Abstract
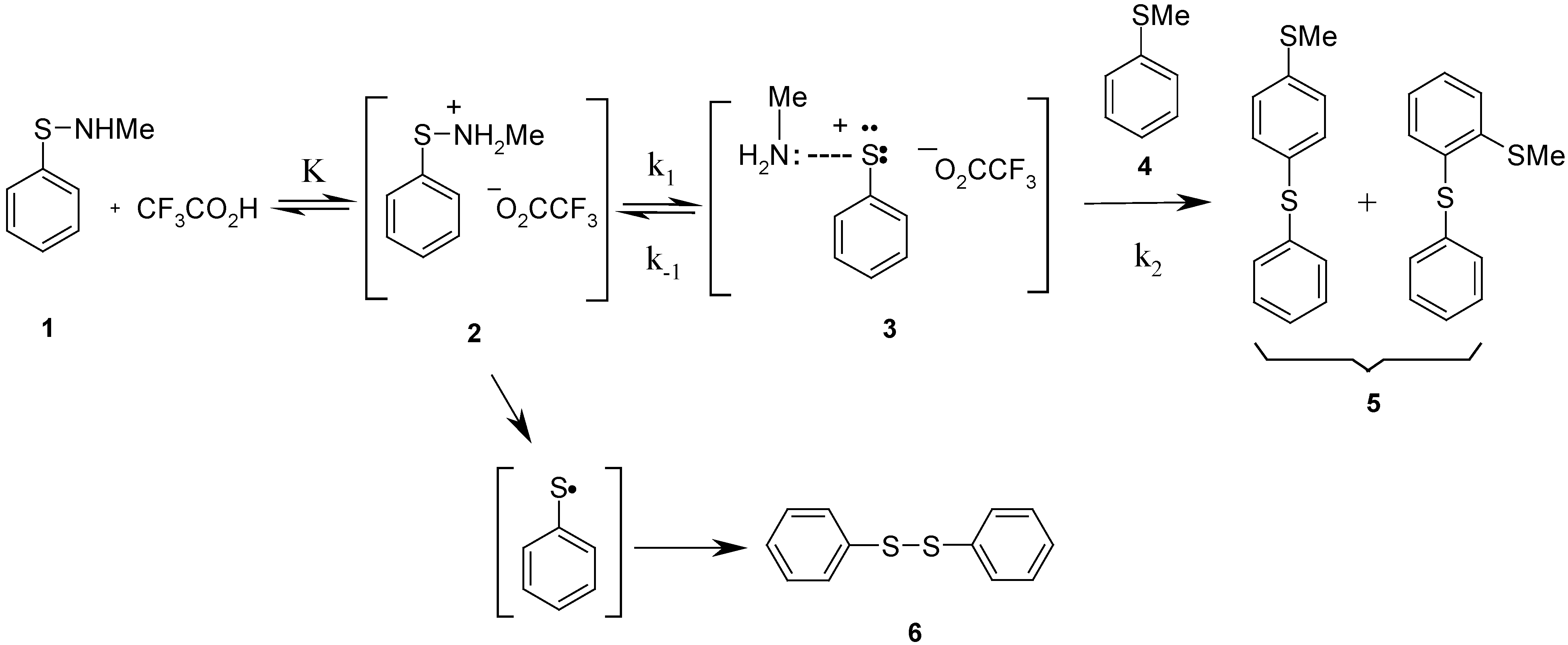
In the reaction of N-methylbenzenesulfenamide (1) with thioanisole (4) in the presence of trifluoroacetic acid (TFA), the initial rate υ0 of total appearance of 2- and 4-(methylthio)phenyl phenyl sulfides (5) is first and zero order with respect to the initial concentrations of 1 and 4, respectively: υ0=kobs[1]0. The pseudo-first order rate constant kobs is evaluated as 5.2×10-4 sec-1 with varying concentrations of 4 (0.72 to 5.0 M) in a mixture of 4 and CH2Cl2 in the presence of TFA at 10 °C. This data supports the notion that a phenylsulfenium ion intermediate 3 interacting with both the counter ion and the unshared electron-pair of amine is generated by heterolytic N-S scission of the protonated sulfenamide 2, leading to the observed formation of 5.
