Next Article in Journal
A New Pathway to 3-Hetaryl-2-oxo-2H-chromenes: On the Proposed Mechanisms for the Reaction of 3-Carbamoyl-2-iminochromenes with Dinucleophiles
Previous Article in Journal
Application of Flow Thermolysis in Organic Synthesis: Easy Access to α,ω-Bis Thienyl- and Bis Pyrrolyl- Alkanes from Methylene Derivatives of Meldrum's Acid
 
 
Font Type:
Arial Georgia Verdana
Font Size:
Aa Aa Aa
Line Spacing:
Column Width:
Background:
Article

Synthesis of New Bis-Alkylated Phosphono Alkenyl Acyclonucleosides : (Z) and (E)-Diethyl-2-(3-alkyl pyrimidin-1-yl)ethylen-1-yl Phosphonate

1
Laboratoire de Chimie Bioorganique, Faculté des Sciences Semlalia, Marrakech, Marocco
2
Faculté des Sciences et Techniques Gueliz, BP : 618, 40 000, Marrakech, Marocco
3
Laboratoire de Chimie Bioorganique, Université des Sciences et Techniques Montpellier II, Montpellier, France
*
Author to whom correspondence should be addressed.
Molecules 2000, 5(10), 1139-1145; https://doi.org/10.3390/51001139
Submission received: 26 July 2000 / Revised: 21 September 2000 / Accepted: 28 September 2000 / Published: 31 October 2000

Abstract

:
The E- and Z- phosphonoalkenyl acyclonucleosides of uracil and thymine were synthesized under Michael addition conditions. Introduction of an alkyl, alkenyl or alkynyl group at the N-3 position of the pyrimidine moiety was accomplished using potassium carbonate in DMF.

Introduction

The synthesis and biological evaluation of modified acyclonucleoside analogues have been very active research areas for a number of years. Several phosphonate acyclonucleoside analogues are presently known as potent antiviral agents [1,2]. Among them PMEA and HPMPA (Figure 1) derivatives have been noted to be a very potent inhibitor of HIV.
On the other hand, a number of reports from several laboratories have shown that the chemical modification at the N-3 position of pyrimidine nucleosides is applicable to the preparation of new nucleoside analogues possessing antiviral activity [3]. During our work on the study of the antiviral activity of a new class of modified acyclonucleosides [4], we recently prepared the novel series: (Z)- and (E)-diethyl-2-(purin-9-yl/pyrimidin-1-yl)ethylen-1-ylphosphonate. These compounds were tested for their in vitro inhibitory effect on the replication of a number of DNA and RNA virus. In order to study the effect of structural modification on antiviral activity and toxicity of the diethylethylenyl phosphonate acyclonucleosides analogues, we describe here the introduction of an ethoxycarbonylmethyl, allyl or propargyl group at the N-3 position of the pyrimidine moiety.

