Synthesis and Characterization of Organic Dyes Containing Various Donors and Acceptors
Abstract
:1. Introduction
2. Results and Discussion
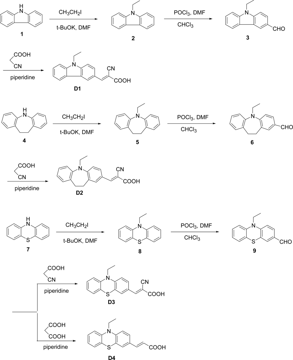
2.1. Synthesis and Structure of Sensitizers
2.2. Optical Properties
2.3. Electrochemical Properties
2.4. Molecular Orbital Calculations
2.5. Photovoltaic Performance
2.6. The Transformation of Solar Energy into Electricity in Photovoltaic Devices
- Electrons in dye are excited by solar energy adsorption.
- Electrons are transferred from dye to Indium tin oxide (ITO) conducting glass via TiO2.
- Electrons get to counter electrode after working at external load.
- I3− + 2e−→3I− at counter electrode.
- 3I−→I3− + 2e− at dye.
3. Experimental Section
3.1. Chemicals
3.2. Instrumentation
3.3. Synthetic Procedure of Carbazole, Iminodibenzyl, and Phenothiazine-containing Dyes D1–D4 (Figure 10)
3.3.1. 11-Ethyliminodibenzyl (5)
3.3.2. 11-Ethyl-3-formyliminodibenzyl (6)
3.3.3. 2-Cyano-3-(11-ethyliminodibenzyl-2-yl)-acrylic acid (D2)
3.3.4. 10-Ethyl-phenothiazine (8)
3.3.5. 10-Ethyl-3-formylphenothiazine (9)
3.3.6. 2-Cyano-3-(10-ethylphenothiazin-3-yl)-acrylic acid (D3)
3.3.7. 3-(10-Ethylphenothiazin-3-yl)-acrylic acid (D4)
3.3.8. 2-Cyano-3-(9-ethylcarbazol-3-yl)-acrylic acid (D1)
3.4. Preparation of Dye-sensitized TiO2 Electrode (Photoanode) and Counter Electrode
3.5. DSSC Assembly
3.6. Photovoltaic Measurements of the Solar Cells
3.7. Computation Methods
4. Conclusions
Acknowledgments
References and Notes
- Staub, K; Levina, GA; Fortd, A. Synthesis and stability studies of conformationally locked 4-(diarylamino)aryl- and 4-(dialkylamino)phenyl-substituted second-order nonlinear optical polyene chromophores. J. Mater. Chem 2003, 13, 825–833. [Google Scholar]
- Tsai, Y-L; Chang, C-C; Kang, C-C; Chang, T-C. Effect of different electronic properties on 9-aryl-substituted BMVC derivatives for new fluorescence probes. J. Lumin 2007, 127, 41–47. [Google Scholar]
- Yoon, KR; Ko, S-O; Lee, SM; Lee, H. Synthesis and characterization of carbazole derived nonlinear optical dyes. Dye Pig 2007, 75, 567–573. [Google Scholar]
- Li, W; Qiao, J; Duan, L; Wang, LD; Qiu, Y. Novel fluorene/carbazole hybrids with steric bulk as host materials for blue organic electrophosphorescent devices. Tetrahedron 2007, 63, 10161–10168. [Google Scholar]
- Li, XH; Gui, J; Yang, H; Wu, WJ; Li, FY; Tian, H; Huang, CH. A new carbazole-based phenanthrenyl ruthenium complex as sensitizer for a dye-sensitized solar cell. Inorg. Chim. Acta 2008, 361, 2835–2840. [Google Scholar]
- Zhou, YH; Peng, P; Han, L; Tian, WJ. Novel donor–acceptor molecules as donors for bulk heterojunction solar cells. Synth. Met 2007, 157, 502–507. [Google Scholar]
- Zhang, H; Huo, C; Zhang, J; Zhang, P; Tian, W; Wang, Y. Efficient single-layer electroluminescent device based on a bipolar emitting boron-containing material. Chem. Commun 2006, 3, 281–283. [Google Scholar]
- Chattopadhyay, N. Excited state proton transfer of carbazole. A convenient way to study microheterogeneous environments. Int. J. Mol. Sci 2003, 4, 460–480. [Google Scholar]
