Laser Induced C60 Cage Opening Studied by Semiclassical Dynamics Simulation
Abstract
:1. Introduction
2. Methodology
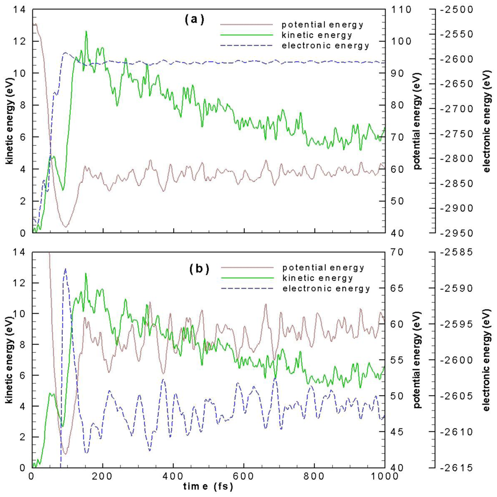
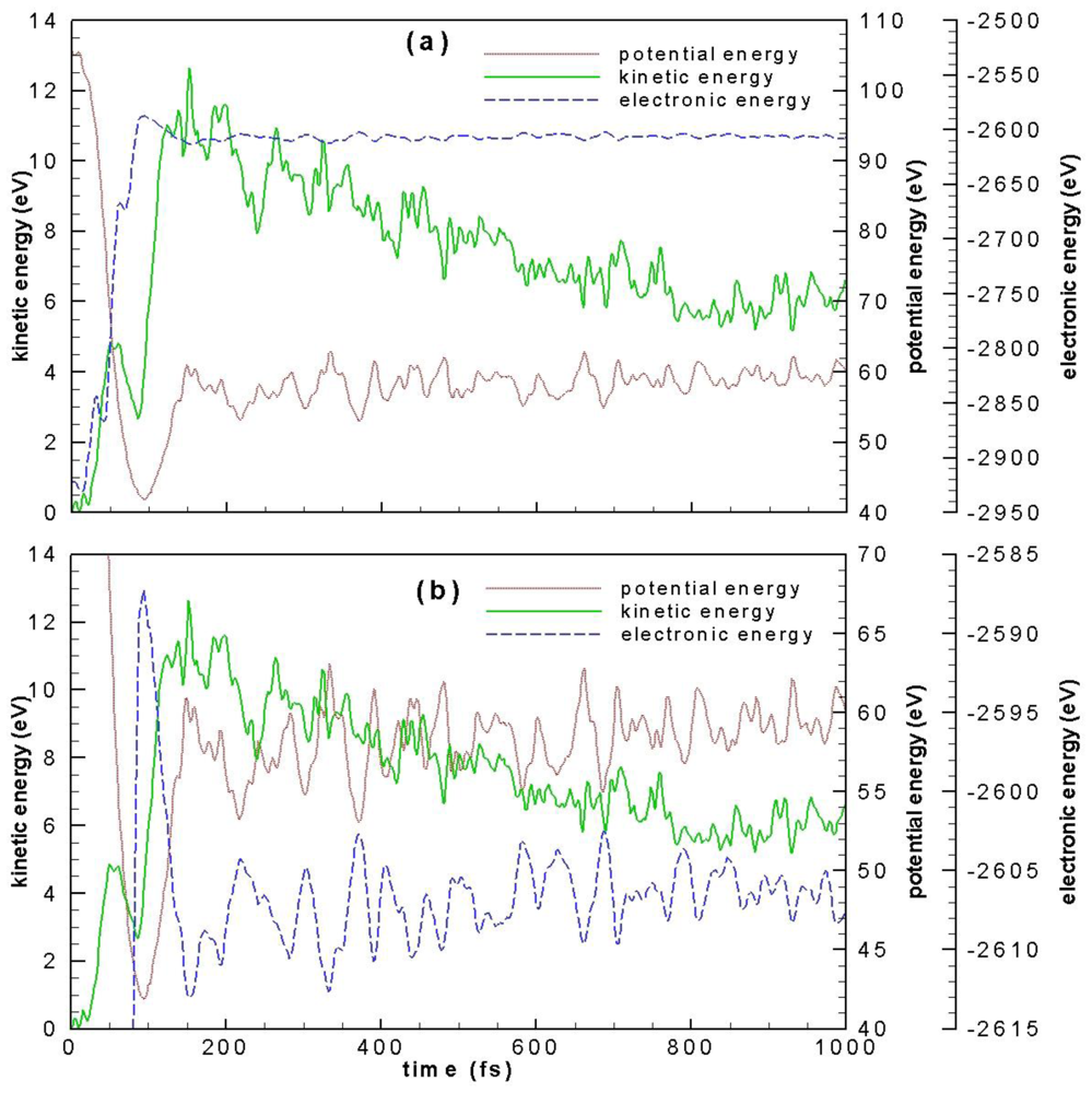
3. Results and Discussion
4. Conclusions
Acknowledgements
References
- Campbell, EEB; Ulmer, G; Hertel, IV. Delayed ionization of C60 and C70. Phys. Rev. Lett 1991, 67, 1986–1988. [Google Scholar]
- Lykke, KR; Wurz, P. Direct detection of neutral products from phtotdissociated-C60. J. Phys. Chem 1992, 96, 3191–3193. [Google Scholar]
- Shchatsinin, IV; Laarmann, T; Stibenz, G; Steinmeyer, G; Stalmoshonak, A; Zhavoronkov, N; Schulz, CP; Hertel, IV. C60 in intense short pulse laser fields down to 9 fs: Excitation on time scales below e-e and e-phonon coupling. J Chem Phys 125.