Results and Discussion

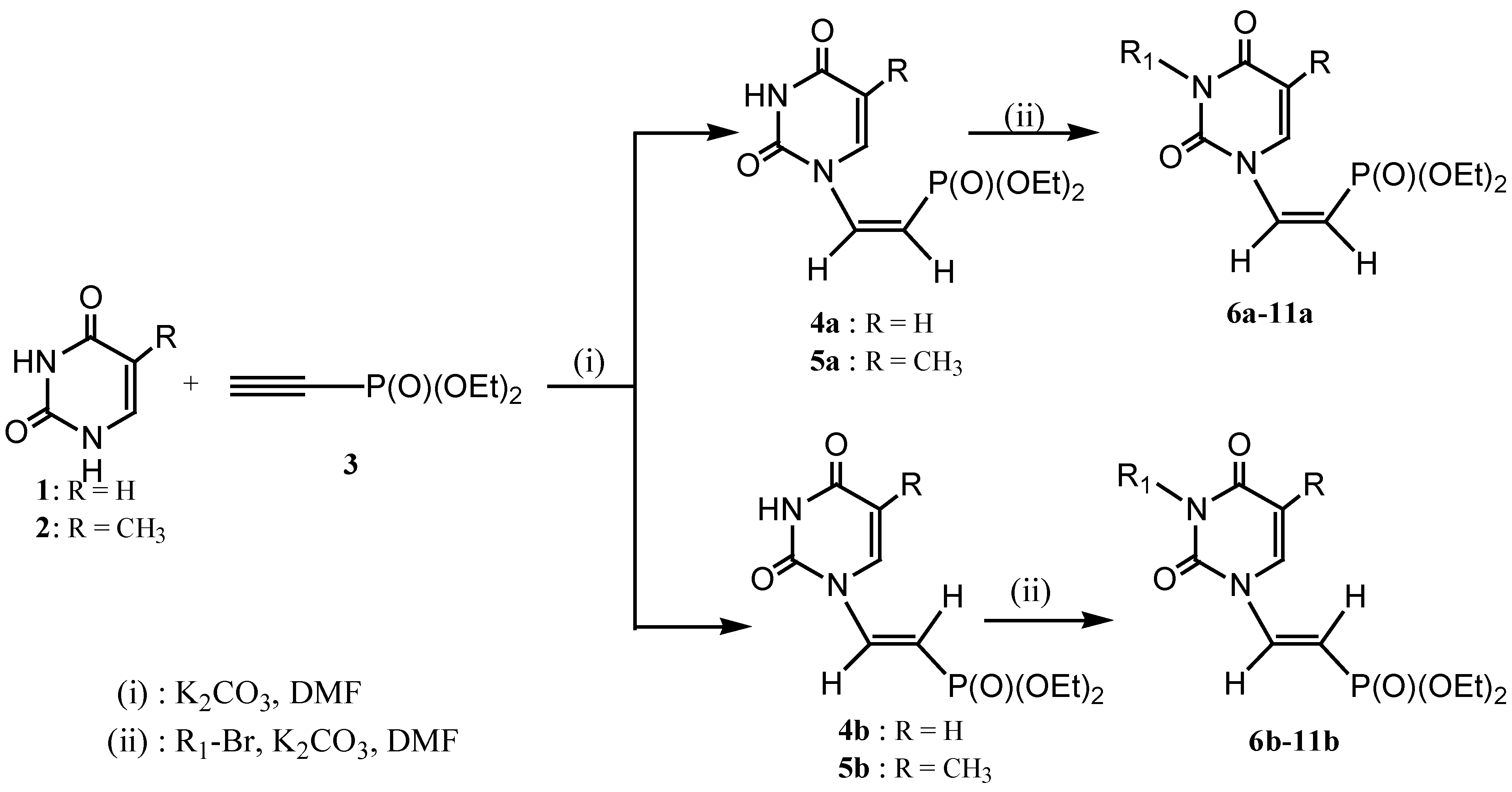
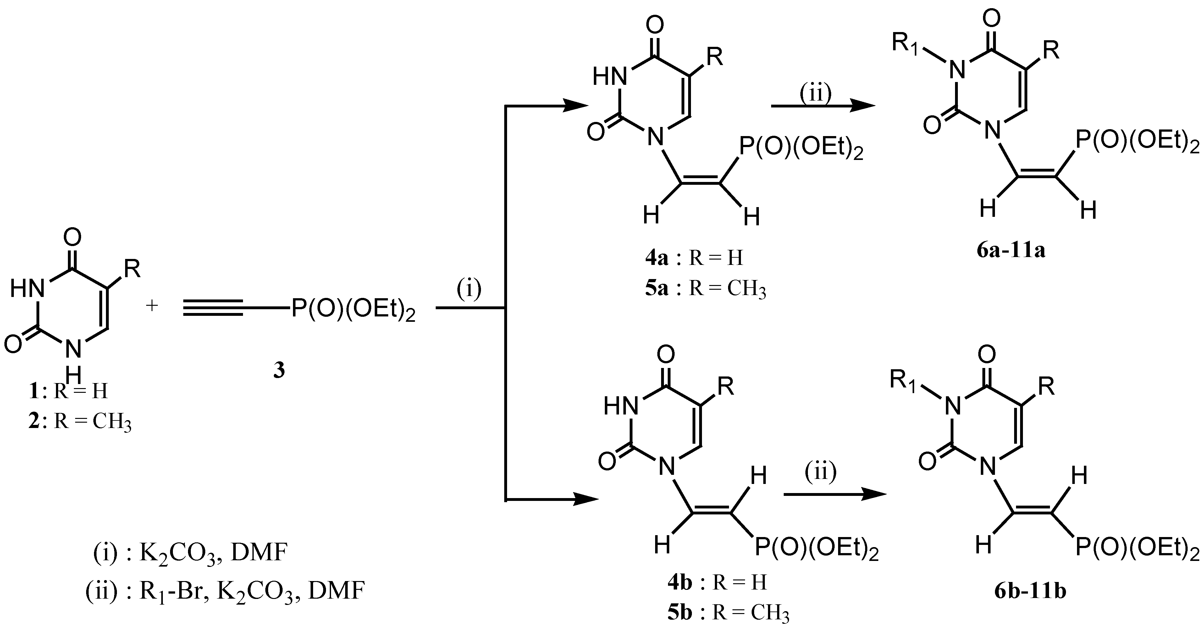
We have recently reported [4] a convenient procedure for coupling uracil and thymine with diethylethynyl phosphonate acyclic chain 3 using a Michael type addition (Scheme 1).
The N-1 alkylation of pyrimidine bases (1 or 2) with 3 using solid-liquid phase transfer catalysis conditions leads to two isomers (Z and E) in moderate overall yield (Z/E > 1). In order to increase the yield of product formation, the reaction was performed with 0.5 equivalent of potassium carbonate as base, and DMF as solvent. This process gave both Z and E isomers in a good overall yield (Z/E = 20/80) (Table 1).
All isomers were isolated after purification by silica gel column chromatography. Confirmation of the isomeric structure of these products was based on 1H-NMR spectra.3JH-2, P coupling constants are characteristic for each isomers, the Z- compounds having a constant ranging from 42.2 to 42.7 ppm while in the E-isomers this value is markedly lower (18.3 ppm) (Table 2).
The alkylation at the N-3 position of the uracil and thymine was carried out with potassium carbonate as base (1eq) and dry DMF as solvent. The use of 3 equivalents of the appropriate alkylating agent gave the desired products in a good yield (Table 3).
The comparison of reaction conditions listed in Table 1 and Table 3 has shown no significant effect on the stereoisomer ratio. On the other hand, no retro-Michael reaction was detected when the N-3- alkylation was carried out using one equivalent of potassium carbonate as base.
The alkylation position in compounds 6-11 was proven by the disappearance of the amide proton (N-H), shown in the corresponding 1H-NMR spectra, previously recorded at 11.66 - 12.25 ppm for compounds 4-5. The structures of new compounds were assigned on the basis of the corresponding analytical and spectroscopic data.
Compounds 6-11 were tested for their in vitro inhibitory effects on the replication of a number of DNA viruses (i.e. herpes simplex virus type 1 and type 2, vaccina virus ...) and RNA viruses (Sindbis virus, Coxsackie virus, polio virus,...) in two cell systems (Vero and Hela). None of these compounds showed marked antiviral effect or detectable alteration of host-cell morphology at the concentration tested (CMI> 400µg/ml). When evaluation in anti-HIV assay (CEM host-cell), none of the tested compounds showed marked antiviral effect at a concentration of less than 8 µg/ml.

