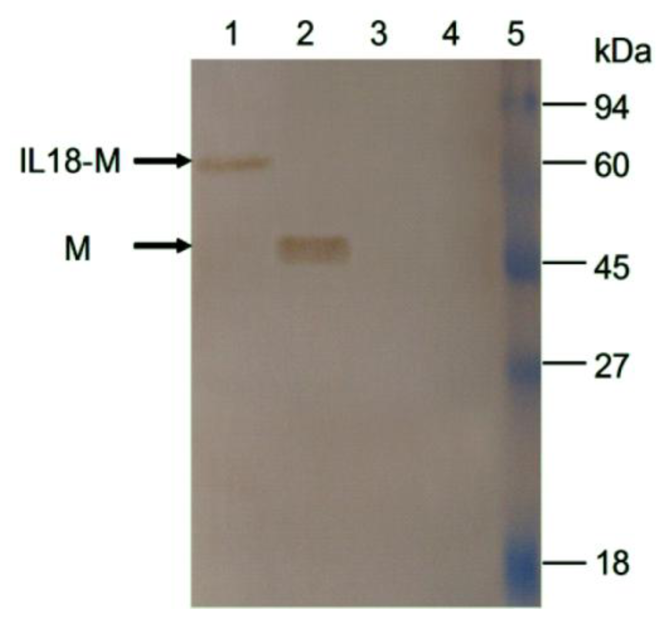
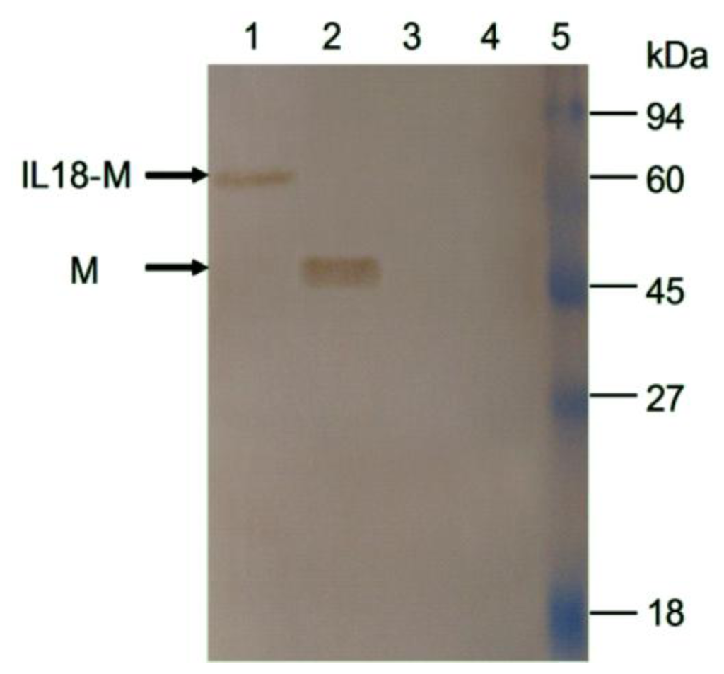
2.1. Construction and Expression of Recombinant Eukaryotic Plasmids
2.2. Humoral Immune Responses
2.3. Lymphocyte Proliferation Responses
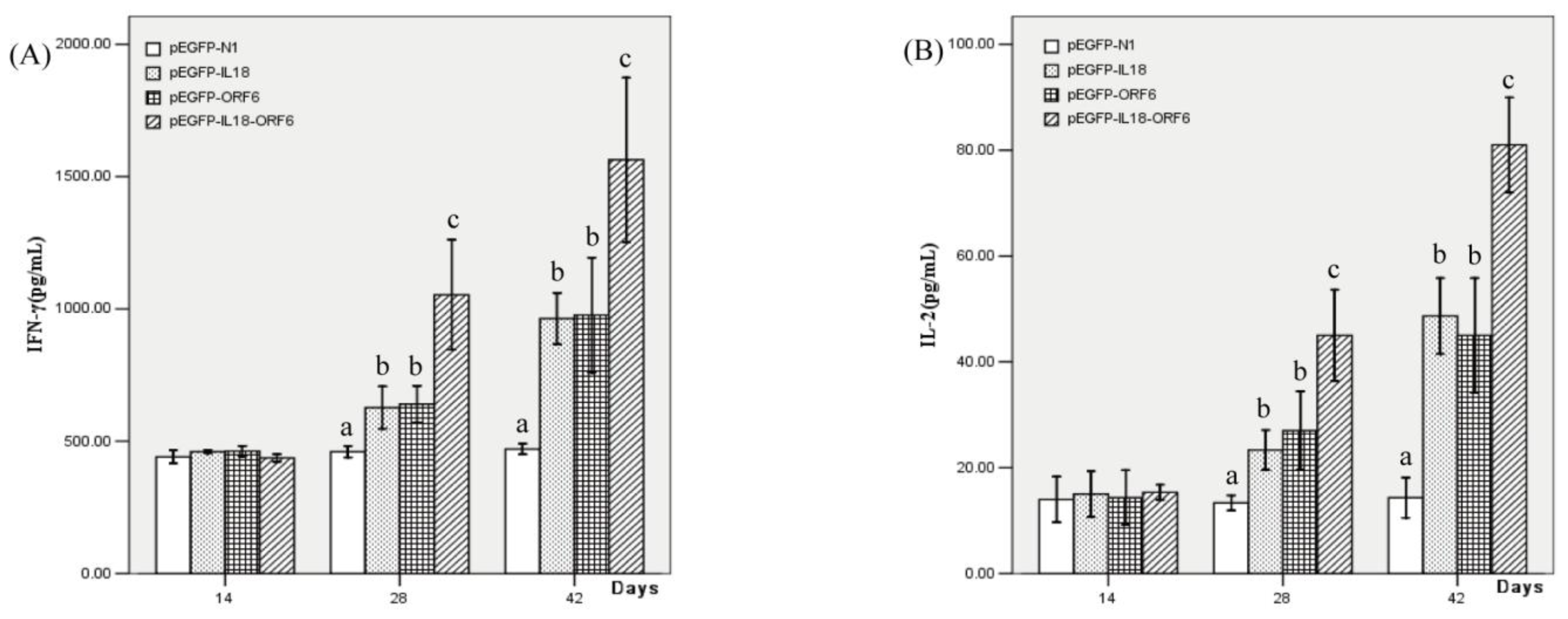
2.4. Cellular Immune Response
3. Discussion
4. Materials and Methods
4.1. Virus, Cells and Plasmid
4.2. Construction of the Eukaryotic Expression Plasmids
4.3. Identification of Expressions of M and M with IL-18 Proteins through Fluorescent Microscope and Western Blot
4.4. Immunization of Pigs with the Recombinant Plasmids
4.5. Indirect ELISA
4.6. Serum Neutralization Assay
4.7. Lymphocyte Proliferation Assay
4.8. Cytokine Assay
4.9. Statistical Analysis
5. Conclusion
Acknowledgement
References
- Guo, B.Q.; Chen, Z.S.; Liu, W.X.; Cui, Y.Z. Isolation and identification of porcine reproductive and respiratory syndrome (PRRS) virus from aborted fetuses suspected of PRRS (in Chinese). Chin. J. Anim. Poult. Infect. Dis 1996, 2, 1–5. [Google Scholar]
- Tian, K.; Yu, X.; Zhao, T.; Feng, Y.; Cao, Z.; Wang, C.; Hu, Y.; Chen, X.; Hu, D.; Tian, X.; et al. Emergence of fatal PRRSV variants: Unparalleled outbreaks of atypical PRRS in China and molecular dissection of the unique hallmark. PLoS One 2007, 2, 1–10. [Google Scholar]
- Tong, G.Z.; Zhou, Y.J.; Hao, X.F.; Tian, Z.J.; An, T.Q.; Qiu, H.J. Highly pathogenic porcine reproductive and respiratory syndrome in China. Emerg. Infect. Dis 2007, 13, 1434–1436. [Google Scholar]
- Wu, J.; Li, J.; Tian, F.; Ren, S.; Yu, M.; Chen, J.; Lan, Z.; Zhang, X.; Yoo, D.; Wang, J. Genetic variation and pathogenicity of highly virulent porcine reproductive and respiratory syndrome virus emerging in China. Arch. Virol 2009, 154, 1589–1597. [Google Scholar]
- Snijder, E.J.; Meulenberg, J.J.M. The molecular biology of arteriviruses. J. Gen. Virol 1998, 79, 961–979. [Google Scholar]
- Ziebuhr, J.; Snijder, E.J.; Gorbalenya, A.E. Virus-encoded proteinases and proteolytic processing in the Nidovirales. J. Gen. Virol 2000, 81, 853–879. [Google Scholar]
- Fang, Y.; Snijder, E.J. The PRRSV replicase: Exploring the multifunctionality of an intriguing set of nonstructural proteins. Virus Res 2010, 154, 61–76. [Google Scholar]
