New Dye-Sensitized Solar Cells Obtained from Extracted Bracts of Bougainvillea Glabra and Spectabilis Betalain Pigments by Different Purification Processes
Abstract
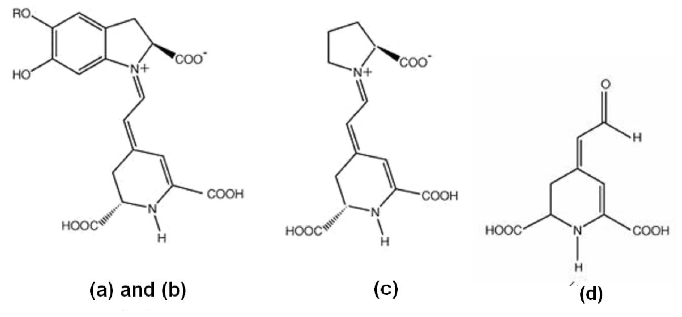
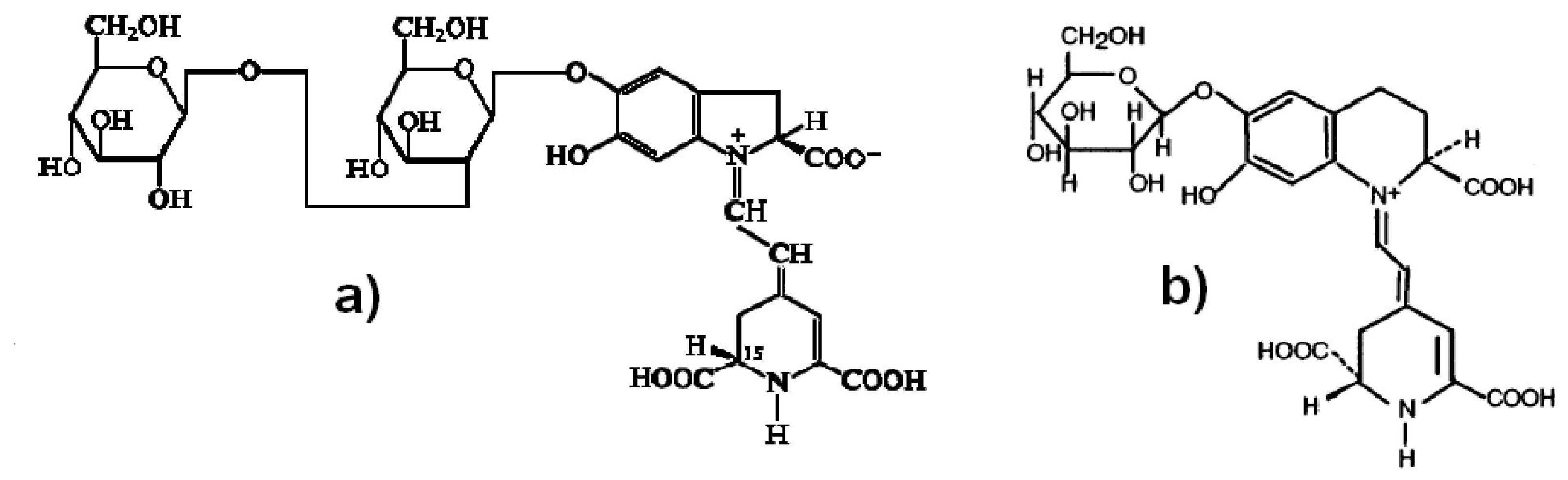
:1. Introduction
2. Experimental Section
2.1. Preparation of Dye-Sensitizer Solutions
2.2. Electrodes Preparation
2.3. DSSC Assembling
2.4. Characterization
3. Results and Discussion
3.1. Absorption Spectra
3.2. Structure and Surface Characteristic
3.3. Photoelectrochemistry
4. Conclusions
Acknowledgments
References
- Grätzel, M. Solar energy conversion by dye-sensitized photovoltaic cells. Inorg Chem 2005, 44, 6841–6851. [Google Scholar]
- Gómez-Ortíz, NM; Vázquez-Maldonado, IA; Pérez-Espadas, AR; Mena-Rejón, GJ; Azamar-Barrios, JA; Oskam, G. Dye-sensitized solar cells with natural dyes extracted from achiote seeds. Solar Energy Mater Solar Cells 2010, 94, 40–44. [Google Scholar]
- O’Regan, B; Grätzel, M. A low-cost, high-efficiency solar cell based on dye sensitized colloidal TiO2 films. Nature 1991, 353, 737–740. [Google Scholar]
- Caramori, S; Cristino, V; Boaretto, R; Argazzi, R; Bignozzi, CA; Di Carlo, A. New components for dye-sensitized solar cells. Int J Photoenergy 2010, 2010, 1–16. [Google Scholar]
- Saito, M; Fujihara, S. Large photocurrent generation in dye-sensitized ZnO solar cells. Energy Environ Sci 2008, 1, 280–283. [Google Scholar]
- Quintana, M; Edvinsson, T; Hagfeldt, A; Boschloo, G. Comparison of dye-sensitized ZnO and TiO2 solar cells: Studies of charge transport and carrier lifetime. J Phys Chem C 2007, 111, 1035–1041. [Google Scholar]
- Fukai, Y; Kondo, Y; Mori, S; Suzuki, E. Highly efficient dye-sensitized SnO2 solar cells having sufficient electron diffusion length. Electrochem Commun 2007, 9, 1439–1443. [Google Scholar]
- Bauer, C; Boschloo, G; Mukhtar, E; Hagfeldt, A. Ultrafast studies of electron injection in Ru dye sensitized SnO2 nanocrystalline thin film. Int J Photoenergy 2002, 4, 17–20. [Google Scholar]
- Sayama, K; Sugihara, H; Arakawa, H. Photoelectrochemical properties of a porous Nb2O5 electrode sensitized by a ruthenium dye. Chem Mater 1998, 10, 3825–3832. [Google Scholar]
- Nazeeruddin, MK; Péchy, P; Renouard, T; Zakeeruddin, SM; Humphry-Baker, R; Comte, P; Liska, P; Cevey, L; Costa, E; Shklover, V; et al. Engineering of efficient panchromatic sensitizers for nanocrystalline TiO2-based solar cells. J Am Chem Soc 2001, 123, 1613–1624. [Google Scholar]
- Hagfeldt, A; Grätzel, M. Molecular photovoltaics. Acc Chem Res 2000, 33, 269–277. [Google Scholar]
- Odobel, F; Blart, E; Lagrée, M. Porphyrin dyes for TiO2 sensitization. J Mater Chem 2003, 13, 502–510. [Google Scholar]
- Nazeeruddin, MK; Humphry-Baker, R; Grätzel, M; Wohrle, D; Schnurpfeil, G; Schneider, G; Hirth, A; Trombach, N. Efficient near-IR sensitization of nanocrystalline TiO2 films by zinc and aluminum phthalocyanines. J Porphyrins Phthalocyanines 1999, 3, 230–237. [Google Scholar]
- He, J; Hagfeldt, A; Lindquist, SE. Phthalocyanine-Sensitized nanostructured TiO2 electrodes prepared by a novel anchoring method. Langmuir 2001, 17, 2743–2747. [Google Scholar]