Experimental

General

1H-NMR spectra were recorded using a Brucker AC 250 MHz spectrometer. Unless specified otherwise, the solvent used was DMSO-d6. Chemical shifts are reported as parts per million (δ ppm) from TMS used as internal standard. Key: s (singlet), d (doublet), t (triplet), q (quartet), m (multiplet) and b (broad). Ultraviolet spectral (UV) were recorded with a Cary 219 spectrometer. Mass spectra (MS) were obtained with JEOL JMS DX 300 instrument using fast atomic bombardment (FAB positive – GT). Thin layer chromatography (T.L.C) was performed on MerckKiesegel 60 F254 plates and short- wave ultraviolet light (254 nm) was used to detect the UV-absorbing spots. Column chromatography separations were obtained on silica gel (0.063 - 0.2 mm Merck). Elemental analysis were determined by the French Microanalytical Central Service.
Bis alkylating coupling method :
To a solution of 1.45 mmoles of compound 4 or 5 and potassium carbonate (1.45 mmoles) in dry DMF (15mL), 4.35 mmoles of the alkylating agent were added. The reaction mixture was allowed to stir at room temperature for several hours (see Table 3) and the solvent was removed under reduced pressure. The residual oil was purified by silica gel column chromatography using ethylacetate/ hexane as eluant to give compounds 6a, 6b, ..., 11b as white oils.
(Z)-diethyl-2-(3-ethoxycarbonylmethyluracil-1-yl) ethylen-1-ylphosphonate (6a)
Yield: 23 %; eluant: hexane- 90% EtOAc, Rf = 0.37 (CH2Cl2/MeOH, 95/5); 1H-NMR: 7.88 (d, 1H, H6, J6, 5 = 8.1 Hz), 7.32 (dd, 1H, H2, J2, 1 = 10.9 Hz, J2, P = 41.3 Hz), 5.98 (d, 1H, H5, J5, 6 = 8.1 Hz), 5.90 (dd, 1H, H1, J1, 2 =10.9 Hz, J1, P = 9.3 Hz), 4.57 (s, 2H, CH2N-3), 4.14 (q, 2H, CO2CH2-, JCH2CH3 = 7.1 Hz), 4.01 (qd, 4H, 2 x OCH2, JCH2-P = 7.9 Hz, JCH2CH3 = 7.0 Hz), 1.22 (t, 6H, 2 x CH3, JCH2CH3 = 7.0 Hz); UV (MeOH) λmax = 271 nm; MS, FAB positive, m/z = 361[M+H]+; Elem. Anal. Calcd. for C14H21N2O7P : C 46.67 H 5.87 N 7.77 Found : C 46.58 H 5.97 N 7.69.
(E)-diethyl-2-(3-ethoxycarbonylmethyl uracil-1-yl) ethylen-1-ylphosphonate (6b)
Yield: 68 %; eluant: hexane- 90% EtOAc, Rf = 0.38 (CH2Cl2/MeOH, 95/5); 1H-NMR: 8.28 (d, 1H, H6, J6, 5 = 8.1 Hz), 7.69 (dd, 1H, H2, J2,1 = 16.0 Hz, J2, P = 18.1 Hz), 6.29 (dd, 1H, H1), J1, 2 = 16.0 Hz, J1, P = 10.3 Hz), 6.07 (d, 1H, H5, J5, 6 = 8.1 Hz), 4.58 (s, 2H, CH2N-3), 4.14 (q, 2H, CO2CH2-, JCH2CH3 = 7.1 Hz), 4.01 ( qd, 4H, 2 x OCH2, JCH2-P = 8.0 Hz, JCH2CH3 = 7.1 Hz), 1.22 (t, 6H, 2 x CH3, JCH2CH3 = 7.1 Hz); UV (MeOH) λmax = 277 nm; MS, FAB positive, m/z = 361 [M+H]+; Elem. Anal. Calcd. for C14H21N2O7P : C 46.67 H 5.87 N 7.77 Found: C 46.73 H 5.94 N 7.69.
(Z)-diethyl-2-(3-ethoxycarbonylmethylthymin-1-yl)ethylen-1-ylphosphonate (7a)
