Elementary Reactions and Their Role in Gas-Phase Prebiotic Chemistry
Abstract
:1. Introduction
2. The CRESU Technique
3. The Crossed Molecular Beam Technique with Mass Spectrometric Detection
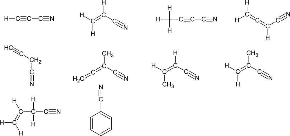
4. Key Results on the Reactions of CN Radicals
5. Key Results on the Reactions of C2
6. Key Results on the Reactions of Atomic Nitrogen, N(2D)
7. Key Results On the Reactions of Atomic Sulfur, S(1D)
8. Conclusions
Acknowledgments
References and Notes
- Eschenmoser, A; Loewenthal, E. Chemistry of potentially prebiological natural products. Chem. Soc. Rev 1992, 21, 1–16. [Google Scholar]
- Eschenmoser, A. Chemistry of potentially prebiological natural products. Orig. Life Evol. Biosph 1994, 24, 389–423. [Google Scholar]
- Bernstein, M. Prebiotic materials from on and off the early Earth. Phil. Trans. R. Soc. B 2006, 361, 1689–1702. [Google Scholar]
- Chyba, C; Sagan, C. Endogenous production, exogenous delivery and impact-shock synthesis of organic molecules: an inventory for the origins of life. Nature 1992, 355, 125–132. [Google Scholar]
- Miller, SL. Production of amino acids under possible primitive Earth conditions. Science 1953, 117, 528–529. [Google Scholar]
- Bada, JJ; Lazcano, A. Prebiotic soup - revisiting the miller experiment. Science 2003, 300, 745–746. [Google Scholar]
- Miller, SL. Current status of the prebiotic synthesis of small molecules. Chem. Scripta 1986, 26B, 5–11. [Google Scholar]
- Cleaves, HJ; Chalmers, JH; Lazcano, A; Miller, SL; Bada, JL. A reassessment of prebiotic organic synthesis in neutral planetary atmospheres. Orig. Life Evol. Biosph 2008, 38, 105–115. [Google Scholar]
- Johnson, AP; Cleaves, HJ; Dworkin, JP; Glavin, DP; Lazcano, A; Bada, JL. The Miller volcanic spark discharge experiment. Science 2008, 322, 404–404. [Google Scholar]
- Holm, NG; Andersson, E. Hydrothermal simulation experiments as a tool for studies of the origin of life on earth and other terrestrial planets: a review. Astrobiology 2005, 5, 444–460, And references therein.. [Google Scholar]
- Ehrenfreund, P; Irvine, W; Becker, L; Blank, J; Brucato, JR; Colangeli, L; Derenne, S; Despois, D; Dutrey, A; Fraaije, H; Lazcano, A; Owen, T; Robert, F. Astrophysical and astrochemical insights into the origin of life. Rep. Prog. Phys 2002, 65, 1427–1487. [Google Scholar]
- Ehrenfreund, P; Charnley, SB. Organic molecules in the interstellar medium, comets, and meteorites: A voyage from dark clouds to the early earth. Ann. Rev. Astron. Astrophys 2000, 38, 427–483. [Google Scholar]
- Orò, J; Mills, T; Lazcano, A. Comets and the formation of biochemical compounds on the primitive Earth - a review. Orig Life Evol Biosph 1991, 21. [Google Scholar]
- Pizzarello, S. The chemistry of life’s origin: a carbonaceous meteorite perspective. Acc. Chem. Res 2006, 39, 231–237. [Google Scholar]
- Martins, Z; Botta, O; Fogel, ML; Sephton, MA; Glavin, DP; Watson, JS; Dworkin, JP; Schwartz, AW; Ehrenfreund, P. Extraterrestrial nucleobases in the Murchison meteorite. Earth Planet. Sci. Lett 2008, 270, 130–136. [Google Scholar]
- Flynn, GJ; Keller, LP; Jacobsen, C; Wirick, S. An assessment of the amount and types of organic matter contributed to the Earth by interplanetary dust. Adv. Space Res 2004, 33, 57–66. [Google Scholar]
- .
- Ehrenfreund, P; Bernstein, MP; Dworkin, JP; Sandford, SA; Allamandola, LJ. The photostability of amino acids in space. Astrophys. J 2001, 550, L95–L99. [Google Scholar]
- Stantcheva, T; Herbst, E. Models of gas-grain chemistry in interstellar cloud cores with a stochastic approach to surface chemistry. Astron. Astrophys 2004, 423, 241–251. [Google Scholar]
- Roberge, WG; Jones, D; Lepp, S; Dalgarno, A. Interstellar photodissociation and photoionization rates. Astrophys. J. Suppl. Ser 1991, 77, 287–297. [Google Scholar]
- Tielens, AGGM. The physics and chemistry of the interstellar medium; Cambridge University Press: Cambridge, UK, 2005. [Google Scholar]
- Herbst, E; Millar, TI. The chemistry of cold interstellar cloud cores. In Low Temperatures and cold molecules; Smith, IWM, Ed.; Imperial College Press, World Scientific Publishing Co. Pte. Ltd: Singapore, 2008; pp. 1–54. [Google Scholar]
- Mitchell, GF. Effects of shocks on the molecular composition of a dense interstellar cloud. Astrophys. J. Suppl. Ser 1984, 54, 81–101. [Google Scholar]
- Herbst, E. Chemistry of Star-Forming Regions. J. Phys. Chem. A 2005, 109, 4017–4029. [Google Scholar]
- Le Teu, YH; Millar, TJ; Markwick, AJ. The UMIST database for astrochemistry 1999. Astron. Astrophys. Suppl. Ser 2000, 146, 157–168. [Google Scholar]
- Turner, BE; Herbst, E; Terzieva, R. The physics and chemistry of small translucent molecular clouds. XIII. The basic hydrocarbon chemistry. Astrophys. J. Suppl. Ser 2000, 26, 427–460. [Google Scholar]
- Yung, YL; DeMore, WB. Photochemistry of Planetary Atmospheres; Oxford University Press: New York, USA, 1998. [Google Scholar]
- Mitchell, GF; Prasad, SS; Huntress, WT. Chemical model calculations of C2, C3, CH, CN, OH, and NH2 abundances in cometary comae. Astrophys. J 1981, 244, 1087–1093. [Google Scholar]
- Anicich, VG. A survey of bimolecular ion-molecule reactions for use in modeling the chemistry of planetary-atmospheres, cometary comae, and interstellar clouds. Astrophys. J. Suppl. Ser 1993, 84, 215–315. [Google Scholar]
- Cottin, H; Gazeau, MC; Raulin, F. Cometary organic chemistry: a review from observations, numerical and experimental simulations. Planet. Space Sci 1999, 47, 1141–1162. [Google Scholar]
- Kaiser, RI. Experimental investigation on the formation of carbon-bearing molecules in the interstellar medium via neutral-neutral reactions. Chem. Rev 2002, 102, 1309–1358. [Google Scholar]
