Abstract
The title compound, molecular formula C30H40N10, crystallizes and exhibits a cisoidal conformation around a central p-phenylenediamine ring suggesting that this bis-tripodal ligand is highly flexible and could be accommodated by many and original metal coordinations. All four five-membered pyrazole rings are identical. The molecule presents an inversion centre that coincides with the phenyl ring centre: pyrazole rings are two-by-two equivalent. The electrostatic spatial intramolecular repulsion between N4 and N5 is probably responsible for this general arrangement. These data emphasize the basic character of nitrogens N4 and N5.
Keywords:
Structure; bis-tripod; pyrazole; bis-tridentate; N-ligands; condensation; diamines; flexibility; molecular wires Introduction
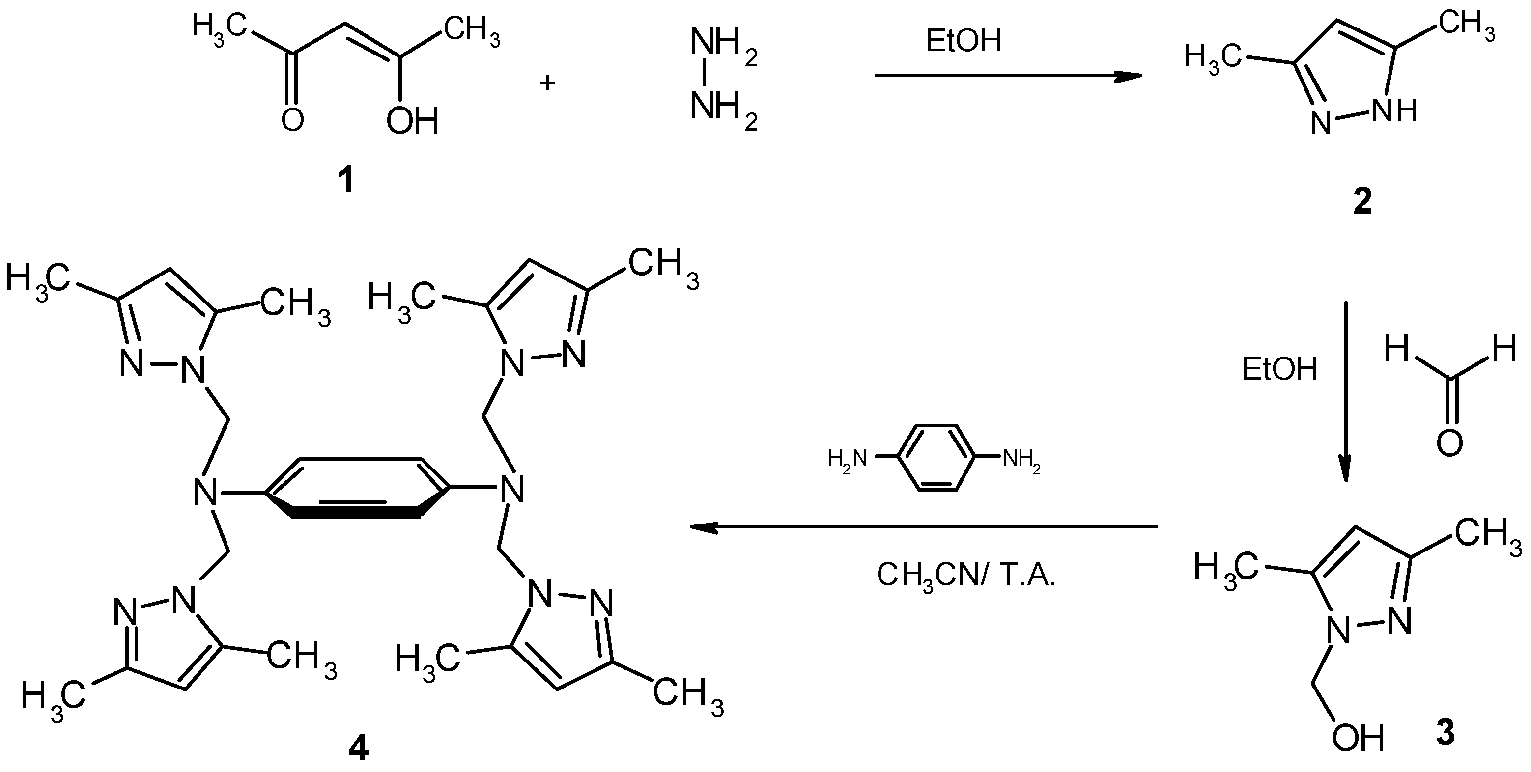
Polydentate pyrazole compounds are known and particularly interesting as promising ligands for the building of polynuclear complexes as models for bioinorganic systems [1] as well as for the discovery of new catalyst precursors [2]. We are currently working on the synthesis and coordination of mono-tripodal nitrogen ligands, such as N,N-bis-[(3,5-dimethyl-1-pyrazolyl) methyl] alkylamines [3] to gain insight into the coordination behaviour of larger ligand systems containing at the same time nitrogens of pyrazolyl groups as potential N-donor atoms, and a delocalised π-conjugated spacer as aryldiamine. This research effort is directed to the preparation of new mixed valence transition metal complexes for catalysis, with a particular interest in electronic communication [4,5]. The X-ray structure of N,N,N’,N’-tetra-[(3,5-dimethyl-1-pyrazolyl)methyl]para-phenylenediamine (4) (Scheme1) was determined to establish its spatial conformation.
Scheme 1.
Scheme 1.

Results and Discussion
Synthesis of bis-tripodal ligand (4).
The title compound 4, which possesses six nitrogen donor sites, was prepared using a modification of the literature method [3,6,7,8,9] (Scheme 2).
Scheme 2.
Scheme 2.