- Wu, W.H.; Fang, Y.; Farwell, R.; Steffen-Bien, M.; Rowland, R.R.; Christopher-Hennings, J.; Nelson, E.A. A 10-Ku structural protein of porcine reproductive and respiratory syndrome virus encoded by ORF2b. Virology 2001, 287, 183–191. [Google Scholar]
- Dea, S.; Gagnon, C.A.; Mardassi, H.; Pirzadeh, B.; Rogan, D. Current knowledge on the structural proteins of porcine reproductive and respiratory syndrome (PRRS) virus: Comparison of the North American and European isolates. Arch. Virol 2000, 145, 659–688. [Google Scholar]
- Johnson, C.R.; Griggs, T.F.; Gnanandarajah, J.S.; Murtaugh, M.P. Novel structural protein in porcine reproductive and respiratory syndrome virus encoded in an alternative ORF5 present in all arteriviruses. J. Gen. Virol 2011, 92, 1107–1116. [Google Scholar]
- Firth, A.E.; Zevenhoven-Dobbe, J.C.; Wills, N.M.; Go, Y.Y.; Balasuriya, U.; Atkins, J.F.; Snijder, E.J.; Posthuma, C.C. Discovery of a small arterivirus gene that overlaps the GP5 coding sequence and is important for virus production. J. Gen. Virol 2011, 92, 1097–1106. [Google Scholar]
- Cancel-Tirado, S.M.; Evans, R.B.; Yoon, K.J. Monoclonal antibody analysis of porcine reproductive and respiratory syndrome virus epitopes associated with antibody dependent enhancement and neutralization of virus infection. Vet. Immunol. Immunopathol 2004, 102, 249–262. [Google Scholar]
- Bautista, E.M.; Suarez, P.; Molitor, T.W. T cell responses to the structural polypeptides of porcine reproductive and respiratory syndrome virus. Arch. Virol 1999, 144, 117–134. [Google Scholar]
- Zheng, Q.; Chen, D.; Li, P.; Bi, Z.; Cao, R.; Zhou, B.; Chen, P. Co-expressing GP5 and M proteins under different promoters in recombinant modified vaccinia virus ankara (rMVA)-based vaccine vector enhanced the humoral and cellular immune responses of porcine reproductive and respiratory syndrome virus (PRRSV). Virus Genes 2007, 35, 585–595. [Google Scholar]
- Rompato, G.; Ling, E.; Chen, Z.; van Kruiningen, H.; Garmendia, A.E. Positive inductive effect of IL-2 on virus-specific cellular responses elicited by a PRRSV-ORF7 DNA vaccine in swine. Vet. Immunol. Immunopathol 2006, 109, 151–160. [Google Scholar]
- Xue, Q.; Zhao, Y.G.; Zhou, Y.J.; Qiu, H.J.; Wang, Y.F.; Wu, D.L.; Tian, Z.J.; Tong, G.Z. Immune responses of swine following DNA immunization with plasmids encoding porcine reproductive and respiratory syndrome virus ORFs 5 and 7, and porcine IL-2 and IFN gamma. Vet. Immunol. Immunopathol 2004, 102, 291–298. [Google Scholar]
