Rhamnolipid Biosurfactants as New Players in Animal and Plant Defense against Microbes
Abstract
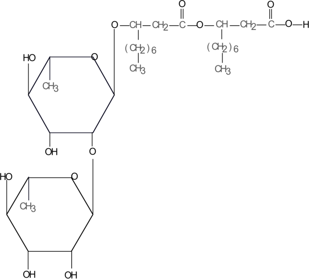
:1. Introduction
2. Rhamnolipids as Antimicrobial Agents
3. Rhamnolipids in Plant and Animal Immunity
3.1. Rhamnolipids as Stimulators of Human and Animal Immunity
3.2. Rhamnolipids as Stimulators of Plant Immunity
4. Potential Use of Rhamnolipids in Agricultural and Biomedical Fields
5. Conclusion
Acknowledgments
References
- Abdel-Mawgoud, AM; Lepine, F; Deziel, E. Rhamnolipids: Diversity of structures, microbial origins and roles. Appl. Microbiol. Biotechnol 2010, 86, 1323–1336. [Google Scholar]
- Soberon-Chavez, G; Lépine, F; Déziel, E. Production of rhamnolipids by Pseudomonas aeruginosa. Appl. Microbiol. Biotechnol 2005, 68, 718–725. [Google Scholar]
- Banat, IM; Franzetti, A; Gandolfi, I; Bestetti, G; Martinotti, MG; Fracchia, L; Smyth, TJ; Marchant, R. Microbial biosurfactants production, applications and future potential. Appl. Microbiol. Biotechnol 2010, 87, 427–444. [Google Scholar]
- Kosaric, N. Biosurfactants and their application for soil bioremediation. Food Technol. Biotechnol 2001, 39, 295–304. [Google Scholar]
- Nitschke, M; Costa, SG; Contiero, J. Rhamnolipid surfactants: An update on the general aspects of these remarkable biomolecules. Biotechnol. Prog 2005, 21, 1593–1600. [Google Scholar]
- Pornsunthorntawee, O; Wongpanit, P; Rujiravanit, R. Rhamnolipid biosurfactants: Production and their potential in environmental biotechnology. Adv. Exp. Med. Biol 2010, 672, 211–221. [Google Scholar]
- Maier, RM; Soberon-Chavez, G. Pseudomonas aeruginosa rhamnolipids: Biosynthesis and potential applications. Appl. Microbiol. Biotechnol 2000, 54, 625–633. [Google Scholar]
- Arino, S; Marchal, R; Vandecasteele, JP. Involvement of a rhamnolipid-producing strain of Pseudomonas aeruginosa in the degradation of polycyclic aromatic hydrocarbons by a bacterial community. J. Appl. Microbiol 1998, 84, 769–776. [Google Scholar]
- Benincasa, M; Abalos, A; Oliveira, I; Manresa, A. Chemical structure, surface properties and biological activities of the biosurfactant produced by Pseudomonas aeruginosa LBI from soapstock. Antonie Van Leeuwenhoek 2004, 85, 1–8. [Google Scholar]
- Haba, E; Pinazo, A; Jauregui, O; Espuny, MJ; Infante, MR; Manresa, A. Physiochemical characterization and antimicrobial properties of rhamnolipids produced by Pseudomonas aeruginosa 47T2 NCBIM 40044. Biotechnol. Bioeng 2003, 81, 316–322. [Google Scholar]
- Lang, S; Katsiwela, E; Wagner, F. Antimicrobial effects of biosurfactants. Fat Sci Technol 1989, 91, 363–366. [Google Scholar]
- Nitschke, M; Costa, SG; Contiero, J. Structure and applications of a rhamnolipid surfactant produced in soybean oil waste. Appl. Biochem. Biotechnol 2010, 160, 2066–2074. [Google Scholar]
- Vasileva-Tonkova, E; Sotirova, A; Galabova, D. The effect of rhamnolipid biosurfactant produced by Pseudomonas fluorescens on model bacterial strains and isolates from industrial wastewater. Curr Microbiol 2010. [Google Scholar] [CrossRef]
