Claisen, Cope and Related Rearrangements in the Synthesis of Flavour and Fragrance Compounds
Abstract
:1. Introduction



2. Claisen-type Rearrangements
2.1. Claisen Rearrangement















2.2. Carroll Rearrangement



2.3. Johnson Rearrangement


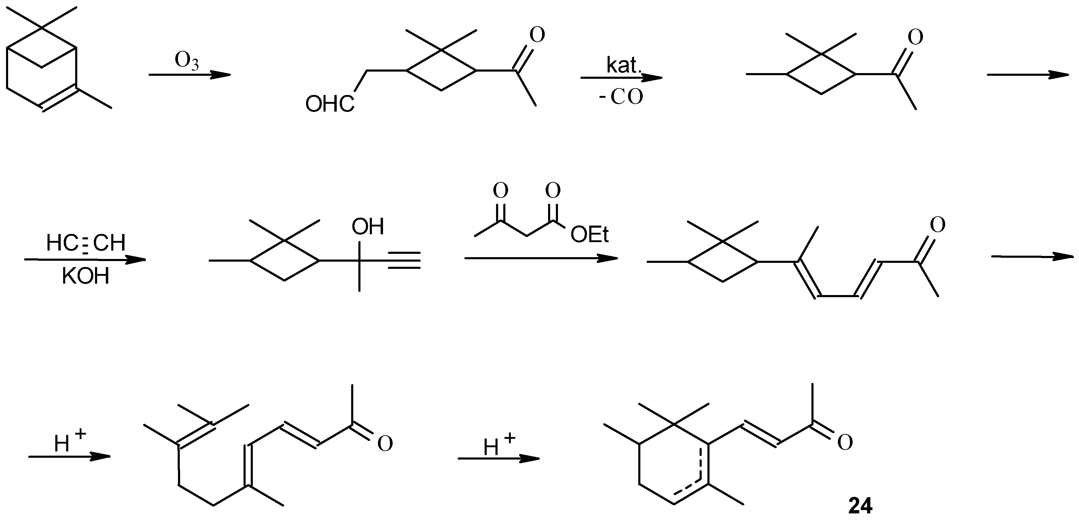
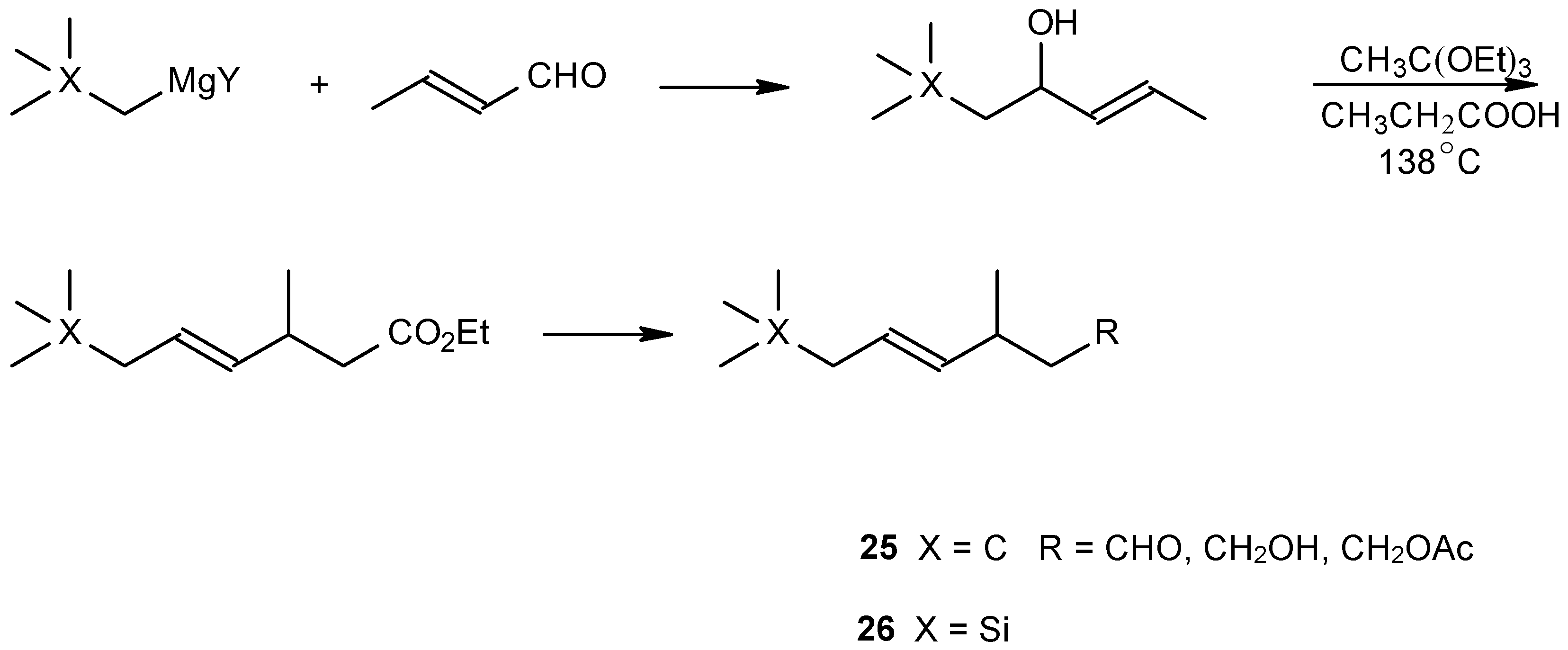
