Next Article in Journal
New Conjugated Systems Derived from Piperazine-2,5-dione
Previous Article in Journal
Influence of Some Thia- or Azasubstituted Butyric Acid Derivatives on the Chemical Shift of the Benzene Ring Carbon Atoms
 
 
Font Type:
Arial Georgia Verdana
Font Size:
Aa Aa Aa
Line Spacing:
Column Width:
Background:
Article

Synthesis of Crown Ethers Containing a Rubicene Moiety

Department of Chemistry, Katholieke Universiteit Leuven, Celestijnenlaan 200F, 3001 Heverlee Belgium
*
Author to whom correspondence should be addressed.
Molecules 2000, 5(3), 620-628; https://doi.org/10.3390/50300620
Submission received: 10 February 2000 / Accepted: 14 March 2000 / Published: 22 March 2000

Abstract

:
A symmetrically disubstituted derivative of the highly fluorescing and photostable rubicene was incorporated in a macrocycle using high dilution conditions and a hydroxyrubicene was functionalized with a modified aminobenzo-15-crown-5.

Introduction

Recently we have used the highly fluorescing and photostable rubicene as a core in dendrimer chemistry [1]. A new approach towards disubstituted rubicenes was devised [2]. A metal catalyzed ring closure was found to afford heterocyclic analogues of rubicene and asymmetrically disubstituted derivatives [3]. In this paper we wish to report some more applications of rubicene in systems having great potential as supramolecular building blocks, namely macrocycles and crown ethers. Macrocycles containing a rubicene moiety could be interesting fluorescing units to be used in the synthesis of [n]catenanes [4]. On the other hand, crown ethers bearing a rubicene unit could be used as selective cation sensitive fluorescence indicators.