Yield: 17 %; eluant: hexane- 70% EtOAc, Rf = 0.40 (CH2Cl2/MeOH, 95/5); 1H-NMR: 7.86 (s, 1H, H6), 7.34 (dd, 1H, H2, J2, 1 = 11.1 Hz, J2, P = 1.5 Hz), 5.83 (dd, 1H, H1, J1, 2 = 11.1 Hz, J1, P = 9.2 Hz), 4.58 (s, 2H, CH2N-3), 4.14 (q, 2H, CO2CH2-, JCH2CH3 = 7.1 Hz), 4.01 (qd, 4H, 2 OCH2, JCH2-P = 8.0 Hz, JCH2CH3 = 7.1 Hz), 1.22 (m, 9H, 3x CH3); UV (MeOH) λmax = 278 nm; MS, FAB positive, m/z = 375 [M+H]+; Elem. Anal. Calcd. for C15H23N2O7P : C 48.13 H 6.19 N 7.48 Found : C 48.19 H 6.21 N 7.40.
(E)-diethyl-2-(3-ethoxycarbonylmethyl thymin-1-yl) ethylen-1-ylphosphonate (7b)
Yield: 68 %; eluant: hexane- 70% EtOAc, Rf = 0.38 (CH2Cl2/ MeOH, 95/ 5); 1H-NMR: 8.21 (s, 1H, H6), 7.72 (dd, 1H, H2, J2,1 = 15.9 Hz, J2, P = 18.1 Hz), 6.20 (dd, 1H, H1, J1, 2 = 15.9 Hz, J1, P = 10.2 Hz), 4.60 (s, 2H, CH2N-3), 4.14 (q, 2H, CO2CH2-, JCH2CH3 = 7.1 Hz), 4.02 (qd, 4H, 2 x OCH2, JCH2-P = 7.9 Hz, JCH2CH3 = 7.1 Hz), 1.91 (s, 3H, CH3-5), 1.23 (m, 9H, 3 x CH3); UV (MeOH) λmax = 284 nm; MS, FAB positive, m/z = 375 [M+H]+; Elem. Anal. Calcd. for C15H23N2O7P : C 48.13 H 6.19 N 7.48 Found: C 48.21 H 6.12 N 7.38.
(Z)-diethyl-2-(3-allyluracil-1-yl)ethylen-1-ylphosphonate (8a)
Yield: 21 %; eluant: hexane- 80% EtOAc, Rf = 0.42 (CH2Cl2/ MeOH, 95/5), 1H-NMR: 7.83 (d, 1H, H6, J6, 5 = 8.0 Hz), 7.33 (dd, 1H, H2, J2, 1 = 11.0 Hz, J2, P = 41.6 Hz), 5.91 (d, 1H, H5, J5, 6 = 8.0 Hz), 5.83 (m., 2H, H1=CH-), 5.10 (m, 2H, H2C=C), 4.40 (d, 2H, CH2N-3, JCH2CH = 5.2 Hz), 4.00 ( qd, 4H, 2 x OCH2, JCH2-P = 7.8 Hz, JCH2CH3 = 7.0 Hz), 1.21 (t, 6H, 2 x CH3, JCH2CH3 = 7.0 Hz); UV (MeOH) λmax = 270 nm; MS, FAB positive, m/z = 315 [M+H]+; Elem. Anal. Calcd. for C13H19N2O5P : C 49.68 H 6.09 N 8.91 Found : C 49.61 H 6.13 N 8.88.
(E)-diethyl-2-(3-allyluracil-1-yl)ethylen-1-ylphosphonate (8b).
Yield: 63 %; eluant: hexane- 80% Ac OEt, Rf = 0.38 (CH2Cl2/ MeOH, 95/ 5); 1H-NMR: 8.20 (d, 1H, H6, J6, 5 = 8.1 Hz), 7.74 (dd, 1H, H2, J2, 1 = 16.0 Hz, J2, P = 18.2 Hz), 6.19 (dd, 1H, H1, J1, 2 = 16.0 Hz, J1, P = 10.4 Hz), 5.99 (d, 1H, H5, J5, 6 = 8.1 Hz), 5.83 (m., 2H, H1=CH-), 5.11 (m, 2H, H2C=C), 4.41 (d, 2H, CH2N-3, JCH2CH- = 5.2 Hz), 4.01 (qd, 4H, 2 x OCH2, JCH2-P = 8.1 Hz, JCH2CH3 = 7.0 Hz), 1.25 (t, 6H, 2 x CH3, JCH2CH3 = 7.0 Hz); UV (MeOH) λmax = 278 nm; MS, FAB positive, m/z = 315 [M+H]+; Elem. Anal. Calcd. for C13H19N2O5P : C 49.68 H 6.09 N 8.91 Found : C 49.59 H 6.15 N 8.93.
(Z)-diethyl-2-(3-allylthymin-1-yl)ethylen-1-ylphosphonate (9a)
Yield: 17 %; eluant: hexane- 70% EtOAc, Rf = 0.47 (CH2Cl2/ MeOH, 95/ 5); 1H-NMR: 7.82 (s, 1H, H6), 7.35 (dd, 1H, H2, J2, 1 =11.1 Hz, J2, P = 41.8 Hz), 5.81 (m., 2H, H1= CH-), 5.11 (m, 2H, H2C=C), 4.42 (d, 2H, CH2N-3, JCH2CH=C = 5.2 Hz), 4.00 (qd, 4H, 2 x OCH2, JCH2-P = 7.9 Hz, JCH2CH3 = 7.0 Hz), 1.85 (s, 1H, CH3-5), 1.21 (t, 6H, 2 x CH3, JCH2CH3 = 7.0 Hz), UV (MeOH) λmax = 278 nm, MS, FAB positive, m/z = 329 [M+H]+, Elem. Anal. Calcd. for C14H21N2O5P : C 51.22 H 6.45 N 8.53 Found : C 51.30 H 6.49 N 8.46.
(E)-diethyl-2-(3-allylthymin-1-yl)ethylen-1-ylphosphonate (9b).