3. Cope-type Rearrangements
3.1. Cope Rearrangement



3.2. Oxy-Cope Rearrangement


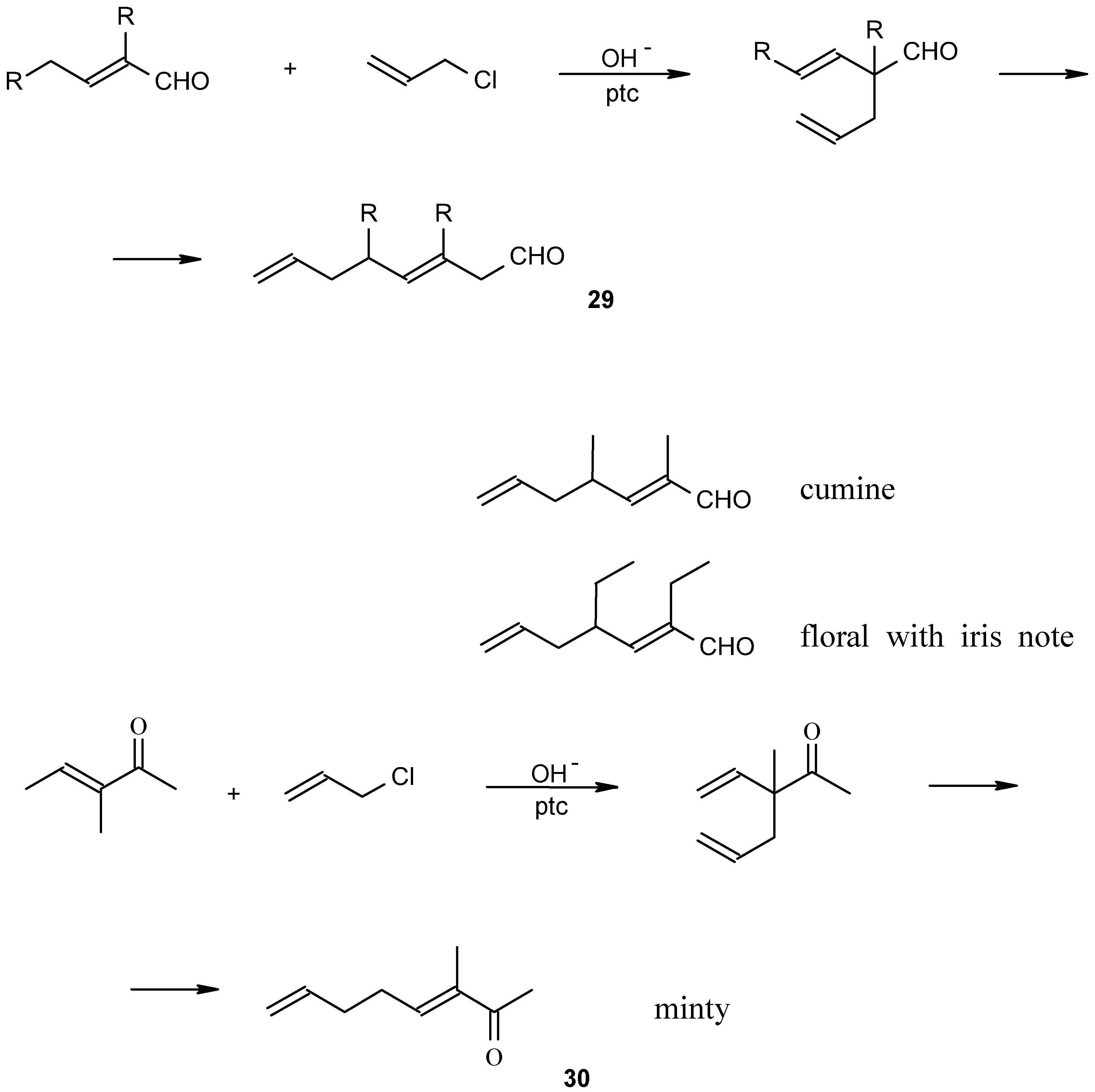
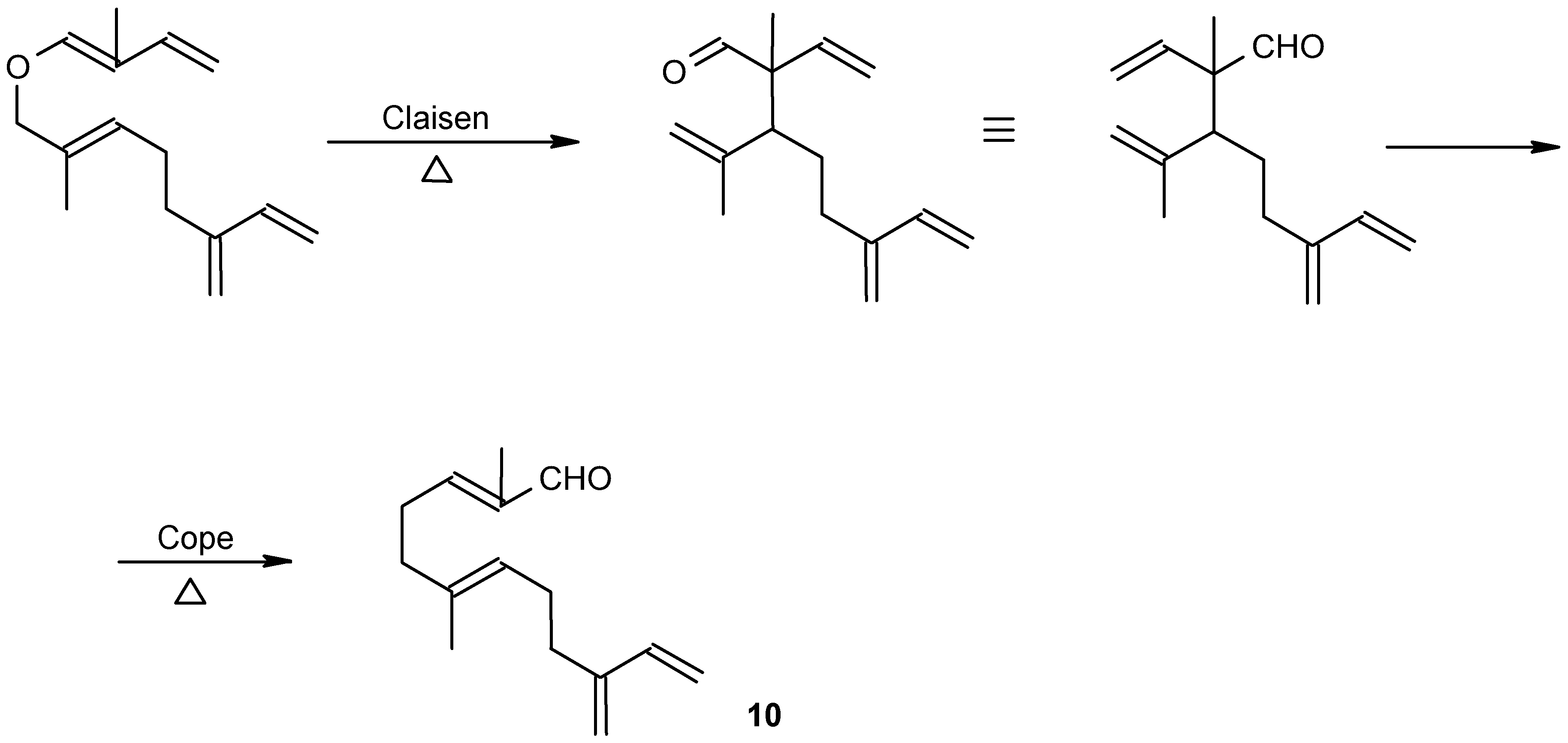
