Next Article in Journal
Synthesis of Plasmepsin II Inhibitors – Potential Antimalarial Agents
Previous Article in Journal
Synthesis and Reactivity of New 1-Pentafluorophenyl-1Hpyrrole Derivatives
 
 
Font Type:
Arial Georgia Verdana
Font Size:
Aa Aa Aa
Line Spacing:
Column Width:
Background:
Article

Microwave Assisted Synthesis, Part 1: Rapid Solventless Synthesis of 3-Substituted Coumarins and Benzocoumarins by Microwave Irradiation of the Corresponding Enaminones

by
Khadijah M. Al-Zaydi
Department of Chemistry, Girl’s College of Education, Jeddah, P.O.50918 Jeddah 21533, Kingdom of Saudi Arabia
Molecules 2003, 8(7), 541-555; https://doi.org/10.3390/80700541
Submission received: 18 March 2003 / Revised: 15 June 2003 / Accepted: 20 June 2003 / Published: 15 July 2003

Abstract

:
The reactivity of enaminones toward a variety of reagents under microwave irradiation is reported. The results are compared with traditional solution methods.

Introduction

The utility of microwaves in heterocyclic synthesis is now receiving considerable attention [1,2,3,4] and, although enaminones has been recently extensively utilized as precursors for the synthesis of heteroaromatics, the solventless reaction of enaminones with nucleophilic reagents under microwave irradiation has not, to our knowledge, been previously investigated. As a part of a recent project, aiming to explore potential utility of microwaves as an energy source for heterocyclic synthesis, I report here on synthesis of 3-heteroarylsubstituted coumarins and benzocoumarins of potential interest as pharmaceuticals and/or photochromic dyes [5,6,7] and investigate the possibility of conducting these reactions under microwave irradiation in addition to the standard thermal conditions.
Enaminones 1 and 2 were smoothly obtained by reacting compounds 3 and 4 with dimethylformamide dimethylacetal (DMFDMA) in a domestic microwave for a very short time, the yield being much higher than that obtained by conventional heating with a solvent. Compound 1 has been recently synthesized by Elnagdi et al., [8] by refluxing 3-acetylcoumarin with DMFDMA in xylene solution. However, under such conditions the yield of the enaminone was much lower than that obtained by the solventless procedure. Although the enaminones obtained may exist also in cis-form only the trans-forms 1 and 2 were obtained, as revealed by 1H-NMR, which showed olefinic protons at δ = 6.53 ppm and δ = 8.17 ppm with J = 14Hz.
Although enaminone 1 has been reported earlier in literature [8] to yield pyridine derivative 5 on reflux in acetic acid in presence of ammonium acetate, treatment of 1 with acetic acid and ammonium acetate in a domestic microwave oven at full power has afforded a product of molecular formula C22H13NO4, for which structure 7 is suggested. It is assumed that an initially formed 2,4-dicoumarinoyl pyrrole 6 undergoes a Nenitzescu like cyclization [9] and decarbonylation thus yielding 7 (Scheme 1).
Scheme 1.
Scheme 1.
Molecules 08 00541 g001
Similar to the behavior of 1, compound 2 yielded pyridine derivative 8 on reflux in acetic acid in presence of ammonium acetate, while treatment of 2 with acetic acid and ammonium acetate in a domestic microwave oven at full power has afforded compound 10 (Scheme 2).
