Molecular and Crystal Structures of Three Berberine Derivatives
Abstract
:Introduction
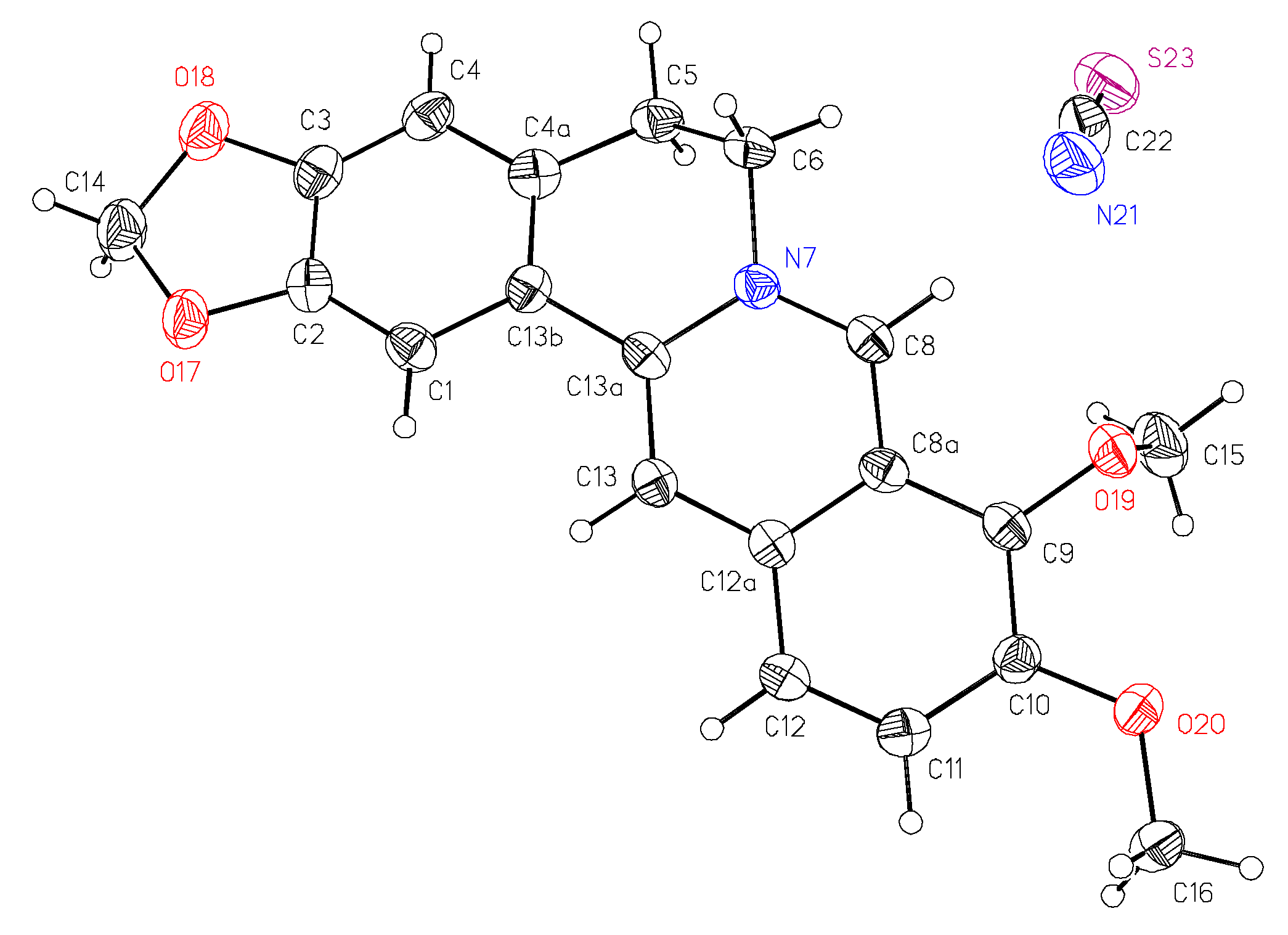
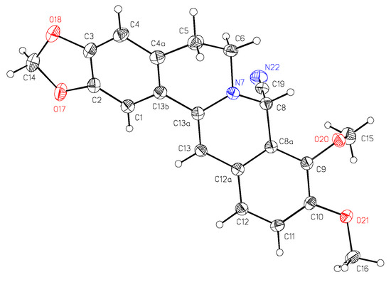
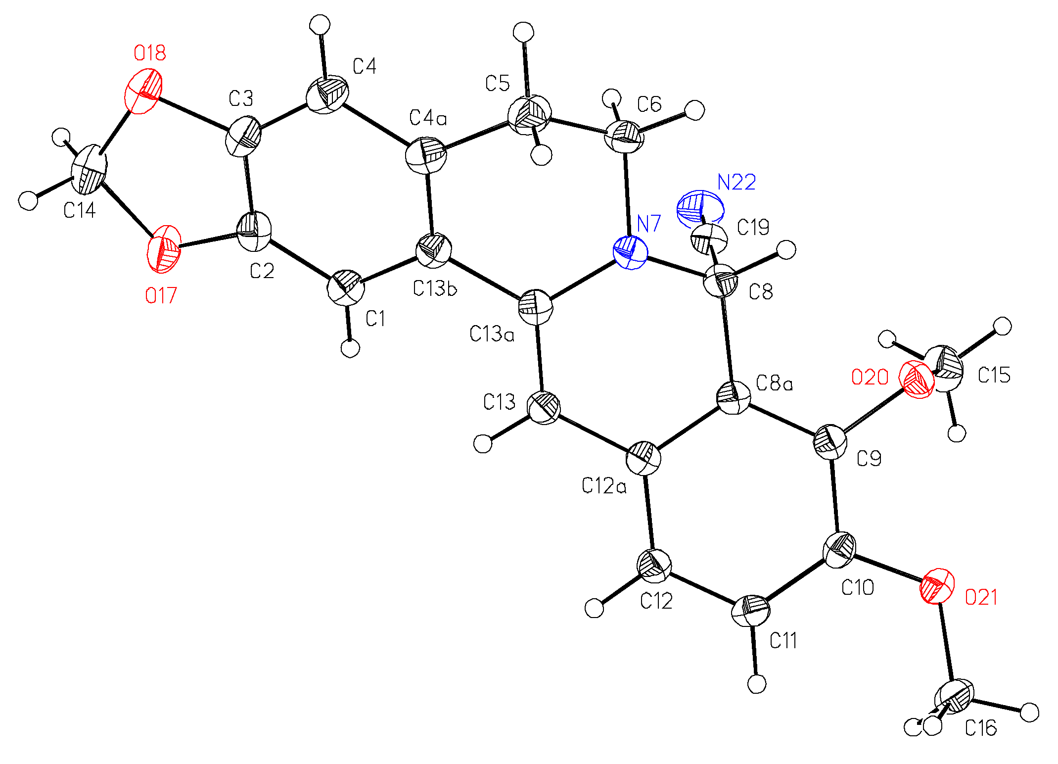
Results and Discussion


| Parameter | 1b | 1c | 2 |
|---|---|---|---|
| Empirical formula | C20H18N4O4 ⋅ CH3CN | C21H18N2O4S | C21H18N2O4 |
| Formula weight | 419.44 | 394.43 | 362.37 |
| Temperature (K) | 150(2) | 293(2) | 150(2) |
| Crystal system | Triclinic | Triclinic | Monoclinic |
| Space group | P-1 | P-1 | P2(1)/c |
| a (Å) | 8.571(2) | 7.037(1) | 10.634(1) |
| b (Å) | 9.367(2) | 10.613(2) | 18.328(1) |
| c (Å) | 13.003(3) | 12.344(2) | 9.789(1) |
| α (°) | 88.21(3) | 101.18(3) | 90 |
| β (°) | 75.94(3) | 94.37(3) | 116.30(1) |
| γ (°) | 81.25(3) | 97.69(3) | 90 |
| Volume (Å−3) | 1000.9(4) | 895.1(3) | 1710.4 (3) |
| Z | 2 | 2 | 4 |
| Calc. density (Mg/m−3) | 1.392 | 1.463 | 1.407 |
| Crystal size (mm) | 0.4 × 0.1 × 0.1 | 0.2 × 0.1 × 0.1 | 0.5 × 0.5 × 0.3 |
| Crystal colour | Yellow | Yellow | Orange-red |
| θ range (°) | 3.57 - 25.00 | 3.22 - 28.46 | 2.57 - 25.00 |
| Index ranges | h -5 → 10 | h -6 → 9 | h -12 → 8 |
| k -11 → 11 | k -13 → 13 | k -21 → 21 | |
| l -15 → 15 | l -16 → 15 | l -11 → 11 | |
| Reflections collected / Unique | 6219 / 3353 | 6394 / 3808 | 16293 / 3008 |
| Data / Restraints / Parameters | 3353 / 0 / 281 | 3808 / 0 / 254 | 3008 / 0 / 245 |
| Final R indices [I>2σ (I)] | 0.0629 / 0.1618 | 0.0829 / 0.2195 | 0.0436 / 0.0984 |
| R indices (all data) | 0.0835 / 0.1961 | 0.1149 / 0.2790 | 0.0494 / 0.1050 |
| Hydrogen atoms treatment | Constrained | Constrained | Constrained |
| Largest diff. peak and hole (e.Å−3) | 0.432 and -0.348 | 0.620 and -0.675 | 0.222 and -0.230 |
