Next Article in Journal
An Investigation of the Reactions of Substituted Homoallylic Alcohols with Various Oxidation Reagents
Previous Article in Journal
Three-Component Halo Aldol Condensation of Thioacrylates with Aldehydes Mediated by Titanium (IV) Halide
 
 
Font Type:
Arial Georgia Verdana
Font Size:
Aa Aa Aa
Line Spacing:
Column Width:
Background:
Article

Synthesis of Heterocyclic Skeletons by the Reaction of N1-(2-Cyanophenyl)-benzimidoyl Chloride with Thioamides

by
Walid M. Fathalla
and
Pavel Pazdera
*
Department of Organic Chemistry, Faculty of Science, Masaryk University, Brno, Czech Republic
*
Author to whom correspondence should be addressed.
Molecules 2002, 7(1), 96-103; https://doi.org/10.3390/70100096
Submission received: 27 December 2001 / Revised: 24 January 2002 / Accepted: 24 January 2002 / Published: 30 January 2002

Abstract

:
The reaction of N-(2-cyanophenyl)benzimidoyl chloride with reagents containing a thioamide moiety, i.e. thioacetamide, benzylthiourea, symmetrical dialkyl- and diarylthioureas gave different cyclic products: 3,1-benzothiazine, 1,3,5-benzotriazocine and quinazoline. The reaction pathways of prepared compounds are discussed.

Introduction

The thioamide moiety including the thioureido group is a versatile building block in the synthesis of heterocycles. Several research workers have used this group in the synthesis of different heterocyclic compounds such as triazoles, thiadiazoles, quinazolines, benzothiazines, benzodiazocines, benzotriazocines, benzothiadiazocines, etc. The well-known biological activity of benzodiazocines [3] directed us to prepare similar benzannelated eight member heterocycles from the easily available N-(2-cyanophenyl)benzimidoyl chloride (1) to examine their potential action on the central nervous system.