- Al-Tahhan, RA; Sandrin, TR; Bodour, AA; Maier, RM. Rhamnolipid-induced removal of lipopolysaccharide from Pseudomonas aeruginosa: Effect on cell surface properties and interaction with hydrophobic substrates. Appl. Environ. Microbiol 2000, 66, 3262–3268. [Google Scholar]
- Sotirova, A; Spasova, D; Vasileva-Tonkova, E; Galabova, D. Effects of rhamnolipid-biosurfactant on cell surface of Pseudomonas aeruginosa. Microbiol. Res 2009, 164, 297–303. [Google Scholar]
- De Jonghe, K; De Dobbelaere, I; Sarrazyn, R; Höfte, M. Control of Phytophthora cryptogea in the hydroponic forcing of witloof chicory with the rhamnolipid-based biosurfactant formulation PRO1. Plant Pathol 2005, 54, 219–226. [Google Scholar]
- Kim, BS; Lee, JY; Hwang, BK. In vivo control and in vitro antifungal activity of rhamnolipid B, a glycolipid antibiotic, against Phytophthora capsici and Colletotrichum orbiculare. Pest Manage. Sci 2000, 56, 1029–1035. [Google Scholar]
- Perneel, M; D’Hondt, L; De Maeyer, K; Adiobo, A; Rabaey, K; Hofte, M. Phenazines and biosurfactants interact in the biological control of soil-borne diseases caused by Pythium spp. Environ. Microbiol 2008, 10, 778–788. [Google Scholar]
- Sharma, A; Jansen, R; Nimtz, M; Johri, BN; Wray, V. Rhamnolipids from the rhizosphere bacterium Pseudomonas sp. GRP(3) that reduces damping-off disease in Chilli and tomato nurseries. J. Nat. Prod 2007, 70, 941–947. [Google Scholar]
- Sotirova, AV; Spasova, DI; Galabova, DN; Karpenko, E; Shulga, A. Rhamnolipid-biosurfactant permeabilizing effects on gram-positive and gram-negative bacterial strains. Curr. Microbiol 2008, 56, 639–644. [Google Scholar]
- Stanghellini, ME; Miller, RM. Biosurfactants: Their identity and potential efficacy in the biological control of zoosporic plant pathogen. Plant Dis 1997, 81, 4–12. [Google Scholar]
- Yoo, DS; Lee, BS; Kim, EK. Characteristics of microbial biosurfactant as an antifungal agent against plant pathogenic fungus. J. Microbiol. Biotechnol 2005, 15, 1164–1169. [Google Scholar]
- Varnier, AL; Sanchez, L; Vatsa, P; Boudesocque, L; Garcia-Brugger, A; Rabenoelina, F; Sorokin, A; Renault, JH; Kauffmann, S; Pugin, A; Clément, C; Baillieul, F; Dorey, S. Bacterial rhamnolipids are novel MAMPs conferring resistance to Botrytis cinerea in grapevine. Plant Cell Environ 2009, 32, 178–193. [Google Scholar]
- Cosson, P; Zulianello, L; Join-Lambert, O; Faurisson, F; Gebbie, L; Benghezal, M; Van Delden, C; Curty, LK; Kohler, T. Pseudomonas aeruginosa virulence analyzed in a Dictyostelium discoideum host system. J. Bacteriol 2002, 184, 3027–3033. [Google Scholar]
- Haferburg, D; Hommel, R; Kleber, H; Kluge, S; Schuster, G; Zschiegner, H. Antiphytovirale Aktivität von Rhamnolipid aus Pseudomonas aeruginosa. Acta Biotechnol 1987, 7, 353–356. [Google Scholar]