- Smith, D. The ion chemistry of interstellar clouds. Chem. Rev 1992, 92, 1473–1485. [Google Scholar]
- Canosa, A; Goulay, F; Sims, IR; Rowe, BR. Gas phase reactive collisions at very low temperature: recent experimental advances and perspectives. In Low Temperatures and cold molecules; Smith, IWM, Ed.; Imperial College Press, World Scientific Publishing Co. Pte. Ltd: Singapore, 2008; pp. 55–120. [Google Scholar]
- Smith, IWM; Herbst, E; Chang, Q. Rapid neutral-neutral reactions at low temperatures: a new network and first results for TMC-1. Mon. Not. R. Astronom. Soc 2004, 350, 323–330. [Google Scholar]
- Smith, IWM. The temperature-dependence of elementary reaction rates: beyond Arrhenius. Chem. Soc. Rev 2008, 37, 812–826. [Google Scholar]
- Strobel, DF. Photochemistry in outer Solar System atmospheres. Space Sci. Rev 2005, 116, 155–170. [Google Scholar]
- Moses, JI; Bezard, B; Lellouch, E; Gladstone, GR; Feuchtgruber, H; Allen, M. Photochemistry of Saturn’s atmosphere. I. Hydrocarbon chemistry and comparisons with ISO observations. Icarus 2000, 143, 244–298. [Google Scholar]
- Atreya, SK. Uranus photochemistry and prospects for Voyager 2 at Neptune. Adv. Space Res 1990, 10, 113–119. [Google Scholar]
- Bishop, J; Romani, PN; Atreya, S. Voyager 2 ultraviolet spectrometer solar occultations at Neptune: photochemical modeling of the 125–165 nm light curves. Planet. Space Sci 1998, 46, 1–20. [Google Scholar]
- Romani, PN; Bishop, J; Bezard, B; Atreya, S. Methane photochemistry on Neptune: ethane and acetilene mixing ratios and haze production. Icarus 1993, 106, 442–463. [Google Scholar]
- Yung, Y; Allen, M; Pinto, J. Photochemistry of the atmosphere of Titan - comparison between model and observations. Astrophys. J. Suppl. Ser 1984, 55, 465–506. [Google Scholar]
- Toublanc, D; Parisot, J; Brillet, J; Gautier, D; Raulin, F; McKay, C. Photochemical modeling of Titan’s atmosphere. Icarus 1995, 113, 2–26. [Google Scholar]
- Lara, LM; Lellouch, E; López-Moreno, JJ; Rodrigo, R. Vertical distribution of Titan’s atmospheric neutral constituents. J. Geophys. Res 1996, 101, 23261–23283. [Google Scholar]
- Lebonnois, S; Toublanc, D; Hourdin, F; Rannou, P. Seasonal variations of Titan’s atmospheric composition. Icarus 2001, 152, 384–406. [Google Scholar]
- Wilson, EH; Atreya, S. Current state of modeling the photochemistry of Titan’s mutually dependent atmosphere and ionosphere. J. Geophys. Res 2004, 109, E06002. [Google Scholar]
- Vuitton, V; Yelle, RV; Anicich, VG. The nitrogen chemistry of Titan’s upper atmosphere revealed. Astrophys. J 2006, 647, L175–L178. [Google Scholar]
- Lavvas, PP; Coustenis, A; Vardavas, IM. Coupling photochemistry with haze formation in Titan's atmosphere, part I: Model description. Planet. Space Sci 2008, 56, 27–66. [Google Scholar]
- Lavvas, PP; Coustenis, A; Vardavas, IM. Coupling photochemistry with haze formation in Titan’s atmosphere. Part II: results and validation with Cassini/Huygens data. Planet. Space Sci 2008, 56, 67–99. [Google Scholar]
- Sagan, C; Thompson, WR; Khare, BN. Titan: a laboratory for prebiological organic chemistry. Acc. Chem. Res 1992, 25, 286–292. [Google Scholar]
- Coustenis, A; Taylor, FW. Titan: the Earth-like Moon; World Scientific: Singapore, 1999. [Google Scholar]
- Owen, T; Raulin, F; McKay, CP; Lunine, JI; Lebreton, JP; Matson, DL. The Relevance of Titan and Cassini/Huygens to Pre-Biotic Chemistry and the Origin of Life on Earth. In Huygens: Science, Payload and Mission; Lebreton, JP, Wilson, A, Eds.; ESA-ESTEC: Noordwijk, the Netherlands, August 1997; pp. 231–233, ESA SP-1177. [Google Scholar]
- Raulin, F. Astrobiology and habitability of Titan. Space Sci. Rev 2008, 135, 37–8. [Google Scholar]
- Roy, D; Najafian, K; Schleyer, PvR. Chemical evolution: the mechanism of the formation of adenine under prebiotic conditions. Proc. Natl. Acad. Sci. U.S.A 2007, 104, 17272–17277. [Google Scholar]
- Glaser, R; Hodgen, B; Farrelly, D; McKee, E. Adenine synthesis in interstnellar space: mechanisms of prebiotic pyrimidine-ring formation of monocyclic HCN-pentamers. Astrobiology 2007, 7, 455–470. [Google Scholar]
- Woon, DE. Pathways to glycine and other amino acids in ultraviolet-irradiated astrophysical ices determined via quantum chemical modeling. Astrophys. J 2002, 571, L177–L180. [Google Scholar]
- Lee, YT. Molecular beam studies of elementary chemical processes. In Nobel Lectures in Chemistry 1981–1990; Fraegsmyr, T, Malstrom, BG, Eds.; World Scientific: Singapore, 1992; pp. 320–357. [Google Scholar]
- Smith, IWM; Rowe, BR. Reaction kinetics at very low temperatures: laboratory studies and interstellar chemistry. Acc. Chem. Res 2000, 33, 261–268. [Google Scholar]
- Smith, IWM. The Liversidge Lecture 2001 – 02. Chemistry amongst the stars: reaction kinetics at a new frontier. Chem. Soc. Rev 2002, 31, 137–146. [Google Scholar]
- Smith, IWM. Laboratory studies of atmospheric reactions at low temperature. Chem. Rev 2003, 103, 4549–4564. [Google Scholar]
- Chastaing, D; Le Picard, SD; Sims, IR; Smith, IWM. Rate coefficients for the reactions of C(3PJ) atoms with C2H2, C2H4, CH3≡CCH and H2CCCH2 at temperatures down 15 K. Astron. Astrophys 2001, 365, 241–247. [Google Scholar]
- Chastaing, D; Le Picard, SD; Sims, IR; Smith, IWM; Geppert, WD; Naulin, C; Costes, M. Rate coefficients and cross-sections for the reactions of C(3PJ) atoms with methylacetylene and allene. Chem. Phys. Lett 2000, 331, 170–176. [Google Scholar]