Introduction
Many researchers have made proposals concerning the generation of sulfenium ion intermediates [1]; this intermediate can only be isolated in the case of coordination with two nitrogen atoms [2], yet several studies [3] have failed to find evidence supporting its existence, as it has too short a lifetime to exist as the free ion, being converted to sulfonium [4] or thiiranium ions [5] by reaction with sulfides or alkenes, respectively. Thus, the existence of the sulfenium ion has been the subject of controversy for long time. We have proposed that a sulfenium ion with a very short lifetime can exist by interacting with both a counter ion and the unshared electron pair of an amine (i.e. not as a free ion), considering the effects of the counter ion, the amine, solvent nucleophilicity, etc. on the reactions of N-alkylarenesulfenamides or azides with alkyl aryl sulfides in the presence of trifluoroacetic acid [6].
However, the existence of such an unstable sulfenium ion is still controversial because the product resulting from thiolation of benzene by the sulfenium ion is not detected, the thiolation on toluene rarely occurs [6], and so on. In this paper, we present the first kinetic support for the existence of the ion in the thiolation of a good nucleophilic aromatic compound like thioanisole, and our proposed mechanism [6] for the generation of the sulfenium ion is thus made clear. This work also arouses interest for organic synthesis in view of the observed one-step aromatic thiolation by sulfenium ion.
Results and Discussion
Kinetic study on the reaction of N-methylbenzenesulfenamide (1) with thioanisole (4) in the presence of trifluoroacetic acid (TFA).
The reactions of N-methylbenzenesulfenamide (1) with thioanisole (4) are carried out using both TFA and CH2Cl2 at 10 °C, and give 2- and 4-(methylthio)phenyl phenyl sulfides (5) (the observed para/ortho isomer ratio being ca. 10). The reactions producing 5 are quenched by pouring the reaction mixtures into cold triethylamine (see Experimental section). We have already proposed that mechanistically the reactions of N-alkylbenzenesulfenamides with 4 in the presence of TFA give 2- and 4-(alkylthio)phenyl phenyl sulfides by phenylthiolation of a phenylsulfenium ion intermediate [6]. In order to establish kinetically the generation of the sulfenium ion, the reaction-orders for the appearance of 5 with respect to 1 and 4 are evaluated by using the differential method as shown below. As for the evaluation, the initial rate technique dealing with the initial rates υ0 for appearance of 5 can avoid possible complications due to the products, and leads to the true order with respect to concentration.
Reaction-order with respect to sulfenamide (1).
The initial rate υ0=d[5]/dt at t=0 sec for the formation of 5 can be represented by the equation υ0=k[1]0m[4]0n where [1]0 and [4]0 are the initial concentrations of 1 and 4. Under the reaction conditions, [4]0 is in excess compared with [1]0, so that we may write the equation as υ0∝[1]0m. The initial rates υ0 (see Table 1) at such an excess constant concentration of 4 (i.e. 4.3 M) were evaluated for individual initial concentrations of 1. The details of the determination of υ0 are described in Experimental section. The correlation between the logarithms of υ0 and of [1]0 gives a linear plot with a slope of 1.09 (Figure 1). The result shows that the production of 5 obeys first order kinetics for 1.
Figure 1.
The logarithms of initial rates (υ0=d[5]/dt at t=0 sec) for the production of 2- and 4-(methylthio)phenyl phenyl sulfides 5 are plotted against the logarithms of the initial concentration [1]0 of sulfenamide 1 in its reaction with thioanisole (4) (12.0 mL) in the presence of TFA (8.0 mL) and CH2Cl2 (4.0 mL) at 10 °C
Figure 1.
The logarithms of initial rates (υ0=d[5]/dt at t=0 sec) for the production of 2- and 4-(methylthio)phenyl phenyl sulfides 5 are plotted against the logarithms of the initial concentration [1]0 of sulfenamide 1 in its reaction with thioanisole (4) (12.0 mL) in the presence of TFA (8.0 mL) and CH2Cl2 (4.0 mL) at 10 °C

Reaction-order with respect to thioanisole (4).
Employing the first order kinetics expression (υ0∝[1]0[4]0n) for sulfenamide 1 as described above, the reaction-order n with respect to 4 can be obtained in the similar way, using in this case the equation υ0/[1]0∝[4]0n. The initial concentration of 4 is varied from 0.72 M to 4.97 M at an initial constant-concentration of 1 (0.17 M). The details for determining the initial rates υ0 (see Table 2) at the individual initial concentrations of 4 are also shown in the Experimental section. The plot of log (υ0/[1]0) against log [4]0 leads to the slope -0.001 representing the reaction-order of 4 (Figure 2). Thus, the production of 5 obeys zero order kinetics for 4.