Results and Discussion

In previous work we have reported the preparation and alkylation of 5,12-dihydroxyrubicene [1,2]. Although alkylation of the latter compound with benzyl bromides proceeded quite smoothly, reaction of this rubicene derivative with simple aliphatic bromides and tosylates turned out to fail. However, we found that the use of more reactive bromoacetates or bromoacetamides afforded the alkylation products in very good yield. As we wished to use the 5,12-dihydroxyrubicene to prepare macrocycles, we decided to prepare the tetraethylene glycol derivative 2 by reaction of the tetraethylene glycol monotosylate 1 with bromoacetyl bromide (Scheme 1). The required monotosylate was prepared following the literature conditions [5]. Compound 2 bears a bromoacetate moiety which could be substituted by 5,12-dihydroxyrubicene in refluxing acetone in the presence of K2CO3 and 18-crown-6. Under these conditions the tosylate was not substituted. This fact was in accordance with our former observation of the low reactivity of 5,12-dihydroxyrubicene towards simple aliphatic tosylates. Even in DMF at 80°C, tetraethylene glycol ditosylate failed to react with 5,12-dihydroxyrubicene. However, the use of compound 2, allowed a very convenient preparation of the ditosylate 3. Subsequent reaction of this ditosylate with 1,5-naphthalenedithiol (which was prepared following the literature procedure [6]) under high dilution conditions and using Cs2CO3 as the base, afforded the desired macrocycle 4. This compound was found to display a strong fluorescence (λmax = 560 nm). Both the rubicene containing compounds 3 en 4 were found to have excellent solubility in CH2Cl2 and CHCl3. This behaviour is in sharp contrast with unsubstituted rubicene or the 5,12-dihydroxy derivative which essentially behave as pigments.
In a second approach, we wanted to functionalize a rubicene with a crown ether derivative. Therefore, a rubicene with only one phenol function, such as 10, was required (Scheme 2). We decided to introduce a tert.-butyl group to enhance the solubility and hence the ease of synthesis and manipulation. The preparation of this compound 10 was achieved analogously to compounds previously prepared in our group (Scheme 2) [7]. First, a solution of 4-methoxyphenylmagnesium bromide in THF was slowly added to a suspension of 1,5-dichloroanthraquinone (5) in THF, affording the monoadduct 6. To this compound, an excess of 4-tert.-butylphenyllithium was added yielding the diol 7. Reduction of the latter using NaH2PO2 and KI in refluxing acetic acid afforded the substituted 9,10-diphenylanthracene 8. Ring closure of this compound was achieved by a palladium catalyzed reaction as previously published [3]. Finally, the obtained 5-tert.-butyl-12-methoxyrubicene 9 could be deprotected by treatment with BBr3 yielding the desired phenol 10. The yields of these reactions are all good to excellent.
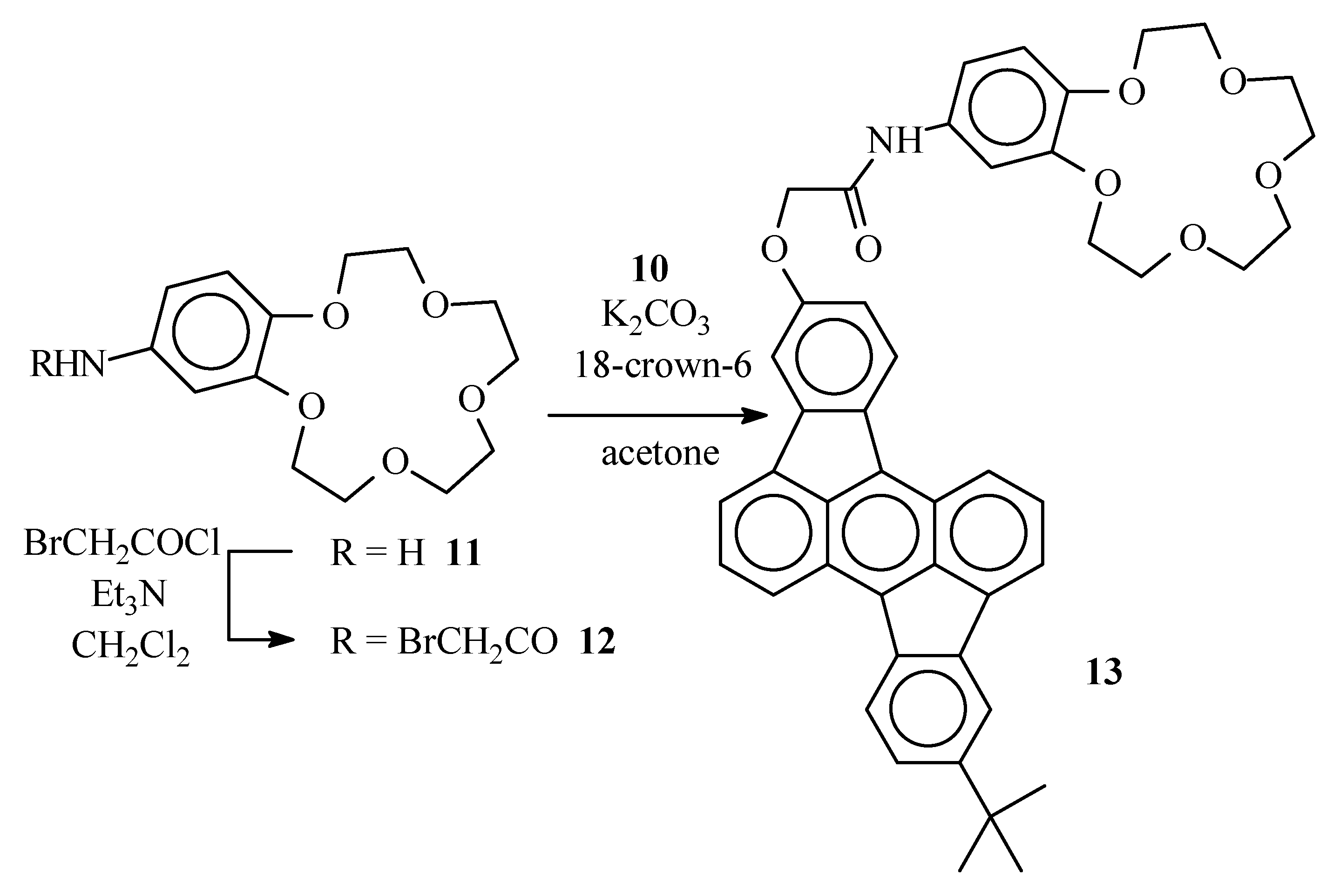
In order to be able to conjugate a crown ether to this phenolic compound 10, we prepared the bromoacetamide 12 by treatment of 4-aminobenzo-15-crown-5 (11) with bromoacetyl bromide (Scheme 3). The obtained bromoamide 12 was found to be sufficiently reactive to be coupled with the monophenol 10, affording the desired compound 13 in moderate yield. The latter was found to be highy fluorescing and further investigations to evaluate the influence of cations on the fluorescence are under way.