- Croce, G; Arrais, A; Diana, E; Civalleri, B; Viterbo, D; Milanesio, M. The interpretation of the short range disorder in the Fluorene-TCNE crystal structure. Int. J. Mol. Sci 2004, 5, 93–100. [Google Scholar]
- Koz, B; Kiskan, B; Yagci, Y. Synthesis and characterization of polyacetylene with side-chain thiophene functionality. Int. J. Mol. Sci 2008, 9, 383–393. [Google Scholar]
- Xiang, NJ; Lee, TH; Gong, ML; Tong, KL; So, SK; Leung, LM. Synthesis of 2-phenylquinoline-based ambipolar molecules containing multiple 1,3,4-oxadiazole spacer groups. Synth. Met 2006, 156, 270–275. [Google Scholar]
- Kulkarni, AP; Wu, P-T; Kwon, TW; Jenekhe, SA. Phenothiazine-phenylquinoline donor–acceptor molecules: Effects of structural isomerism on charge transfer photophysics and electroluminescence. J. Phys. Chem. B 2005, 109, 19584–19594. [Google Scholar]
- Gaina, L; Cristea, C; Moldovan, C; Porumb, D; Surducan, E; Deleanu, C; Mahamoud, A; Barbe, J; Silberg, IA. Microwave-assisted synthesis of phenothiazine and quinoline derivatives. Int. J. Mol. Sci 2007, 8, 70–80. [Google Scholar]
- Xia, Y; Luo, J; Deng, X; Li, X; Li, D; Zhu, X; Yang, W; Cao, Y. Novel random low-band-gap fluorene-based copolymers for deep red/near infrared light-emitting diodes and bulk heterojunction photovoltaic cells. Macromol. Chem. Phys 2006, 207, 511–520. [Google Scholar]
- Huo, L; He, C; Han, M; Zhou, E; Li, YF. Alternating copolymers of electron-rich arylamine and electron-deficient 2,1,3-benzothiadiazole: Synthesis, characterization and photovoltaic properties. J. Polym. Sci. Part A: Polym. Chem 2007, 45, 3861–3871. [Google Scholar]
- Zhu, Y; Kulkarni, AP; Jenekhe, SA. Phenoxazine-based emissive donor–acceptor materials for efficient organic light-emitting diodes. Chem. Mater 2005, 17, 5225–227. [Google Scholar]
- Sun, XB; Liu, YQ; Xu, XJ; Yang, CH; Yu, G; Chen, SY; Zhao, ZH; Qiu, WF; Li, YF; Zhu, DB. Novel electroactive and photoactive molecular materials based on conjugated donor–acceptor structures for optoelectronic device applications. J. Phys. Chem. B 2005, 109, 10786–10792. [Google Scholar]
- Mazumder, R; Ganguly, K; Dastidar, SG; Chakrabarty, AN. Trifluoperazine: a broad spectrum bactericide especially active on staphylococci and vibrios. Int. J. Antimicrob. Agents 2001, 18, 403–406. [Google Scholar]
- Khazraji, AC; Hotchandani, S; Das, S; Kamat, PV. Controlling dye (Merocyanine-540) aggregation on nanostructured TiO2 films. An organized assembly approach for enhancing the efficiency of photosensitization. J. Phys. Chem. B 1999, 103, 4693–4700. [Google Scholar]
- Hara, K; Dan-oh, Y; Kasada, C; Ohga, Y; Shinpo, A; Suga, S; Sayama, K; Arakawa, H. Effect of additives on the photovoltaic performance of coumarin-dye-sensitized nanocrystalline TiO2 solar cells. Langmuir 2004, 20, 4205–4210. [Google Scholar]
- Wang, Z-S; Hara, K; Dan-oh, Y; Kasada, C; Shinpo, A; Suga, S; Arakawa, H; Sugihara, H. Photophysical and (photo)electrochemical properties of a coumarin dye. J. Phys. Chem. B 2005, 109, 3907–3914. [Google Scholar]