Yield: 70 %; eluant: hexane- 70% EtOAc, Rf = 0.43 (CH2Cl2/ MeOH, 95/5); 1H-NMR: 8.14 (s, 1H, H6), 7.76 (dd, 1H, H2, J2,1 = 15.9 Hz, J2, P = 18.2 Hz), 6.12 (dd, 1H, H1, J1, 2 = 15.9 Hz, J1, P = 10.5 Hz), 5.82 (m., 1H, = CH-), 5.11 (m, 2H, H2C=C), 4.43 (d, 2H, CH2N-3, JCH2CH=C = 5.2 Hz), 4.01 (qd, 4H, 2 OCH2, JCH2-P = 7.9 Hz, JCH2CH3 = 7.0 Hz), 1.89 (s, 1H, CH3-5), 1.25 (t, 6H, 2 x CH3, JCH2CH3 = 7.0 Hz); UV (MeOH) λmax = 282 nm; MS, FAB positive, m/z = 329 [M+H]+, Elem. Anal. Calcd. For C14H21N2O5P : C 51.22 H 6.45 N 8.53 Found : C 51.26 H 6.48 N 8.47.
(Z)-diethyl-2-(3-propargyluracil-1-yl)ethylen-1-ylphosphonate (10a)
Yield: 23 %; eluant: hexane-80% EtOAc, Rf = 0.45 (CH2Cl2/ MeOH, 95/5); 1H-NMR (CDCl3): 8.03 (d, 1H, H6 , J6, 5 = 8.2 Hz), 7.38 (dd, 1H, H2, J2,1 = 11.4 Hz, J2, P = 41.7 Hz), 5.85 (d, 1H, H5, J5, 6 = 8.2 Hz), 5.49 (dd, 1H, H1, J1, 2 = 11.4 Hz, J1, P = 7.1 Hz), 4.67 (d, 2H, CH2N-3, JCH2C≡CH = 2.5 Hz), 4.07 (qd, 4H, 2 x OCH2, JCH2-P = 7.7 Hz, JCH2CH3 = 7.0 Hz), 2.15 (t, 1H, HC≡C, JHC≡CCH2 = 2.5 Hz), 1.28 (t, 6H, 2 x CH3, JCH2CH3 = 7.0 Hz); UV (MeOH) λmax = 272 nm; MS, FAB positive, m/z = 312 [M+H]+; Elem. Anal. Calcd. for C13H17N2O5P : C 50.00 H 5.49 N 8.97 Found : C 49.93 H 5.53 N 8.88.
(E)-diethyl-2-(3-propargyl uracil-1-yl) ethylen-1-ylphosphonate (10b).
Yield: 67 %; eluant: hexane-80% EtOAc, Rf = 0.36 (CH2Cl2/MeOH, 95/5); 1H-NMR (CDCl3): 7.81 (dd, 1H, H2, J2,1 = 16.0 Hz, J2, P = 17.5 Hz), 7.48 ( d, 1H, H6, J6, 5 = 8.2 Hz), 5.92 (d, 1H, H5, J5, 6 = 8.2 Hz), 5.68 (dd, 1H, H1, J1, 2 = 16.0 Hz, J1, P = 9.6 Hz), 4.66 (d, 2H, CH2N-3, JCH2C≡CH = 2.5 Hz), 4.09 (qd, 4H, 2 x OCH2, JCH2-P = 7.9 Hz, JCH2CH3 = 7.1 Hz), 2.15 (t, 1H, HC≡C, JHC≡CCH2 = 2.5 Hz), 1.29 (t, 6H, 2 x CH3, JCH2CH3 = 7.1 Hz); UV (MeOH) λmax = 276 nm; MS, FAB positive, m/z = 312 [M+H]+; Elem. Anal. Calcd. for C13H17N2O5P : C 50.00 H 5.49 N 8.97 Found : C 50.05 H 5.42 N 8.92.
(Z)-diethyl-2-(3-propargylthymin-1-yl)ethylen-1-yl- phosphon-ate (11a)
Yield: 17 %; eluant: hexane- 80% EtOAc, Rf = 0.36 (CH2Cl2/MeOH, 95/5); 1H-NMR (CDCl3): 7.98 (s, 1H, H6), 7.42 (dd, 1H, H2, J2,1 = 11.5 Hz, J2, P = 42.1 Hz), 5.42 (dd, 1H, H1, J1, 2 = 11.5 Hz, J1, P = 7.1 Hz), 4.70 (d, 2H, CH2N-3, JCH2C≡CH = 2.5 Hz), 4.09 (qd, 4H, 2 x OCH2, JCH2-P = 7.9 Hz, JCH2CH3 = 7.0 Hz), 2.16 (t, 1H, HC≡C, JHC≡CCH2 = 2.5 Hz), 1.97 ( s, 3H, CH3-5), 1.31 ( t, 6H, 2 x CH3, JCH2CH3 = 7.0 Hz); UV (MeOH) λmax= 277 nm; MS, FAB positive, m/z = 326 [M+H]+; Elem. Anal. Calcd. for C14H19N2O5P : C 51.54 H 5.87 N 8.59 Found : C 51.59 H 5.95 N 8.55.
(E)-diethyl-2-(3-propargylthymin-1-yl)ethylen-1-yl-phosphonate (11b).
Yield: 68 %; eluant: hexane- 80% EtOAc, Rf = 0.39 (CH2Cl2/MeOH, 95/5); 1H-NMR (CDCl3): 7.86 (dd, 1H, H2, J2,1 = 16.0 Hz, J2, P = 17.6 Hz), 7.28 ( s, 1H, H6), 5.63 (dd, 1H, H1 , J1, 2 = 16.0 Hz, J1, P = 9.7 Hz), 4.69 (d, 2H, CH2N-3, JCH2C≡CH = 2.5 Hz), 4.09 (qd, 4H, 2 x OCH2, JCH2-P = 7.8 Hz, JCH2CH3 = 7.1 Hz), 2.16 (t, 1H, HC≡C, JHC≡CCH2 = 2.5 Hz), 1.99 (s, 3H, CH3-5), 1.32 (t, 6H, 2 x CH3, JCH2CH3 = 7.0 Hz); UV (MeOH) λmax = 280 nm; MS, FAB positive, m/z = 326 [M+H]+; Elem. Anal. Calcd. for C14H19N2O5P : C 51.54 H 5.87 N 8.59 Found : C 51.52 H 5.93 N 8.53.