- Islam, A; Sugihara, H; Hara, K; Singh, LP; Katoh, R; Yanagida, M; Takahashi, Y; Murata, S; Arakawa, H. Dye sensitization of nanocrystalline titanium dioxide with square planar platinum(II) diimine dithiolate complexes. Inorg Chem 2001, 40, 5371–5380. [Google Scholar]
- Rehm, JM; McLendon, GL; Nagasawa, Y; Yoshihara, K; Moser, J; Grätzel, M. Femtosecond electron-transfer dynamics at a sensitizing dye-semiconductor (TiO2) interface. J Phys Chem 1996, 100, 9577–9588. [Google Scholar]
- Zhang, D; Lanier, SM; Downing, JA; Avent, JL; Lum, J; McHale, JL. Betalain pigments for dye-sensitized solar cells. Photochem Photobiol A 2008, 195, 72–80. [Google Scholar]
- Kay, A; Graetzel, M. Photosensitization of titania solar cells with chlorophyll derivatives and related natural porphyrins. J Phys Chem 1993, 97, 6272–6277. [Google Scholar]
- Nazeeruddin, MK; Kay, A; Rodicio, I; Humphry-Baker, R; Mueller, E; Liska, P; Vlachopoulos, N; Graetzel, M. Conversion of light to electricity by cis-X2bis(2,2′-bipyridyl-4,4′-dicarboxylate)ruthenium(II) charge-transfer sensitizers (X = Cl-, Br-, I-, CN-, and SCN-) on nanocrystalline TiO2 electrodes. J Am Chem Soc 1993, 115, 6382–6390. [Google Scholar]
- Calogero, G; Di Marco, G; Cazzanti, S; Caramori, S; Argazzi, R; Di Carlo, AD; Bignozzi, CA. Efficient dye-sensitized solar cells using red turnip and purple wild sicilian prickly pear fruits. Int J Mol Sci 2010, 11, 254–267. [Google Scholar]
- Garcia, CG; Polo, AS; Murakami Iha, NY. Fruit extracts and ruthenium polypyridinic dyes for sensitization of TiO2 in photoelectrochemical solar cells. J Photochem Photobiol A 2003, 160, 87–91. [Google Scholar]
- Calogero, G; Di Marco, G. Red Sicilian orange and purple eggplant fruits as natural sensitizers for dye-sensitized solar cells. Solar Energy Mater Solar Cells 2008, 92, 1341–1346. [Google Scholar]
- Piattelli, M; Imperato, F. Betacyanins from Bougainvillea. Phytochemistry 1970, 9, 455–458. [Google Scholar]
- Butera, D; Tesoriere, L; Di Gaudio, F; Bongiorno, A; Allegra, M; Pintaudi, AM; Kohen, R; Livrea, MA. Antioxidant activities of Sicilian prickly pear (Opuntia ficus indica) fruit extracts and reducing properties of its betalains: Betanin and indicaxanthin. J Agric Food Chem 2002, 50, 6895–6901. [Google Scholar]
- Simon, A; Tóth, G; Duddeck, H; Soliman, HSM; Mahmoud, II; Samir, H. Glycosides from Bougainvillea Glabra. Nat Prod Res 2006, 20, 63–67. [Google Scholar]
- Piattelli, M; Minale, L; Nicolaus, RA. Pigments of centrospermae—V.: Betaxanthins from Mirabilis jalapa L. Phytochemistry 1965, 4, 817–823. [Google Scholar]
- Impellizzeri, G; Piattelli, M; Sciuto, S. Acylated betacyanins from Drosanthemum floribundum. Phytochemistry 1973, 12, 2295–2296. [Google Scholar]
- Wyler, H; Dreiding, AS. Über Betacyane, die stickstoffhaltigen Farbstoffe der Centrospermen. Vorläufige Mitteilung. Cell Mol Life Sci 1961, 17, 23–25. [Google Scholar]
- Piattelli, M; Imperato, F. Pigments of Bougainvillea glabra. Phytochemistry 1970, 9, 2557–2560. [Google Scholar]
