Application of Ionic Liquids in the Microwave-Assisted Extraction of Proanthocyanidins from Larix gmelini Bark
Abstract
:1. Introduction
2. Results and Discussion
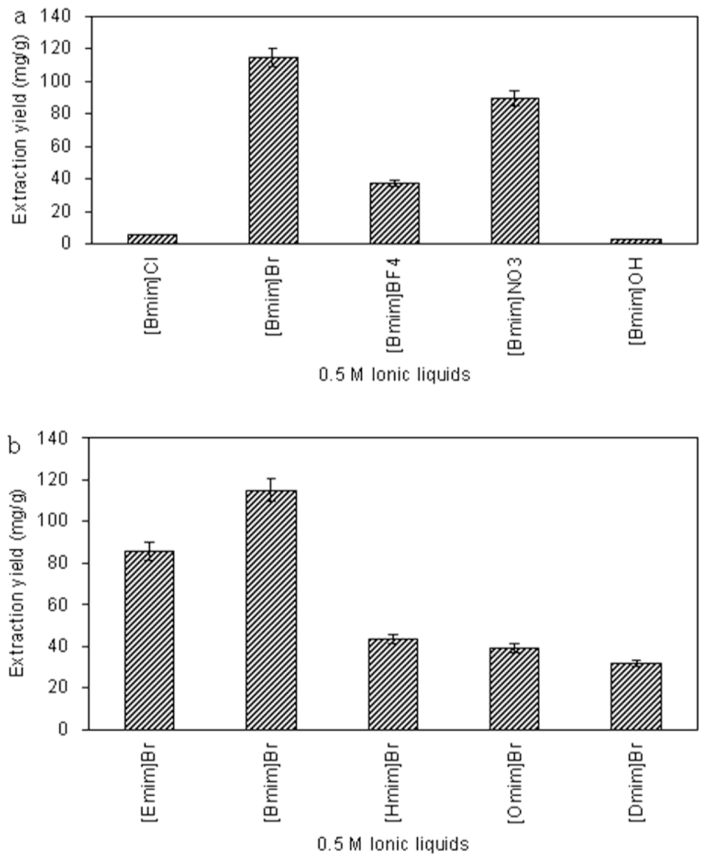
2.1. Screening of the Ionic Liquid-Based Extracting Solvent
2.1.1. Anion Effect
2.1.2. Effect of the Alkyl Chain Length of the Ionic Liquid Cation
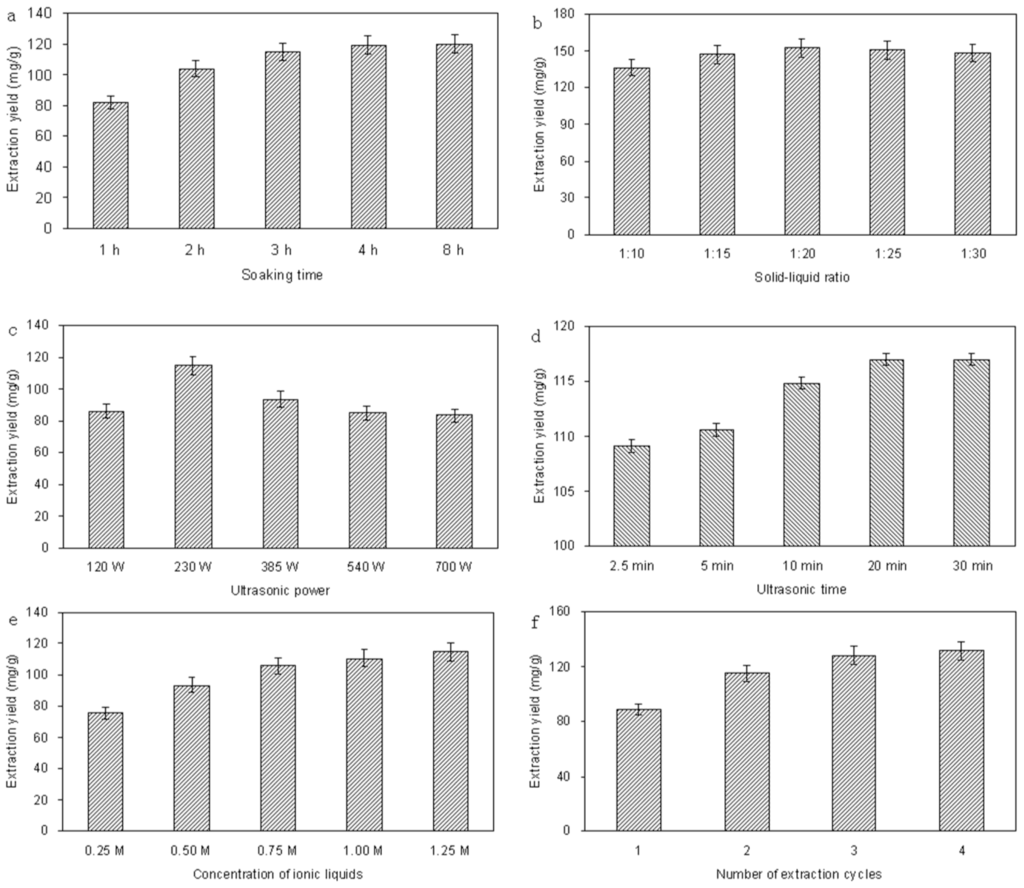
2.2. Optimization of the Extraction Conditions
2.2.1. Effect of Soak Time
2.2.2. Effect of Solid–Liquid Ratio
2.2.3. Effect of Irradiation Power
2.2.4. Effect of Irradiation Time
2.2.5. Effect of [Bmin]Br Concentration
2.2.6. Effect of Number of Extraction Cycles
2.3. Comparison of ILMAE Approach with the Reference and Conventional Methods
2.4. Structural Changes after Extraction
2.4.1. FTIR Analysis
2.4.2. TG and DTG Analysis
2.4.3. Scanning Electronic Microscopy
3. Experimental Section
3.1. Chemicals and Materials
3.2. Microwave-Assisted Extraction Apparatus
3.3. Ionic Liquids Based Microwave-Assisted Extraction
3.4. Reference and Conventional Extraction Method
3.5. Vanillin-HCl Method Quantitative Analysis
3.6. Scanning Electron Microscopy
3.7. Fourier-Transform Infrared Spectroscopy
3.8. Thermogravimetric Analysis
3.9. Statistical Analysis
4. Conclusions
Acknowledgments
References
- Sun, Y.J.; Zhang, J.; Han, A.H.; Wang, X.J. Biomass and carbon pool of Larix gmelini young and middle age forest in Xing’an Mountains Inner Mongolia. Acta Ecol. Sin 2007, 27, 1756–1762. [Google Scholar]
- Shen, Z.B.; Haslam, E.; Falshaw, C.P.; Begley, M.J. Procyanidins and polyphenols of Larix gmelini bark. Phytochemistry 1986, 25, 2629–2635. [Google Scholar]
- Shen, Z.B.; Haslam, E. Proanthocyanidins from Larix gmelini (Rupr.) Rupr. Bark. Chem. Ind. For. Prod 1985, 5, 1–8. [Google Scholar]
- Jia, J.; Yang, L.; Zu, Y.G. Homogenated extraction of oligomeric proanthocyanidins from larch bark and its optimization by response surface methodology. Chem. Ind. For. Prod 2009, 29, 78–84. [Google Scholar]
- Yang, L.; Su, W.Q.; Li, Y.J.; Hao, S.; Liu, W.B. Extraction technology of oligomeric proanthocyanidins. Chem. Ind. For. Prod 2004, 24, 57–60. [Google Scholar]
- Fan, J.L.; Ding, X.L.; Gu, W.Y. Radical-scavenging proanthocyanidins from sea buckthorn seed. Food Chem 2007, 102, 168–177. [Google Scholar]
- Yang, L.; Huang, J.M.; Zu, Y.G.; Ma, C.H.; Wang, H.; Sun, X.W.; Sun, Z. Preparation and radical scavenging activities of polymeric procyanidins nanoparticles by a supercritical antisolvent (SAS) process. Food Chem 2011, 128, 1152–1159. [Google Scholar]