Experimental

General

THF was dried by distillation from sodium / benzophenone. All other reagents and solvents were purchased from Acros Organics and used without further purification. Each new compound was fully characterized by mass spectrometry (Perkin Elmer, EI 70 eV and ES) in addition to 1H-NMR and 13C-NMR spectroscopy (Bruker AMX 400 MHz or Brucker WM 250 MHz). Chemical shifts are relative to TMS as an internal reference.
Synthetic procedures and spectral data

Bromoacetate 2

Tetraethyleneglycol monotosylate (1) (22g; 63 mol) and Et3N (9.6 g; 95 mmol) were dissolved in CH2Cl2 ( 130 mL) and placed under argon atmosphere. The mixture was cooled to -20°C. Through a septum, bromoacetyl bromide (19 g; 95 mmol) was added and the resulting dark suspension was left at room temperature for 1 h. The suspension was poured on crushed ice (ca. 150 g) and the mixture was washed with a solution of HCl (3 x 50 mL; 2 M) and water (2 x 50 mL). The organic layer was dried over MgSO4 and the solvent was evaporated in vacuum. The desired bromoacetate 2 was obtained as a light brown oil (24 g; 81%) after column chromatography (SiO2; CH2Cl2-ethyl acetate 1:1): 1H NMR (250 MHz, CDCl3) δ 7.78 (d, J = 8 Hz, 2H, HCCSO2), 7.33 (d, J = 8 Hz, 2H, HCCCSO2), 4.31 (m, 2H, CH2OTs), 4.14 (m, 2H, CH2OCOCH2Br), 3.89 (s, 2H, CH2Br), 3.72-3.56 (m, 12H), 2.43 (s, 3H, CH3); MS (EI) m/z: 468 (M+).

Ditosylate 3

5,12-Dihydroxyrubicene (0.25 g; 0.70 mmol), bromide 2 (0.82 g; 1.7 mmol) and K2CO3 (0.25 g; 1.7 mmol) were suspended in acetone (20 mL) and the resulting mixture was refluxed overnight under argon atmosphere. After cooling to room temperature, the solvent was evaporated in vacuum and the desired compound 3 was obtained as a dark red oil (0.65 g; 82%) after column chromatography (SiO2; CH2Cl2-ethyl acetate 1:1): 1H NMR (250 MHz, CDCl3) δ 8.01 (d, J = 8.5 Hz, 2H), 7.76 (d, J = 8.5 Hz, 2H), 7.73 (d, J = 8.5 Hz, 4H), 7.59 (d, J = 6 Hz, 2H), 7.39 (dd, J = 8.5 Hz, J = 6 Hz, 2H), 7.28 (d, J = 1.5 Hz, 2H), 6.81 (dd, J = 8.5 Hz, J = 1.5 Hz, 2H), 4.74 (s, 4H), 4.42 (t, J = 7 Hz, 4H), 4.10 (t, J = 7 Hz, 4H), 3.79-3.58 (m, 16H), 3.52 (s, 8H), 2.33 (s, 6H); 13C NMR (400 MHz, CDCl3) δ 168.87, 157.08, 144.64, 140.82, 137.08, 133.57, 132.87, 132.60, 131.72, 129.67, 127.94, 127.78, 124.31, 124.15, 123.66, 119.76, 113.33, 108.47, 71.02, 70.54, 70.44, 70.35, 69.12, 68.82, 68.51, 65.48, 64.23, 30.28, 21.42; MS (ES) (m/z): 1136 (M+).