- Itoh, S; Honda, H; Tomita, F; Suzuki, T. Rhamnolipids produced by Pseudomonas aeruginosa grown on n-paraffin (mixture of C12, C13 and C14 fractions). J. Antibiot 1971, 24, 855–859. [Google Scholar]
- Remichkova, M; Galabova, D; Roeva, I; Karpenko, E; Shulga, A; Galabov, AS. Anti-herpesvirus activities of Pseudomonas sp. S-17 rhamnolipid and its complex with alginate. Z. Naturforsch. Sect. C 2008, 63, 75–81. [Google Scholar]
- Vasileva-Tonkova, E; Galabova, D; Karpenko, E; Shulga, A. Biosurfactant-rhamnolipid effects on yeast cells. Lett. Appl. Microbiol 2001, 33, 280–284. [Google Scholar]
- Wang, X; Gong, L; Liang, S; Han, X; Zhu, C; Li, Y. Algicidal activity of rhamnolipid biosurfactants produced by Pseudomonas aeruginosa. Harmful Algae 2005, 4, 433–443. [Google Scholar]
- De Lucca, A; Klich, M; Boue, S; Cleveland, T; Sien, T; Walsh, T. Fungicidal activity of plant saponin CAY-1 for fungi isolated from diseased Vitis fruit and stems. Am. J. Enol. Vitic 2008, 59, 67–72. [Google Scholar]
- Takemoto, JY; Bensaci, M; De Lucca, AJ; Cleveland, TE; Gandhi, NR; Skebba, VP. Inhibition of fungi from diseased grapeby syringomycin E-rhamnolipid mixture. Am. J. Enol. Vitic 2010, 61, 120–124. [Google Scholar]
- Boller, T; Felix, G. A renaissance of elicitors: Perception of microbe-associated molecular patterns and danger signals by pattern-recognition receptors. Annu. Rev. Plant Biol 2009, 60, 379–406. [Google Scholar]
- Boller, T; He, SY. Innate immunity in plants: An arms race between pattern recognition receptors in plants and effectors in microbial pathogens. Science 2009, 324, 742–744. [Google Scholar]
- Mackey, D; McFall, AJ. MAMPs and MIMPs: Proposed classifications for inducers of innate immunity. Mol. Microbiol 2006, 61, 1365–1371. [Google Scholar]
- Aliprantis, AO; Yang, RB; Mark, MR; Suggett, S; Devaux, B; Radolf, JD; Klimpel, GR; Godowski, P; Zychlinsky, A. Cell activation and apoptosis by bacterial lipoproteins through toll-like receptor-2. Science 1999, 285, 736–739. [Google Scholar]
- Brightbill, HD; Libraty, DH; Krutzik, SR; Yang, RB; Belisle, JT; Bleharski, JR; Maitland, M; Norgard, MV; Plevy, SE; Smale, ST; Brennan, PJ; Bloom, BR; Godowski, PJ; Modlin, RL. Host defense mechanisms triggered by microbial lipoproteins through toll-like receptors. Science 1999, 285, 732–736. [Google Scholar]
- Gerold, G; Ajaj, KA; Bienert, M; Laws, HJ; Zychlinsky, A; de Diego, JL. A Toll-like receptor 2-integrin beta3 complex senses bacterial lipopeptides via vitronectin. Nat. Immunol 2008, 9, 761–768. [Google Scholar]
- Hauschildt, S; Hoffmann, P; Beuscher, HU; Dufhues, G; Heinrich, P; Wiesmüller, K-H; Jung, G; Bessler, WG. Activation of bone marrow-derived mouse macrophages by bacterial lipopeptide: Cytokine production, phagocytosis and Ia expression. Eur. J. Immunol 1990, 20, 63–68. [Google Scholar]