- Canosa, A; Le Picard, SD; Gougeon, S; Rebrion-Rowe, C; Travers, D; Rowe, BR. Rate coefficients for the reactions of Si(3PJ) with C2H2 and C2H4: Experimental results down to 15 K. J. Chem. Phys 2001, 115, 6495–6503. [Google Scholar]
- Sims, IR; Queffelec, JL; Defrance, A; Rebrion-Rowe, C; Travers, D; Bocherel, P; Rowe, BR; Smith, IWM. Ultralow temperature kinetics of neutral-neutral reactions - the technique and results for the reactions CN + O2 down to 13 K and CN + NH3 down to 25 K. J. Chem. Phys 1994, 100, 4229–4241. [Google Scholar]
- Goulay, F; Rebrion-Rowe, C; Biennier, L; Le Picard, SD; Canosa, A; Rowe, BR. The reaction of anthracene with CH radicals: An experimental study of the kinetics between 58 K and 470 K. J. Phys. Chem. A 2006, 110, 3132–3137. [Google Scholar]
- Goulay, F; Rebrion-Rowe, C; Le Garrec, JL; Le Picard, SD; Canosa, A; Rowe, BR. The reaction of anthracene with OH radicals: an experimental study of the kinetics between 58 K and 470 K. J Chem Phys 2005, 122, 104308, 66.. [Google Scholar]
- Brownsword, RA; Canosa, A; Rowe, BR; Sims, IR; Smith, IWM; Stewart, DWA; Symonds, AC; Travers, D. Kinetics over a wide range of temperature (13 – 744 K): rate constants for the reactions CH(v = 0) with H2 and D2 and for the removal of CH(v = 1) by H2 and D2. J. Chem. Phys 1997, 106, 7662–7677. [Google Scholar]
- Sims, IR; Queffelec, JL; Travers, D; Rowe, BR; Herbert, LB; Karthauser, J; Smith, IWM. Rate constants for the reactions of CN with hydrocarbons at low and ultra-low temperature. Chem. Phys. Lett 1993, 211, 461–468. [Google Scholar]
- Canosa, A; Sims, IR; Travers, D; Smith, IWM; Rowe, BR. Reactions of the methylidine radical with CH4, C2H2, C2H4, C2H6 and but-1-ene studied between 23 and 295 K with a CRESU apparatus. Astron. Astrophys 1997, 323, 644–651. [Google Scholar]
- Chastaing, D; James, PL; Sims, IR; Smith, IWM. Neutral-neutral reactions at the temperatures of interstellar clouds - Rate coefficients for reactions of C2H radicals with O2, C2H2, C2H4 and C3H6 down to 15 K. Faraday Discuss 1998, 109, 165–181. [Google Scholar]
- Berteloite, C; Le Picard, SD; Birza, P; Gazeau, MC; Canosa, A; Benilan, Y; Sims, IR. Low temperature (39 K – 298 K) kinetic study of the reactions of C4H radical with various hydrocarbons observed in Titan’s atmosphere: CH4, C2H2, C2H4, C2H6, C3H4 and C3H8. Icarus 2008, 194, 746–757. [Google Scholar]
- Canosa, A; Paramo, A; Le Picard, SD; Sims, IR. An experimental study of the reaction kinetics of C2(X1Σ+g) with hydrocarbons (CH4, C2H2, C2H4, C2H6 and C3H8) over the temperature range 24 – 300 K. Implications for the atmospheres of Titan and the Giant Planets. Icarus 2007, 187, 558–568. [Google Scholar]
- Paramo, A; Canosa, A; Le Picard, SD; Sims, IR. Rate coefficients for the reactions of C2(a3Πu) and C2(X 1Σ+g) with various hydrocarbons (CH4, C2H2, C2H4, C2H6, and C3H8): A gas-phase experimental study over the temperature range 24–300 K. J. Phys. Chem. A 2008, 112, 9591–9600. [Google Scholar]
- Atkinson, DB; Smith, MA. Design and characterization of pulsed uniform supersonic expansions for chemical applications. Rev. Sci. Instrum 1995, 66, 4434–4446. [Google Scholar]
- Lee, S; Hoobler, RJ; Leone, SR. A pulsed Laval nozzle apparatus with laser ionization mass spectrometry for direct measurements of rate coefficients at low temperatures with condensable gases. Rev. Sci. Instrum 2000, 71, 1816–1823. [Google Scholar]
- Spangenberg, T; Kohler, S; Hansmann, B; Wachsmuth, U; Abel, B; Smith, MA. Low-temperature reactions of OH radicals with propene and isoprene in pulsed Laval nozzle expansions. J. Phys. Chem. A 2004, 108, 7527–7534. [Google Scholar]
- Mullen, C; Smith, MA. Low temperature NH(X3Σ−) radical reactions with NO, saturated, and unsaturated hydrocarbons studied in a pulsed supersonic Laval nozzle flow reactor between 53 and 188 K. J. Phys. Chem. A 2005, 109, 1391–1399. [Google Scholar]
- Vakhtin, AB; Heard, DE; Smith, IWM; Leone, SR. Kinetics of C2H radical reactions with ethene, propene and 1-butene measured in a pulsed Laval nozzle apparatus at T-103 and 296 K. Chem. Phys. Lett 2001, 348, 21–26. [Google Scholar]
- Goulay, F; Leone, SR. Low-temperature rate coefficients for the reaction of ethynyl radical (C2H) with benzene. J Phys. Chem. A 2006, 110, 1875–1880. [Google Scholar]
- Nizamov, B; Leone, SR. Kinetics of C2H reactions with hydrocarbons and nitriles in the 104 – 296 K temperature range. J Phys. Chem. A 2004, 108, 1746–1752. [Google Scholar]
- Vakhtin, AB; Murphy, JE; Leone, SR. Low-temperature kinetics of reactions of OH radical with ethene, propene, and 1-butene. J Phys. Chem. A 2003, 107, 10055–10062. [Google Scholar]
- Murphy, JE; Vakhtin, AB; Leone, SR. Laboratory kinetics of C2H radical reactions with ethane, propane, and n-butane at T = 96 – 296 K: implications for Titan. Icarus 2003, 163, 175–181. [Google Scholar]
- Vakhtin, AB; Heard, DE; Smith, IWM; Leone, SR. Kinetics of reactions of C2H radical with acetylene, O2, methylacetylene, and allene in a pulsed Laval nozzle apparatus at T = 103 K. Chem. Phys. Lett 2001, 344, 317–324. [Google Scholar]
- Hansmann, B; Abel, B. Kinetics in cold Laval nozzle expansions: From atmospheric chemistry to oxidation of biomolecules in the gas phase. Chem. Phys. Chem 2007, 8, 343–356. [Google Scholar]
- Balucani, N; Asvany, O; Huang, LCL; Lee, YT; Kaiser, RI; Osamura, Y; Bettinger, HF. Formation of nitriles in the interstellar medium via reactions of cyano radicals, CN(X2Σ+), with unsaturated hydrocarbons. Astrophys. J 2000, 545, 892–906. [Google Scholar]
- Balucani, N; Asvany, O; Osamura, Y; Huang, LCL; Lee, YT; Kaiser, RI. Laboratory investigation on the formation of unsaturated nitriles in Titan's atmosphere. Planet. Space Sci 2000, 48, 447–462. [Google Scholar]