- Chen, Y; Wu, T-Y. Synthesis, optical and electrochemical properties of luminescent copolymers containing N-hexyl-3,8-iminodibenzyl chromophores. Polymer 2001, 42, 9895–9901. [Google Scholar]
- Liang, M; Xu, W; Cai, F; Chen, P; Peng, B; Chen, J; Li, Z. New Triphenylamine-based organic dyes for efficient dye-sensitized solar cells. J. Phys. Chem. C 2007, 111, 4465–4472. [Google Scholar]
- Hara, K; Kurashige, M; Dan-oh, Y; Kasada, C; Shinpo, A; Suga, S; Sayama, K; Arakawa, H. Design of new coumarin dyes having thiophene moieties for highly efficient organic-dye-sensitized solar cells. New J. Chem 2003, 27, 783–785. [Google Scholar]
- Nazeeruddin, MK; Kay, A; Rodicio, I; Humpbry-Baker, R; Miiller, E; Liska, P; Vlachopoulos, N; Grätzel, M. Conversion of light to electricity by cis-X2bis(2,2′-bipyridyl-4,4′-dicarboxylate)ruthenium(II) charge-transfer sensitizers (X = Cl−, Br−, I−, CN−, and SCN−) on nanocrystalline titanium dioxide electrodes. J. Am. Chem. Soc 1993, 115, 6382–6390. [Google Scholar]
- Lai, RY; Fabrizio, EF; Lu, L; Jenekhe, SA; Bard, AJ. Synthesis, cyclic voltammetric studies, and electrogenerated chemiluminescence of a new donor–acceptor molecule: 3,7-[Bis[4-phenyl-2-quinolyl]]-10-methylphenothiazine. J. Am. Chem. Soc 2001, 123, 9112–9118. [Google Scholar]
- Chen, KF; Hsu, YC; Wu, QY; Yeh, MCP; Sun, SS. Structurally simple dipolar organic dyes featuring 1,3-Cyclohexadiene conjugated unit for dye-sensitized solar cells. Org. Lett 2009, 11, 377–380. [Google Scholar]
- Lai, RY; Kong, X; Jenekhe, SA; Bard, AJ. Synthesis, cyclic voltammetric studies, and electrogenerated chemiluminescence of a new phenylquinoline-biphenothiazine donor–acceptor molecule. J. Am. Chem. Soc 2003, 125, 12631–12639. [Google Scholar]
- Hagfeldt, A; Grätzel, M. Light-induced redox reactions in nanocrystalline systems. Chem. Rev 1995, 95, 49–68. [Google Scholar]
- Ito, S; Zakeeruddin, SM; Humphry-Baker, R; Liska, P; Charvet, R; Comte, P; Nazeeruddin, MK; Péchy, P; Takata, M; Miura, H; Uchida, S; Grätzel, M. High-efficiency organic-dye-sensitized solar cells controlled by nanocrystalline-TiO2 electrode thickness. Adv. Mater 2006, 18, 1202–1205. [Google Scholar]
- Frisch, MJ; Trucks, GW; Schlegel, HB; Scuseria, GE; Robb, MA; Cheeseman, JR, Jr; Montgomery, JA; Vreven, T; Kudin, KN; Burant, JC; Millam, JM; Iyengar, SS; Tomasi, J; Barone, V; Mennucci, B; Cossi, M; Scalmani, G; Rega, N; Petersson, GA; Nakatsuji, H; Hada, M; Ehara, M; Toyota, K; Fukuda, R; Hasegawa, J; Ishida, M; Nakajima, T; Honda, Y; Kitao, O; Nakai, H; Klene, M; Li, X; Knox, JE; Hratchian, HP; Cross, JB; Adamo, C; Jaramillo, J; Gomperts, R; Stratmann, RE; Yazyev, O; Austin, AJ; Cammi, R; Pomelli, C; Ochterski, JW; Ayala, PY; Morokuma, K; Voth, GA; Salvador, P; Dannenberg, JJ; Zakrzewski, VG; Dapprich, S; Daniels, AD; Strain, MC; Farkas, O; Malick, DK; Rabuck, AD; Raghavachari, K; Foresman, JB; Ortiz, JV; Cui, Q; Baboul, AG; Clifford, S; Cioslowski, J; Stefanov, BB; Liu, G; Liashenko, A; Piskorz, P; Komaromi, I; Martin, RL; Fox, DJ; Keith, T; Al-Laham, MA; Peng, CY; Nanayakkara, A; Challacombe, M; Gill, PMW; Johnson, B; Chen, W; Wong, MW; Gonzalez, C; Pople, JA. Gaussian 03, Revision C01; Gaussian Inc: Wallingford, CT, USA, 2004. [Google Scholar]