Cyclophane 4

Ditosylate 3 (0.55 g; 0.48 mmol) and 1,5-naphthalenedithiol (92 mg; 0.48 mmol) were dissolved in DMF (50 mL). The resulting solution was added over a period of 24 h to a vigourously stirred suspension of Cs2CO3 (0.47 g; 1.4 mmol) in DMF (300 mL) at 70°C under argon atmosphere by means of an infusion pump. After complete addition, the mixture was stirred for another 12 h at 70°C. After cooling to room temperature, the solvent was evaporated in vacuum and the cyclophane 4 was obtained as a dark red oil (0.13 g; 27%) after column chromatography (SiO2; CH2Cl2-ethyl acetate 1:1): 1H NMR (400 MHz, CDCl3) δ 8.32 (d, J = 8.6 Hz, 2H), 8.00 (d, J = 8.6 Hz, 2H), 7.98 (d, J = 7.6 Hz, 2H), 7.80 (d, J = 6.6 Hz, 2H), 7.58 (dd, J = 6.6 Hz, J = 8.5 Hz, 2H), 7.42 (d, J = 2.4 Hz, 2H), 7.25 (d, J = 7.6 Hz, 2H), 7.13 (t, J = 7.6 Hz, 2H), 6.88 (dd, J = 2.4 Hz, J = 8.5 Hz, 2H), 4.79 (s, 4H), 4.42-4.40 (m, 4H), 3.72-3.70 (m, 4H), 3.54-3.52 (m, 4H), 3.45-3.43 (m, 4H), 3.37-3.34 (m, 8H), 3.30-3.28 (m, 4H), 2.87-2.83 (m, 4H); 13C NMR (400 MHz, CDCl3) δ 169.11, 157.45, 141.07, 137.53, 133.85, 133.79, 133.05, 132.88, 132.20, 128.43, 127.35, 125.60, 124.70, 124.65, 123.98, 123.56, 120.24, 113.69, 108.79, 70.60, 70.42, 70.36, 70.06, 69.34, 68.80, 65.80, 64.45, 33.23; MS (ES) (m/z): 983 (M+).

Bromoacetamide 12

A solution of 4-aminobenzo-15-crown-5 (11) (0.50 g, 1.8 mmol) and Et3N (1.1 g, 11 mmol) in CH2Cl2 (15 mL) was placed under argon and cooled to 0°C in an ice bath. Through a septum, bromoacetyl bromide (1.1 g, 5.3 mmol) was added and the resulting dark solution was left for 30 min at 0°C. The reaction mixture was poured on crushed ice (ca. 20 g). The organic layer was separated and washed with diluted (1N) HCl (2 x 20 mL) and water (20 mL). The organic layer was dried over MgSO4 and evaporated in vacuum. Bromoacetamide 12 was obtained after column chromatography (SiO2, EtOAc-CH3OH 1:1) as an amorphous solid (0.49g, 67%), νmax (KBr)/cm−1 3443 (NH), 1670 (C=O), 1631 (C=O) ca. 1100 (broad) (C-O); δH (400 MHz ; CDCl3) 3.73-3.79 (8 H, br m, Ph(O(CH2)2O(CH2)2)2O), 3.86-3.92 (4 H, br m, Ph(OCH2CH2O(CH2)2)2O), 4.07 (2 H, s, -CH2Br), 4.09 (4 H, br m, Ph(OCH2CH2O(CH2)2)2O), 6.76 (1 H, d, J 8.5, benzo 6-H), 7.04 (1 H, dd, J 1.5 and 8.5, benzo 5-H), 7.30 (1 H, d, J 1.5, benzo 3-H), 8.56-8.63 (1 H, br s, NH) ; δC (100 MHz ; CDCl3) 163.8, 148.5, 145.6, 131.6, 114.1, 113.0, 106.9, 70.39, 70.38, 69.94, 69.93, 69.19, 68.99, 68.98, 68.42, 29.78; m/z 405 (M+, 20%), 403 (M+, 20), 273 (49), 271 (49), 151 (100).