Results and Discussion

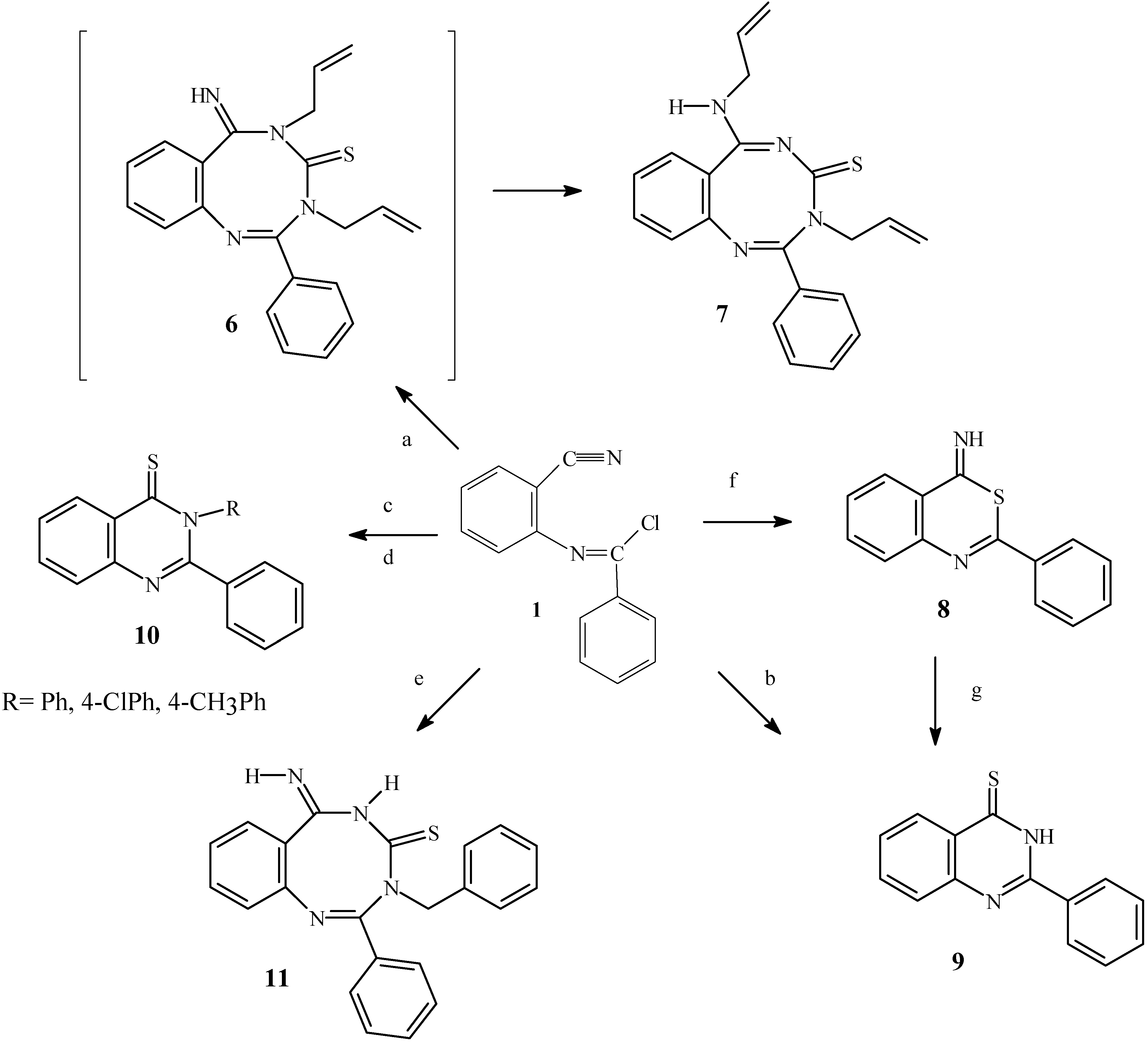
The precursor N-(2-cyanophenyl)benzimidoyl chloride (1) was used to synthesize 3,3-di-R-1-(2-phenyl-3,4-dihydroquinazolin-4-yliden)thioureas (3) and 3-R-1-(2-phenylquinazolin-4-yl)-thioureas (4) [1,2]. Those were formed by the spontaneous intramolecular cycloaddition reaction of the 3-alkyl-1-[(2-cyanophenylimino)phenylmethyl]thioureas 2 (R’= H) via regioselective N1 attack at the cyano group. The blocking of this nitrogen by an alkyl group to form the open chain 1,3-dialkyl-1-[(2-cyanophenylimino)phenylmethyl]thioureas 2 might produce the benzothiadiazocines 5 or benzotriazocines 6 (Scheme 1).
Scheme 1. Possible products of cyclization reactions of intermediary thermodynamically formed thioureas 2.
Scheme 1. Possible products of cyclization reactions of intermediary thermodynamically formed thioureas 2.
Molecules 07 00096 g002
The reaction of 1 with reagents containing multi-nucleophilic active sites, e.g. thioacetamide, benzylthiourea, symmetrical dialkyl- and diarylthioureas were principally expected to give the thioureas 2 as a first step by the favored nitrogen attack at the imidoyl carbon followed by the subsequent attack of the residual nucleophilic substituents to afford either the benzotriazocine 6 or the benzothiadiazocine 5. We found now that the reaction of imidoyl chloride 1 with the above mentioned nucleophiles gave different cyclic products, i.e. 3,1-benzothiazine 8, 1,3,5-benzotriazocines 7, 11, and quinazolines 9, 10, by different reaction pathways (Scheme 2.).
Scheme 2. The studied reactions of N-(2-cyanophenyl)benzimidoyl chloride (1).
Scheme 2. The studied reactions of N-(2-cyanophenyl)benzimidoyl chloride (1).
Molecules 07 00096 g003
Reagents: (a) 1,3-diallylthiourea; (b) 1,3-dialkylthiourea (cyclohexyl, isopropyl, tert-butyl); (c) 1,3- diarylthiourea (phenyl, p-chlorophenyl, p-tolyl); (d) aniline; (e) benzylthiourea; (f) thio-acetamide; (g) no additional reagent(s); Conditions for all reactions: CHCl3, 50°C, 8h.
The reaction of N-(2-cyanophenyl)benzimidoyl chloride (1) with 1,3-diallylthiourea gave evidently 1,3-diallyl-1-[(2-cyanophenylimino)phenylmethyl]thioureas 2 as the intermediates of a regioselective thermodynamically controlled reaction of the NH group at the carbon atom of the imidoyl chloride. This reaction showed good agreement with results published in the literature [4], describing the nucleophilic vinyl substitution of ethyl (E)- and (Z)-3-aryl-3-chloro-2-cyano-propenoates with symmetrical and asymmetrical substituted thioureas which afforded, after spontaneous cyclization, 5-cyano-1,3-dialkyl-2-thiouracil derivatives. In a similar way thioamides react with acylating agents to afford N-acyl derivatives as reported in [5,6]