- Kaiser, RI; Balucani, N. Astrobiology - the final frontier in chemical reaction dynamics. Int. J. Astrobiology 2002, 1, 15–23. [Google Scholar]
- Kaiser, RI; Balucani, N. The formation of nitriles in hydrocarbon-rich atmospheres of planets and their satellites: Laboratory investigations by the crossed molecular beam technique. Acc. Chem. Res 2001, 34, 699–706. [Google Scholar]
- Zhang, FT; Kim, S; Kaiser, RI; Mebel, AM. Formation of the 1,3,5-hexatriynyl radical (C6H(X2Π)) via the crossed beams reaction of dicarbon (C2(X1∑+g/a3IIu)), with diacetylene (C4H2(X1∑+g)). J Phys. Chem. A 2009, 113, 1210–1217. [Google Scholar]
- Gu, XB; Guo, Y; Mebel, AM; Kaiser, RI. Chemical dynamics of the formation of the 1,3-butadiynyl radical (C4H(X2∑+)) and its isotopomers. J Phys. Chem. A 2006, 110, 11265–11278. [Google Scholar]
- Kaiser, RI; Balucani, N; Charkin, DO; Mebel, AM. A crossed beam and ab initio study of the C2(X1∑+g/a3Πu) + C2H2(X1∑+g) reactions. Chem. Phys. Lett 2003, 382, 112–119. [Google Scholar]
- Kaiser, RI; Le, TN; Nguyen, TL; Mebel, AM; Balucani, N; Lee, YT; Stahl, F; Schleyer, PV; Schaefer, HF. A combined crossed molecular beam and ab initio investigation of C2 and C3 elementary reactions with unsaturated hydrocarbons - pathways to hydrogen deficient hydrocarbon radicals in combustion flames. Faraday Discuss 2001, 119, 51–66. [Google Scholar]
- Balucani, N; Mebel, AM; Lee, YT; Kaiser, RI. A combined crossed molecular beam and ab initio study of the reactions C2(X1∑+g/a3IIu) + C2H4 → n-C4H3(X2A') + H(2S1/2). J Phys. Chem. A 2001, 105, 9813–9818. [Google Scholar]
- Guo, Y; Gu, X; Balucani, N; Kaiser, RI. Formation of the 2,4-pentadiynyl-1 radical (H2CCCCCH, X2B1) in the crossed beams reaction of dicarbon molecules with methylacetylene. J Phys. Chem. A 2006, 110, 6245–6249. [Google Scholar]
- Gu, XB; Guo, Y; Zhang, FT; Mebel, AM; Kaiser, RI. Reaction dynamics of carbon-bearing radicals in circumstellar envelopes of carbon stars. Faraday Discuss 2006, 133, 245–275. [Google Scholar]
- Gu, XB; Zhang, FT; Kaiser, RI. Reaction dynamics on the formation of 1-and 3-cyanopropylene in the crossed beams reaction of ground-state cyano radicals (CN) with propylene (C3H6) and its deuterated isotopologues. J Phys. Chem. A 2008, 112, 9607–9612. [Google Scholar]
- Balucani, N; Asvany, O; Kaiser, RI; Osamura, Y. Formation of three C4H3N isomers from the reaction of CN(X2∑+) with allene, H2CCCH2 (X1A1), and methylacetylene, CH3CCH (X1A1): a combined crossed beam and ab initio study. J Phys. Chem. A 2002, 106, 4301–4311. [Google Scholar]
- Balucani, N; Asvany, O; Chang, AHH; Lin, SH; Lee, YT; Kaiser, RI; Osamura, Y. Crossed beam reaction of cyano radicals with hydrocarbon molecules. III. Chemical dynamics of vinylcyanide (C2H3CN; X1A') formation from reaction of CN(X2∑+) with ethylene, C2H4(X 1Ag). J. Chem. Phys 2000, 113, 8643–8655. [Google Scholar]
- Huang, LCL; Asvany, O; Chang, AHH; Balucani, N; Lin, SH; Lee, YT; Kaiser, RI; Osamura, Y. Crossed beam reaction of cyano radicals with hydrocarbon molecules. IV. Chemical dynamics of cyanoacetylene (HCCCN; X1∑+) formation from reaction of CN(X2∑+) with acetylene, C2H2(X1∑+g). J. Chem. Phys 2000, 113, 8656–8666. [Google Scholar]
- Balucani, N; Asvany, O; Chang, AHH; Lin, SH; Lee, YT; Kaiser, RI; Bettinger, HF; Schleyer, PV; Schaefer, HF. Crossed beam reaction of cyano radicals with hydrocarbon molecules. I. Chemical dynamics of cyanobenzene (C6H5CN; X1A1) and perdeutero cyanobenzene (C6D5CN; X1A1) formation from reaction of CN(X2∑+) with benzene C6H6(X 1A1g)), and d6-benzene C6D6(X1A1g). J. Chem. Phys 1999, 111, 7457–7471. [Google Scholar]
- Balucani, N; Asvany, O; Chang, AHH; Lin, SH; Lee, YT; Kaiser, RI; Bettinger, HF; Schleyer, PV; Schaefer, HF. Crossed beam reaction of cyano radicals with hydrocarbon molecules. II. Chemical dynamics of 1-cyano-1-methylallene (CNCH3CCCH2; X 1A') formation from reaction of CN(X2∑+) with dimethylacetylene CH3CCCH3 (X 1A1'). J. Chem. Phys 1999, 111, 7472–7479. [Google Scholar]
- Huang, LCL; Balucani, N; Lee, YT; Kaiser, RI; Osamura, Y. Crossed beam reaction of the cyano radical, CN(X2∑+), with methylacetylene, CH3CCH (X1A1): Observation of cyanopropyne, CH3CCCN (X1A1), and cyanoallene, H2CCCHCN (X1A'). J. Chem. Phys 1999, 111, 2857–2860. [Google Scholar]
- Kaiser, RI; Ochsenfeld, C; Head-Gordon, M; Lee, YT. Neutral-neutral reactions in the interstellar medium. II. Isotope effects in the formation of linear and cyclic C3H and C3D radicals in interstellar environments. Astrophys. J 1999, 510, 784–788. [Google Scholar]
- Kaiser, RI; Ochsenfeld, C; Stranges, D; Head-Gordon, M; Lee, YT. Combined crossed molecular beams and ab initio investigation of the formation of carbon-bearing molecules in the interstellar medium via neutral-neutral reactions. Faraday Disc 1998, 109, 183–204. [Google Scholar]
- Kaiser, RI; Stranges, D; Lee, YT; Suits, AG. Neutral-neutral reactions in the interstellar medium. I. Formation of carbon hydride radicals via reaction of carbon atoms with unsaturated hydrocarbons. Astrophys. J 1997, 477, 982–989. [Google Scholar]
- Kaiser, RI; Ochsenfeld, C; Head Gordon, M; Lee, YT; Suits, AG. A combined experimental and theoretical study on the formation of interstellar C3H isomers. Science 1996, 274, 1508–1511. [Google Scholar]
- Kaiser, RI; Lee, YT; Suits, AG. Crossed-beam reaction of carbon atoms with hydrocarbon molecules. I. Chemical dynamics of the propargyl radical formation C3H3 (X2B2), from reaction of C(3Pj) with ethylene, C2H4(X1Ag). J. Chem. Phys 1996, 105, 8705–8720. [Google Scholar]