With the variation of 4 from 0.72 M to 4.97 M, the amount of CH2Cl2 was changed from 58%v/v to 8.3%v/v in the presence of a constant quantity (33%v/v) of TFA. As for the effects on the aromatic thiolation of the sulfenium ion, CH2Cl2 is less nucleophilic solvent [6]. The dilution with CH2Cl2 in the reactions of sulfenium ions [6] or nitrenium ions [7] with aromatics scarcely affects the yields when TFA is present in at least 30% v/v. The fact that the almost same kobs is obtained from Figure 1 and Figure 2 using different amounts of CH2Cl2 as described below indicates that the dilution with CH2Cl2 in this reaction system is appropriate.
Figure 2.
The logarithms of υ0/[1]0 are plotted against the logarithms of [4]0 in the reaction of sulfenamide 1 (4.0 mmol) with thioanisole 4 in the presence of both TFA (8.0 mL) and CH2Cl2 at 10 °C: A mixture (16 mL) of 4 and CH2Cl2 is used, and υ0, [1]0 and [4]0 mean the initial rate for the production of 2- and 4-(methylthio)phenyl phenyl sulfides 5, the initial concentration of 1 and the initial concentration of 4, respectively
Figure 2.
The logarithms of υ0/[1]0 are plotted against the logarithms of [4]0 in the reaction of sulfenamide 1 (4.0 mmol) with thioanisole 4 in the presence of both TFA (8.0 mL) and CH2Cl2 at 10 °C: A mixture (16 mL) of 4 and CH2Cl2 is used, and υ0, [1]0 and [4]0 mean the initial rate for the production of 2- and 4-(methylthio)phenyl phenyl sulfides 5, the initial concentration of 1 and the initial concentration of 4, respectively

Evaluation of pseudo-first order rate constant kobs.
Equation 1 can be derived by assuming a steady generation of a phenylsulfenium ion 3 as indicated in Scheme 1; k1, k-1 and k2 are the rate constants indicated in Scheme 1.
d[3]/dt=k1[2]-k-1[3]-k2[3][4]=0
[3]=k1[2]/(k-1+ k2[4])
The concentration of 3 is shown in Equation 2, and the rate for appearance of 5 is shown in Equation 3.
υ=d[5]/dt=k2[3][4]=k1k2[2][4]/(k-1+ k2[4])
υ=k1[2]
When k2[4] is sufficiently large as compared to k-1, then Equation 4 can be obtained. As shown in Scheme 1, the sulfenium ion interacts with both counter ion and the unshared electron-pair of the amine, and thus 1 may undergo a protonation, not by free protons, but rather by a TFA molecule to produce 2 [6].
Scheme 1.
Scheme 1.

Using the equation K=[2]/([1][TFA]) (i.e. [2]=K[TFA][1]) where K is an equilibrium constant in Scheme 1, then Equation 5 can be derived. The pseudo-first order rate constant kobs is given in Equation 6.
υ=k1K[TFA][1]
kobs=k1K[TFA]
The intercept on the log υ0 axis in Figure 1 corresponds to log kobs being ca. -3.2 because we can represent as υ0=kobs[1]0 (i.e. log υ0=logkobs+ log[1]0). As seen in Figure 2, log (υ0/[1]0) becomes constant with varying [4]0 from 0.72 M to 5.0 M. The constant value is –3.28 (as the average) corresponding to log kobs because of υ0/[1]0=kobs. Almost the same kobs was obtained from Figure 1 and Figure 2. By adopting the first and zero orders for 1 and 4, respectively, we may evaluate kobs= 5.2×10-4 sec-1 from the average.
Evidence for the generation of phenylsulfenium ion
From Equation 6, the rate constant k1 for the generation of the sulfenium ion 3 from protonated sulfenamide 2 is equal to kobs/(K[TFA]). Regarding the equation K[TFA]=[2]/[1], K[TFA] is sufficiently larger than 1.0. Thus, k1 must be lower than 5.2×10-4 sec-1. The low rate constant k1 well suggests that the reaction yielding 5 proceeds via a very reactive intermediate such as a phenylsulfenium ion. The above-mentioned assumption that k2[4] is much larger than k-1 becomes true when the highly reactive intermediate 3 is generated.