Scheme 2.
Scheme 2.
Molecules 08 00541 g002
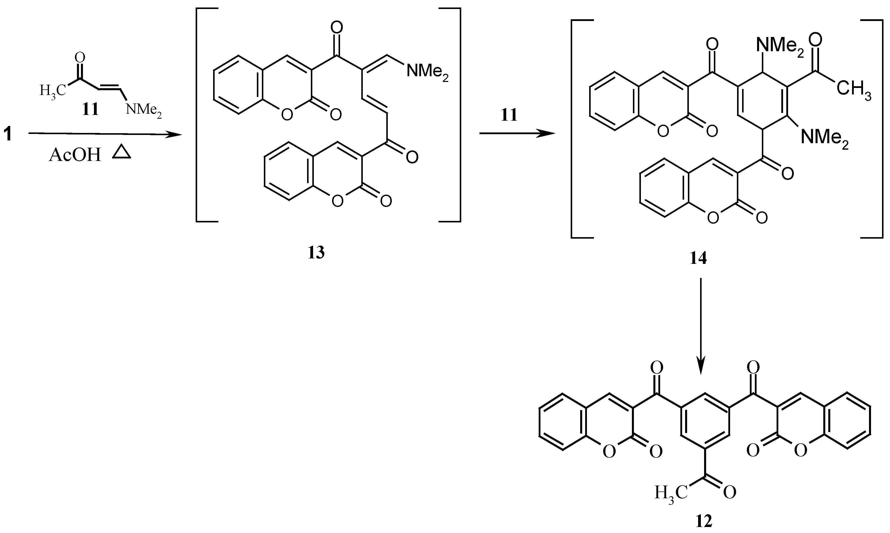
Thermal treatment of 1 with the enaminone 11 in acetic acid (Scheme 3) gave 12, which may be a product of a thermal 2+2+2 cycloaddition or a product of initial dimerization of 1 into 13 that reacts with the enaminone 11 to yield 14, that then aromatises to give the final isolated product 12 [10].
Scheme 3.
Scheme 3.
Molecules 08 00541 g003
Under the same reaction conditions, compound 2 afforded a mixture of 15 and 16 (Scheme 4)
Scheme 4.
Scheme 4.
Molecules 08 00541 g004
The reaction of 1 with 11 in a microwave oven had afforded a mixture of 17 and 5 (Scheme 5). Product 5 has been obtained earlier by Elnagid et al. via dimerization of 1 in presence of ammonium acetate [8].
Scheme 5.
Scheme 5.
Molecules 08 00541 g005
Compound 1 reacts readily with nitrogen nucleophiles in a microwave oven yielding products of addition, dimethylamine elimination and, in some cases, further cyclization affording a variety of 3-substituted heteroaromatic coumarin derivatives. For example, with 3(5)1,2,4-aminotriazole, the coumarinyl triazolopyrimidine derivative 18 has been obtained. The reaction of ethyl 2-aminotetrahydrobenzo[b]thiophene-3-caroboxylate with 1 afforded 19, which was found to exist totally in cis form, as revealed by the 1H-NMR spectrum which displayed olefinic protons at δ 5.69 and δ 6.61 ppm with J = 9Hz, typical for cis protons. It is likely that hydrogen bonding makes the cis form more stable than the trans one. Reaction of 1 with hydrazine hydrate afforded the pyrazolyl coumarin 20. The reaction of 1 with guanidine hydrochloride in a microwave oven has afforded coumarinyl pyrimidine 21 in a very high yield (Scheme 6).
Scheme 6.
Scheme 6.
Molecules 08 00541 g006
Scheme 7.
Scheme 7.
Molecules 08 00541 g007
Similar to the behavior of 1, compound 2 reacted with 3(5)1,2,4-aminotriazole to yield the benzocoumarinyl triazolopyrimidine derivative 22, while with hydrazine hydrate and phenylhydrazine the pyrazolyl benzocoumarin derivatives 23 and 24 were formed, respectively (Scheme 7). Compound 2 also reacted with hippuric acid to yield the benzocoumarinyl α-pyrone 26. It is believed that hippuric acid is first cyclized into isoxazolone 25 which then condense with 2 to yield 26, while reaction of 2 with malononitrile afforded 27 (Scheme 8).
Scheme 8.
Scheme 8.
Molecules 08 00541 g008
Structure 27 was assigned for this product based on 1H-NMR data, that revealed two trans olefin doublets at δ= 5.83 and 6.88 ppm with J = 13Hz .
Scheme 9.
Scheme 9.
Molecules 08 00541 g009
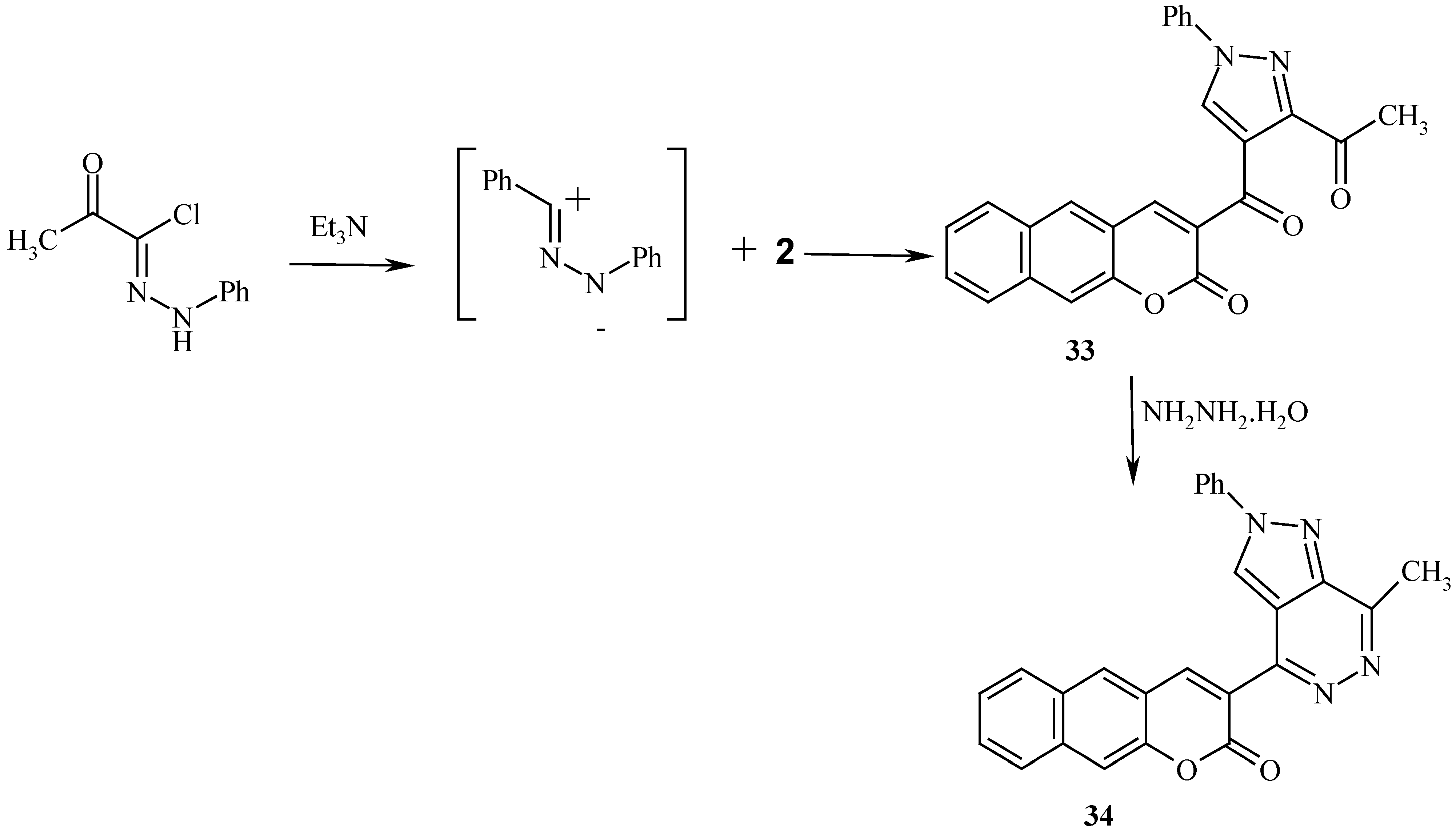
Reaction of 1 with nitrile oxide afforded product that was considered to be the isoxazole derivative 28 rather than potential isomeric product 29, based on the fact that this reaction product readily reacted with hydrazine hydrate to yield the coumarinyl isoxazolopyridazine 30 [11]. Also, reaction of compound 2 with nitrile oxide yielding the isoxazole derivatives 31 (Scheme 10), while reaction with nitrile imine afforded the pyrazole derivative 33 (Scheme 11).
Scheme 10.
Scheme 10.
Molecules 08 00541 g010
Scheme 11.
Scheme 11.
Molecules 08 00541 g011