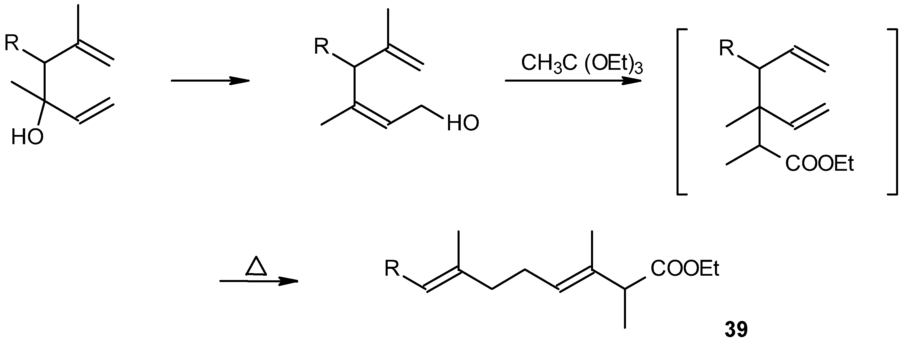
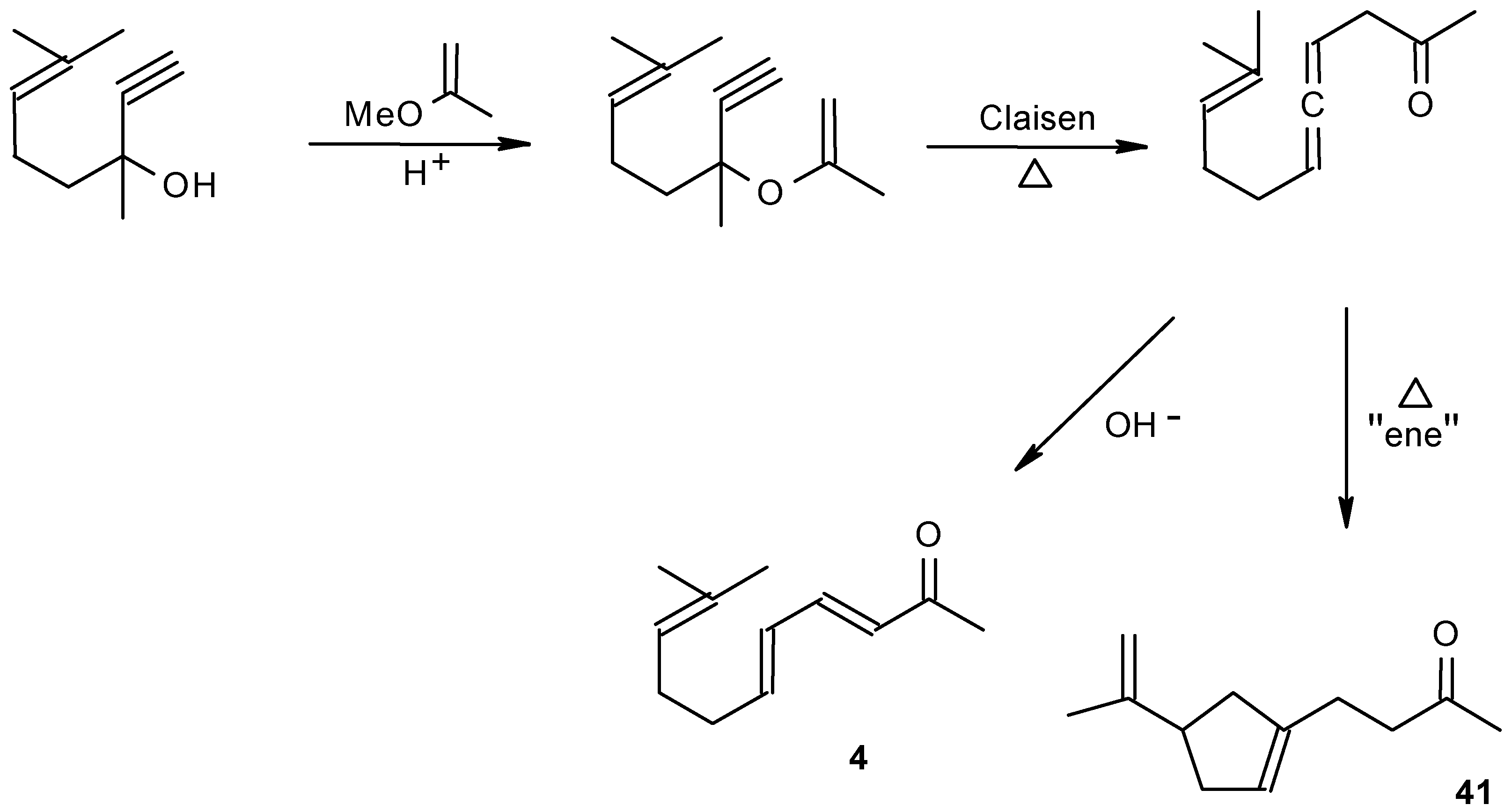
4. Tandem Sigmatropic Rearrangements