- Becke, AD. Density-functional thermochemistry. III. The role of exact exchange. J. Chem. Phys 1993, 98, 5648–5652. [Google Scholar]
- Becke, AD. Density-functional thermochemistry. I. The effect of the exchange-only gradient correction. J. Chem. Phys 1992, 96, 2155–2160. [Google Scholar]
- Lee, C; Yang, W; Parr, RG. Development of the Colle-Salvetti correlation – energy formula into a functional of the electron density. Phys. Rev. B 1988, 37, 785–789. [Google Scholar]
- Dreuw, A; Head-Gordon, M. Failure of time-dependent density functional theory for long-range charge-transfer excited states: The zincbacteriochlorin-bacteriochlorin and bacteriochlorophyll spheroidene complexes. J. Am. Chem. Soc 2004, 126, 4007–4016. [Google Scholar]
- Boschloo, G; Hagfeldt, A. Activation energy of electron transport in dye-sensitized TiO2 solar cells. J. Phys. Chem. B 2005, 109, 12093–12098. [Google Scholar]
- Palomares, E; Clifford, JN; Haque, SA; Lutz, T; Durrant, JR. Control of charge recombination dynamics in dye sensitized solar cells by the use of conformally deposited metal oxide blocking layers. J. Am. Chem. Soc 2003, 125, 475–482. [Google Scholar]
- Jang, SY; Seshadri, V; Khil, MS; Kumar, A; Marquez, M; Mather, PT; Sotzing, GA. Welded electrochromic conductive polymer nanofibers by electrostatic spinning. Adv. Mater 2005, 17, 2177–2180. [Google Scholar]
- Matsui, M; Hashimoto, Y; Funabiki, K; Jin, J; Yoshida, T; Minoura, H. Application of near-infrared absorbing heptamethine cyanine dyes as sensitizers for zinc oxide solar cell. Synth. Met 2005, 148, 147–153. [Google Scholar]
- Wang, P; Zakeeruddin, SM; Comte, P; Charvet, R; Humphry-Baker, R; Grätzel, M. Enhance the performance of dye-sensitized solar cells by co-grafting amphiphilic sensitizer and hexadecylmalonic acid on TiO2 nanocrystals. J. Phys. Chem. B 2003, 107, 14336–14341. [Google Scholar]











| Dye | Absorption | Emission | Stokes shifta | ||
|---|---|---|---|---|---|
| λabsb (nm) | ɛ(M−1 cm−1) (at λabs) | λabsb (nm) (on TiO2) | λemb (nm) | (nm) | |
| D1b | 288, 320, 385 | 22975 (385 nm) | 408 | 504 | 119 |
| D2 | 258, 368 | 29846 (368 nm) | 414 | 470, 506 | 138 |
| D3 | 299, 400 | 14096 (400 nm) | 426 | 573 | 173 |
| D4 | 285, 381 | 12639 (381 nm) | 412 | 558 | 177 |
| Dye | Epa | Eonset(ox) | Eonset(ox) vs. EFOCa (V) | E(S+/S*)b,d (V) vs. NHE | E0–0c (V) | LUMO | Egap (V)e |
|---|---|---|---|---|---|---|---|
| D1 | 1.25 | 1.11 | 0.85 | 1.14 | 2.84 | −1.70 | 1.2 |
| D2 | 1.00, 1.42 | 0.74 | 0.48 | 0.77 | 2.91 | −2.14 | 1.64 |
| D3 | 0.72, 1.35 | 0.49 | 0.23 | 0.52 | 2.44 | −1.92 | 1.42 |
| D4 | 0.63, 1.29, 1.76 | 0.51 | 0.25 | 0.54 | 2.58 | −2.04 | 1.54 |
| Dye | Excited State | f | Est (eV) | Est (nm) | Exp (eV) | Exp (nm) | Composition |
|---|---|---|---|---|---|---|---|
| D1 | 1 | 0.5501 | 3.09 | 400.71 | 3.22 | 385 | 0.17823χ(HOMO-1 -> LUMO) + 0.63923χ(HOMO -> LUMO) |
| −0.23908χ(HOMO-2 -> LUMO) −0.10901χ(HOMO-1 -> LUMO) | |||||||