Experimental

General

All melting points were measured on Gallenkamp electrothermal melting point apparatus and are uncorrected. IR spectra were recorded as KBr disks on a Pye Unicam SP 3-300 Spectrophotometer. 1H-NMR spectra were recorded in deuterated dimethylsulfoxide (DMSO-d6) at 200 MHz on a Varian Gemini NMR spectrometer using tetramethylsilane (TMS) as an internal reference and results are expressed as δ values. Mass spectra were performed on a Shimadzu GCMS-QP 1000 Ex mass spectrometer at 70 eV. Microwave irradiation was carried out using the commercial microwave oven (SGO 390 W). Elemental analyses were carried out at the Microanalytical Center of Cairo University, Egypt.

General Procedures for the Preparation of 1-(3-Coumarinyl)-3-dimethylamino-2-propen-1-one (1) and 1-(3-Benzocoumarinyl)-3-dimethylamino-2-propen-1-one (2) [8]:

Method A: Dimethylformamide dimethylacetal (DMFDMA, 0.1 mol) was added to 3-acetylbenzo-coumarin 3 (0.1 mol) in dioxane (50 mL), and the reaction mixture was refluxed for 6 hours. Removal of the solvent under reduced pressure yielded the crude product which was recrystallized from ethanol.
Method B: Compound 3 or 4 (0.1 mol) and DMFDMA (0.1mol) were placed in the microwave oven and irradiated at full power for 5 min., left to cool to room temperature and the solid formed was collected and recrystallized from ethanol.
Compound 2 was obtained as orange crystals (Method A: 85%; Method B: 95%), mp 157°C; IR: 1730 cm-1 (ring CO); 1H-NMR: δ = 2.95 (s, 3H, NCH3), 3.12 (s, 3H, CH3), 6.11 (d, J=15 Hz, olefinic-H), 7.41-8.21 (m, 7H, arom-H), 8.60 ppm (d, J=15 Hz, olefinic-H); MS: M+ (293); Anal. Calcd. for C18H15NO3 (293.33): C, 73.71; H, 5.15; N, 4.78; Found: C, 73.52; H, 5.24; N, 4.85.

General Procedure for the Preparation of 3,7-Bis-(2-hydroxyphenyl)-4H-dicyclopenta[b,d]pyrrole-1,5-dione (7) and 3,7-Bis-(3-hydroxynaphthalen-4-yl)-4H-dicyclopenta[b,d]pyrrole-1,5-dione (10).