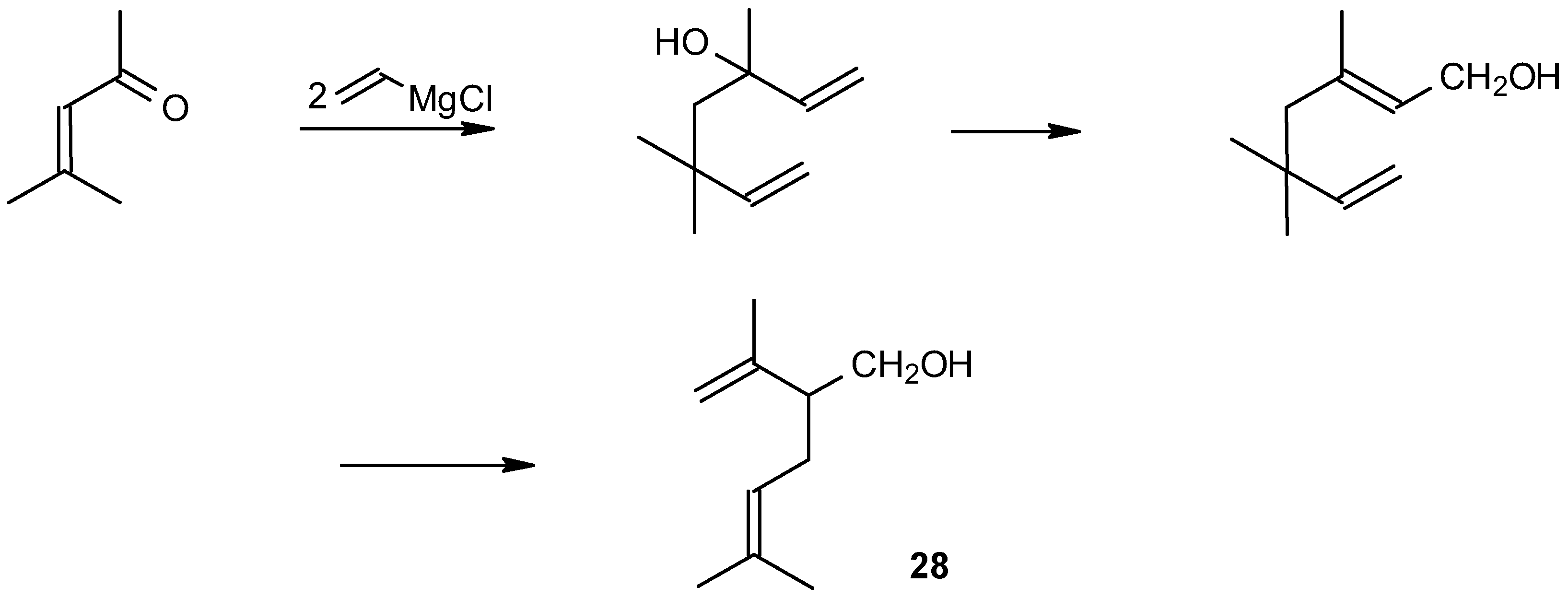
5. “Ene” Rearrangement


6. Summary
Acknowledgment
References and Notes
- Rhoads, S. J.; Raulins, N. R. Org. React. (N.Y.) 1975, 22, 1.