Thus, 4 was easily prepared from the condensation of four equivalents of 1-(hydroxymethyl)-3,5-dimethylpyrazole with one equivalent of p-phenylenediamine under gentle conditions (room temperature, atmospheric pressure, 4-7 days), using anhydrous acetonitrile as solvent. The yield was good (67%) and the compound 4 was crystallized from dichloromethane/ether.
Crystallographic study of bis-tripodal ligand (4).
The X-ray data for a crystal of the title molecule 4 were collected with graphite-monochromatized Mo Kα radiation at 298 K. The crystal structure has been deposited at the Cambridge Crystallographic Data Centre [10]. The structure was solved by direct methods and refined by full-matrix least-squares with anisotropic temperature factor, for the non-hydrogen atoms. The hydrogen atoms were localized on difference Fourier map and adjusted to 0.97 Å to bonded atoms. The molecular structure of the title compound is shown in Scheme 3, together with the atomic labelling scheme.
Scheme 3.
Molecular structure of the title compound with atom labelling. Thermal ellipsoids are drawn at the 50% probability level.
Scheme 3.
Molecular structure of the title compound with atom labelling. Thermal ellipsoids are drawn at the 50% probability level.

It presents a cisoid (A/A') and cisoid (B/B') conformation via central phenyl ring (C). All four five-membered pyrazole rings are identical. The molecule 4 has an inversion centre x which coincides with the phenyl ring centre's (C) (Scheme 3). So the pyrazole rings A and A' are symmetrically related. The same observation is available for the second rings pair (B and B'). The electrostatic spatial intermolecular repulsion between N4 and N5 is probably responsible of this general (A/A'-B/B') disposition. These data led us to note the nitrogen's basic character of N4 and N5. The N1-C1 bond length is 1.441(2) Å. It is slightly greater than those of other similar rings; for example 3-formyl-5-methylpyrazolyl group, with about 1.361(2) Å [11] probably suggesting that 3,5-dimethylpyrozolyl group of compound 4 is more conjugated. The same observation is valid for the N=N bonds; for example, the N2=N4 bond length is 1.368(2) in 4; the same N=N bond length in the 3-formyl-5-methylpyrazolyl group is 1.346(2) Å [11].