The in situ formed thioureas 2 contain two nucleophilic active sites (nitrogen and the sulfur atoms) capable of attacking the cyano group. In the next step the thiourea derivative 2 spontaneously cyclizes to give the benzotriazocines 6 via nitrogen attack, which agrees with our results concerning the intramolecular addition reaction of thioureido derivatives containing functionalized carboxy group under neutral and basic conditions take part on the nitrogen atom [1,2]. The resultant benzotriazocine 6 was not our final product but rather it underwent Dimroth rearrangement to finally give the triazocine derivative 7. This is formed due to the reaction conditions, which involve heating at reflux for a long period, however our attempts to isolate the benzotriazocine derivative 6 were not successful.
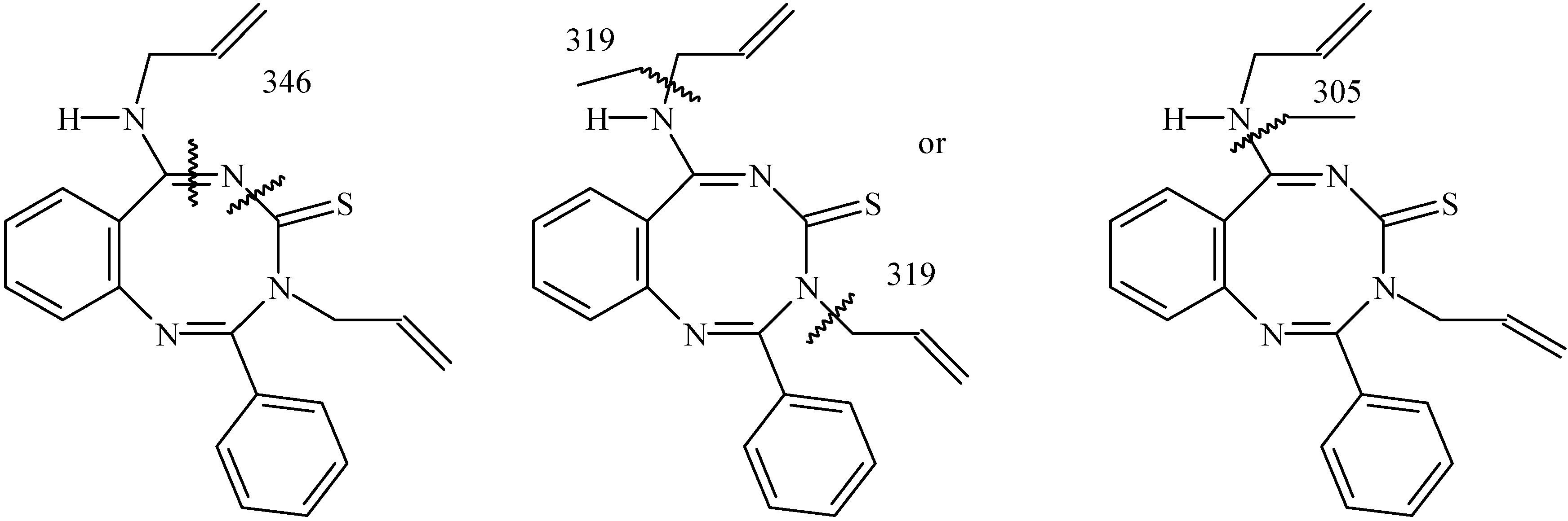
The following evidence helped elucidate the proposed structure 7: several pieces of evidence allowed differentiation between the two-benzotriazocine structures 6 and 7. First the 1H-NMR spectrum of 7 shows a triplet peak at δ = 8.91 ppm corresponding to NHCH2CH. On the other hand peaks corresponding to NHCH2CH and NCH2CH appear as a multiplet at 4.12-4.09 ppm and a doublet at 5.01 ppm, respectively. The 13C-NMR confirms this conclusion and shows two peaks at chemical shifts of 55.03, and 48.85 ppm corresponding to NCH2CH and NHCH2Ph, respectively. The mass spectrum of 7 gave the molecular ion at m/z (Ir/%): 360 (52 %), and the base peak at 319 (Figure 1).
Figure 1. Fragmentations of 7.
Figure 1. Fragmentations of 7.
Molecules 07 00096 g001
The reaction of 1 with 1,3-dialkylsubstituted thioureas (cyclohexyl, isopropyl and tert-butyl, i. e. secondary or tertiary alkyl groups) afforded the quinazoline derivatives 9, which indicate that the reaction follows a different pathway. The reaction is either carried out under neutral conditions for a long time period (48 h) or under basic conditions for 6 h. We can assume that the reaction proceeds by a kinetically controlled addition-elimination reaction by the sulfur atom to form the isothiourea intermediate. The S-nucleophilic attack is preferred to minimize the steric effects compared with the alternative N-attack. The isothiourea subsequently undergoes departure of the dialkylcarbodiimide and benzothiazine derivative 8. The quinazoline 9 is finally formed by the Dimroth rearrangement of the benzothiazine 8 (induced by the extended heating or the action of a basic medium).