- Carter, Q.L.; Curiel, R.E. Interleukin-12 (IL-12) ameliorates the effects of porcine respiratory and reproductive syndrome virus (PRRSV) infection. Vet. Immunol. Immunopathol 2005, 107, 105–118. [Google Scholar]
- Cao, J.; Wang, X.; Du, Y.; Li, Y.; Wang, X.; Jiang, P. CD40 ligand expressed in adenovirus can improve the immunogenicity of the GP3 and GP5 of porcine reproductive and respiratory syndrome virus in swine. Vaccine 2010, 28, 7514–7522. [Google Scholar]
- Wang, X.; Li, J.; Jiang, P.; Li, Y.; Zeshan, B.; Cao, J.; Wang, X. GM-CSF fused with GP3 and GP5 of porcine reproductive and respiratory syndrome virus increased the immune responses and protective efficacy against virulent PRRSV challenge. Virus Res 2009, 143, 24–32. [Google Scholar]
- Shen, G.; Jin, N.; Ma, M.; Jin, K.; Zheng, M.; Zhuang, T.; Lu, H.; Zhu, G.; Jin, H.; Jin, M.; et al. Immune responses of pigs inoculated with a recombinant fowlpox virus coexpressing GP5/GP3 of porcine reproductive and respiratory syndrome virus and swine IL-18. Vaccine 2007, 25, 4193–4202. [Google Scholar]
- Okamura, H.; Tsutsi, H.; Komatsu, T.; Yutsudo, M.; Hakura, A.; Tanimoto, T.; Torigoe, K.; Okura, T.; Nukada, Y.; Hattori, K.; et al. Cloning of a new cytokine that induces IFN-γ production by T cells. Nature 1995, 378, 88–91. [Google Scholar]
- Ushio, S.; Namba, M.; Okura, T.; Hattori, K.; Nukada, Y.; Akita, K.; Tanabe, F.; Konishi, K.; Micallef, M.; Fujii, M.; et al. Cloning of the cDNA for human IFN-gamma-inducing factor, expression in Escherichia coli, and studies on the biologic activities of the protein. J. Immunol 1996, 156, 4274–4279. [Google Scholar]
- Dao, T.; Mehal, W.Z.; Crispe, I.N. IL-18 augments perforin dependent cytotoxicity of liver NK-T cells. J. Immunol 1998, 5, 2217–2222. [Google Scholar]
- Nakanishi, K.; Yoshimoto, T.; Tsutsui, H.; Okamura, H. Interleukin-18 is a unique cytokine that stimulates both Th1 and Th2 responses depending on its cytokine milieu. Cytokine Growth Factor Rev 2001, 12, 53–72. [Google Scholar]
- Zhou, L.; Yang, H.C. Porcine reproductive and respiratory syndrome in China. Virus. Res 2010, 154, 31–37. [Google Scholar]
- Meng, X.J. Heterogeneity of porcine reproductive and respiratory syndrome virus: Implications for current vaccine efficacy and future vaccine development. Vet. Microbiol 2000, 74, 309–329. [Google Scholar]