Thus the molecule consists of four structurally analogous (3,5-dimethylpyrazol-1-ylmethyl) units, adopting a cisoidal conformation via a central p-phenylenediamine ring, suggesting that this bis-tripodal ligand is highly flexible and could be accommodated to many and original metal coordinations. Table1 summarises the crystal and experimental data.
Table 1.
Crystal and experimental data of bis-tripod 4
| Formula weight = 540.43 |
| Crystal system: monoclinic |
| Space group: P21/a Z = 2 |
| a = 11.262(2) Å a = 90.00 (1) ° |
| b = 12.259(3) Å β = 109.8 (8) ° |
| c = 11.876(5) Å γ = 90.00 (1) ° |
| V = 1517.6(5) Å3 |
| Dx = 1.183 g/cm3 |
| μ (Mo Kα) = 0.8 cm-1 |
| Shape = near prismatic form 0.16, 0.17, 0.20 mm |
| Transmission min = 0.691 |
| Transmission max = 1.036 |
| T = 298K |
| F (000) = 580 |
| Radiation: Mo Kα 0.71073 |
| θmax = 29.98 ° |
| R = 0.045 (on F) |
| Rw = 0.093 (on F2) |
| (?P)max = +0.54 |
| (?P)min = -0.47 |
| No. of reflections measured = 4622 |
| No. of reflections used = 1509 |
| No. of parameters = 182 |
| Goodness-of-fit = 0.551 |
| Measurement- Kappa CCD – Nonius Diffractometer |
| Program system: MaXus |
| Absorption correction : Sortav |
The structure refinement has been carried out with the appropriate by crystallography programs [12,13,14,15,16].
Conclusions
We have explored the easy synthesis of tridentate pyrazolic derivatives ligands to establish the structure of one bis-tripod of this class. We are now examining if this bis-tripodal class could display some biological activity and we are now extending this synthesis to some bis-tripodal transition metal complexes which are suitable organometallic models of molecular wires.
Experimental
General
Melting points were measured on an Electrothermal apparatus and are uncorrected, proton NMR spectra of the compound 4 dissolved in CDCl3, was obtained with an AC 250 MHz Bruker spectrometer. Reagents and solvents were purchased from commercial suppliers.
Preparation of N,N,N’,N’-tetra-[(3,5-dimethyl-1-pyrazolyl) methyl]para-phenylenediamine (4).
Compound 4 was prepared by the addition of p-phenylendiamine (H2N-C6H4-NH2) to the substituted hydroxymethylpyrazole 3 [1] according to the modified procedures [3,7,8,9,10]. To a solution of 3 (2.52 g, 20 mmol) in acetonitrile (40 mL) was added p-phenylenediamine (0.54 g, 5 mmol) and the mixture was stirred at 20 °C for a week. The residue was precipitated by addition of cold water, purified and washed with hexane and then dried under vacuum, to afford 4 as a pure white solid (1.8 g, yield = 67%), which was recrystallized from dichloromethane / ether; M.p. 174-176°C. IR (KBr, υ cm−1): 2980 (CH), 1590 (C=C), 1490 (C=N), 1430, 1320, 1280, 1220, 1170, 1080, 1040, 910, 840, 790; 1H-NMR (250 MHz, CDCl3) δ ppm: 7 (s, 4H, -C6H4-), 5.8 (s, 4H, Pyrazolyl-C4), 5.5 (s, 8H, NCH2N), 2.3 (s, 12H, Pyrazol-CH3), 2 (s, 12H, Pyrazol-CH3). MS [FAB; MeOH/GLY] (Calc. for [M] + C30 H40 N10: 540); Found [M] + (m/z): 540. , m/z = 445 [C5H8N2]+ , m/z= 241 [C14H17N4]+. Elemental Analysis for C30H40N10 Cal. (Found): C 66.66 (65.82); H 7.4 (6.98); N 25.9 (25.24%).