1,5-Dichloro-10-hydroxy-10’-(4-methoxyphenyl)(10H)anthracene–9-one (6)

1,5-Dichloroanthraquinone (5) (7.0 g, 25 mmol) was suspended in dry THF (200 mL) and placed under argon. A solution of 4-methoxyphenylmagnesium bromide was prepared from 4-bromoanisol (5.7 g, 28 mmol) and magnesium turnings (0.73 g, 30 mmol) in dry THF (25 mL) and added dropwise (during 30 min) to the anthraquinone suspension. After the addition was complete, the resulting clear solution was stirred for 12 h at room temperature. Water was added (100 mL) and after vigorous shaking, the organic layer was separated. The water layer was extracted with CH2Cl2 (2 x 80 mL). The combined organic layers were dried over MgSO4 and evaporated in vacuum. To the pasty residue, toluene (150 mL) was added and the resulting suspension was refluxed for 15 min. The hot solution was filtered and the precipitate purified by column chromatography (SiO2) with CH2Cl2/petroleum ether (4 :1) as the eluent. The title compound was obtained as a white solid (4.62 g, 48%), mp 199°C ; νmax (KBr)/cm−1 3445 (OH), 3078 (sp2 C-H), 2927 (sp3 C-H), 1649 (C=O), 1580 (C=C); δH (400 MHz ; DMSO d6) 3.67 (3 H, s, OCH3), 6.79 (2 H, d, J 9, phenyl 3,5-H), 6.96 ( 1H, s, OH), 7.21 (2 H, d, J 9, phenyl 2,6-H), 7.47 (1 H, dd, J 7.7 and 1.3, 2-H anthrone), 7.56 (1 H, t, J 7.7, 7-H anthrone), 7.56 (1 H, t, J 7.7, 3-H anthrone), 7.63 (1 H, dd, J 7.7 and 1.3, 4-H anthrone), 7.68 (1 H, dd, J 7.7 and 1.3, 6-H anthrone), 8.16 (1 H, dd, J 7.7 and 1.3, 8-H anthrone) ; δC (100 MHz ; DMSO d6) 181.5, 157.6, 153.4, 142.2, 136.7, 136.2, 134.2, 133.4, 133.3, 131.9, 130.6, 129.4, 128.6, 126.7, 125.6, 124.0, 113.4, 71.6, 54.9; m/z 386 (M+, 55), 387 (M+, 21), 384 (M+, 82), 351 (23), 349 (63), 333 (31), 332 (21), 331 (82), 279 (66), 277 (100).