We considered the possibility that the thiolation giving 5 occurs via not the sulfenium ion 3 but the protonated sulfenamide 2 as the reactive intermediate. If it were true, the value kobs (equal to 5.2×10-4 sec-1) would be identical with k [TFA] by assuming the steady state for 2 in the similar way to that shown above; k means the rate constant of the formation of 2 from 1 and TFA. But, the rate constant k should not be such a low value as kobs/[TFA] because the proton-transfer [8] to amine occurs at the diffusion-controlled rate. Thus, the above possibility can be ruled out. Actually, the formation of 5 by direct reaction of 2 with 4 has been excluded [6].
In a previous paper [6], we have ruled out the possibility that the phenylthiolation giving 5 occurs via a phenylthiyl radical generated by homolytic N-S scission of the protonated sulfenamide 2. Our earlier study [6] also has shown that the reactions of N-alkylarenesulfenamides with 4 are influenced by the counter ion, the amine, the aryl substituent of the sulfenamide and the solvent nucleophilicity. This excludes the possibility of a neutral intermediate such as PhSOCOCF3.
Therefore, the evidence favors the fact that protonated sulfenamide 2 undergoes a spontaneous N-S scission (not induced by 4) to generate the very reactive sulfenium ion 3, leading to the production of 5 (Scheme 1). The sulfenium ion does not exist as a free ion, but can be generated by interacting with not only the counter ion but also the unshared electron-pair of the amine (Scheme 1); the interacting amine is not in the solvent, but formed just by heterolytic S-N scission of the protonated form 2. We have already proposed the similar interaction of nitrenium ions with both the counter ion and unshared electron-pair [9].
From the competition between the phenylthiolation giving 5 and the formation of diphenyl disulfide (6), we have proposed that the protonated sulfenamide 2 undergoes a homolytic S-N scission forming a phenylthiyl radical, producing 6 by its dimerization (Scheme 1) [6]. This type of dimerization is well known [10]. We may consider that the use of the other trapping agents instead of thioanisole 4 provides the different kobs from that in the use of 4 because k1 depends upon k2. In fact, the trapping reaction with anisole or diphenyl sulfide proceeds more rapidly than that with 4, and we could not observe the thiolation product to benzene [11].
Experimental
General
GLC-MS was recorded with a Shimadzu QP-5000 spectrometer linked to a Shimadzu GLC-17A column (15m × 0.25 mm) coated with DC-1 (0.25 μm film thickness) made by J & W Scientific. Dichloromethane was purified by standard methods before use, and trifluoroacetic acid (TFA) was purified by distillation. Thioanisole (4) and triethylamine were reagent grade (Nacalai Tesque), and used without further purification. N-Methylbenzenesulfenamide (1) [12] and 2- and 4-(methylthio)phenyl phenyl sulfides 5 were obtained by the method described in the literature [6].
Kinetic study on generation of phenylsulfenium ion 3
In the reactions of sulfenamide 1 with thioanisole (4), the reaction-mixture showed the GLC peaks corresponding to those of 5 (the ortho: para isomer ratio for 5 was ca. 1:10) and diphenyl disulfide (6). Since the total yield of 5 and 6 is less than 100%, some unidentified products must be formed: For example, the reaction of 1 (4.0 mmol) with 4 (12.0 mL) using TFA (8.0 mL) and CH2Cl2 (4.0 mL) at 10 °C for 24 h produced 5 (45% yield) and 6 (47% yield). In spite of the formation of other products aside from 5, the plot of [5] versus reaction time t provides the initial slope υ0 with satisfactory R2 during 0-750 sec by using the equation [5]= (-α×10-βt2+γt) (see Table 1 and Table 2 below), leading to the good correlation as seen in Figure 1 and Figure 2. This means that the rates of appearance of 5 are not complicated by the presence of the products. At the higher temperature, 5 is formed in higher yields: The reaction of 1 (4.0 mmol) with 4 (3.0 mL) in the presence of TFA (6.0 mL) and CH2Cl2 (1.0 mL) at reflux temperature for 5 h gave 5 (70% yield) and 6 (23% yield). But, in this case, the variation of [5] with time could not be obtained accurately because of the fast reaction at high temperature.
Reaction-order with respect to N-methylbenzenesulfenamide 1.