Compound 1 or 2 (0.01mol), ammonium acetate (0.01mol) and a few drops of glacial acetic acid were placed in the microwave oven and irradiated at full power for 3-10 min., left to cool to room temperature, and the solid product was then collected and crystallized from ethanol.
Compound 7 was obtained as dark yellow crystals (85%), mp 245°C; IR cm-1: 3300 (OH), 3280 (NH); 1H-NMR: δ = 6.81 (s, 2H, H-2 and H-6), 6.85-7.97 (m, 8H, arom-H), 8.97 (s, 1H, OH), 9.14 ppm (s, 1H, NH); MS: M+ (355); Anal. Calcd. for C22H13NO4 (355.35): C, 74.36; H, 3.69; N, 3.94; Found: C, 74.52; H, 3.64; N, 3.95.
Compound 10 was obtained as buff crystals (96%), mp 200°C; IR cm-1: 3320 (NH), 3290 (OH); 1H-NMR: δ = 6.82 (s, 2H, H-2 and H-6), 7.40-8.10 (m, 12H, arom-H ), 8.97 (s, 1H, OH), 10.16 ppm (s,1H, NH); MS: M+ (455); Anal. Calcd. for C30H17NO4 (455.47): C, 79.11; H, 3.76; N, 3.08; Found: C, 79.22; H, 3.75; N, 3.10.

Procedure for the Preparation of 2-(Benzocoumarin-3/-yl)-5-(3-benzocoumarinoyl)pyirdine (8).

Compound 2 (0.01mol) and ammonium acetate (0.01mol) were refluxed in glacial acetic acid (30 mL) for 2 hr, then left to cool to room temperature. The solvent was then removed under vacuum and the residue cooled to deposit a solid, which was recrystallized from ethanol to give 8 as buff crystals (64%), mp 220°C; IR cm-1: 1725 (ring C=O), 1681 (C=O); 1H-NMR: δ = 7.31-7.79 (m, 12H, arom-H), 6.97-8.03 (d, 1H, pyridineH-3), 8.52 (s, 1H, pyridine H-6), 9.26 (d, 1H, pyridine H-4), 9.35, 9.61 ppm (2s, 2H, benzocoumarinyl H-4); MS: M+ (495); Anal. Calcd. for C32H17NO5 (495.50): C, 77.57; H, 3.46; N, 2.8; Found: C, 77.50; H, 3.50; N, 2.86.

General Procedure for the Preparation of 1-Acetyl-3,5-di(3-coumarinoyl)benzene (12), 1-Acetyl-3,5-di(3-benzocoumarinoyl)benzene (15) and (1,3-Diacetyl-5-(3-benzocoumarinoyl)benzene (16):

A mixture of either compound 1 or 2 (0.01 mol) and enaminone 11 (0.01mol) was refluxed in acetic acid for 2h, then left to cool to r.t. The target compounds separated as crystals that were collected by filtration and recrystallized from ethanol.
Compound 12 was obtained as buff crystals (66%), mp 178°C; IR cm-1: 1720 (ring CO), 1689 (acetyl CO), 1660 (aroyl CO); 1H-NMR: δ = 2.78 (s, 3H, CH3), 7.54-7.97 (m, 8H, arom-H), 8.65 (s, 2H, H-4), 8.70 (s, 2H, H-2 and H-6), 9.12 ppm (s, 2H, coumarinyl H-4); MS: M+ (464); Anal. Calcd. for C28H16O7 (464.44): C, 72.41; H, 3.47; Found: C, 72.22; H, 3.55.
Compound 15 was obtained as buff crystals (49%), mp >300°C; IR cm-1: 1700 (ring CO), 1685 (acetyl CO), 1658 (aroyl CO); 1H-NMR: δ = 3.33 (s, 3H, CH3), 7.54-8.31 (m, 12H, arom-H), 8.61 (s, 2H, H-4), 8.74 (s, 2H, H-2 and H-6), 9.22 ppm (s, 2H, benzocoumarinyl H-4); MS: M+ (564); Anal. Calcd. for C36H20O7 (564.56): C, 76.59; H, 3.57; Found: C, 76.60; H, 3.56.
Compound 16 was obtained as buff crystals (45%), mp >300°C; IR cm-1: 1710 (ring CO), 1680 (acetyl CO); 1650 (aroyl CO); 1H-NMR: δ = 2.72, 3.33 (2s, 3H, CH3), 8.67 (s, 2H, H-4 and H-6), 8.72 (s, 1H, H-2), 7.68-8.41 (m, 6H, arom-H), 9.32 ppm (s, 1H, benzocoumarinyl H-4); MS: M+ (384); Anal. Calcd. for C24H16O5 (384.39): C, 74.99; H, 4.20; Found: C, 74.96; H, 4.25.