- Zhang, FT; Kim, YS; Zhou, L; Chang, AHH; Kaiser, RI. A crossed molecular beam study on the synthesis of the interstellar 2,4-pentadiynylidyne radical (HCCCCC). J. Chem. Phys 2008, 129, 134313. [Google Scholar]
- Guo, Y; Gu, X; Zhang, F; Sun, BJ; Tsai, MF; Chang, AHH; Kaiser, RI. Unraveling the formation of HCPH(X2A') molecules in extraterrestrial environments: Crossed molecular beam study of the reaction of carbon atoms, C(3Pj), with phosphine, PH3(X1A1). J Phys. Chem. A 2007, 111, 3241–3247. [Google Scholar]
- Gu, XB; Guo, Y; Zhang, FT; Kaiser, RI. Investigating the chemical dynamics of the reaction of ground-state carbon atoms with acetylene and its isotopomers. J Phys. Chem. A 2007, 111, 2980–2992. [Google Scholar]
- Kaiser, RI; Stahl, F; Schleyer, PV; Schaefer, HF. Atomic and molecular hydrogen elimination in the crossed beam reaction of d1-ethinyl radicals C2D(X2∑+) with acetylene, C2H2(X1∑+g): dynamics of d1-diacetylene (HCCCCD) and d1-butadiynyl (DCCCC) formation. Phys. Chem. Chem. Phys 2002, 4, 2950–2958. [Google Scholar]
- Stahl, F; Schleyer, PV; Bettinger, HF; Kaiser, RI; Lee, YT; Schaefer, HF. Reaction of the ethynyl radical, C2H, with methylacetylene, CH3CCH, under single collision conditions: Implications for astrochemistry. J. Chem. Phys 2001, 114, 3476–3487. [Google Scholar]
- Kaiser, RI; Chiong, CC; Asvany, O; Lee, YT; Stahl, F; Schleyer, PV; Schaefer, HF. Chemical dynamics of d1-methyldiacetylene (CH3CCCCD; X1A1) and d1-ethynylallene (H2CCCH(C2D); X1A') formation from reaction of C2D(X2∑+) with methylacetylene, CH3CCH(X1A1). J. Chem. Phys 2001, 114, 3488–3496. [Google Scholar]
- Casavecchia, P; Leonori, F; Balucani, N; Petrucci, R; Capozza, G; Segoloni, E. Probing the dynamics of polyatomic multichannel elementary reactions by crossed molecular beam experiments with soft electron-ionization mass spectrometric detection. Phys. Chem. Chem. Phys 2009, 11, 46–65. [Google Scholar]
- Balucani, N; Capozza, G; Leonori, F; Segoloni, E; Casavecchia, P. Crossed molecular beam reactive scattering: from simple triatomic to multichannel polyatomic reactions. Int. Rev. Phys. Chem 2006, 25, 109–163. [Google Scholar]
- Balucani, N; Alagia, M; Cartechini, L; Casavecchia, P; Volpi, GG; Sato, K; Takayanagi, T; Kurosaki, Y. Cyanomethylene formation from the reaction of excited nitrogen atoms with acetylene: a crossed beam and ab initio study. J. Am. Chem. Soc 2000, 122, 4443–4450. [Google Scholar]
- Balucani, N; Cartechini, L; Alagia, M; Casavecchia, P; Volpi, GG. Observation of nitrogen-bearing organic molecules from reactions of nitrogen atoms with hydrocarbons: a crossed beam study of N(2D) + ethylene. J. Phys. Chem. A 2000, 104, 5655–5659. [Google Scholar]
- Casavecchia, P; Balucani, N; Cartechini, L; Capozza, G; Bergeat, A; Volpi, GG. Crossed beam studies of elementary reactions of N and C atoms and CN radicals of importance in combustion. Faraday Discuss 2001, 119, 27–49. [Google Scholar]
- Balucani, N; Casavecchia, P. Gas-phase reactions in extraterrestrial environments: laboratory investigations by crossed molecular beams. Orig. Life Evol. Biosph 2006, 36, 443–450. [Google Scholar]
- Balucani, N; Bergeat, A; Cartechini, L; Volpi, GG; Casavecchia, P; Skouteris, D; Rosi, M. Combined crossed molecular beam and theoretical studies of the N(2D) + CH4 reaction and implications for atmospheric models of Titan. J. Phys. Chem. A. submitted..
- Balucani, N; Casavecchia, P; Banares, L; Aoiz, FJ; Gonzalez-Lezana, T; Honvault, P; Launay, JM. Experimental and theoretical differential cross sections for the N(2D) + H2 reaction. J. Phys. Chem. A 2006, 110, 817–829. [Google Scholar]
- Cartechini, L; Bergeat, A; Capozza, G; Casavecchia, P; Volpi, GG; Geppert, WD; Naulin, C; Costes, M. Dynamics of the C + C2H2 reaction from differential and integral cross-section measurements in crossed-beam experiments. J. Chem. Phys 2002, 116, 5603–5611. [Google Scholar]
- Geppert, WD; Naulin, C; Costes, M; Capozza, G; Cartechini, L; Casavecchia, P; Volpi, GG. Combined crossed-beam studies of C(3PJ) + C2H4 → C3H3 + H reaction dynamics between 0.49 and 30.8 kJ mol−1. J. Chem. Phys 2003, 119, 10607–10617. [Google Scholar]
- Costes, M; Daugey, N; Naulin, C; Bergeat, A; Leonori, F; Segoloni, E; Petrucci, R; Balucani, N; Casavecchia, P. Crossed-beam studies on the dynamics of the C + C2H2 interstellar reaction leading to linear and cyclic C3H + H and C3 + H2. Faraday Discuss 2006, 133, 157–176. [Google Scholar]
- Leonori, F; Petrucci, R; Segoloni, E; Bergeat, A; Hickson, KM; Balucani, N; Casavecchia, P. Unraveling the dynamics of the C(3P,1D) + C2H2 reactions by the crossed molecular beam scattering technique. J. Phys. Chem. A 2008, 112, 1363–1379. [Google Scholar]
- Leonori, F; Petrucci, R; Hickson, KM; Segoloni, E; Balucani, N; Le Picard, SD; Foggi, P; Casavecchia, P. Crossed molecular beam study of gas phase reactions relevant to the chemistry of planetary atmospheres: the case of C2 + C2H2. Planet. Space Sci 2008, 56, 1658–1673. [Google Scholar]
- Balucani, N; Leonori, F; Petrucci, R; Hickson, KM; Casavecchia, P. Crossed molecular beam studies of C(3P,1D) and C2(X1Σ+g, a3Πu) reactions with acetylene. Phys. Scr 2008, 78, 058117. [Google Scholar]
- Capozza, G; Segoloni, E; Leonori, F; Volpi, GG; Casavecchia, P. Soft electron impact ionization in crossed molecular beam reactive scattering: The dynamics of the O(3P) + C2H2 reaction. J. Chem. Phys 2004, 120, 4557–4560. [Google Scholar]
- Casavecchia, P; Capozza, G; Segoloni, E; Leonori, F; Balucani, N; Volpi, GG. dynamics of the O(3P) + C2H4 reaction: identification of five primary product channels (vinoxy, acetyl, methyl, methylene, and ketene) and branching ratios by the crossed molecular beam technique with soft electron ionization. J. Phys. Chem. A 2005, 109, 3527–3530. [Google Scholar]