- Skerget, M.; Kotnik, P.; Hadolin, M.; Hras, A.R.; Simonic, M.; Knez, Z. Phenols, proanthocyanidins, flavones and flavonols in some plant materials and their antioxidant activities. Food Chem 2005, 89, 191–198. [Google Scholar]
- Sivakumaran, S.; Molan, A.L.; Meagher, L.P.; Kolb, M.; Foo, L.Y.; Lane, G.A.; Attwood, G.A.; Fraser, K.; Tavendale, M. Variation in antimicrobial action of proanthocyanidins from Dorycnium rectum against rumen bacteria. Phytochemistry 2004, 65, 2485–2497. [Google Scholar]
- Su, X.W.; Howell, A.B.; D’Souza, D.H. Antiviral effects of cranberry juice and cranberry proanthocyanidins on foodborne viral surrogates—A time dependence study in vitro. Food Microbiol 2010, 27, 985–991. [Google Scholar]
- Gonçalves, C.; Dinis, T.; Batista, M.T. Antioxidant properties of proanthocyanidins of Uncaria tomentosa bark decoction: a mechanism for anti-inflammatory activity. Phytochemistry 2005, 66, 89–98. [Google Scholar]
- Nandakumar, V.; Singh, T.; Katiyar, S.K. Multi-targeted prevention and therapy of cancer by proanthocyanidins. Cancer Lett 2008, 269, 378–387. [Google Scholar]
- Aldini, G.; Carini, M.; Piccoli, A.; Rossoni, G.; Facino, R.M. Procyanidins from grape seeds protect endothelial cells from peroxynitrite damage and enhance endothelium-dependent relaxation in human artery: new evidences for cardio-protection. Life Sci 2003, 73, 2883–2898. [Google Scholar]
- Bagchi, D.; Sen, C.K.; Ray, S.D.; Das, D.K.; Bagchi, M.; Preuss, H.G.; Vinson, J.A. Molecular mechanisms of cardioprotection by a novel grape seed proanthocyanidin extract. Mutat. Res 2003, 523–524, 87–97. [Google Scholar]
- Poole, C.F. Chromatographic and spectroscopic methods for the determination of solvent properties of room temperature ionic liquids. J. Chromatogr. A 2004, 1037, 49–82. [Google Scholar]
- Wilkes, J.S. A short history of ionic liquids—from molten salts to neoteric solvents. Green Chem 2002, 30, 73–80. [Google Scholar]
- van Rantwijk, F.; Sheldon, R.A. Biocatalysis in ionic liquids. Chem. Rev 2007, 107, 2757–2785. [Google Scholar]
- Ma, C.H.; Liu, T.T.; Yang, L.; Zu, Y.G.; Wang, S.Y.; Zhang, R.R. Study on ionic liquid-based ultrasonic-assisted extraction of biphenyl cyclooctene lignans from the fruit of Schisandra chinensis Baill. Anal. Chim. Acta 2011, 689, 110–116. [Google Scholar]
- Yang, L.; Wang, H.; Zu, Y.G.; Zhao, C.J.; Zhang, L.; Chen, X.Q.; Zhang, Z.H. Ultrasound-assisted extraction of the three terpenoid indole alkaloids vindoline, catharanthine and vinblastine using ionic liquid solution from Catharanthus roseus. Chem. Eng. J 2011, 172, 705–712. [Google Scholar]
- Ma, C.H.; Liu, T.T.; Yang, L.; Zu, Y.G.; Chen, X.Q.; Zhang, L.; Zhang, Y.; Zhao, C.J. Ionic liquid based microwave simultaneous extraction of essential oil and biphenyl cyclooctene lignans from Schisandra chinensis Baill fruits. J. Chromatogr. A 2011, 1218, 8573–8580. [Google Scholar]