1,5-Dichloro-9,10-dihydroanthracene-9-(4-(1,1-dimethylethyl)phenyl)-10-(4-methoxy-phenyl)-9,10- diol (7)

1-Bromo-4-(1,1-dimethylethyl)benzene (1.1 g, 5.2 mmol) was dissolved in dry THF (10 mL). The solution was placed under argon and cooled to 0°C. BuLi (2.1 mL 2.5 M solution in hexanes, 5.2 mmol) was added through a septum and the mixture was allowed to warm to room temperature. The anthrone 6 (0.50 g, 1.3 mmol) was added and the resulting suspension was stirred overnight. The reaction mixture was quenched with water (20 mL) and extracted with CH2Cl2 (3 x 15 mL). The combined organic layers were dried over MgSO4 and the solvent was evaporated in vacuum. The title compound was obtained after column chromatography (SiO2, CH2Cl2) as a white solid (0.57 g, 85%), δH (250 MHz ; CDCl3) 1.23 (9 H, s, C(CH3)3), 3.72 (3 H, s, OCH3), 4.48 (1 H, s, OH), 4.53 (1 H, s, OH), 6.73 (2 H, d, J 8, CHCOCH3), 7.15-7.35 (10 H, m), 7.88-7.93 (2 H, 2 x dd, J 7.5 and 1.3, 4-H and 8-H anthracenediol) ; δC (100 MHz ; CDCl3) 158.4, 149.8, 143.8, 142.9, 142.6, 139.2, 134.2, 134.1, 132.5, 130.7, 130.6, 129.1, 127.8, 127.7, 127.2, 125.6, 125.3, 125.1, 124.9, 113.3, 74.3, 74.1, 55.1, 34.3, 31.3.

5-(1,1-Dimethylethyl)-12-methoxyrubicene (9)

The diol 7 (0.57 g, 1.1 mmol), KI (0.91 g, 5.5 mmol) and NaH2PO2 (0.48 g, 5.5 mmol) were suspended in acetic acid (6 mL) and the stirred mixture was heated to reflux for 1 h. The resulting yellowish suspension was allowed to cool to room temperatue and the solids were collected by filtration, washed with water (2 x 5 mL) and methanol ( 2 x 5 mL) and dried in vacuum. The desired anthracene 8 (0.39 g, 73%) thus obtained was used without further purification, m/z 487 (24%), 486 (72), 485 (37), 484 (100), 393 (33), 358 (27), 357 (26), 57 (44). This anthracene 8 ( 0.39 g, 0.80 mmol), K2CO3 (0.98 g, 7.0 mmol), Bu4NHSO4 (0.62 g, 1.6 mmol) and Pd(OAc)2 (38 mg, 0.16 mmol) were suspended in DMF (15 mL) and the stirred mixture was heated at 120°C under argon for 24 h. After cooling to room temperature, water (20 mL) was added and the precipitate was collected by filtration. Rubicene 9 was obtained after Soxhlet extraction (toluene) as dark red crystals (0.30 g, 91%), mp > 300°C ; νmax (KBr)/cm−1 3067 (sp3 C-H), 2957 (sp2 C-H), 1614 (C=C), 1458, 1097 (C-O), 1025 (C-O); δH (400 Mhz ; CDCl3) 1.48 (9 H, s, C(CH3)3), 3.98 (3 H, s, OCH3), 6.98 (1H, dd, J 8.3 and 2.2, 13-H), 7.49 (1 H, dd, J 8.0 and 2.0, 6-H), 7.53 (1 H, d, J 2.2, 11-H), 7.73-7.77 (2 H, 2 x t, J 8.5 and 6.7, 2-H and 9-H), 7.98 (1 H, d, J 6.7, 3-H or 10-H), 8.02 (1 H, d, J 2.0, 4-H), 8.03 (1 H, d, J 6.7, 3-H or 10-H) 8.20 (1 H, d, J 8.3, 14-H), 8.22 (1 H, d, J 8.0, 7-H), 8.52 (1 H, d, J 8.5, 1-H or 8-H), 8.58 (1 H, d, J 8.5, 1-H or 8-H); m/z 413 (35%), 412 (100), 398 (26), 397 (76).