The reactions of solutions containing varying amounts of 1 (shown below) with 4 (12 mL) were carried out at 10 °C in the presence of both TFA (8.0 mL) and CH2Cl2 (4.0 mL); the reactions were started by addition of 1 dissolved in a small amount of CH2Cl2 to the mixture of 4, TFA and CH2Cl2. The work-up (i.e. the treatment for stopping the reaction) was involved pouring an aliquot (1.0 mL) of the reaction mixture into Et3N (2.0 mL, an excess with respect to the TFA) cooled at −20°C. After the workup, the amount of 5 was determined by GLC analysis using GLC-MS. The reaction-order of 1 for total appearance of 5 is obtained as follows: at the individual initial concentration [1]0 (83, 170, 250 or 330 mM), the concentrations [5] at times 150, 300, 450 and 750 sec were determined (Table 1). The concentration [5] was plotted against reaction time t, and the initial slope corresponding to the initial rate (υ0=d[5]/dt at t=0) for appearance of 5 was evaluated as the γ value by a statistical optimal-method; the optimal values α, β and γ (α or β is a positive integer, and γ is a positive number) as shown in Table 1 are derived by using the equation [5]=(-α×10-βt2+γ t) for the each plot above.
Table 1.
Kinetic data for obtaining the reaction-order of 1 in the reactions of sulfenamide (1) with thioanisole (4) (4.3 M) in the presence of TFA (8.0 mL) and CH2Cl2 (4.0 mL) at 10 °C
| [1]0 /10-3 M | Concentration [5]/10-3 M | υ0 /10-6 Msec-1 | α | β | R2 | ||||
| t=150 sec | t=300 sec | t=450 sec | t=600 sec | t=750 sec | |||||
| 83 | 6.2 | 11 | 15 | 16 | 18 | 44 | 3 | 5 | 0.997 |
| 170 | 13 | 24 | 30 | 37 | 42 | 90 | 5 | 5 | 0.998 |
| 250 | 24 | 31 | 45 | 49 | 56 | 137 | 9 | 5 | 0.981 |
| 330 | 31 | 46 | 67 | 77 | 84 | 199 | 1 | 4 | 0.993 |
Reaction-order with respect to thioanisole (4).
Compound 1 (4.0 mmol) was dissolved at 10 °C in a mixture of 4 (16.0 mL) and CH2Cl2 in the presence of TFA (8.0 mL). The work-up of the reaction mixture and the analysis of the products were conducted as indicated above. At individual initial concentrations [4]0 ranging from 0.72 M to 5.0 M, [5] was plotted against the reaction time (t=150, 300, 450, 600 or 750 sec). The concentration [5] at each time point is shown in Table 2. As described above, the initial rate (υ0=d[5]/dt at t=0) was evaluated as the initial slope (being equal to γ) by employing the equation [5]=(-α×10-βt2+γ t). The values υ0, α, β and R2 are shown in Table 2. R2 values were also satisfactory. A double logarithmic plot of υ0 /[1]0 against [4]0 gives a linear line with the slope -0.001 (Figure 2).
Table 2.
Kinetic data for obtaining the reaction-order of 4 in the reactions of 1 (0.17 M) with thioanisole (4) using a mixture (16.0 mL) of 4 and CH2Cl2 in the presence of TFA (8.0 mL) at 10°C
| [4]0/M | Concentration [5]/10-3 M | υ0 /10-6 Msec-1 | α | β | R2 | ||||
| t=150 sec | t=300 sec | t=450 sec | t=600 sec | t=750 sec | |||||
| 0.72 | 13 | 22 | 29 | 34 | 38 | 90 | 5 | 5 | 0.998 |
| 1.4 | 13 | 22 | 29 | 34 | 37 | 90 | 5 | 5 | 0.999 |
| 2.1 | 14 | 24 | 30 | 37 | 43 | 90 | 4 | 5 | 0.997 |
| 2.8 | 13 | 23 | 30 | 36 | 41 | 89 | 5 | 5 | 0.999 |
| 3.2 | 13 | 23 | 29 | 38 | 41 | 88 | 5 | 5 | 0.998 |
| 3.6 | 13 | 23 | 30 | 39 | 42 | 90 | 5 | 5 | 0.999 |
| 4.3 | 13 | 24 | 30 | 37 | 42 | 90 | 5 | 5 | 0.998 |