The extension of the reaction to involve the symmetrical diarylthiourea derivatives instead of the dialkyl derivatives in the former reaction (1,3-diphenyl-, 1,3-di-p-tolyl- and 1,3-di-p-chlorophenylthioureas) in CHCl3 under various reaction conditions (at 60 °C for 6 h, at room temperature for 6 days or in the presence of triethylamine for 2 h) gave the quinazoline derivatives 10. The reaction pathway could be either the decomposition of diaryl thiourea to aniline and the respective aryl isothiocyanate [7]. The reaction of 1 with anilines to give 10 confirmed both the structure of the quinazoline derivative and this possible reaction pathway.
An alternative reaction pathway is the formation of the open chain thiourea derivative 2 as in diallylthiourea examples, which might decompose to give the aryl isothiocyanate derivative and amidine intermediate that spontaneously cyclizes to give the quinazoline 10.
The reaction of imidoyl chloride 1 with benzylthiourea containing a free amino group is partially similar to that of 1,3-dibenzylthiourea derivative. The reaction proceeded by a regioselective thermodynamically controlled reaction involving the nitrogen atom attack to give the open chain intermediate 2 (R= H, R’=CH2Ph), which undergoes intra molecular cyclization to give the benzotriazocine 11. The structure of 11 was confirmed by the presence of C=S peak at 177.01 ppm as shown in the 13C-NMR spectrum. The 1H-NMR spectrum shows a singlet peak at 4.24 ppm corresponding to NCH2 group. The measured 13C- and 1H-NMR spectra of isolated compounds were correlated with those obtained by simulation and this comparison showed very good agreement with the proposed structures and with the data represented by Kaválek [8,9].
The reaction of 1 with thioacetamide provided the benzothiazine 8. The reaction proceeds by the sulfur atom attack at the imidoyl group to form the ethanimidoyl-N-(2-cyanophenyl)benzenecarbimidothioate via kinetically controlled reaction. This compound allows the elimination of acetonitrile, and finally gives the benzothiazine 8. Compound 8 undergoes Dimroth rearrangement by heating in CHCl3 or in basic medium to afford 9.