- Jefferson, A.; Scheinmann, F. Quaterly Rev. (London) 1968, 22, 390.
- Woodward, R.B.; Hoffmann, R. Angew. Chem. Int. Ed. Engl 1969, 8, 781. [CrossRef]
- Bennet, G.B. Synthesis 1977, 9, 589.
- Lutz, R.P. Chem. Rev. 1984, 84, 205.
- Vittorelli, P.T.; Winkler, J.; Hausen, J.; Schmidt, H. Helv. Chim. Acta 1968, 51, 1457. [CrossRef]
- Hausen, H.J.; Schmidt, H. Tetrahedron Lett. 1974, 30, 1959.
- Ziegler, F.E. Acc.Chem.Res. 1977, 10, 227. [CrossRef]
- Frater, G.; Bajgrowicz, J. A.; Kraft, P. Tetrahedron 1998, 54, 7633.
- Ohloff, G. Scent and Fragrances-The Fascination of Odours and their Chemical Perspectives; Springer Verlag: Berlin, 1994. [Google Scholar]
- Bauer, K.; Garbe, D.; Surburg, H. Common Fragrances and Flavour Materials: Preparation, Properties and Uses; Wiley-VCH, 1997. [Google Scholar]
- The Chemistry of Fragrances; Pybus, D. H.; Sell, C. S. (Eds.) Cambridge, 1999.
- Carroll, K. F. J. Chem. Soc. 1940, 704.
- (Hoffman-La Roche), BE 634738 1961 [Chem. Abstr. 1964, 62, 3941c].
- (Hoffman-La Roche), GB 865478 1961 [Chem. Abstr. 1961, 55, 20996a].
- Voitkievich, S.A. 865 Dushistykh Veshchestv dla Pafumiernoj i Bytovoj Khimii; Pishch. Prom.: Moskva, 1994. [Google Scholar]
- Marbet, R.; Saucy, G. Helv. Chim. Acta 1967, 50, 2095. [CrossRef]
- Chan, K.; Cohen, N.; DeNoble, J. P.; Specian, A.C.; Saucy, G. J. Org. Chem 1976, 29, 3497.
- Naef F. (Firmenich S.A.), DE 2849332 1979 [Chem.Abstr.,1979, 91, 112333].
- Asnari H.R. (Bush, Boake, Allen Ltd.), DE 3010762 1980 [Chem. Abstr.,1981, 94, 139990].
- Bertele E. (Givaudan S.A.), CH 493451 1970 [Chem. Abstr., 1970, 73, 120775].
- Bedoukian, P. Am. Perf. Cosmet. 1971, 86, 25.
- Blumenthal J.H. (IFF Inc.), US 3637859 1972 [Chem. Abstr., 1972, 76, 99117].
- Voitkievich S.A. (All-Union SRISNP), SU 355147 1972 [Chem. Abstr., 1973, 78, 71442].
- Gora J. (Techn.Univ. Lodz), PL 116331 1983 [Chem. Abstr., 1983, 99, 58749].
- Hoffmann W. (BASF AG), DE 2513996 1976 [Chem. Abstr., 1977, 86, 16353].
- Naegeli, P. Tetrahedron Lett. 1975, 24, 2127.