- Balucani, N; Stranges, D; Casavecchia, P; Volpi, GG. Crossed beam studies of the reactions of atomic oxygen in the ground 3P and first electronically excited 1D states with hydrogen sulfide. J. Chem. Phys 2004, 120, 9571–9582. [Google Scholar]
- Alagia, M; Balucani, N; Casavecchia, P; Stranges, D; Volpi, GG. Crossed beam studies of four-atom reactions: the dynamics of OH + D2. J. Chem. Phys 1993, 98, 2459. [Google Scholar]
- Alagia, M; Balucani, N; Casavecchia, P; Stranges, D; Volpi, GG. Crossed beam studies of four-atom reactions: the dynamics of OH + CO. J. Chem. Phys 1993, 98, 8341. [Google Scholar]
- Leonori, F; Petrucci, R; Balucani, N; Hickson, KM; Hamberg, M; Geppert, WD; Casavecchia, P; Rosi, M. Combined crossed beam and theoretical studies of the S(1D) + C2H2 reaction. J. Phys. Chem. A 2009, 113, 4330–4339. [Google Scholar]
- Leonori, F; Petrucci, R; Balucani, N; Casavecchia, P; Rosi, M; Berteloite, C; Le Picard, SD; Canosa, A; Sims, IR. Observation of organosulfur products (thiovinoxy, thioketene and thioformyl) in crossed-beam experiments and low temperature rate coefficients for the reaction S(1D) + C2H4. Phys. Chem. Chem. Phys 2009, in press. [Google Scholar]
- Huang, C; Li, W; Estillore, AD; Suits, AG. Dynamics of CN plus alkane reactions by crossed-beam dc slice imaging. J. Chem. Phys 2008, 129, 074301. [Google Scholar]
- Zhang, F; Kim, S; Kaiser, RI. A crossed molecular beams study of the reaction of the ethynyl radical (C2H(X2Σ+)) with allene (H2CCCH2(X1A1)). Phys Chem Chem Phys 2009, in press. DOI: 10.1039/b822366a.. [Google Scholar]
- Kaiser, RI; Ting, J; Huang, LCL; Balucani, N; Asvany, O; Lee, YT; Chan, O; Stranges, D; Gee, D. A versatile source to produce high intensity, pulsed supersonic radical beams for crossed beam experiments – the cyano radical CN(X2Σ +), as a case study. Rev. Sci. Instrum 1999, 70, 4185–4184. [Google Scholar]
- Guo, Y; Mebel, AM; Zhang, F; Gu, X; Kaiser, RI. Crossed molecular beam studies of the reactions of allyl radicals, C3H5(X2A2), with methylacetylene (CH3CCH(X1A1)), allene (H2CCCH2(X1A1)), and their isotopomers. J. Phys. Chem. A 2007, 111, 4914–4921. [Google Scholar]
- Gu, X; Kaiser, RI. Reaction dynamics of phenyl radicals in extreme environments: a crossed molecular beam study. Acc. Chem. Res 2009, 42, 290–302. [Google Scholar]
- Leonori, F; Balucani, N; Capozza, G; Segoloni, E; Stranges, D; Casavecchia, P. Crossed beam studies of radical-radical reactions: O(3P) + C3H5 (allyl). Phys. Chem. Chem. Phys 2007, 9, 1307–1311. [Google Scholar]
- Alagia, M; Aquilanti, V; Ascenzi, D; Balucani, N; Cappelletti, D; Cartechini, L; Casavecchia, P; Pirani, F; Sanchini, G; Volpi, GG. Magnetic analysis of supersonic beams of atomic oxygen, nitrogen, and chlorine generated from a radio-frequency discharge. Israel J. Chem 1997, 37, 329–342. [Google Scholar]
- Bettens, RPA; Lee, HH; Herbst, E. The importance of classes of neutral-neutral reactions in the production of complex interstellar-molecules. Astrophys. J 1995, 443, 664–674. [Google Scholar]
- Turner, BE. Detection of Interstellar Cyanoacetylene. Astrophys. J 1971, 163, L35–L41. [Google Scholar]
- Cernicharo, J; Guelin, M; Kahane, X. A lambda 2 mm molecular line survey of the C-star envelope IRC + 10216. Astronom. Astrophys. Suppl. Ser 2000, 142, 181–215. [Google Scholar]
- Wyrowski, F; Schilke, P; Walmsley, CM. Vibrationally excited HC3N toward hot cores. Astronom. Astrophys 1999, 341, 882–895. [Google Scholar]
- Bell, MB; Feldman, PA; Travers, MJ; McCarthy, MC; Gottlieb, CA; Thaddeus, P. Detection of HC11N in the Cold Dust Cloud TMC-1. Astrophys. J 1997, 483, L61–L64. [Google Scholar]
- Bell, MB; Watson, JKG; Feldman, PA; Travers, MJ. The excitation temperatures of HC9N and other long cyanopolyynes in TMC-1. Astrophys. J 1998, 508, 286–290. [Google Scholar]
- Broten, NW; MacLeod, JM; Avery, LW; Friberg, P; Hjalmarson, A; Hoglund, B; Irvine, WM. The detection of interstellar methylcyanoacetylene. Astrophys. J 1984, 276, L25–L29. [Google Scholar]
- Nummelin, A; Bergman, P. Vibrationally excited vinyl cyanide in Sgr B2(N). Astron. Astrophys 1999, 341, L59–L62. [Google Scholar]
- Guelin, M; Neininger, N; Cernicharo, J. Astronomical detection of the cyanobutadiynyl radical C5N. Astron. Astrophys 1998, 335, L1–L4. [Google Scholar]
- Guelin, M; Mezaoui, A; Friberg, P. Astronomical study of the C3N and C4H radicals - Hyperfine interactions and Rho-type doubling. Astron. Astrophys 1982, 109, 23–31. [Google Scholar]
- Takagi, N; Fukuzawa, K; Osamura, Y; Schaefer, HF, III. Ion-molecule reactions producing HC3NH+ in interstellar space: forbiddenness the reaction between cyclic C3H3+ and the N atom. Astrophys. J 1999, 525, 791–798. [Google Scholar]
- Smith, IWM; Sims, IR. General Discussion. J.Chem. Soc. Faraday Trans 1993, 89, 2165. [Google Scholar]
- Fukuzawa, K; Osamura, Y. Molecular orbital study of neutral-neutral reactions concerning HC3N formation in interstellar space. Astrophys J 1997, 489, 113–121, and references therein.. [Google Scholar]
- Winstanley, N; Nejad, LAM. Cyanopolyyne Chemistry in TMC-1. Astrophys. Space Sci 1996, 240, 13–37. [Google Scholar]
- Kunde, VG; Aikin, AC; Hand, RA; Jennings, DE; Maguire, WC; Samuelson, RE. C4H2, HC3N, and C2N2 in Titan's atmosphere. Nature 1981, 292, 686–688. [Google Scholar]
- Teanby, NA; Irwin, PGJ; de Koka, R; Vinatier, S; Bézard, B; Nixon, CA; Flasar, FM; Calcutt, SB; Bowles, NE; Fletcher, L; Howett, C; Taylor, FW. Vertical profiles of HCN, HC3N, and C2H2 in Titan's atmosphere derived from Cassini/CIRS data. Icarus 2007, 186, 364–384. [Google Scholar]