Preparation of 5-(3-Coumarinoyl)-2-methylpyridine (17) and Compound 5 [8]:

A mixture of compound 1 (0.01 mol), enaminone 11, ammonium acetate (0.01mol) and a few drops of glacial acetic acid were placed in the microwave oven and irradiated at full power for 2 min., then left to cool to room temperature. The solid was collected and crystallized from ethanol.
Compound 17 was obtained as brown crystals (45%), mp 200°C; IR cm-1: 1710 (ring CO), 1670 (aroyl CO); 1H-NMR: δ = 2.55 (s, 3H, CH3), 7.68-8.41 (m, 6H, arom-H and H-3), 8.76 (d, 1H, H-4), 9.32 (s, 1H, H-6), 8.81 ppm (s, 1H, coumarinyl H-4); MS: M+ (265). Anal. Calcd. for C16H11NO3 (265.27): C, 72.45; H, 4.18; N, 5.28; Found: C, 72.55; H, 4.25; N, 5.30.

Reaction of Compounds 1 or 2 with 3(5)1,2,4-Aminotrizole and Aminocyclohexenothiophene: Preparation of 5-(Coumarin-3/-yl)-1,2,4-triazolo[4,3-a]pyrimidine (18), 5-(Benzocoumarin-3/-yl)-[1,2,4]triazolo-[4,3-a] pyrimidine (22) and 2-[3-Oxo-3-(2-oxo-2H-chromen-3-yl)-propenylamino]-4,5,6,7-tetrahydrobenzo[b] thiophene-3-carboxylic acid ethyl ester (19):

Method A: To a solution of 1 or 2 (0.01 mol) either 3-amino-1H-1,2,4-trizole or aminocyclo- hexenothiophene (0.01 mol) in acetic acid/ethanol (1:1, 30 mL) were added. The reaction mixture was heated under reflux for 2hr, then left to cool. The solid was collected and recrystallized from ethanol.
Method B: Compound 1 or 2 (0.01mol) and 3-amino-1H-1,2,4-trizole or aminocyclohexenothiophene (0.01 mol) and a few drops of glacial acetic acid were placed in the microwave oven and irradiated at full power for 5 min., then left to cool to room temperature and the solid was collected and recrystallized from ethanol.
Compound 18 was obtained as pale brown crystals (65%), mp 252°C; IR cm-1: 1730 (ring CO), 1660 (C=N); 1H-NMR: δ = 7.38-7.73 (m, 4H, arom-H), 7.8 (d, 1H, pyrimidine H-6), 8.50 (s, 1H, coumarinyl H-4), 8.9 (s, 1H, triazole H-3), 9.21ppm (d, 1H, pyrimidine H-5); MS: M+ (264). Anal. Calcd. for C14H8N4O2 (264.24): C, 63.64; H, 3.05; N, 21.20; Found : C, 63.74; H, 3.10; N, 21.26.
Compound 22 was obtained as yellow crystals (74%), mp 273 °C, microwave (90%). IR cm-1: 1730 (ring CO), 1660 (C=N); 1H-NMR: δ = 7.54-8.03 (m, 6H, arom-H), 8.07 (d, 1H, pyrimidine H-6), 8.50 (s, 1H, benzocoumarinyl H-4), 8.83 (s, 1H, triazole H-3), 9.23 ppm (d, 1H, pyrimidine H-5); MS: M+ (314); Anal. Calcd. for C18H10N4O2 (314.30): C, 68.79; H, 3.21; N, 17.83; Found: C, 68.74; H, 3.10; N, 17.76.
Compound 19 was obtained as light red crystals (45%) mp 202°C; microwave (69%) mp 202°C; IR cm-1: 3200 (NH), 1730 (ester CO), 1680 (ketone CO) 1648 cm-1 (ring CO); 1H-NMR: δ = 1.39 (t, 3H, CH3), 1.67-2.52 (m, 8H, cyclohexane-H), 4.32 (q, 3H, CH2), 5.69, 6.61 (d, J=9Hz, 2H, olefin), 7.25-8.22 (m, 6H, arom-H), 8.78 (s, 1H, coumarin H-4), 13.29 (s,1H, NH); MS: M+ (423); Anal. Calcd. for C23H21NO5S (423.49): C, 65.23; H, 5.00; N, 3.31; Found: C, 65.25; H, 4.80; N, 3.46.