- Ball J.B. (IFF), US 3636113 1969 [Chem. Abstr., 1971, 75, 129970].
- (Naarden), NL 69 01750 1969 [Chem. Abstr., 1970, 74, 22482].
- Kawanobe, T.; Iwamoto, M. Agric. Biol. Chem. 1987, 51, 791.
- Tsui, J.; Kobayashi, Y.; Shimazu, I. Tetrahedron Lett. 1979, 39.
- Demole, G.; Enggist, P.; Borer, C. Helv.Chim. Acta 1971, 54, 1845. [CrossRef]
- Kimel, W.; Cope, A.C. J. Am. Chem. Soc. 1943, 65, 1992.
- Samochvalov, G.I.; Preobrazhenski, N.A. Zh.Obshch. Khim. 1957, 27, 2501.
- Nazarov, I.N. Zh.Obshch. Khim. 1958, 28, 1444.
- Hoffmann, W. Chem. Ztg. 1973, 97, 23.
- Teissere, P.J. Chemistry of Fragrant Substances; VCH Publishers Inc.: New York, 1994. [Google Scholar]
- Obara, T.; Olejniczak, T.; Wawrzenczyk, Cz. J. Soc. Cosmet. Chem. 1995, 46, 321.
- Cookson, R. C. (Firmenich S.A.), DE 2827383 1979 [ Chem. Abstr. 1979, 91, 20801].
- Von Fraunberg K. (BASF AG), DE 2432235 1974 [Chem. Abstr. 1976, 85, 21669].
- Gebauer H. (Consortium für Electr.Ind.), DE 3013672 1981 [Chem. Abstr. 1982, 96, 19663].
- Gebauer H. (Consortium für Electr.Ind.), DE 3013565 1981 [Chem. Abstr. 1982, 96, 51816].
- Bluthe, N.; Malacria, N.; Gore, V. Tetrahedron Lett. 1983, 24, 1157. [CrossRef]
- Nishino, M.; Kondo, H.; Miyake, A. Chem. Lett. 1973, 667.
- Tsui, J. Tetrahedron Lett. 1979, 24, 2257.
- Tietze, L. F. J. Heterocyclic Chem. 1990, 27, 47.
- Tse-Lok, Ho. Tandem Organic Reactions; Wiley & Sons, Inc.: New York, 1992. [Google Scholar]
- Ziegler, F.E.; Piwinski, J.J. J. Am. Chem. Soc. 1982, 104, 7181.
- Thomas, A. F. J. Am. Chem. Soc. 1969, 91, 3281.
- Suzuki, S.; Fujita, Y.; Noshida, T. Tetrahedron Lett. 1983, 24, 5737.
- Cookson, R. C.; Rogers, N. R. J. Chem. Soc. Perkin Trans I 1973, 2741. [CrossRef]
- Thomas, A. F.; Ozainne, M. J. Chem. Soc. C 1970, 220.
- Bowden, B.; Cookson, R. C.; Davis, H. A. J. Chem. Soc. Perkin Trans. I 1973, 2634. [CrossRef]
- Fujita, Y.; Onishi, T.; Nishida, T. Synthesis 1978, 532. [CrossRef]
- Saucy, G.; Marbet, R. Chimia 1960, 14, 363.
- Sample Availability: Not applicable.
© 2000 by MDPI (http://www.mdpi.org).
Share and Cite
Nowicki, J. Claisen, Cope and Related Rearrangements in the Synthesis of Flavour and Fragrance Compounds. Molecules 2000, 5, 1033-1050. https://doi.org/10.3390/50801033
Nowicki J. Claisen, Cope and Related Rearrangements in the Synthesis of Flavour and Fragrance Compounds. Molecules. 2000; 5(8):1033-1050. https://doi.org/10.3390/50801033
Chicago/Turabian StyleNowicki, Janusz. 2000. "Claisen, Cope and Related Rearrangements in the Synthesis of Flavour and Fragrance Compounds" Molecules 5, no. 8: 1033-1050. https://doi.org/10.3390/50801033
APA StyleNowicki, J. (2000). Claisen, Cope and Related Rearrangements in the Synthesis of Flavour and Fragrance Compounds. Molecules, 5(8), 1033-1050. https://doi.org/10.3390/50801033