5-(1,1-Dimethylethyl)-12-hydroxyrubicene (10)

Rubicene 9 (0.15 g, 0.36 mmol) was dissolved in CH2Cl2 (15 mL) and the resulting solution was cooled to 0°C. Through a septum, BBr3 was added (0.55 mL 1M solution in CH2Cl2, 0.55 mmol). The mixture was stirred overnight at room temperature and then poured on crushed ice (ca. 10 g). The organic layer was separated and evaporated. Methanol (5 mL) was added to the residue and the precipitate was collected by filtration, yielding the desired compound 10 as a dark red amorphous solid (0.12 g, 84%), mp > 300°C, δH (400 MHz ; DMSO d6) 1.44 (9 H, s, C(CH3)3), 6.91 (1 H, dd, J 8.2 and 2.3, 13-H), 7.51 (1 H, dd, J 8.0 and 2.0, 6-H), 7.54 (1 H, d, J 2.3, 11-H), 7.85 (1 H, t, J 8.8 and 6.6, 2-H or 9-H), 7.86 (1 H, t, J 8.8 and 6.6, 2-H or 9-H), 8.18 (1 H, d, J 6.6, 3-H or 10-H), 8.20 (1 H, d, J 2.0, 4-H), 8.30 (1 H, d, J 8.2, 14-H), 8.31 (1 H, d, J 6.6, 3-H or 10-H), 8.37 (1 H, d, J 8.0, 7-H), 8.68 (1 H, d, J 8.8, 1-H or 8-H), 8.71 (1 H, d, J 8.8, 1-H or 8-H), 9.75-9.88 (1 H, br s, OH) ; δC (100 MHz ; DMSO d6) 157.8, 149.8, 140.9, 138.5, 137.6, 137.5, 136.4, 133.4, 132.3, 131.9, 130.8, 130.3, 129.4, 129.1, 125.2, 124.85, 124.78, 124.61, 124.60, 123.8, 123.0, 121.1, 102.9, 119.1, 115.0, 109.8, 34.8, 31.2 ; m/z 398 (28%), 383 (29), 73 (54), 44(100), 43 (34).

Crown ether derivative 13

Hydroxyrubicene 10 (0.11 g, 0.28 mmol), bromoacetamide 12 (0.13 g, 0.33 mmol) and K2CO3 (92 mg, 0.66 mmol) were suspended in acetone (4 mL) and the mixture was placed under argon. The stirred suspension was maintained at reflux temperature for 72 h. After cooling to room temperature, the reaction mixture was poured in water (5 mL) and extracted with CH2Cl2 (2 x 5 mL). The organic layers were combined and dried over MgSO4. After column chromatography (SiO2) with EtOAc/CH3OH 1:1 as the eluent, the desired crown ether 13 was obtained as an amorphous solid (79 mg, 39%) (Found: C, 76.65, H, 5.95. C46H43NO7 requires C: 76.54; H: 6.00%); δH (400 MHz ; CDCl3) 1.48 (9 H, s, C(CH3)3), 3.72-3.74 (8 H, br m, Ph(O(CH2)2O(CH2)2)2O), 3.89 (4 H, br m, Ph(OCH2CH2O(CH2)2)2O), 4.12-4.16 (4 H, br m, Ph(OCH2CH2O(CH2)2)2O), 4.71 (2 H, s, OCH2CON), 6.81 (1 H, d, J 8.4, 6-H benzo), 6.97 (1 H, d, J 8.2, 13-H rubicene), 7.08 (1 H, d, J 8.4, 5-H benzo), 7.42 (1 H, s, 3-H benzo), 7.47 (1 H, d, J 8.1, 6-H rubicene), 7.50 (1 H, s, 11-H rubicene), 7.66 (2 H, br m, 2-H and 9-H rubicene), 7.88 (1 H, d, J 6.6, 3-H or 10-H rubicene), 7.92 (1 H, d, J 6.6, 3-H or 10-H rubicene), 7.96 (1 H, s, 4-H rubicene), 8.07 (1 H, d, J 8.2, 14-H rubicene), 8.13 (1 H, d, J 8.1, 7-H rubicene), 8.35 (1 H, d, J 8.3, 1-H or 8-H rubicene), 8.47 ( 1H, d, J 8.3, 1-H or 8-H rubicene); m/z 721 (M+ ; 5%), 664 (48), 663 (100).