- Opriessnig, T.; Halbur, P.G.; Yoon, K.J.; Pogranichniy, R.M.; Harmon, K.M.; Evans, R.; Key, K.F.; Pallares, F.J.; Thomas, P.; Meng, X.J. Comparison of molecular and biological characteristics of a modified live porcine reproductive and respiratory syndrome virus (PRRSV) vaccine (ingelvac PRRS MLV), the parent strain of the vaccine (ATCC VR2332), ATCC VR2385, and two recent field isolates of PRRSV. J. Virol 2002, 76, 11837–11844. [Google Scholar]
- Scortti, M.; Prieto, C.; Alvarez, E.; Simarro, I.; Castro, J.M. Failure of an inactivated vaccine against porcine reproductive and respiratory syndrome to protect gilts against a heterologous challenge with PRRSV. Vet. Rec 2007, 161, 809–813. [Google Scholar]
- Lopez, O.J.; Oliveira, M.F.; Garcia, E.A.; Kwon, B.J.; Doster, A.; Osorio, F.A. Protection against porcine reproductive and respiratory syndrome virus (PRRSV) infection through passive transfer of PRRSV-neutralizing antibodies is dose dependent. Clin. Vaccine Immunol 2007, 14, 269–275. [Google Scholar]
- Murtaugh, M.P.; Xiao, P.Z.; Zuckermann, F. Immunological responses of swine to porcine reproductive and respiratory syndrome virus infection. Viral. Immunol 2002, 15, 533–547. [Google Scholar]
- Kwang, J.; Zuckermann, F.; Ross, G.; Yang, S.; Osorio, F.; Liu, W.; Low, S. Antibody and cellular immune responses of swine following immunisation with plasmid DNA encoding the PRRS virus ORF’s 4, 5, 6 and 7. Res.Vet. Sci 1999, 67, 199–201. [Google Scholar]
- Martelli, P.; Gozio, S.; Ferrari, L.; Rosina, S.; de Angelis, E.; Quintavalla, C.; Bottarelli, E.; Borghetti, P. Efficacy of a modified live porcine reproductive and respiratory syndrome virus (PRRSV) vaccine in pigs naturally exposed to a heterologous European (Italian cluster) field strain: Clinical protection and cell-mediated immunity. Vaccine 2009, 27, 3788–3799. [Google Scholar]
- Zuckermann, F.A.; Garcia, E.A.; Luque, I.D.; Christopher-Hennings, J.; Doster, A.; Brito, M.; Osorio, F. Assessment of the efficacy of commercial porcine reproductive and respiratory syndrome virus (PRRSV) vaccines based on measurement of serologic response, frequency of gamma-IFN-producing cells and virological parameters of protection upon challenge. Vet. Microbiol 2007, 123, 69–85. [Google Scholar]