- Du, F.; Xiao, X.; Li, G. Application of ionic liquids in the microwave-assisted extraction of trans-resveratrol from Rhizma Polygoni Cuspidati. J. Chromatogr. A 2007, 1140, 56–62. [Google Scholar]
- Du, F.Y.; Xiao, X.H.; Luo, X.J.; Li, G.K. Application of ionic liquids in the microwave-assisted extraction of polyphenolic compounds from medicinal plants. Talanta 2009, 78, 1177–1184. [Google Scholar]
- Cao, X.; Ye, X.; Lu, Y.; Yu, Y.; Mo, W. Ionic liquid-based ultrasonic-assisted extraction of piperine from white pepper. Anal. Chim. Acta 2009, 640, 47–51. [Google Scholar]
- Yang, L.; Liu, Y.; Zu, Y.G.; Zhao, C.J.; Zhang, L.; Chen, X.Q.; Zhang, Z.H. Optimize the process of ionic liquid-based ultrasonic-assisted extraction of aesculin and aesculetin from Cortex Fraxini by response surface methodology. Chem. Eng. J 2011, 175, 539–547. [Google Scholar]
- Wang, S.Y.; Yang, L.; Zu, Y.G.; Zhao, C.J.; Sun, X.W.; Zhang, L.; Zhang, Z.H. Design and performance evaluation of ionic liquids-microwave based environmental-friendly extraction technique for camptothecin and 10-hydroxycamptothecin from samara of Camptotheca acuminate. Ind. Eng. Chem. Res 2011, 50, 13620–13627. [Google Scholar]
- Zhang, L.; Wang, X. Hydrophobic ionic liquid-based ultrasound-assisted extraction of magnolol and honokiol from cortex Magnoliae officinalis. J. Sep. Sci 2010, 33, 2035–2038. [Google Scholar]
- Zhang, L.J.; Geng, Y.L.; Duan, W.J.; Wang, D.J.; Fu, M.R.; Wang, X. Ionic liquid-based ultrasound-assisted extraction of fangchinoline and tetrandrine from Stephaniae tetrandrae. J. Sep. Sci 2009, 32, 3550–3554. [Google Scholar]
- Liu, T.T.; Sui, X.Y.; Zhang, R.R.; Yang, L.; Zu, Y.G.; Zhang, L.; Zhang, Y.; Zhang, Z.H. Application of ionic liquids based microwave-assisted simultaneous extraction of carnosic acid, rosmarinic acid and essential oil from Rosmarinus officinalis. J. Chromatogr. A 2011, 1218, 8480–8489. [Google Scholar]
- Hemwimon, S.; Pavasant, P.; Shotipruk, A. Microwave-assisted extraction of antioxidative anthraquinones from roots of Morinda citrifolia. Sep. Purif. Technol 2007, 54, 44–50. [Google Scholar]
- Xiao, W.; Han, L.; Shi, B. Microwave-assisted extraction of flavonoids from Radix Astragali. Sep. Purif. Technol 2008, 62, 614–618. [Google Scholar]
- Zhang, B.; Yang, R.; Liu, C.Z. Microwave-assisted extraction of chlorogenic acid from flower buds of Lonicera japonica Thunb. Sep. Purif. Technol 2008, 62, 480–483. [Google Scholar]