Experimental

General

Melting points of all the compounds were measured on a BOETIUS RAPIDO PHMK 79/2106 (Wägetechnik) instrument. TLC was carried out on Silufol UV 254 plates (Kavalier, Votice). Detection was accomplished with a Fluotest universal (Quarzlampen, Hanau) and iodine vapors. Eluent used was a 20: 80 mixture of acetone-benzene. Purity of compounds 7-11 was proven by their elemental analysis on an Erba 1102 instrument. FTIR spectra were taken on a Genesis (Unicam) spectrometer using potassium bromide pellets. NMR spectra were measured on a Bruker Avance DRX-500 spectrometer. 1H-, 13C-NMR spectra were measured in CDCl3 and (CD3)2SO and tetramethylsilane was used as an internal standard. The measured 13C- and 1H-NMR spectra were correlated with those obtained by simulation (Advanced Chemistry Development, Inc., Toronto, Canada). Mass spectrometry was determined (electron impact, 70 eV) on Fisons TRIO 1000 and GC 8000 series instruments.

General procedure for reactions of N-(2-cyanophenyl)benzimidoyl chloride (1)

A mixture of N-(2-cyanophenyl)benzamide [10] (0.5 g, 2.25 mmol), and phosphorous pentachloride (0.5 g, 2.4 mmol) in dry toluene were refluxed for 8 h. The solvent was removed under reduced pressure to give a brownish colored oil of N-(2-cyanophenyl)benzimidoyl chloride (1) [1,2] which was not further purified. To the solution of crude oil in dry chloroform, appropriate equimolar amounts of the thioamide derivatives solution in dry chloroform were added. The reaction mixture was refluxed under inert atmosphere for 8h to give the precipitated solid, which was filtered, and crystallized from the appropriate solvent. The reaction were carried out under varied reaction conditions, either in the presence of triethylamine and reflux for 4 h, reflux in chloroform over night or by stirring of reaction mixture at room temperature for 4 days.
3-Allyl-6-(allylamino)-2-phenyl-3,4-dihydro-1,3,5-benzotriazocin-4-thione (7): 0.18g (38%); M.p. 153-154 oC; For C21H20N4S (360.48) calculated: 69.97% C, 5.59% H, 15.54% N, 8.89% S; found: 69.78% C, 5.34% H, 15.48% N, 8.76% S; FTIR, /cm-1: 3107 (NH), 2903 (CH), 1620 (C=N); 1H-NMR (DMSO) δ/ ppm: 8.91 (1H, t, NHCH2, J= 7.2 Hz), 8.54– 7.58 (9H, m, ArH), 6.14-6.01 (1H, m, NCH2CH), 5.79-5.66 (1H, m, NHCH2CH), 5.23 (1H, d, CH=CH2, J = 9.52 Hz), 5.14 (2H, d, CH=CH2, J= 8.4 Hz), 5.01 (2H, d, NCH2CH, J= 3.9 Hz), 4.93 (1H, d, CH=CH2, J= 8.4 Hz), 4.12-4.09 (2H, m, NHCH2CH); 13C-NMR (DMSO) δ/ ppm: 183.92 (C=S), 162.79 (Cq), 159.03 (Cq), 151.32 (Cq), 136.64 (Cq), 134.36 (CHAr), 133.44 (CHAr), 131.11 (CHAr), 128.73 (CHAr), 128.14 (CHAr), 127.28 (CHAr), 127.43 (CHAr), 124.86 (CHAr), 118.77 (Cq), 117.79 (CH=CH2), 116.57 (CH=CH2), 55.03 (NCH2), 47.85 (NHCH2); Mass spectrum, m/z (Ir/%): 361 (27), 360 (49), 345 (16), 320 (19), 319 (100), 302 (22), 260 (95), 246 (30), 205 (53), 99 (32), 77 (22), 72 (14), 41 (58).
2-Phenyl-4H-3,1-benzothiazin-4-imine (8): 0.25 g (78%); M.p. 216-217 oC; For C14H10N2S (238.31) calculated: 70.56% C, 4.23% H, 11.76% N, 13.45% S; found: 70.35% C, 4.12% H, 11.57% N, 13.37% S; FTIR, /cm-1: 3278.09 (NH), 3046.74 (CH), 1663.12 (C=N); 1H-NMR (DMSO) δ/ ppm: 13.84 (1H, s, NH), 8.62– 7.54 (9H, m, ArH); 13C-NMR (DMSO) δ/ ppm: 151.48 (Cq), 144.25 (Cq), 135.38 (CHAr), 132.08 (Cq), 131.45 (CHAr), 129.24 (CHAr), 128.43 (CHAr), 127.95 (CHAr), 127.55 (Cq); Mass spectrum, m/z (Ir/%): 238 (23), 238 (100), 222 (8), 206 (29), 205 (92), 178 (8), 151 (9), 134 (7), 119 (21), 108 (9), 102 (34), 77 (53), 76 (22), 51 (14).