Acknowledgements
The authors are grateful to Prof. B. Garrigues for Mass Spectroscopy analysis. The cost of this research was met by the "Programme Thématique d'Appui à la Recherche Scientifique PROTARS N° P1T2/27" Grant from the Ministry of National Education of Morocco, the "Wylaya d'Oujda", to which the authors' thanks are due.
References
- Sorrell, T.N.; Vankai, V.A.; Garrity, M. L. Inorg. Chem. 1991, 30, 207.
- Togni, A.; Venanzi, L. M. Angew. Chem. Int. Ed. Engl. 1994, 33, 497.
- Touzani, R.; Ramdani, A.; Ben-Hadda, T.; El Kadiri, S.; Maury, O.; Le Bozec, H.; Dixneuf, P. H. Synthetic Comm. 2001, 31, 39–45.
- Launay, J.-P. Chem. Soc. Rev. 2001, 30, 386–397. [CrossRef]
- Sondaz, E.; Jaud, J.; Launay, J.-P.; Bonvoisin, J. Eur. J. Inorg. Chem. 2002, in press.
- Bouabdellah, I.; Ramdani, A.; Zidane, I. (2001). Synthése de Nouveaux Ligands Bicentriques à Base de Tripodes et Quinoxalines. Rapport de DESA, Université Med Premier.
- Sheu, S. C.; Tien, M. J.; Cheng, M. C.; Ho, T. I.; Peng, S. M.; Lin, Y. C. J. Chem. Soc. Dalton Trans 1995, 3503–3510.
- Driessen, W. L.; Graaff, R. A. G.; Parlevliet, F. J.; Reedijk, J.; Vos, R. M. Inorg. Chim. Acta 1994, 216, 43–49.
- Dvoretzky, I.; Richter, G.H. J. Org. Chem. 1950, 15, 1285. [CrossRef]
- CCDC 186572 contains the supplementary crystallographic data for this paper. These data can be obtained free of charge via the URL http://www.ccdc.cam.ac.uk/conts/retrieving.html (or from the CCDC, 12 Union Road, Cambridge CB2 1EZ, UK; fax: (+44) 1223 336033; e-mail: deposit@ccdc.cam.ac.uk).
- Bol, J. E.; Maase, B.; Gonesh, G.; Driessen, W. L.; Goubitz, K.; Reedijk, J. Heterocycles 1997, 45, 1477–1492.
- Mackay, S.; Gilmore, C. J.; Edwards, C.; Stewart, N.; Shankland, K. maXus Computer Program for the Solution and Refinement of Crystal Structures. Bruker Nonius, The Netherlands, Mac-Science, Japan & The University of Glasgow (1999).
- Johnson, C. K. ORTEP-II. In A Fortran Thermal-Ellipsoid Plot Program; Report ORNL-5138; Oak Ridge National Laboratory: Oak Ridge, Tennessee, USA, (1976).
- Otwinowski, Z.; Minor, W. Methods in Enzymology; Carter, C.W., Jr., Sweet, R.M., Eds.; Academic Press: New York, 1997; Volume 276, pp. 307–326. [Google Scholar]
- Altomare, A.; Cascarano, G.; Giacovazzo, C.; Guagliardi, A.; Burla, M. C.; Polidori, G.; Camalli, M. J. Appl. Cryst. 1994, 27, 435–435.
- Waasmaier, D.; Kirfel, A. Acta Cryst. 1995, A51, 416–431.
- Sample Availability: Samples of compound 4 are available from the authors and MDPI.
© 2003 by MDPI ( http://www.mdpi.org). Reproduction is permitted for non commercial purposes.