- Huddleston, J.G.; Visser, A.E.; Reichert, W.M.; Willauer, H.D.; Broker, G.A.; Rogers, R.D. Characterization and comparison of hydrophilic and hydrophobic room temperature ionic liquids incorporating the imidazolium cation. Green Chem 2001, 3, 156–164. [Google Scholar]
- Guo, Z.; Lue, B.M.; Thomasen, K.; Meyer, A.S.; Xu, X.B. Predictions of flavonoid solubility in ionic liquids by COSMO-RS: Experimental verification, structural elucidation, and solvation characterization. Green Chem 2007, 9, 1362–1373. [Google Scholar]
- Ma, W.; Lu, Y.; Hu, R.; Chen, J.; Zhang, Z.; Pan, Y. Application of ionic liquids based microwave-assisted extraction of three alkaloids N-nornuciferine, O-nornuciferine, and nuciferine from lotus leaf. Talanta 2010, 80, 1292–1297. [Google Scholar]
- Swatloski, R.P.; Spear, S.K.; Holbrey, J.D.; Rogers, R.D. Dissolution of cellose with ionic liquids. J. Am. Chem. Soc 2002, 124, 4974–4975. [Google Scholar]
- Fort, D.A.; Remsing, R.C.; Swatloski, R.P.; Moyna, P.; Moyna, G.; Rogers, R.D. Can ionic liquids dissolve wood? Processing and analysis of lignocellulosic materials with 1-n-butyl-3-methylimidazolium chloride. Green Chem 2007, 9, 63–69. [Google Scholar]
- Broadhurst, R.B.; Jones, W.T. Analysis of condensed tannins using acidified vanillin. J. Sci. Food Agric 1978, 29, 788–794. [Google Scholar]






© 2012 by the authors; licensee Molecular Diversity Preservation International, Basel, Switzerland. This article is an open-access article distributed under the terms and conditions of the Creative Commons Attribution license (http://creativecommons.org/licenses/by/3.0/).
Share and Cite
Yang, L.; Sun, X.; Yang, F.; Zhao, C.; Zhang, L.; Zu, Y. Application of Ionic Liquids in the Microwave-Assisted Extraction of Proanthocyanidins from Larix gmelini Bark. Int. J. Mol. Sci. 2012, 13, 5163-5178. https://doi.org/10.3390/ijms13045163
Yang L, Sun X, Yang F, Zhao C, Zhang L, Zu Y. Application of Ionic Liquids in the Microwave-Assisted Extraction of Proanthocyanidins from Larix gmelini Bark. International Journal of Molecular Sciences. 2012; 13(4):5163-5178. https://doi.org/10.3390/ijms13045163
Chicago/Turabian StyleYang, Lei, Xiaowei Sun, Fengjian Yang, Chunjian Zhao, Lin Zhang, and Yuangang Zu. 2012. "Application of Ionic Liquids in the Microwave-Assisted Extraction of Proanthocyanidins from Larix gmelini Bark" International Journal of Molecular Sciences 13, no. 4: 5163-5178. https://doi.org/10.3390/ijms13045163
APA StyleYang, L., Sun, X., Yang, F., Zhao, C., Zhang, L., & Zu, Y. (2012). Application of Ionic Liquids in the Microwave-Assisted Extraction of Proanthocyanidins from Larix gmelini Bark. International Journal of Molecular Sciences, 13(4), 5163-5178. https://doi.org/10.3390/ijms13045163