2-Phenyl-3,4-dihydroquinazolin-4-thione (9): 0.17g (53%); M.p.162-163 oC; For C14H10N2S (238.31) calculated: 70.56% C, 4.23% H, 11.76% N, 13.45% S; found: 70.41% C, 4.08% H, 11.49% N, 13.29% S; FTIR, /cm-1: 3149 (NH), 3078, 3047 (CH), 1663 (C=N); 1H-NMR (CDCl3) δ/ ppm: 10.89 (1H, s, NH), 8.76– 7.52 (9H, m, ArH); 13C-NMR (CDCl3) δ/ ppm: 187.83 (C=S), 162.00 (Cq), 150.15 (Cq), 145.17 (Cq), 135.86 (CHAr), 132.26 (CHAr), 132.22 (Cq), 130.35 (CHAr), 129.61 (CHAr), 128.90 (CHAr), 128.43 (CHAr), 128.14 (Cq), 127.16 (CHAr).
2,3-Diphenyl-3,4-dihydroquinazolin-4-imine (10a): 0.26g (62%); M.p. 214-215 oC; For C20H14N2S (314.41) calculated: 76.40% C, 4.49% H, 8.91% N, 10.20% S; found: 76.32% C, 4.41% H, 8.88% N, 10.06% S; FTIR, /cm-1: 3250 (NH), 3039 (CH), 1634.04 (C=N); 1H-NMR (DMSO) δ/ ppm: 11.73 (1H, s, NH), 9.02– 7.35 (13H, m, ArH); 13C-NMR (DMSO) δ/ ppm: 158.94 (Cq), 157.13 (Cq), 136.88 (Cq), 135.70 (CHAr), 133.13 (CHAr), 129.17 (CHAr), 128.86 (CHAr), 128.58 (CHAr), 127.95 (CHAr), 126.32 (CHAr), 124.62 (CHAr), 124.48 (CHAr), 120.65 (CHAr), 112.66 (Cq); Mass spectrum, m/z (Ir/%): 314 (<1), 298 (29), 297 (62), 296 (100), 205 (19), 192 (6), 149 (18), 102 (11), 93 (7), 83 (14), 77 (42), 76 (6), 51 (5), 36 (26).
3-(4-Methylphenyl)-2-phenyl-3,4-dihydroquinazolin-4-imine (10b): 0.21g (48%); M.p.207-208 oC; For C21H16N2S (328.43) calculated: 76.80% C, 4.91% H, 8.53% N, 9.76% S; found: 76.69% C, 4.85% H, 8.29% N, 9.54% S; FTIR, /cm-1: 3274 (NH), 3069, 2926 (CH), 1634 (C=N); 1H NMR (DMSO) δ/ ppm: 11.52 (1H, s, NH), 8.93– 7.33 (13H, m, ArH), 2.38 (3H, s, CH3); 13C NMR (DMSO) δ/ ppm: 158.77 (Cq), 157.23 (Cq), 135.66 (CHAr), 134.32 (Cq), 133.08 (CHAr), 129.083 (CHAr), 128.92 (CHAr), 127.91 (CHAr), 124.42 (CHAr), 124.22 (CHAr), 122.34 (CHAr), 120.65 (CHAr), 112.67 (Cq).
3-(4-Chlorophenyl)-2-phenyl-3,4-dihydroquinazolin-4-imine (10c): 0.27g (57%); M.p. 183-184 oC; For C20H13ClN2S (348.85) calculated: 68.86% C, 3.76% H, 10.16% Cl, 8.03% N, 9.16% S; found: 68.74% C, 3.63% H, 10.14% Cl, 7.96% N, 9.03% S; FTIR, /cm-1: 3273 (NH), 3065, 2926 (CH), 1633 (C=N); 1H-NMR (DMSO) δ/ ppm: 11.56 (1H, s, NH), 8.91– 7.58 (13H, m, ArH); 13C-NMR (DMSO) δ/ ppm: 158.84 (Cq), 156.95 (Cq), 136.78 (Cq), 135.86 (CHAr), 132.83 (CHAr), 132.03 (CHAr), 129.17 (CHAr), 128.77 (CHAr), 128.59 (CHAr), 126.31 (CHAr), 126.32 (CHAr), 124.58 (CHAr), 124.35 (CHAr), 119.49 (CHAr), 112.36 (Cq).
3-Benzyl-6-imino-2-phenyl-3,4,5,6-tetrahydro-1,3,5-benzotriazocin-4-thione (11): 0.19g (38%);M.p. 170-171 oC; For C22H18N4S (370.47) calculated: 71.33% C, 4.90% H, 15.12% N, 8.65% S; found: 71.25% C, 4.89% H, 15.03% N, 8.57% S; FTIR, /cm-1: 3256 (NH), 3035 ,2978 (CH), 1645 (C=N); 1H-NMR (DMSO) δ/ ppm: 10.6 (1H, s, NH), 7,49– 7.15 (14H, m, ArH), 4.24 (2H, s, NCH2); 13C-NMR (DMSO) δ/ ppm: 177.01 (C=S), 159.24 (Cq), 152.29 (Cq), 151.18 (Cq), 138.19 (Cq), 133.08 (Cq), 128.67 (CHAr), 128.15 (CHAr), 128.04 (CHAr), 127.05 (CHAr), 126.96 (CHAr), 126.65 (CHAr), 43.07 (CH2).