- Lifshitz, C. Carbon clusters. Int. J. Mass Spectrom 2000, 200, 423–442. [Google Scholar]
- Brien, SC; Heath, JR; Curl, RF; Smalley, RE. Photophysics of Buckminsterfullerene and Other Carbon Cluster Ions. J. Chem. Phys 1988, 88, 220–230. [Google Scholar]
- Xu, C; Scuseria, GE. Ab-initio molecular dynamics study of the stability and reactivity of C60. Phys. Rev. Lett 1994, 72, 669–676. [Google Scholar]
- Campbell, EEB; Hansen, K; Hoffmann, K; Korn, G; Tchaplyguine, M; Wittmann, M; Hertel, IV. From Above Threshold Ionization to Statistical Electron Emission: The Laser Pulse-Duration Dependence of C60 Photoelectron Spectra. Phys. Rev. Lett 2000, 84, 2128–2131. [Google Scholar]
- Boyle, M; Hedén, M; Schulz, CP; Campbell, EEB; Hertel, IV. Two-color pump-probe study and internal-energy dependence of Rydberg-state excitation in C60. Phys Rev A 2004, 70. [Google Scholar]
- Boyle, M; Laarmann, T; Hoffman, K; Hedén, M; Campbell, EEB; Schulz, CP; Hertel, IV. Excitation dynamics of Rydberg states in C60. Eur. Phys. J D 2005, 36, 339–351. [Google Scholar]
- Bhardwaj, VR; Corkum, PB; Rayner, DM. Internal Laser-Induced Dipole Force at Work in C60 Molecule. Phys Rev Lett 2003, 91. [Google Scholar]
- Boyle, M; Laarmann, T; Shchatsinin, I; Schulz, CP; Hertel, IV. Fragmentation dynamics of fullerenes in intense femtosecond-laser fields:Loss of small neutral fragments on a picosecond time scale. J Chem Phys 122.