Reaction of Compounds 1, 2 with Hydrazines: 3-(Coumarin-3/-yl)-pyrazole (20), 3-(Benzocumarin-3/-yl)-pyrazole (23) and 3-(Benzocumarin-3/-yl)-1-phenylpyrazole (24):

Method A: To a solution of 2 (0.01 mol) in ethanol (30 mL), either hydrazine hydrate or phenylhydrazine (0.01 mol) were added. The reaction mixture was heated under reflux for 4hr., then left to cool. The solid was collected and recrystallized from ethanol.
Method B: Compound 1 or 2 (0.01mol) and hydrazine hydrate or phenylhydrazine (0.01 mol) was placed in the microwave oven and irradiated at full power for 5-10 min., left to cool to room temperature and the solid was collected and recrystallized from ethanol.
Compound 20 was obtained as light brown crystals (60%), mp 235°C; IR cm-1: 3200 (NH), 1732 (CO), 1640 (C=N); 1H-NMR: δ = 6.60 (d, 1H, pyrazole H-4), 7.25-7.82 (m, 4H, arom-H), 8.58 (m, 1H, pyrazole H-5), 9.09 (s, 1H, coumarin H-4), 11.27 ppm (s, 1H, NH); MS: M+ (212); Anal. Calcd. for C12H8N2O2 (212.21): C, 67.92; H, 3.80; N, 13.20; Found: C, 67.82; H, 3.60; N, 13.13.
Compound 25 was obtained as yellow crystals (65%), mp 256°C, microwave (69%), mp 254°C; IR cm-1: 3200 (NH), 1730 (CO), 1630 (C=N); 1H-NMR: δ = 7.06 (d, 1H, pyrazole H-4), 7.25-8.22 (m, 6H, arom-H), 8.58 (m, 1H, pyrazole H-5), 9.29 (s, 1H, benzocoumarin H-4), 13.27 ppm (s, 1H, NH); MS: M+ (262); Anal. Calcd. for C16H10N2O2 (262.27): C, 73.27; H, 3.84; N, 10.68; Found: C, 73.25; H, 3.80; N, 10.66.
Compound 24 was obtained as dark yellow crystals (59%), mp 230°C, microwave (61%), mp 231°C; 1H-NMR: δ = 7.21 (d, 1H, pyrazole H-4), 7.35-8.32 (m, 11H, arom-H), 8.59 (m, 1H, pyrazole H-5), 9.29 ppm (s, 1H, benzocoumarin H-4); MS: M+ (338); Anal. Calcd. for C22H14N2O2 (338.37): C, 78.09; H, 4.17; N, 8.28; Found: C, 78.12; H, 4.18; N, 8.30.

Reaction of Compound 1 with Guanidine Hydrochloride: General Procedure for the Preparation of 2-Amino- 4-(coumarin-3\-yl) pyrimidine (21):

Method A: To a solution of 1 (0.01 mol) in dry pyridine (20 mL) and (0.01 mol) of guanidine hydrochloride were refluxed for 3 hr, the solvent was reduced under vacuum to half its volume and the solid was collected and recrystallized from ethanol.
Method B: Compound 1 (0.01mol) and guanidine hydrochloride (0.01 mol) was placed in the microwave oven and irradiated at full power for 25 min., then left to cool to room temperature and the solid was collected and recrystallized from ethanol.
Compound 21 was obtained as dark yellow crystals (45%), mp 194°C, microwave (60%), mp 194°C; IR cm-1: 3200 (NH2), 1703 (ring CO); 1H-NMR: δ = 7.48-7.90 (m, 4 H, arom-H), 7.26-8.03 (m, 6 H, arom-H), 8.23 (s, 1H, coumarin H-4), 8.40 (s, 1 H, NH2), 8.81 (d, 1H, pyrimidine H-6), 9.02 (d, 1H, pyrimidine H-5); MS: M+ (239); Anal. Calcd. for C13H9N3O2(239.24): C, 65.27; H, 3.79; N, 17.56; Found : C, 65.25; H, 3.80; N, 17.46.

3-Benzamido-6-(benzocoumarin-3/-yl) pyran-2-one (26):

Method A: Compound 2 (0.1mol) and hippuric acid (0.1mol) were refluxed in acetic anhydride (20 mL) for 1h, then left to cool at room temperature and poured into ice-cold water. The solid product thus formed was collected by filtration and recrystallized from ethanol.
Method B: Compound 2 (0.01mol), hippuric acid (0.01mol) and a few drops of acetic anhydride were placed in the microwave oven and irradiated at full power for 5 min., then left to cool to room temperature and the solid was collected and recrystallized from ethanol.
Compound 26 was obtained as red crystals (60%), mp 254 °C, and microwave (90%) IR cm-1: 3309 (NH), 1690 (ring C=O), 1685 (ring C=O), 1660 (amide C=O); 1H-NMR: δ = 7.38-8.09 (m, 11 H, arom-H), 8.21(s, 1H, pyran H-5). 8.62 (s, 1H, pyran H-4), 8.83 (s, 1H, benzocoumarin H-4) and 9.93 ppm (s, 1H, NH); MS: M+ (409); Anal. Calcd. for C25H15NO5 (409.40): C, 73.35; H, 3.69; N, 3.42; Found: C, 73.44; H, 3.72; N, 3.51.