- Takeuchi, O; Kaufmann, A; Grote, K; Kawai, T; Hoshino, K; Morr, M; Muhlradt, PF; Akira, S. Cutting edge: Preferentially the R-stereoisomer of the mycoplasmal lipopeptide macrophage-activating lipopeptide-2 activates immune cells through a toll-like receptor 2- and MyD88-dependent signaling pathway. J. Immunol 2000, 164, 554–557. [Google Scholar]
- Raaijmakers, JM; de Bruijn, I; Nybroe, O; Ongena, M. Natural functions of lipopeptides from Bacillus and Pseudomonas: More than surfactants and antibiotics. FEMS Microbiol. Rev 2010, 34, 1037–1062. [Google Scholar]
- Haussler, S; Rohde, M; von Neuhoff, N; Nimtz, M; Steinmetz, I. Structural and functional cellular changes induced by Burkholderia pseudomallei rhamnolipid. Infect. Immun 2003, 71, 2970–2975. [Google Scholar]
- McClure, CD; Schiller, NL. Effects of Pseudomonas aeruginosa rhamnolipids on human monocyte-derived macrophages. J. Leukocyte Biol 1992, 51, 97–102. [Google Scholar]
- McClure, CD; Schiller, NL. Inhibition of macrophage phagocytosis by Pseudomonas aeruginosa rhamnolipids in vitro and in vivo. Curr. Microbiol 1996, 33, 109–117. [Google Scholar]
- Zulianello, L; Canard, C; Kohler, T; Caille, D; Lacroix, JS; Meda, P. Rhamnolipids are virulence factors that promote early infiltration of primary human airway epithelia by Pseudomonas aeruginosa. Infect. Immun 2006, 74, 3134–3147. [Google Scholar]
- Andrä, J; Rademann, J; Howe, J; Koch, MH; Heine, H; Zähringer, U; Brandenburg, K. Endotoxin-like properties of a rhamnolipid exotoxin from Burkholderia (Pseudomonas) plantarii: Immune cell stimulation and biophysical characterization. Biol. Chem 2006, 387, 301–310. [Google Scholar]
- Bauer, J; Brandenburg, K; Zähringer, U; Rademann, J. Chemical synthesis of a glycolipid library by a solid-phase strategy allows elucidation of the structural specificity of immunostimulation by rhamnolipids. Chemistry 2006, 12, 7116–7124. [Google Scholar]
- Howe, J; Bauer, J; Andrä, J; Schromm, AB; Ernst, M; Rössle, M; Zähringer, U; Rademann, J; Brandenburg, K. Biophysical characterization of synthetic rhamnolipids. FEBS J 2006, 273, 5101–5112. [Google Scholar]
- Bédard, M; McClure, C; Schiller, N; Francoeur, C; Cantin, A; Denis, M. Release of interleukin-8, interleukin-6, and colony- stimulating factors by upper airway epithelial cells: Implication for cystic fibrosis. Am. J. Resir. Cell Mol. Biol 1993, 9, 455–462. [Google Scholar]
- Gerstel, U; Czapp, M; Bartels, J; Schroder, JM. Rhamnolipid-induced shedding of flagellin from Pseudomonas aeruginosa provokes hBD-2 and IL-8 response in human keratinocytes. Cell. Microbiol 2009, 11, 842–853. [Google Scholar]
- Jourdan, E; Henry, G; Duby, F; Dommes, J; Barthelemy, JP; Thonart, P; Ongena, M. Insights into the defense-related events occurring in plant cells following perception of surfactin-type lipopeptide from Bacillus subtilis. Mol. Plant-Microbe Interact 2009, 22, 456–468. [Google Scholar]
- Ongena, M; Jourdan, E; Adam, A; Paquot, M; Brans, A; Joris, B; Arpigny, JL; Thonart, P. Surfactin and fengycin lipopeptides of Bacillus subtilis as elicitors of induced systemic resistance in plants. Environ. Microbiol 2007, 9, 1084–1090. [Google Scholar]