| Bond / Angle | 1b | 1c | 2 |
|---|---|---|---|
| C4a-C13b | 1.400(3) | 1.402(5) | 1.400(2) |
| C4a-C5 | 1.504(4) | 1.506(5) | 1.505(2) |
| C5-C6 | 1.509(4) | 1.500(5) | 1.515(2) |
| C6-N7 | 1.492(3) | 1.484(4) | 1.462(2) |
| N7-C13a | 1.391(3) | 1.390(4) | 1.416(2) |
| C13a-C13b | 1.464(3) | 1.469(5) | 1.474(2) |
| N7-C8 | 1.334(3) | 1.332(4) | 1.451(2) |
| C8-C8a | 1.398(3) | 1.400(4) | 1.515(2) |
| C8a-C12a | 1.423(3) | 1.410(4) | 1.401(2) |
| C12a-C13 | 1.404(3) | 1.406(4) | 1.445(2) |
| C2-O17 | 1.380(3) | 1.366(4) | 1.379(2) |
| O17-C14 | 1.433(3) | 1.433(5) | 1.441(2) |
| C14-O18 | 1.442(3) | 1.430(5) | 1.433(2) |
| O18-C3 | 1.379(3) | 1.366(4) | 1.372(2) |
| C9-O19 | 1.376(3) | 1.364(4) | 1.3854(19) |
| O19-C15 | 1.443(3) | 1.427(5) | 1.441(2) |
| C10-O20 | 1.358(3) | 1.350(4) | 1.3699(19) |
| O20-C16 | 1.431(3) | 1.436(4) | 1.428(2) |
| C8-N7-C6 | 117.5(2) | 118.6(3) | 114.12(13) |
| C8-N7-C13a | 122.3(2) | 122.4(3) | 115.94(13) |
| C13a-N7-C6 | 120.1(2) | 118.9(3) | 118.55(13) |
| C8a-C9-O19 | 118.8(2) | 119.7(3) | 119.63(14) |
| C9-O19-C15 | 113.3(2) | 115.0(3) | 112.75(13) |
| C10-C9-O19 | 121.2(2) | 121.1(3) | 120.64(14) |
| C9-C10-O20 | 116.7(2) | 116.7(3) | 115.61(14) |
| C10-O20-C16 | 118.0(2) | 117.5(3) | 117.09(13) |
| C11-C10-O20 | 123.6(2) | 124.3(3) | 124.86(14) |

| Compound / Ring | Q [Å] | θ [°] | φ [°] |
|---|---|---|---|
| 1b / B (N7 to C13a) | 0.428(3) | 117.3(4) | 269.8(4) |
| 1b / C (N7 to C13a) | τ = 0.8 ° | ||
| 1c / B (N7 to C13a) | 0.504(4) | 65.8(5) | 83.9(4) |
| 1c / C (N7 to C13a) | τ = 2.0 ° | ||
| 2 / B (N7 to C13a) | 0.523(2) | 115.9(2) | 265.7(2) |
| 2 / C (N7 to C13a) | 0.411(2) | 67.1(3) | 30.2(3) |