- Bezard, B; Marten, A; Paubert, G. Detection of acetonitrile on Titan. Bull. Am. Astron. Soc 1993, 25, 1100–1104. [Google Scholar]
- Carty, D; Le Page, V; Sims, IR; Smith, IWM. Low temperature rate coefficients for the reactions of CN and C2H radicals with allene (CH2=C=CH2) and methyl acetylene (CH3C equivalent to CH). Chem. Phys. Lett 2001, 344, 310–316. [Google Scholar]
- Georgievskii, Y; Klippenstein, SJ. Strange kinetics of the C2H6 + CN reaction explained. J. Phys. Chem. A 2007, 111, 3802–3811. [Google Scholar]
- Choi, N; Blitz, MA; McKee, K; Pilling, MJ; Seakins, PW. H atom branching ratios from the reactions of CN radicals with C2H2 and C2H4. Chem. Phys. Lett 2004, 384, 68–72. [Google Scholar]
- Gannon, KL; Glowacki, DR; Blitz, MA; Hughes, KJ; Pilling, MJ; Seakins, PW. H atom yields from the reactions of CN radicals with C2H2, C2H4, C3H6, trans-2-C4H8, and iso-C4H8. J. Phys. Chem. A 2007, 111, 6679–6692. [Google Scholar]
- Trevitt, AJ; Goulay, F; Meloni, G; Osborn, DL; Taatjes, CA; Leone, SR. Isomer-specific product detection of CN radical reactions with ethene and propene by tunable VUV photoionization mass spectrometry. Int. J. Mass Spectr 2009, 280, 113–118. [Google Scholar]
- Herbert, L; Smith, IWM; Rowland, D; Spencer-Smith, RD. Rate constants for the elementary reactions between CN radicals and CH4, C2H6, C2H4, C3H6, and C2H2 in the range - 295 < T/K < 700K. Int. J. Chem. Kinet 1992, 24, 791–802. [Google Scholar]
- Chin, Y; Kaiser, RI; Lemme, C; Henkel, C. Detection of interstellar cyanoallene and its implications for astrochemistry. AIP Conf. Proc 2006, 855, 149–153. [Google Scholar]
- Lovas, FJ; Remijan, AJ; Hollis, JM; Jewell, PR; Snyder, LE. Hyperfine structure identification of interstellar cyanoallene toward TMC-1. Astrophys. J 2006, 637, L37–L40. [Google Scholar]
- van Dishoeck, EF; Black, JH. The excitation of interstellar C2. Astrophys. J 1982, 258, 533–547. [Google Scholar]
- Altwegg, K; Balsinger, H; Geiss, J. Composition of the volatile material in Halley’s coma from in situ measurements. Space Sci. Rev 1999, 90, 3–18. [Google Scholar]
- Geiss, J; Altwegg, K; Balsinger, H; Graf, S. Rare atoms, molecules and radicals in the coma of P/Halley. Space Sci. Rev 1999, 90, 253–268. [Google Scholar]
- Sorkhabi, O; Blunt, VM; Lin, H; A’Hearn, MF; Weaver, HA; Arpigny, C; Jackson, WM. Using photochemistry to explain the formation and observation of C2 in comets. Planet. Space Sci 1997, 45, 721–730. [Google Scholar]
- Mebel, AM; Hayashi, M; Jackson, WM; Wrobel, J; Green, M; Xu, D; Lin, SH. Branching ratios of C2 products in the photodissociation of C2H at 193 nm. J. Chem. Phys 2001, 114, 9821–9831. [Google Scholar]
- Becker, KH; Donner, B; Dinis, CMF; Geiger, H; Schmidt, F; Wiesen, P. Kinetics of the C2(a3Πu) radical reacting with selected molecules and atoms. Z. Phys. Chem 2000, 214, 503–517. [Google Scholar]
- Pasternack, L; McDonald, JR. Reactions of C2(X1∑+g) produced by multi-photon UV-excimer laser photolysis. Chem. Phys 1979, 43, 173–182. [Google Scholar]
- Pitts, WM; Pasternack, L; McDonald, JR. Temperature-dependence of the C2(X1∑+g) reaction with H2 and CH4 and C2(X1∑+g and a3Πu equilibrated states) with O2. Chem. Phys 1982, 68, 417–422. [Google Scholar]
- Reisler, H; Mangir, MS; Wittig, C. Kinetics of free-radicals generated by IR laser photolysis. 4. Intersystem crossings and reactions of C2(X1∑+g) and C2(a3Πu) in the gaseous-phase. J. Chem. Phys 1980, 73, 2280–2286. [Google Scholar]
- Daugey, N; Caubet, P; Bergeat, A; Costes, M; Hickson, KM. Reaction kinetics to low temperatures. Dicarbon + acetylene, methylacetylene, allene and propene from 77 ≤ T ≤ 296 K. Phys. Chem. Chem. Phys 2008, 10, 729–737. [Google Scholar]
- Herron, JT. 1999.. Evaluated chemical kinetics data for reactions of N(2D), N(2P) and N2(A3∑u+) in the gas phase. J. Phys. Chem. Ref. Data 1999, 28, 1453–1483. [Google Scholar]
- Yung, YL. An update of nitrile photochemistry in Titan. Icarus 1987, 72, 468–472. [Google Scholar]
- Kurosaki, Y; Takayanagi, T; Sato, K; Tsunashima, S. Ab initio molecular orbital calculations of the potential energy surfaces for the N(2D) + CH4 reaction. J. Phys. Chem. A 1998, 102, 254–259. [Google Scholar]
- Umemoto, H; Nakae, T; Hashimoto, H; Kongo, K; Kawasaki, M. Reactions of N(2D) with methane and deuterated methanes. J. Chem. Phys 1998, 109, 5844–5848. [Google Scholar]
- Balucani, N; Casavecchia, P. Neutral-neutral gas-phase reactions in extraterrestrial environments: laboratory investigations by crossed molecular beams. AIP Conference Proceedings 2006, 855, 17–30. [Google Scholar]
- Fujii, T; Arai, N. Analysis of N-containing hydrocarbon species produced by a CH4/N2 microwave discharge: Simulation of Titan's atmosphere. Astrophys J 1999, 519, 858–863. [Google Scholar]
- Teslja, A; Nizamov, B; Dagdigian, PJ. The electronic spectrum of methyleneimine. J. Phys. Chem. A 2004, 108, 4433–4439. [Google Scholar]
- Larson, C; Ji, YY; Samartzis, P; Wodtke, AM; Lee, SH; Lin, JJM; Chaudhuri, C; Ching, TT. Collision-free photochemistry of methylazide: Observation of unimolecular decomposition of singlet methylnitrene. J. Chem. Phys 2006, 125, 133302. [Google Scholar]
- Takayanagi, T; Kurosaki, Y; Sato, K; Tsunashima, S. Ab initio molecular orbital study of the N(2D) + ethylene reaction. J. Phys. Chem. A 1998, 102, 10391–10398. [Google Scholar]
- Leonori, F; Petrucci, R; Stazi, M; Balucani, N; Casavecchia, P; Skouteris, D; Rosi, M. Combined crossed-beam and theoretical studies of the N(2D)+C2H6 reaction. In preparation.