- Tran, H; Ficke, A; Asiimwe, T; Hofte, M; Raaijmakers, JM. Role of the cyclic lipopeptide massetolide A in biological control of Phytophthora infestans and in colonization of tomato plants by Pseudomonas fluorescens. New Phytol 2007, 175, 731–742. [Google Scholar]
- D’Aes, J; De Maeyer, K; Pauwelyn, E; Höfte, M. Biosurfactants in plant–Pseudomonas interactions and their importance to biocontrol. Env. Microbiol. Rep 2010, 2, 359–372. [Google Scholar]
- Stipcevic, T; Piljac, A; Piljac, G. Enhanced healing of full-thickness burn wounds using di-rhamnolipid. Burns 2006, 32, 24–34. [Google Scholar]
- Stipcevic, T; Piljac, T; Isseroff, RR. Di-rhamnolipid from Pseudomonas aeruginosa displays differential effects on human keratinocyte and fibroblast cultures. J. Dermatol Sci 2005, 40, 141–143. [Google Scholar]
- Fujita, K; Akino, T; Yoshioka, H. Characteristics of heat-stable extracellular hemolysin from Pseudomonas aeruginosa. Infect. Immun 1988, 56, 1385–1387. [Google Scholar]
- Haussler, S; Nimtz, M; Domke, T; Wray, V; Steinmetz, I. Purification and characterization of a cytotoxic exolipid of Burkholderia pseudomallei. Infect. Immun 1998, 66, 1588–1593. [Google Scholar]

| Organisms affected | Observed effects | RL application | RL origin | Ref. |
|---|---|---|---|---|
| Fungi | ||||
| Alternaria alternata | growth inhibition (MIC) | RL mixture: Rha-Rha-C10-C10, Rha-C10-C10, Rha-Rha-C10-C12:1 | P. aeruginosa LBI | [9] |
| Alternaria mali | growth inhibition (MIC) | Rha-Rha-C10-C10 | P. aeruginosa strain B5 | [17] |
| Aspergillus niger | growth inhibition (MIC) | RL mixture: Rha-Rha-C10-C10, Rha-C10-C10, Rha-Rha-C10-C12:1 | P. aeruginosa LBI | [9] |
| Aureobasidium pullulans | growth inhibition (MIC) | RL mixture: Rha-Rha-C10-C10, Rha-C10-C10, Rha-Rha-C10-C12:1 | P. aeruginosa LBI | [9] |
| Botrytis cinerea | growth inhibition (MIC) | Rha-Rha-C10-C10 | P. aeruginosa strain B5 | [17] |
| growth inhibition (MIC) | RL mixture: Rha-Rha-C10-C10, Rha-Rha-C10-C12, Rha-C10-C10, Rha-Rha-C10-C12:1 | P. aeruginosa 47T2 | [10] | |
| inhibition of spore germination and mycelium growth | RL mixture: Rha-Rha-C10-C10, Rha-C10-C10 (Jeneil Biosurfactant Company JBR599) | P. aeruginosa | [23] | |
| Candida albicans | growth inhibition (MIC) | RL mixture: Rha-Rha-C10-C10, Rha-C10-C10, Rha-Rha-C10-C12:1 | P. aeruginosa LBI | [9] |
| Cercospora kikuchii | growth inhibition (MIC) | Rha-Rha-C10-C10 | P. aeruginosa strain B5 | [17] |
| Chaetonium globosum | growth inhibition (MIC) | RL mixture: Rha-Rha-C10-C10, Rha-Rha-C10-C12, Rha-C10-C10, Rha-Rha-C10-C12:1 | P. aeruginosa 47T2 | [10] |
| growth inhibition (MIC) | RL mixture: Rha-Rha-C10-C10, Rha-C10-C10, Rha-Rha-C10-C12:1 | P. aeruginosa LBI | [9] | |
| Cladosporium cucumerinum | growth inhibition (MIC) | Rha-Rha-C10-C10 | P. aeruginosa strain B5 | [17] |
| Colletotrichum orbiculare | growth inhibition (MIC) | Rha-Rha-C10-C10 | P. aeruginosa strain B5 | [17] |