| Torsion angle | 1b | 1c | 2 |
|---|---|---|---|
| C8a-C9-O19-C15 | 96.8(3) | -97.1(4) | -103.08 (17) |
| C10-C9-O19-C15 | -86.3(3) | 84.1(4) | 78.90(18) |
| C9-C10-O20-C16 | -179.0(2) | 167.1(3) | 168.27(14) |
| C11-C10-O20-C16 | 0.9(4) | -12.1(5) | -13.00(14) |
Experimental
General
X-ray diffraction analysis
Syntheses
Acknowledgements
References
- Schmeller, T.; Wink, M. Alkaloids: Biochemistry, Ecology, and Medicinal Applications; Roberts, M. F., Wink, M., Eds.; Plenum Press: New York, 1998; Chapter 18; p. 438. [Google Scholar]
- Simeon, S.; Rios, J. L.; Villar, A. Pharmacological activities of protoberberine alkaloids. Plant. Med. Phytother. 1989, 23, 202–250. [Google Scholar]
- Iwasa, K.; Kim, H. S.; Wataya, Y.; Lee, D. U. Antimalarial activity and structure-activity relationships of protoberberine alkaloids. Eur. J. Med. Chem. 1998, 33, 65–69. [Google Scholar] [CrossRef]
- Bentley, K. W. The Isoquinoline Alkaloids; Harwood Academic Publishers: Amsterdam, 1998; pp. 219–264. [Google Scholar]
- Bhakuni, D. S.; Jain, S. The Alkaloids; Brossi, A., Ed.; Academic Press: New York, 1986; vol. 28, Chapter 2; pp. 95–181. [Google Scholar]
- Robinson, G. M.; Robinson, R. Researches on pseudo-bases. Part II. Note on some berberine derivatives and remarks on the mechanism of the condensation reactions of pseudo-bases. J. Chem. Soc. 1917, 111, 958–969. [Google Scholar] [CrossRef] [Green Version]
- Vennerstrom, J. L.; Klayman, D. L. Protoberberine alkaloids as antimalarials. J. Med. Chem. 1988, 31, 1084–1087. [Google Scholar] [CrossRef] [PubMed]
- Abadi, B. E. A.; Moss, D. S.; Palmer, R. A. Molecular structure of an ancient folk medicine: berberine hydrogen sulfate. J. Crystalogr. Spectrosc. Res. 1984, 14, 269–281. [Google Scholar] [CrossRef]