| 2 | 0.1848 | 4.05 | 305.92 | 3.88 | 320 | ||
| −0.13026χ(HOMO-1 -> LUMO + 2) + 0.60862χ(HOMO -> LUMO + 1) | |||||||
| 0.15891 (HOMO-4-> LUMO) + 0.11418χ(HOMO-2 -> LUMO + 1) | |||||||
| 3 | 0.4164 | 4.62 | 268.62 | 4.31 | 288 | ||
| +0.59488χ(HOMO-1 -> LUMO + 1) + 0.21489χ(HOMO -> LUMO + 2) | |||||||
| D2 | 1 | 0.2724 | 3.80 | 325.88 | 3.37 | 368 | 0.33984χ(HOMO-3 -> LUMO) + 0.56799χ(HOMO-2 -> LUMO) |
| 2 | 0.0519 | 3.61 | 343.67 | 0.69422χ(HOMO-1 -> LUMO) | |||
| 3 | 0.0788 | 4.69 | 264.17 | 4.81 | 258 | 0.25285χ(HOMO-5 -> LUMO) + 0.62718χ(HOMO-4-> LUMO) | |
| D3 | 1 | 0.325 | 3.46 | 358.48 | 3.10 | 400 | 0.66021χ(HOMO-1 -> LUMO) + 0.17024χ(HOMO -> LUMO + 1) |
| 2 | 0.421 | 4.16 | 298.32 | 4.15 | 299 | 0.62223χ(HOMO-2 -> LUMO) + 0.23525 (HOMO-> LUMO + 3) | |
| −0.14214χ(HOMO-1 -> LUMO) + 0.64038χ(HOMO -> LUMO + 1) | |||||||
| 3 | 0.1902 | 3.85 | 321.92 | ||||
| −0.13726χ(HOMO -> LUMO + 2) | |||||||
| D4 | 1 | 0.3013 | 2.84 | 435.84 | 3.25 | 381 | 0.65955χ(HOMO -> LUMO) |
| −0.18518χ(HOMO-2 -> LUMO) −0.17372χ(HOMO-1 -> LUMO) | |||||||
| 2 | 0.3325 | 4.34 | 285.39 | 4.35 | 285 | ||
| +0.61772χ(HOMO -> LUMO + 3) | |||||||
| −0.10745χ(HOMO-5 -> LUMO) + 0.36767χ(HOMO-4 -> LUMO) + | |||||||
| 3 | 0.1149 | 4.60 | 269.81 | ||||
| 0.51568χ(HOMO-2 -> LUMO) + 0.12964χ(HOMO -> LUMO + 3) |
| Dye | Voc (V) | Jsc (mA cm−2) | Fill factor (ff) | η (%) |
|---|---|---|---|---|
| D1 | 0.595 | 5.76 | 0.71 | 2.43 |
| D2 | 0.620 | 8.28 | 0.68 | 3.49 |
| D3 | 0.669 | 13.35 | 0.62 | 5.53 |
| D4 | 0.628 | 8.09 | 0.68 | 3.46 |
© 2010 by the authors; licensee Molecular Diversity Preservation International, Basel, Switzerland. This article is an open-access article distributed under the terms and conditions of the Creative Commons Attribution license (http://creativecommons.org/licenses/by/3.0/).
Share and Cite
Wu, T.-Y.; Tsao, M.-H.; Chen, F.-L.; Su, S.-G.; Chang, C.-W.; Wang, H.-P.; Lin, Y.-C.; Ou-Yang, W.-C.; Sun, I.-W. Synthesis and Characterization of Organic Dyes Containing Various Donors and Acceptors. Int. J. Mol. Sci. 2010, 11, 329-353. https://doi.org/10.3390/ijms11010329
Wu T-Y, Tsao M-H, Chen F-L, Su S-G, Chang C-W, Wang H-P, Lin Y-C, Ou-Yang W-C, Sun I-W. Synthesis and Characterization of Organic Dyes Containing Various Donors and Acceptors. International Journal of Molecular Sciences. 2010; 11(1):329-353. https://doi.org/10.3390/ijms11010329
Chicago/Turabian StyleWu, Tzi-Yi, Ming-Hsiu Tsao, Fu-Lin Chen, Shyh-Gang Su, Cheng-Wen Chang, Hong-Paul Wang, Yuan-Chung Lin, Wen-Chung Ou-Yang, and I-Wen Sun. 2010. "Synthesis and Characterization of Organic Dyes Containing Various Donors and Acceptors" International Journal of Molecular Sciences 11, no. 1: 329-353. https://doi.org/10.3390/ijms11010329
APA StyleWu, T.-Y., Tsao, M.-H., Chen, F.-L., Su, S.-G., Chang, C.-W., Wang, H.-P., Lin, Y.-C., Ou-Yang, W.-C., & Sun, I.-W. (2010). Synthesis and Characterization of Organic Dyes Containing Various Donors and Acceptors. International Journal of Molecular Sciences, 11(1), 329-353. https://doi.org/10.3390/ijms11010329