- Lopez Fuertes, L.; Domenech, N.; Alvarez, B.; Ezquerra, A.; Dominguez, J.; Castro, J.M.; Alonso, F. Analysis of cellular immune response in pigs recovered from porcine respiratory and reproductive syndrome infection. Virus Res 1999, 64, 33–42. [Google Scholar]
- Bautista, E.M.; Molitor, T.W. Cell-mediated immunity to porcine reproductive and respiratory syndrome virus in swine. Viral Immunol 1997, 10, 83–94. [Google Scholar]
- Chia, M.; Hsiao, S.; Chan, H.; Do, Y.; Huang, P.; Chang, H.; Tsai, Y.; Lin, C.; Cheng, C.; Pang, V.F.; et al. Improved immunogenicity of DNA constructs co-expressing the GP5 and M proteins of porcine reproductive and respiratory syndrome virus by glycine-proline-glycine-proline (GPGP) linker in mice. Taiwan Vet. J 2011, 37, 12–23. [Google Scholar]
- Jiang, Y.; Fang, L.; Xiao, S.; Li, B.; Pan, Y.; Luo, R.; Chen, H. A suicidal DNA vaccine co-expressing two major membrane-associated proteins of porcine reproductive and respiratory syndrome virus antigens induce protective responses. Biotechnol. Lett 2009, 31, 509–518. [Google Scholar]
- Ding, Z.; Li, Z.; Zhang, X.; Li, Y.; Liu, C.; Zhang, Y.; Li, Y. Proteomic alteration of Marc-145 cells and PAMs after infection by porcine reproductive and respiratory syndrome virus. Vet. Immunol. Immunopathol 2012, 145, 206–213. [Google Scholar]
- Kim, H.S.; Kwang, J.; Yoon, I.J.; Joo, H.S.; Frey, M.L. Enhanced replication of porcine reproductive and respiratory syndrome (PRRS) virus in a homogeneous subpopulation of MA-104 cell line. Arch. Virol 1993, 133, 477–483. [Google Scholar]
- Jiang, Y.; Xiao, S.; Fang, L.; Yu, X.; Song, Y.; Niu, C.; Chen, H. DNA vaccines co-expressing GP5 and M proteins of porcine reproductive and respiratory syndrome virus (PRRSV) display enhanced immunogenicity. Vaccine 2006, 24, 2869–2879. [Google Scholar]
- Huston, J.S.; Levinson, D.; Mudgett-Hunter, M.; Tai, M.S.; Novotný, J.; Margolies, M.N.; Ridge, R.J.; Bruccoleri, R.E.; Haber, E.; Crea, R.; et al. Protein engineering of antibody binding sites:recovery of specific activity in an anti-digoxin single-chain Fv analogue produced in Escherichia coli. Proc. Natl. Acad. Sci. USA 1988, 85, 5879–5883. [Google Scholar]