- Kariuki, B. M.; Jones, W. Five salts of berberine. Acta Cryst. C 1995, 51, 1234–1240. [Google Scholar] [CrossRef]
- Ghosh, R.; Mukherjee, K.; Roychowdhury, P.; Klayman, D. L. Structure of an antimalarial alkaloid, jatrorrhizine. Acta Cryst. C 1993, 49, 1665–1667. [Google Scholar] [CrossRef]
- SHELXTL Version 5.1. Bruker AXS, GmbH: Karlsruhe, Germany, 1998.
- Spek, A. L. PLATON, A Multipurpose Crystallographic Tool. Utrecht University: Utrecht, The Netherlands, 2000. [Google Scholar]
- Blasko, G.; Cordell, G. A.; Bhamarapravati, S.; Beecher, C. W. W. Carbon-13 NMR assignments of berberine and sanguinarine. Heterocycles 1988, 27, 911–916. [Google Scholar]
- Sample Availability: Samples may be synthesized by the authors on request.
© 2001 by MDPI (http://www.mdpi.org). Reproduction is permitted for noncommercial purposes
Share and Cite
Man, S.; Potáček, M.; Nečas, M.; Žák, Z.; Dostál, J. Molecular and Crystal Structures of Three Berberine Derivatives. Molecules 2001, 6, 433-441. https://doi.org/10.3390/60500433
Man S, Potáček M, Nečas M, Žák Z, Dostál J. Molecular and Crystal Structures of Three Berberine Derivatives. Molecules. 2001; 6(5):433-441. https://doi.org/10.3390/60500433
Chicago/Turabian StyleMan, Stanislav, Milan Potáček, Marek Nečas, Zdirad Žák, and Jiří Dostál. 2001. "Molecular and Crystal Structures of Three Berberine Derivatives" Molecules 6, no. 5: 433-441. https://doi.org/10.3390/60500433
APA StyleMan, S., Potáček, M., Nečas, M., Žák, Z., & Dostál, J. (2001). Molecular and Crystal Structures of Three Berberine Derivatives. Molecules, 6(5), 433-441. https://doi.org/10.3390/60500433