3-(Benzocoumarin-3’-yl)-2-cyano-5-dimethylamino-2,4-pentadienoic amide (27):

Method A: To compound 2 (0.1 mol) and malononitrile (0.12 mol) in ethanol (30 mL), a few drops of piperidine were added .The reaction mixture was refluxed for 2h, then left to cool at room temperature and treatment with ethanol. The solid product, so formed, was collected by filtration and recrystallized from ethanol.
Method B: Compound 2 (0.1 mol) and malononitrile (0.12 mol) and a few drops of piperidine were added was placed in the microwave oven and irradiated at full power for 1 min., then left to cool to room temperature and the solid was collected and recrystallized from ethanol.
Compound 27 was obtained as dark red crystals (45%), mp 250 °C, and microwave (60%); IR cm-1: 3370, (NH2), 1670 (ring C=O), 1660 (C=O); 1H-NMR: δ = 3.67, 3.69(2s, 6H, N(CH3)2), 5.83, 6.88 (d,1H,olefinic H), 7.18-8.03 (m, 6H, arom-H), 8.05 (s, 1H, benzocoumarin H-4) and 11.82 ppm (s, 1H, NH); MS: M+ (359); Anal. Calcd. for C21H17N3O3(359.39): C,70.18; H,4.77; N,11.69; Found : C, 70.24; H, 4.72; N, 11.51.

General Procedures for the Preparation of 6-Benzoyl-3-(coumarin-3/-yl) isoxazole (28), 6-Benzoyl- 3-(benzocoumarin-3/-yl) isoxazole (31) and 3-Acetyl-4-(benzocoumarin-3/-yl) -1-phenylpyrazole (33):

Method A: To a stirred solution of the appropriate hydroximoyl chloride (0.01mol), or hydrazonyl halide (0.01mol) and the appropriate enaminone 1 or 2 (0.01mol) in dry benzene (20 mL), triethylamine (0.2 mL) was added portionwise over a period of 30 min. The mixture was stirred at room temperature for 24-48 h and the precipitated triethylamine hydrochloride was filtered off, the filtrate was evaporated under reduced pressure and the residue was triturated with ethanol. The solid products were collected by filtration, washed with water and dried. Recrystallization from ethanol afforded the corresponding isoxazoles 28, 31 and the pyrazole 33, respectively.
Method B: Compound 1 or 2 (0.01mol) and the appropriate hydroximoyl chlorides (0.01mol), or hydrazonyl halides (0.01mol) and a few drops of triethylamine were placed in the microwave oven and irradiated at full power for 25 min., then left to cool to room temperature and the solid was collected and recrystallized from ethanol.
Compound 28 was obtained as dark yellow crystals (41%), mp 165°C, microwave (54%); 1H-NMR: δ = 7.61-8.31 (m, 9H, arom-H) 8.91 (s, 1H, coumarin H-4) and 9.36 ppm (s, 1H, H-5); MS: M+ (345); Anal. Calcd. for C20H11NO5 (345.31): C, 69.57; H, 3.21; N, 4.06; Found: C, 69.89; H, 3.17; N, 4.12.
Compound 31 was obtained as yellowish green crystals (45%), mp 190°C, microwave (54%); 1H-NMR: δ = 7.61-8.71 (m, 11H, arom-H), 9.42 (s, 1H, benzocoumarin H-4) and 10.03 (s, 1H, H-5); MS: M+ (395); Anal. Calcd. for C24H13NO5 (345.37): C, 72.91; H, 3.31; N, 3.54; Found: C, 72.89; H, 3.32; N, 3.62.
Compound 33 was obtained as dark yellow crystals (43%), mp 228 °C, microwave (55%); 1H-NMR: δ= 2.92 (s, 3H, CH3), 7.58-8.59 (m, 11H, arom-H) 9.17 (s, 1H, benzocoumarin H-4) and 9.27 ppm (s, 1H, H-5); MS: M+ (408); Anal. Calcd. for C25H16N2O4 (408.42): C, 73.52; H, 3.95; N,6.86; Found: C, 73.54; H, 4.00; N, 6.91.

Reaction of the Isoxazoles 28, 31 and the Pyrazole 33 with Hydrazine Hydrate: General Procedure for the Preparation of 4-(Coumarin-3/-yl)-7-phenylisoxazolo[3,4-d]pyridazine (30), 4-(Benzocoumarin-3/-yl)-7-phenylisoxazolo[3,4-d]pyridazine (32) and 4-(Benzocoumarin-3/-yl)-7-methyl-2-phenyl-pyrazolo[3,4-d] pyridazine (34):