- Jeschke, HO; Garcia, ME; Alonso, JA. Nonthermal fragmentation of C60. Chem. Phys. Lett 2002, 352, 154–162. [Google Scholar]
- Dou, Y; Torralva, BR; Allen, RE. Semiclassical Electron-Radiation-Ion Dynamics (SERID) and cis-trans Photoisomerization of Butadiene. J. Mod. Opt 2003, 50, 2615–2643. [Google Scholar]
- Dou, Y; Torralva, BR; Allen, RE. Interplay of electronic and nuclear degrees of freedom in a femtosecond-scale photochemical reaction. Chem. Phys. Lett 2004, 392, 352–358. [Google Scholar]
- Allen, RE; Dumitrica, T; Torralva, BR. Electronic and structural response of materials to fast, intense laser pulses. In Ultrafast Physical Processes in Semiconductors; Academic Press: New York NY, USA, 2001. [Google Scholar]
- Elstner, M; Porezag, D; Jungnickel, G; Elsner, J; Haugk, M; Frauenheim, T; Suhai, S; Seifert, G. Self-consistent-charge density-functional tight-binding method for simulations of complex materials properties. Phys. Rev B 1998, 58, 7260–7268. [Google Scholar]
- Frauenheim, T; Seifert, G; Elstner, M; Niehaus, T; Kohler, C; Armkreutz, M; Sternberg, M; Hajnal, Z; diCarlo, A; Suhai, S. Atomistic simulations of complex materials: ground-state and excited-state properties. J. Phys. Cond. Matt 2002, 14, 3015–3023. [Google Scholar]
- Graf, M; Vogl, P. Electromagnetic fields and dielectric response in empirical tight-binding theory. Phys. Rev B 1995, 51, 4940–4949. [Google Scholar]
- Boykin, TB; Bowen, RC; Klimeck, G. Electromagnetic coupling and Gauge invariance in the emperical tight-binding method. Phys Rev B 2001, 63. [Google Scholar]
- Born, M; Oppenheimer, JR. Zur quantentheorie der molekeln. Ann. Phys (Leipzig) 1927, 84, 457–484. [Google Scholar]
- Teller, E. The Crossing of Potential Surfaces. J. Phys. Chem 1937, 41, 109–116. [Google Scholar]
- Born, M; Huang, K. The Dynamical Theory of Crystal Lattices; Oxford University Press: London, UK, 1954. [Google Scholar]
- Domcke, W; Yarkony, DR; Köppel, H. Conical Intersections: Electronic Structure, Dynamics, and Spectroscopy; World Scientific: Singapore, 2004. [Google Scholar]
- Baer, M. Beyond Born-Oppenheimer: Electronic Nonadiabatic Coupling Terms and Conical Intersections; Wiley: Hoboken, NJ, USA, 2006. [Google Scholar]
- Torralva, BR; Niehaus, TA; Elstner, M; Suhai, S; Frauenheim, T; Allen, RE. Response of C60 and Cn to ultrashort laser pulses. Phys Rev B 2001, 64, 153105-1–153105-4. [Google Scholar]
- Yannoni, CS; Bernier, PP; Bethune, DS; Meijer, G; Salem, JR. NMR determination of the bond lengths in C60. J. Am. Chem. Soc 1991, 113, 3190–3192. [Google Scholar]
- McKenzie, DR; Davis, CA; Cockayne, DJH; Muller, DA; Vassallo, AM. Nature 1992, 355, 622–624.
- Laarmann, T; Shchatsinin, I; Boyle, M; Zhavoronkov, N; Handt, J; Schmidt, R; Schulz, CP; Hertel, IV. Control of Giant Breathing Motion in C60 with Temporally Shaped Laser Pulses. Phys Rev Lett 2007, 98. [Google Scholar]
- Dumitrică, T; Garcia, ME; Jeschke, HO; Yakobson, BI. Selective Cap Opening in Carbon Nanotubes Driven by Laser-Induced Coherent Phonons. Phys Rev Lett 2004, 92. [Google Scholar]
- Dumitrică, T; Garcia, ME; Jeschke, HO; Yakobson, BI. Breathing Coherent Phonons and Caps Fragmentation in Carbon Nanotubes Following Ultrafast Laser Pulses. Phys Rev B 74.



© 2011 by the authors; licensee Molecular Diversity Preservation International, Basel, Switzerland. This article is an open-access article distributed under the terms and conditions of the Creative Commons Attribution license (http://creativecommons.org/licenses/by/3.0/).
Share and Cite
Tang, H.; Li, H.; Dou, Y. Laser Induced C60 Cage Opening Studied by Semiclassical Dynamics Simulation. Int. J. Mol. Sci. 2011, 12, 353-361. https://doi.org/10.3390/ijms12010353
Tang H, Li H, Dou Y. Laser Induced C60 Cage Opening Studied by Semiclassical Dynamics Simulation. International Journal of Molecular Sciences. 2011; 12(1):353-361. https://doi.org/10.3390/ijms12010353
Chicago/Turabian StyleTang, Hong, Hongjian Li, and Yusheng Dou. 2011. "Laser Induced C60 Cage Opening Studied by Semiclassical Dynamics Simulation" International Journal of Molecular Sciences 12, no. 1: 353-361. https://doi.org/10.3390/ijms12010353
APA StyleTang, H., Li, H., & Dou, Y. (2011). Laser Induced C60 Cage Opening Studied by Semiclassical Dynamics Simulation. International Journal of Molecular Sciences, 12(1), 353-361. https://doi.org/10.3390/ijms12010353