- Hou, Y.; Chen, J.; Tong, G.; Tian, Z.; Zhou, Y.; Li, G.; Li, X.; Peng, J.; An, T.; Yang, H. A recombinant plasmid co-expressing swine ubiquitin and the GP5 encoding-gene of porcine reproductive and respiratory syndrome virus induces protective immunity in piglets. Vaccine 2008, 26, 1438–1449. [Google Scholar]
- Li, G.; Qiu, H.; Han, C.; Han, L.; Zhou, Y.; Chen, Y.; Li, J.; Tong, G. Vaccination of plasmid DNA encoding somatostatin gene fused with GP5 gene of porcine reproductive and respiratory syndrome virus induces anti-GP5 antibodies and promotes growth performance in immunized pigs. Agric. Sci. China 2006, 5, 234–240. [Google Scholar]
- Martínez-Lobo, F.J.; Díez-Fuertes, F.; Simarro, I.; Castro, J.M.; Prieto, C. Porcine Reproductive and Respiratory Syndrome Virus isolates differ in their susceptibility to neutralization. Vaccine 2011, 29, 6928–6940. [Google Scholar]






© 2012 by the authors; licensee Molecular Diversity Preservation International, Basel, Switzerland. This article is an open-access article distributed under the terms and conditions of the Creative Commons Attribution license (http://creativecommons.org/licenses/by/3.0/).
Share and Cite
Zhang, X.; Wang, X.; Mu, L.; Ding, Z. Immune Responses in Pigs Induced by Recombinant DNA Vaccine Co-Expressing Swine IL-18 and Membrane Protein of Porcine Reproductive and Respiratory Syndrome Virus. Int. J. Mol. Sci. 2012, 13, 5715-5728. https://doi.org/10.3390/ijms13055715
Zhang X, Wang X, Mu L, Ding Z. Immune Responses in Pigs Induced by Recombinant DNA Vaccine Co-Expressing Swine IL-18 and Membrane Protein of Porcine Reproductive and Respiratory Syndrome Virus. International Journal of Molecular Sciences. 2012; 13(5):5715-5728. https://doi.org/10.3390/ijms13055715
Chicago/Turabian StyleZhang, Xiaodong, Xiaoli Wang, Lianzhi Mu, and Zhuang Ding. 2012. "Immune Responses in Pigs Induced by Recombinant DNA Vaccine Co-Expressing Swine IL-18 and Membrane Protein of Porcine Reproductive and Respiratory Syndrome Virus" International Journal of Molecular Sciences 13, no. 5: 5715-5728. https://doi.org/10.3390/ijms13055715
APA StyleZhang, X., Wang, X., Mu, L., & Ding, Z. (2012). Immune Responses in Pigs Induced by Recombinant DNA Vaccine Co-Expressing Swine IL-18 and Membrane Protein of Porcine Reproductive and Respiratory Syndrome Virus. International Journal of Molecular Sciences, 13(5), 5715-5728. https://doi.org/10.3390/ijms13055715