Acknowledgement 

We thank the University of Leuven, the FWO-Vlaanderen and the Ministerie voor Wetenschapsbeleid for financial support. M.S. thanks the FWO Vlaanderen for a predoctoral fellowship.

References and Notes

  1. Smet, M.; Shukla, R.; Fülöp, L.; Dehaen, W. A general synthesis of disubstituted rubicenes. Eur. J. Org. Chem. 1998, 2769–2773. [Google Scholar] [CrossRef]
  2. De Backer, S.; Prinzie, Y.; Verheijen, W.; Smet, M.; Desmedt, K.; Dehaen, W.; De Schryver, F.C. The solvent dependancy of the hydrodynamical volume of dendrimers with a rubicene in the core. J. Phys. Chem. A 1998, 102, 5451–5455. [Google Scholar] [CrossRef]
  3. Smet, M.; Van Dijk, J.; Dehaen, W. An improved synthesis of substituted rubicenes providing access to heterocyclic rubicene analogues. Synlett 1999, 495–497. [Google Scholar] [CrossRef]
  4. Ballardini, V.; Balzani, A.; Gandolfini, M.T.; Marquis, D.; Pérez-García, L.; Stoddart, J.F. Molecular meccano, 29 The synthesis and spectroscopic properties of a [2]catenane incorporating an anthracene chromophoric unit. Eur. J. Org. Chem. 1998, 81–89. [Google Scholar] [CrossRef]
  5. Ashton, P.R.; Huff, J.; Menzer, S.; Parsons, I.W.; Preece, J.A.; Stoddart, J.F.; Tolley, M.S.; White, A.J.P.; Williams, D.J. Bis[2]catenanes and a bis[2]rotaxane-Model compounds for polymers with mechanically interlocked components. Chem. Eur. J. 1996, 2, 123. [Google Scholar] [CrossRef]
  6. Shigeru, O.; Togo, H. Reduction of sulfonic acids and related compounds with triphenylphos-phine-iodine system. Bull. Chem. Soc. Jpn. 1983, 56, 3802–3812. [Google Scholar]
  7. Smet, M.; Van Dijk, J.; Dehaen, W. A novel acid catalyzed rearrangement of 9,10-diaryl-9,10-dihydroanthracene-9,10-diols affording 10,10'-diaryl-9-anthrones. Tetrahedron 1999, 55, 7859–7874. [Google Scholar] [CrossRef]
  • Samples Availability: Available from the authors.
Scheme 1.
Scheme 1.
Molecules 05 00620 sch001
Scheme 2.
Scheme 2.
Molecules 05 00620 sch002
Scheme 3.
Scheme 3.
Molecules 05 00620 sch003

Share and Cite

MDPI and ACS Style

Smet, M.; Dehaen, W. Synthesis of Crown Ethers Containing a Rubicene Moiety. Molecules 2000, 5, 620-628. https://doi.org/10.3390/50300620

AMA Style

Smet M, Dehaen W. Synthesis of Crown Ethers Containing a Rubicene Moiety. Molecules. 2000; 5(3):620-628. https://doi.org/10.3390/50300620

Chicago/Turabian Style

Smet, Mario, and Wim Dehaen. 2000. "Synthesis of Crown Ethers Containing a Rubicene Moiety" Molecules 5, no. 3: 620-628. https://doi.org/10.3390/50300620

APA Style

Smet, M., & Dehaen, W. (2000). Synthesis of Crown Ethers Containing a Rubicene Moiety. Molecules, 5(3), 620-628. https://doi.org/10.3390/50300620

Article Metrics

Back to TopTop