Acknowledgments

This work was supported by the grants of the Ministry of Education of the Czech Republic (Grant No. CEZ: J07/98: 143100011) and the Grant Agency of the Czech Republic (Grant No. 203/01/13331). We would like to thank analytical department of Pliva-Lachema Co., Brno, Czech Republic for elemental analysis.

References

  1. Fathalla, W.; Čajan, M.; Marek, J.; Pazdera, P. Molecules 2001, 6, 574.
  2. Fathalla, W.; Čajan, M.; Marek, J.; Pazdera, P. Molecules 2001, 6, 588.
  3. Grasso, S.; Zappala, M.; Chimirri, A. Heterocycles 1987, 26, 2477.
  4. Jalander, L. F.; Lönnqvist, J-E. Heterocycles 1998, 48, 743.
  5. Fathalla, W.; Čajan, M.; Pazdera, P. Molecules 2001, 6, 557.
  6. Fathalla, W.; Čajan, M.; Pazdera, P. Molecules 2000, 5, 1210.
  7. Zetzsche, F.; Fredrich, A. Chem. Ber. 1940, 73, 1420.
  8. Kaválek, J.; El-Bahaie, S.; Macháček, V.; Štěrba, V. Collect. Czech. Chem. Commun. 1980, 45, 3732.
  9. Kaválek, J.; Macháček, V.; Štěrba, V. Collect. Czech. Chem. Commun. 1983, 48, 1872.
  10. Osamu, K.; Shigeo, Y.; Toshiro, K. Agric. Biol. Chem. 1980, 44, 2143.
  • Sample Availability: Available from the authors.

Share and Cite

MDPI and ACS Style

Fathalla, W.M.; Pazdera, P. Synthesis of Heterocyclic Skeletons by the Reaction of N1-(2-Cyanophenyl)-benzimidoyl Chloride with Thioamides. Molecules 2002, 7, 96-103. https://doi.org/10.3390/70100096

AMA Style

Fathalla WM, Pazdera P. Synthesis of Heterocyclic Skeletons by the Reaction of N1-(2-Cyanophenyl)-benzimidoyl Chloride with Thioamides. Molecules. 2002; 7(1):96-103. https://doi.org/10.3390/70100096

Chicago/Turabian Style

Fathalla, Walid M., and Pavel Pazdera. 2002. "Synthesis of Heterocyclic Skeletons by the Reaction of N1-(2-Cyanophenyl)-benzimidoyl Chloride with Thioamides" Molecules 7, no. 1: 96-103. https://doi.org/10.3390/70100096

APA Style

Fathalla, W. M., & Pazdera, P. (2002). Synthesis of Heterocyclic Skeletons by the Reaction of N1-(2-Cyanophenyl)-benzimidoyl Chloride with Thioamides. Molecules, 7(1), 96-103. https://doi.org/10.3390/70100096

Article Metrics

Back to TopTop