| 5.0 | 13 | 23 | 29 | 35 | 39 | 90 | 5 | 5 | 0.999 |
References and Notes
- Kharasch, N.K.; Bues, C.B.; King, W. J. Am. Chem. Soc. 1953, 75, 6030. Benesch, R.E.; Benesch, R. J. Am. Chem. Soc. 1958, 80, 1666. Parker, A.J.; Kharasch, N. Chem. Rev. 1959, 59, 583. Kharasch, N. Organic Sulfur Compounds; Kharasch, N., Ed.; Pergamon: New York, 1961; Vol. 1, Ch. 31; pp. 375–397. [Google Scholar] Kice, J.L. Acc. Chem. Res. 1968, 1, 58. Owsley, D.C.; Helmkamp, G.H. J. Am. Chem. Soc. 1968, 90, 1635. Russ, C.R.; Douglass, I.B. Sulfur in Organic and Inorganic Chemistry; Senning, A., Ed.; Dekker: New York, 1971; Vol. 1, Ch. 8; pp. 239–259. [Google Scholar] Smith, W.A.; Krimer, M.Z.; Vorobieva, E.A. Tetrahedron Lett. 1975, 2451. Capozzi, G.; Lucchino, V.; Modena, G.; Rivetti, F. J. Chem. Soc., Perkin Trans. 2 1975, 361. Saya, H.; Michida, T. Chem. Pharm. Bull. 1983, 31, 4530. Saya, H.; Michida, T. Chem. Pharm. Bull. 1985, 33, 2541. Bewick, A.; Coe, D.E.; Mellor, J.M.; Owton, W. M. J. Chem. Soc., Perkin Trans., 1 1985, 1033. Edstrom, E.D.; Livinghouse, T. J. Am. Chem. Soc. 1986, 108, 1334. Edstrom, E.D.; Livinghouse, T. J. Org. Chem. 1987, 52, 951. Harring, S.R.; Livinghouse, T. Tetrahedron Lett. 1989, 1499. Harring, S.R.; Livinghouse, T. J. Org. Chem. 1997, 62, 6388.
- Kobayashi, K.; Sato, S.; Horn, E.; Furukawa, N. Tetrahedron Lett. 1998, 39, 2593.
- Modena, G.; Scorrano, G. Mechanisms of Reactions of Sulfur Compounds 1968, 3, 115. Ciuffarin, E.; Fava, A. Prog. Phys. Org. Chem. 1968, 6, 81. Mueller, W.H. Angew. Chem., Int. Ed. Engl. 1969, 8, 482. Kice, J.L. Prog. Inorg. Chem. 1972, 17, 147.
- Gybin, A.S.; Smith, V.A.; Bogdnav, V.S.; Krimer, M.Z.; Kalyan, J.B. Tetrahedron Lett. 1980, 383.
- Brownbridge, P. Tetrahedron Lett. 1984, 3759.
- Takeuchi, H.; Oya, H.; Yanase, T.; Itou, K.; Adachi, T.; Sugiura, H.; Hayashi, N. J. Chem. Soc., Perkin Trans. 2 1994, 827.
- Takeuchi, H.; Takano, K. J. Chem. Soc., Perkin Trans. 1 1986, 611. Takeuchi, H.; Taniguchi, T.; Ueda, T. J. Chem. Soc., Perkin Trans. 2 2000, 296.
- Laiddler, E.J. Chemical Kinetics; McGraw-Hill Book Inc.: New York, 1965; pp. 535–536. [Google Scholar]
- Takeuchi, H. J. Chem. Soc., Chem. Commun. 1987, 961. Takeuchi, H. J. Chem. Soc., Chem. Commun. 1988, 1287. Takeuchi, H.; Hayakawa, S.; Tanahashi, T.; Kobayashi, A.; Adachi, T.; Higuchi, D. J. Chem. Soc., Perkin Trans. 2 1991, 847. Takeuchi, H.; Higuchi, D.; Adachi, T. J. Chem. Soc., Perkin Trans. 1 1991, 1525.
- Craine, L.; Raban, M. Chem. Rev. 1989, 689.
- Unpublished data: under similar conditions at 10 °C, the reaction with PhSPh in place of 4 provided the same first and zero orders for 1 and PhSPh, respectively, with kobs=1.1×10-3 sec-1. The reaction with benzene instead of 4 under similar conditions gave diphenyl disulfide (6) selectively in 70-80% yields. This suggests that the phenylthiolation producing 5 competes with the formation of 6. We assume that the sulfenium ion preferentially reacts with the solvent rather than with benzene, thus leading to undetermined products.
- David, F.A.; Friedman, A.J.; Kluger, E.W.; Skibo, E.B.; Fretz, E.R.; Milicia, A.P.; LeMasters, W.C.; Bentley, M.D.; Lacadie, J.A.; Douglass, I.B. J. Org. Chem. 1977, 42, 967.
- Sample Availability: Available from the authors.
© 2003 by MDPI ( http://www.mdpi.org). Reproduction is permitted for noncommercial purposes.