| Cylindrocarpon destructans | growth inhibition (MIC) | Rha-Rha-C10-C10 | P. aeruginosa strain B5 | [17] |
| Didymella bryoniae | growth inhibition (MIC) | Rha-Rha-C10-C10 | P. aeruginosa strain B5 | [17] |
| Fusarium solani | growth inhibition (MIC) | RL mixture: Rha-Rha-C10-C10, Rha-Rha-C10-C12, Rha-C10-C10, Rha-Rha-C10-C12:1 | P. aeruginosa 47T2 | [10] |
| Fusarium sp. | growth inhibition (MIC) | Rha-Rha-C10-C10 | P. aeruginosa strain B5 | [17] |
| growth inhibition (MIC) | RL mixture: Rha-Rha-C10-C10, Rha-Rha-C10-C12, Rha-C10-C10, Rha-Rha-C10-C12:1 | P. aeruginosa 47T2 | [10] | |
| Gliocadium virens | growth inhibition (MIC) | RL mixture: Rha-Rha-C10-C10, Rha-Rha-C10-C12, Rha-C10-C10, Rha-Rha-C10-C12:1 | P. aeruginosa 47T2 | [10] |
| growth inhibition (MIC) | RL mixture: Rha-Rha-C10-C10, Rha-C10-C10, Rha-Rha-C10-C12:1 | P. aeruginosa LBI | [9] | |
| Magnaporthe grisea | growth inhibition (MIC) | Rha-Rha-C10-C10 | P. aeruginosa strain B5 | [17] |
| Mucor miehei | growth inhibition (MIC) | RL mixture: Rha-Rha-C10-C10, Rha-C10-C10 | P. aeruginosa LBI | [12] |
| Neurospora crassa | growth inhibition (MIC) | RL mixture: Rha-Rha-C10-C10, Rha-C10-C10 | P. aeruginosa LBI | [12] |
| Penicillium funiculosum | growth inhibition (MIC) | RL mixture: Rha-Rha-C10-C10, Rha-Rha-C10-C12, Rha-C10-C10, Rha-Rha-C10-C12:1 | P. aeruginosa 47T2 | [10] |
| growth inhibition (MIC) | RL mixture: Rha-Rha-C10-C10, Rha-C10-C10, Rha-Rha-C10-C12:1 | P. aeruginosa LBI | [9] | |
| Phytophthora sp. | zoospore lysis by RL intercalation into membrane | RL mixture: Rha-Rha-C10-C10, Rha-C10-C10 | P. aeruginosa | [21] |
| growth inhibition (MIC), lytic effect on zoospores | Rha-Rha-C10-C10 | P. aeruginosa strain B5 | [17] | |
| zoospore motility inhibition, zoospore lysis, hyphae growth inhibition | nd | nd | [22] | |
| reduction of disease incidence and of disease severity | biosurfactant PRO1 (formulation of 25% Rls) Plant support (the Netherlands) | P. aeruginosa | [16] | |
| reduction of damping-off disease | RL mixture: Rha-Rha-C10-C10, Rha-Rha-C10-C10:1, Rha-C10-C10, Rha-Rha-C10-C12:1, Rha-C10-C12:1, Rha-C10-C12, Rha-Rha-C10-C12, Rha-Rha-C10-C8, Rha-C8-C10, Rha-Rha-C8-C10, Rha-Rha-C12-C12, Rha-Rha-C12-C12:1) | Pseudomonas sp. GRP3 | [19] | |
| Pythium sp. | zoospore lysis by RL intercalation into membrane | nd | P. aeruginosa | [21] |
| zoospore motility inhibition, zoospore lysis, hyphae growth inhibition | nd | nd | [22] | |
| reduction of damping-off disease | RL mixture: Rha-Rha-C10-C10, Rha-Rha-C10-C10:1, Rha-C10-C10, Rha-Rha-C10-C12:1, Rha-C10-C12:1, Rha-C10-C12, Rha-Rha-C10-C12, Rha-Rha-C10-C8, Rha-C8-C10, Rha-Rha-C8-C10, Rha-Rha-C12-C12, Rha-Rha-C12-C12:1) | Pseudomonas sp. GRP3 | [19] | |
| mycelial growth inhibition, reduction of disease symptoms, hyphae damages | RL-deficient mutant | P. aeruginosa PA01 | [18] | |
| Rhizoctonia solani | growth inhibition (MIC) | Rha-Rha-C10-C10 | P. aeruginosa strain B5 | [17] |