- Castellar, R; Obón, JM; Alacid, M; Fernández-lopez, JA. Color properties and stability of betacyanins from Opuntia fruits. J Agric Food Chem 2003, 51, 2772–2776. [Google Scholar]
- Su, C; Sheu, TK; Chang, YT; Wan, MA; Feng, MC; Hung, WC. Preparation of ITO thin films by Sol-Gel process and their characterizations. Synth Metals 2005, 153, 9–12. [Google Scholar]
- Smestad, GP. Education and solar conversion: Demonstrating electron transfer. Solar Energy Mater Solar Cells 1998, 55, 157–178. [Google Scholar]
- Tesoriere, L; Allegra, M; Butera, D; Livrea, MA. Absorption, excretion, and distribution of dietary antioxidant betalains in LDLs: Potential health effects of betalains in humans. Am J Clin Nutr 2004, 80, 941–945. [Google Scholar]
- Sánchez, FD; Lopez, EMS; Kerstupp, SF; Ibarra, RV; Scheinvar, L. Colorant extraction from red prickly pear (Opuntia lasiacantha) for food application. J Environ Agric Food Chem 2006, 5, 1330–1337. [Google Scholar]








| Dye Source * | Jsc (mA/cm2) | JMP (mA/cm2) | VOC (V) | VMP (V) | PM (μW) | PT (μW) | FF | η (%) |
|---|---|---|---|---|---|---|---|---|
| RBG | 2.344 | 1.966 | 0.26 | 0.231 | 0.45 | 0.60 | 0.74 | 0.45 |
| VBG | 1.860 | 1.568 | 0.23 | 0.199 | 0.31 | 0.43 | 0.71 | 0.31 |
| RBS | 2.291 | 2.083 | 0.28 | 0.229 | 0.48 | 0.63 | 0.76 | 0.48 |
| VBS | 1.881 | 1.552 | 0.25 | 0.226 | 0.35 | 0.48 | 0.73 | 0.35 |
| PRBS | 2.327 | 2.12 | 0.26 | 0.228 | 0.48 | 0.61 | 0.79 | 0.49 |
© 2011 by the authors; licensee MDPI, Basel, Switzerland. This article is an open-access article distributed under the terms and conditions of the Creative Commons Attribution license (http://creativecommons.org/licenses/by/3.0/).
Share and Cite
Hernandez-Martinez, A.R.; Estevez, M.; Vargas, S.; Quintanilla, F.; Rodriguez, R. New Dye-Sensitized Solar Cells Obtained from Extracted Bracts of Bougainvillea Glabra and Spectabilis Betalain Pigments by Different Purification Processes. Int. J. Mol. Sci. 2011, 12, 5565-5576. https://doi.org/10.3390/ijms12095565
Hernandez-Martinez AR, Estevez M, Vargas S, Quintanilla F, Rodriguez R. New Dye-Sensitized Solar Cells Obtained from Extracted Bracts of Bougainvillea Glabra and Spectabilis Betalain Pigments by Different Purification Processes. International Journal of Molecular Sciences. 2011; 12(9):5565-5576. https://doi.org/10.3390/ijms12095565
Chicago/Turabian StyleHernandez-Martinez, Angel Ramon, Miriam Estevez, Susana Vargas, Fracisco Quintanilla, and Rogelio Rodriguez. 2011. "New Dye-Sensitized Solar Cells Obtained from Extracted Bracts of Bougainvillea Glabra and Spectabilis Betalain Pigments by Different Purification Processes" International Journal of Molecular Sciences 12, no. 9: 5565-5576. https://doi.org/10.3390/ijms12095565
APA StyleHernandez-Martinez, A. R., Estevez, M., Vargas, S., Quintanilla, F., & Rodriguez, R. (2011). New Dye-Sensitized Solar Cells Obtained from Extracted Bracts of Bougainvillea Glabra and Spectabilis Betalain Pigments by Different Purification Processes. International Journal of Molecular Sciences, 12(9), 5565-5576. https://doi.org/10.3390/ijms12095565