A mixture of the appropiate isoxazole 28, 31 or the appropiate pyrazole 33 (0.01mol) and hydrazine hydrate (80%, 0.01 mL) in absolute ethanol (20 mL) was heated under reflux for 3-4h. The solvent was evaporated under reduced pressure and the residue was left to cool to room temperature. The solid products were filtered off, washed with ethanol and dried. Recrystallization from dimethylformamide afforded the the isoxazolo[3,4-d]-pyridazines 30, 32 and pyrazolo[3,4-d]pyridazine 34, respectively.
Compound 30 was obtained as dark yellow crystals (71%), mp 245 °C; 1H-NMR: δ = 7.65-8.31 (m, 9H, arom-H), 9.11 (s, 1H, coumarin H-4) and 9.31ppm (s, 1H, H-5); MS: M+ (341); Anal. Calcd. for C20H11N3O3 (341.33): C, 70.38; H, 3.25; N, 12.31; Found: C, 70.40; H, 3.18; N, 12.12 .
Compound 32 was obtained as yellow crystals (74%), mp 189 °C; 1H-NMR: δ= 7.65-8.61 (m, 11H, arom-H), 9.14 (s, 1H, benzocoumarin H-4) and 9.41ppm (s, 1H, H-3); MS: M+ (391); Anal. Calcd. for C24H13N3O3 (391.39): C, 73.65; H, 3.35; N, 10.74; Found: C, 73.70; H, 3.40; N, 10.78.
Compound 34 was obtained as orange crystals (73%), mp 230°C; 1H-NMR: δ = 2.52 (s, 3H, CH3), 7.45-8.49 (m, 11H, arom-H), 9.47(s, 1H, benzocoumarin H-4) and 9.07 ppm (s, 1H, H-3); MS: M+ (408); Anal. Calcd. for C25H16N4O2 (404.13): C, 74.25; H, 3.99; N,13.85; Found: C, 74.34; H, 4.01; N, 13.90.
Table 1. Comparison between microwave and solution reactions 
Table 1. Comparison between microwave and solution reactions 
ProductTime/minYield %m.p °C
Solvent MW #Solvent MW #Solvent MW #
136057596165165
236057395157157
53026555265267
7-5-85-245
8120-64-220-
10-3-96-200
12120-66-178-
15120-49->300-
16120-45->300-
17-2-45-200
1836057065250 [8]252
1912054569202202
2024056060237 [8]235
21180254560194194
2212057490273273
2324056569256254
2424055961230231
266056090254254
2712014560250250
291440104154165165
30180-71-245-
321440104554190190
33180-74-189-
341440104355228228
35180-73-230-
Reflux in a solvent; #with microwave irradiation.

References

  1. Caddick, S. Tetrahedron 1995, 51, 10403.
  2. Loupy, A.; Petit, A.; Hamelin, J.; Texier-Boullet, F.; Jacqnault, P.; Mathe, D. Synthesis 1998, 1213.
  3. Perreux, L.; Loupy, A. Tetrahedron 2001, 57, 9199.
  4. Lidstrom, P.; Tierney, J.; Wathey, B.; Westman, J. Tetrahedron 2001, 57, 9225.
  5. Al-Zaydi, K. M. J. Saudi Chem. Society 2002, 477.
  6. Al-Zaydi, K. M.; Hafez, E. A.; Elnagdi, M. H. J. Chem. Res. 2000. (S) 4, (M) 510.
  7. Al-Naggar, A. A.; Abdel-Khalik, M. M.; Elnagdi, M. H.J. Chem. Res. 1999. (S), 648, (M), 2801.
  8. El-Taweel, F. M. A.; Elnagdi, M. H. J. Het.chem. 200, 38, 981.
  9. Mukhanova, T. I.; Panisheva, E. K.; Lyubchanskaya, V. M.; Alekssseeva, L. M.; Sheinker, Y.N; Granik, V. G. Tetrahedron 1997, 53, 177. [CrossRef]
  10. Abdel-Khalik, M. M.; Elnagdi, M. H. Synth. Commun. 2002, 32(2), 159.
  11. Al-Zaydi, K. M.; Hafez, E. A. A. J. Chem. Res. 1999. (S), 360, (M), 1621.
  • Sample Availability: Available from the author

Share and Cite

MDPI and ACS Style

Al-Zaydi, K.M. Microwave Assisted Synthesis, Part 1: Rapid Solventless Synthesis of 3-Substituted Coumarins and Benzocoumarins by Microwave Irradiation of the Corresponding Enaminones. Molecules 2003, 8, 541-555. https://doi.org/10.3390/80700541

AMA Style

Al-Zaydi KM. Microwave Assisted Synthesis, Part 1: Rapid Solventless Synthesis of 3-Substituted Coumarins and Benzocoumarins by Microwave Irradiation of the Corresponding Enaminones. Molecules. 2003; 8(7):541-555. https://doi.org/10.3390/80700541

Chicago/Turabian Style

Al-Zaydi, Khadijah M. 2003. "Microwave Assisted Synthesis, Part 1: Rapid Solventless Synthesis of 3-Substituted Coumarins and Benzocoumarins by Microwave Irradiation of the Corresponding Enaminones" Molecules 8, no. 7: 541-555. https://doi.org/10.3390/80700541

APA Style

Al-Zaydi, K. M. (2003). Microwave Assisted Synthesis, Part 1: Rapid Solventless Synthesis of 3-Substituted Coumarins and Benzocoumarins by Microwave Irradiation of the Corresponding Enaminones. Molecules, 8(7), 541-555. https://doi.org/10.3390/80700541

Article Metrics

Back to TopTop