- Israel, G; Szopa, C; Raulin, F; Cabane, M; Niemann, HB; Atreya, SK; Bauer, SJ; Brun, JF; Chassefiere, E; Coll, P; Conde, E; Coscia, D; Hauchecorne, A; Millian, P; Nguyen, MJ; Owen, T; Riedler, W; Samuelson, RE; Siguier, JM; Steller, M; Sternberg, R; Vidal-Madjar, C. Complex organic matter in Titan's atmospheric aerosols from in situ pyrolysis and analysis. Nature 2005, 438, 796–799. [Google Scholar]
- Yamada, M; Osamura, Y; Kaiser, RI. A comprehensive investigation on the formation of organo-sulfur molecules in dark clouds via neutral-neutral reactions. Astronom. Astrophys 2002, 395, 1031–1044. [Google Scholar]
- Petrie, S. Formation of interstellar CCS and CCCS: A case for radical/neutral chemistry? Mon. Not. R. Astronom. Soc 1996, 281, 666–672. [Google Scholar]
- Wakelam, V; Ceccarelli, C; Castets, A; Lefloch, B; Loinard, L; Faure, A; Schneider, N; Benayoun, JJ. Sulphur chemistry and molecular shocks: The case of NGC 1333-IRAS 2. Astron. Asrophys 2005, 437, 149–158. [Google Scholar] [Green Version]
- Wakelam, V; Caselli, R; Ceccarelli, C; Herbst, E; Castets, A. Resetting chemical clocks of hot cores based on S-bearing molecules. Astron. Asrophys 2004, 422, 159–169. [Google Scholar] [Green Version]
- Wakelam, V; Castets, A; Ceccarelli, C; Lefloch, B; Caux, E; Pagani, L. Sulphur-bearing species in the star forming region L1689N. Astron. Asrophys 2004, 413, 609–622. [Google Scholar]
- Dello Russo, N; DiSanti, MA; Mumma, MJ; Magee-Sauer, K; Rettig, TW. Carbonyl sulfide in comets C/1996 B2 (Hyakutake) and C/1995 O1 (Hale-Bopp): Evidence for an extended source in Hale-Bopp. Icarus 1998, 135, 377–388. [Google Scholar]
- Noll, KS; McGrath, MA; Trafton, LM; Atreya, SK; Caldwell, JJ; Weaver, HA; Yelle, RV; Barnet, C; Edgington, S. HST spectroscopic observations of Jupiter after the collision of comet Shoemaker-Levy 9. Science 1995, 267, 1307–1313. [Google Scholar]
- Atreya, SK; Edginton, SG; Trafton, LM; Caldwell, JJ; Noll, KS; Weaver, HA. Abundances of ammonia and carbon-disulfide in the jovian stratosphere following the impact of comet Shoemaker-Levy 9. Geophys. Res. Lett 1995, 22, 1625–1628. [Google Scholar]
- Kaiser, RI; Ochsenfeld, C; Head-Gordon, M; Lee, YT. The formation of HCS and HCSH molecules and their role in the collision of comet Shoemaker-Levy 9 with Jupiter. Science 1998, 279, 1181. [Google Scholar]
- Kaiser, RI; Yamada, M; Osamura, Y. A crossed beam and ab initio investigation of the reaction of hydrogen sulfide, H2S(X1A1), with dicarbon molecules, C2(X1Σ+g). J. Phys. Chem. A 2002, 106, 4825. [Google Scholar]
- Woon, DE. Quantum chemical evaluation of the astrochemical significance of reactions between S atom and acetylene or ethylene. J. Phys. Chem. A 2007, 111, 11249–11253. [Google Scholar]
- Kim, MH; Li, W; Lee, SK; Suits, AG. Probing of the hot-band excitations in the photodissociation of OCS at 288 nm by DC slice imaging. Can. J. Chem 2004, 82, 880–884. [Google Scholar]
- Black, G; Jusinski, LE. Branching ratio for S(33PJ) AND S(31D2) atom production in the photodissociation of CS2 at 193 nm. Chem. Phys. Lett 1986, 124, 90–92. [Google Scholar]
- Cook, PA; Langford, SR; Dixon, RN; Ashfold, MNR. An experimental and ab initio reinvestigation of the Lyman-α photodissociation of H2S and D2S. J. Chem. Phys 2001, 114, 1672–1684. [Google Scholar]
- Janssen, LMC; van der Loo, MPJ; Groenenboom, GC; Wu, S-M; Radenović, DC; van Roij, AJA; Garcia, IA; Parker, DH. Photodissociation of vibrationally excited SH and SD radicals at 288 and 291 nm: The S(1D2) channel. J. Chem. Phys 2007, 126, 094304. [Google Scholar]
- Vasyunin, AI; Semenov, D; Wakelam, V; Herbst, E; Sobolev, AM. Chemistry in protoplanetary disks: A sensitivity analysis. Astrophys. J 2008, 672, 629–641. [Google Scholar]
- Wakelam, V; Loison, JC; Herbst, E; Talbi, D; Quan, D; Caralp, F. A sensitivity study if the neutral-neutral reactions C + C3 and C + C5 in cold dense interstellar clouds. Astron. Asrophys 2009, 495, 513–521. [Google Scholar]
- Carrasco, N; Alcaraz, C; Dutuit, O; Plessis, S; Thissen, R; Vuitton, V; Yelle, R; Pernot, P. Sensitivity of a Titan ionospheric model to the ion-molecule reaction parameters. Planet. Space Sci 2008, 56, 1644–1657. [Google Scholar]
- Dobrijevic, M; Carrasco, N; Hebrard, E; Pernot, P. Epistemic bimodality and kinetic hypersensitivity in photochemical models of Titan's atmosphere. Planet. Space Sci 2008, 56, 1630–1643. [Google Scholar]






| Gas-phase molecules | Potential precursor of | Examples |
|---|---|---|
| with C-N bonds | Aminoacids and Nucleobases | HCN, CH3CN, C2N2, HCCCN, CH2NH, C2H3CN |
| with C-O bonds | Sugars and Aminoacids | H2CO, CH3COH, (CH2OH)2 |
| with C-C multiple bonds | Long carbon chain molecules and PAHs | From C2H2 up to polyynes |
| + other molecules such as H2O, NH3, H2S, NH2CN, HCOCN, NH2CH2CN, HCONH2, CH3CONH2, CH2OHCHO, CH3SH etc. | ||
© 2009 by the authors; licensee Molecular Diversity Preservation International, Basel, Switzerland. This article is an open-access article distributed under the terms and conditions of the Creative Commons Attribution license (http://creativecommons.org/licenses/by/3.0/).
Share and Cite
Balucani, N. Elementary Reactions and Their Role in Gas-Phase Prebiotic Chemistry. Int. J. Mol. Sci. 2009, 10, 2304-2335. https://doi.org/10.3390/ijms10052304
Balucani N. Elementary Reactions and Their Role in Gas-Phase Prebiotic Chemistry. International Journal of Molecular Sciences. 2009; 10(5):2304-2335. https://doi.org/10.3390/ijms10052304
Chicago/Turabian StyleBalucani, Nadia. 2009. "Elementary Reactions and Their Role in Gas-Phase Prebiotic Chemistry" International Journal of Molecular Sciences 10, no. 5: 2304-2335. https://doi.org/10.3390/ijms10052304
APA StyleBalucani, N. (2009). Elementary Reactions and Their Role in Gas-Phase Prebiotic Chemistry. International Journal of Molecular Sciences, 10(5), 2304-2335. https://doi.org/10.3390/ijms10052304