| growth inhibition (MIC) | RL mixture: Rha-Rha-C10-C10, Rha-Rha-C10-C12, Rha-C10-C10, Rha-Rha-C10-C12:1 | P. aeruginosa 47T2 | [10] | |
| Bacteria | ||||
| Gram-negative | ||||
| Enterobacter aerogenes | growth inhibition (MIC) | RL mixture: Rha-Rha-C10-C10, Rha-Rha-C10-C12, Rha-C10-C10, Rha-Rha-C10-C12:1 | P. aeruginosa 47T2 | [10] |
| growth inhibition (MIC) | RL mixture: Rha-Rha-C10-C10, Rha-C10-C10, Rha-Rha-C10-C12:1 | P. aeruginosa LBI | [9] | |
| Erwinina carotovora | growth inhibition (MIC) | RL mixture: Rha-Rha-C10-C10, Rha-Rha-C10-C12, Rha-C10-C10, Rha-Rha-C10-C12:1 | P. aeruginosa 47T2 | [10] |
| Escherichia coli | growth inhibition (MIC) | RL mixture: Rha-Rha-C10-C10, Rha-Rha-C10-C12, Rha-C10-C10, Rha-Rha-C10-C12:1 | P. aeruginosa 47T2 | [10] |
| growth inhibition (MIC) | nd | P. fluorescens HW-6 | [13] | |
| Klebsiella pneumoniae | growth inhibition (MIC) | RL mixture: Rha-Rha-C10-C10, Rha-Rha-C10-C12, Rha-C10-C10, Rha-Rha-C10-C12:1 | P. aeruginosa 47T2 | [10] |
| Proteus mirabilis | growth inhibition (MIC) | RL mixture: Rha-Rha-C10-C10, Rha-C10-C10, Rha-Rha-C10-C12:1 | P. aeruginosa LBI | [9] |
| Pseudomonas aeruginosa | growth inhibition (MIC) | RL mixture: Rha-Rha-C10-C10, Rha-C10-C10, Rha-Rha-C10-C12:1 | P. aeruginosa LBI | [9] |
| increase in released proteins | Biosurfactant PS (rhamnolipid+alginate) | Pseudomonas sp. S-17 | [20] | |
| reduction of LPS contents, increase in cell hydrophobicity and in extracellular protein release, changes in outer membrane proteins | Biosurfactant PS (rhamnolipid+alginate) | Pseudomonas sp. S-17 | [15] | |
| growth inhibition, increase in cell permeability and in released proteins | nd | P. fluorescens HW-6 | [13] | |
| Ralstonia solanacearum | growth inhibition (MIC) | Rha-Rha-C10-C10 | P. aeruginosa strain B5 | [17] |
| Salmonella thyphimurium | growth inhibition (MIC) | RL mixture: Rha-Rha-C10-C10, Rha-C10-C10, Rha-Rha-C10-C12:1 | P. aeruginosa LBI | [9] |
| Serratia marcescens | growth inhibition (MIC) | Rha-Rha-C10-C10 | P. aeruginosa strain B5 | [17] |
| growth inhibition (MIC) | RL mixture: Rha-Rha-C10-C10, Rha-Rha-C10-C12, Rha-C10-C10, Rha-Rha-C10-C12:1 | P. aeruginosa 47T2 | [10] | |
| Xanthomonas campestris | growth inhibition (MIC) | Rha-Rha-C10-C10 | P. aeruginosa strain B5 | [17] |
| Gram-positive | ||||
| Bacillus cereus | growth inhibition (MIC) | RL mixture: Rha-Rha-C10-C10, Rha-Rha-C10-C12, Rha-C10-C10, Rha-Rha-C10-C12:1 | P. aeruginosa 47T2 | [10] |
| growth inhibition (MIC) | RL mixture: Rha-Rha-C10-C10, Rha-C10-C10, Rha-Rha-C10-C12:1 | P. aeruginosa LBI | [9] | |
| growth inhibition (MIC) | RL mixture: Rha-Rha-C10-C10, Rha-C10-C10 | P. aeruginosa LBI | [12] | |
| Bacillus sp. | growth inhibition (MIC) | nd | P. fluorescens HW-6 | [13] |
| Bacillus subtilis | growth inhibition (MIC) | RL mixture: Rha-Rha-C10-C10, Rha-Rha-C10-C12, Rha-C10-C10, Rha-Rha-C10-C12:1 | P. aeruginosa 47T2 | [10] |
