Skip to Content
MoleculesMolecules
  • Abstract
  • Open Access

22 March 2000

Improved Synthesis of N-Substituted Quinolinimides Using Microwave Irradiation

,
and
Departamento de Química Orgánica, Facultad de Farmacia y Bioquímica, UBA, Junín 956 (1113), Buenos Aires, Argentina
*
Author to whom correspondence should be addressed.

Abstract

The synthesis of several quinolinimidoacetic acid derivatives (I) by two different routes, starting from quinolinic anhydride or quinolinimide, is described. In all cases better yields and decreased reaction times were achieved employing microwave irradiation as an alternative source of energy.

Introduction

A number of 1,6- and 1,7-naphthyridines were synthesized [1] by expansion reactions induced by alkoxides of quinolinimidoacetic acid derivatives (I). These compounds were obtained with low yields after several hours using conventional heating methods.
Molecules 05 00481 i001
Here we present the improved results obtained when reactions have been carried out under microwave irradiation.

Experimental

Ordinary kitchen microwave oven was used to perform the reactions.

Results and discussion

Compounds I were obtained by two ways:
a) By heating quinolinic anhydride (II) and aminoacetic acid derivatives. The yields are low owing to decarboxylation reactions of the intermediate quinolinic acid monoamides.
Molecules 05 00481 i002
When reactions have been carried out with microwave heating remarkable rate enhancements and dramatic savings in reaction times were observed.
This method was extended and optimized for synthesis of N-substituted alkyl, aryl or heterocyclic quinolinimides as well as for N,N-disubstituted 2-carbamoyl-nicotinic and 3-carbamoylpicolinic acids.
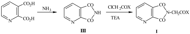
b) Compounds I were also obtained by N-alkylation of quinolinimide III, which was prepared with high yields from quinolinic acid and aqueous ammonia with microwave heating (7min., 500w).
Molecules 05 00481 i003
The best results in N-alkylation reactions were achieved in DMF using Et3N as base.

References

  1. Mercedes Blanco, M.; Gabriela, Lorenzo; Isabel A., Perillo; Celia B., Schapira. J. Heterocyclic Chem. 1996, 33, 1.

Article Metrics

Citations

Article Access Statistics

Multiple requests from the same IP address are counted as one view.