Studies on a New Synthetic Route towards Cassiol
Abstract
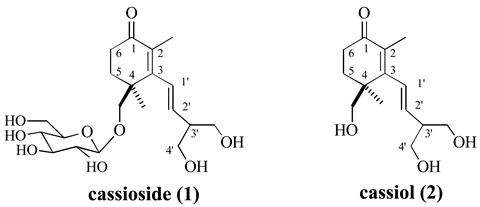
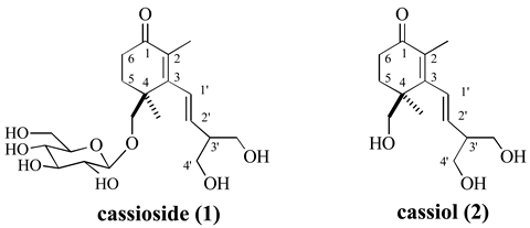
:Introduction
Discussion and Experimental Part
Acknowledgments
References and Notes
- Shiraga, Y.; Okano, K.; Akira, T.; Fukaya, C.; Yokoyama, K.; Tanaka, S.; Fukui, H.; Tabata, M. Tetrahedron 1988, 44, 4703.
- Colombo, M.I.; Rœveda, E.A. J. Braz. Chem. Soc. 1998, 9, 303.
- Baudin, J.B.; Hareau, G.; Julia, S.A.; Ruel, O. Tetrahedron Lett. 1991, 32, 1175.
- Colombo, M.I.; Bacigaluppo, J.A.; Rœveda, E.A. Anales Asoc. Quim. Arg. 1998, 86, 312.

Share and Cite
Colombo, M.I.; Bacigaluppo, J.A.; Zinczuk, J.; Mischne, M.P.; Rúveda, E.A. Studies on a New Synthetic Route towards Cassiol. Molecules 2000, 5, 505-507. https://doi.org/10.3390/50300505
Colombo MI, Bacigaluppo JA, Zinczuk J, Mischne MP, Rúveda EA. Studies on a New Synthetic Route towards Cassiol. Molecules. 2000; 5(3):505-507. https://doi.org/10.3390/50300505
Chicago/Turabian StyleColombo, M. I., J. A. Bacigaluppo, J. Zinczuk, M. P. Mischne, and E. A. Rúveda. 2000. "Studies on a New Synthetic Route towards Cassiol" Molecules 5, no. 3: 505-507. https://doi.org/10.3390/50300505
APA StyleColombo, M. I., Bacigaluppo, J. A., Zinczuk, J., Mischne, M. P., & Rúveda, E. A. (2000). Studies on a New Synthetic Route towards Cassiol. Molecules, 5(3), 505-507. https://doi.org/10.3390/50300505