| growth inhibition (MIC) | RL mixture: Rha-Rha-C10-C10, Rha-C10-C10, Rha-Rha-C10-C12:1 | P. aeruginosa LBI | [9] | |
| Micrococcus luteus | growth inhibition (MIC) | RL mixture: Rha-Rha-C10-C10, Rha-Rha-C10-C12, Rha-C10-C10, Rha-Rha-C10-C12:1 | P. aeruginosa 47T2 | [10] |
| growth inhibition (MIC) | RL mixture: Rha-Rha-C10-C10, Rha-C10-C10, Rha-Rha-C10-C12:1 | P. aeruginosa LBI | [9] | |
| growth inhibition (MIC) | RL mixture: Rha-Rha-C10-C10, Rha-C10-C10 | P. aeruginosa LBI | [12] | |
| Staphylococcus aureus | growth inhibition (MIC) | RL mixture: Rha-Rha-C10-C10, Rha-Rha-C10-C12, Rha-C10-C10, Rha-Rha-C10-C12:1 | P. aeruginosa 47T2 | [10] |
| growth inhibition (MIC) | RL mixture: Rha-Rha-C10-C10, Rha-C10-C10 | P. aeruginosa LBI | [12] | |
| Staphylococcus epidermidis | growth inhibition (MIC) | RL mixture: Rha-Rha-C10-C10, Rha-Rha-C10-C12, Rha-C10-C10, Rha-Rha-C10-C12:1 | P. aeruginosa 47T2 | [10] |
| Streptococcus faecalis | growth inhibition (MIC) | RL mixture: Rha-Rha-C10-C10, Rha-C10-C10, Rha-Rha-C10-C12:1 | P. aeruginosa LBI | [9] |
| Amoeba (Dictyostelium discoideum) | growth inhibition, cell lysis | Rhl quorum-sensing mutants | P. aeruginosa PA01 | [24] |
| Algae (Heterosigma akashiwo) | growth inhibition, cell lysis, plasma membrane and organelles damages, condensation of chromatin | RL mixture: Rha-Rha-C10-C10, Rha-C10-C10 | P. aeruginosa | [29] |
| Virus | ||||
| potato virus X, red clover mottle virus | reduction of local lesions, reduction of virus number | nd | nd | [25] |
| herpes simplex virus HSV) | inhibition of cytopathic effects | biosurfactant PS-17 (rhamnolipid+alginate) | Pseudomonas sp. S-17 | [27] |
© 2010 by the authors; licensee MDPI, Basel, Switzerland. This article is an open-access article distributed under the terms and conditions of the Creative Commons Attribution license (http://creativecommons.org/licenses/by/3.0/).
Share and Cite
Vatsa, P.; Sanchez, L.; Clement, C.; Baillieul, F.; Dorey, S. Rhamnolipid Biosurfactants as New Players in Animal and Plant Defense against Microbes. Int. J. Mol. Sci. 2010, 11, 5095-5108. https://doi.org/10.3390/ijms11125095
Vatsa P, Sanchez L, Clement C, Baillieul F, Dorey S. Rhamnolipid Biosurfactants as New Players in Animal and Plant Defense against Microbes. International Journal of Molecular Sciences. 2010; 11(12):5095-5108. https://doi.org/10.3390/ijms11125095
Chicago/Turabian StyleVatsa, Parul, Lisa Sanchez, Christophe Clement, Fabienne Baillieul, and Stephan Dorey. 2010. "Rhamnolipid Biosurfactants as New Players in Animal and Plant Defense against Microbes" International Journal of Molecular Sciences 11, no. 12: 5095-5108. https://doi.org/10.3390/ijms11125095
APA StyleVatsa, P., Sanchez, L., Clement, C., Baillieul, F., & Dorey, S. (2010). Rhamnolipid Biosurfactants as New Players in Animal and Plant Defense against Microbes. International Journal of Molecular Sciences, 11(12), 5095-5108. https://doi.org/10.3390/ijms11125095