Acknowledgements

This project was supported by the Inter-Universitaire Cooperation [(France/Maroc), (A. I: 1141/96)]. We thank E. De Clercq of the Katholieke Universiteit, Leuven (Belgium) for carrying out the antiviral tests.

References and Notes

  1. Votruba, I.; Bernaerts, R.; sakuma, T.; DeClercq, E.; Merta, A.; Rosenberg, I.; Holy, A. Intra-cellular phosphorylation of broad-spectrum anti-DNA virus agent (S)-9-(3-hydroxy-2-phosphonyl-methoxypropyl)adenine and inhibition of viral DNA synthesis. Mol. Pharmacol. 1987, 32, 524–529. [Google Scholar] [PubMed]
  2. Harnden, M. R.; Parkin, A.; Parratt, M.J.; Perkins, R. M. Novel Acyclonucleosides: synthesis and antiviral activity of alkenylphosphonic acid derivatives of purines and a pyrimidine. J. Med. Chem. 1993, 36, 1343–1355. [Google Scholar] [CrossRef] [PubMed]
  3. Velasquez, S.; Tunon, V.; Jimeno, M.L.; Chamorro, C.; De Clercq, E.; Balzarini, J.; Camarasa, M.J. Potential multifunctional inhibitors of HIV-1 reverse trascriptase. Novel [AZT]-[TSAO-T] and [d4T]-[TSAO-T] heterodimers modified in the linker and in the dideoxynucleosides region. J. Med. Chem. 1999, 42. 5188-5196 and references cited therein. [Google Scholar] [CrossRef]
  4. Lazrek, H. B.; Rochdi, A.; Khaider, H.; Barascut, J.L.; Imbach, J. L.; Panncouque, C .; Witrouw, M.; De Clercq, E. Synthesis of (Z) and (E) α-alkenyl phosphonic acid derivatives of purines and pyrimidines. Tetrahedron 1998, 54. 3807-3816 and references cited therein. [Google Scholar] [CrossRef] and references cited therein.
  • Sample Availability: The title compound is available from the corresponding author.
Figure 1.  
Figure 1.  
Molecules 05 01139 g001
Scheme 1.  
Scheme 1.  
Molecules 05 01139 sch001aMolecules 05 01139 sch001b
Table 1. Time(h), yield(%) and isomer ratios of compounds (4-5).
Table 1. Time(h), yield(%) and isomer ratios of compounds (4-5).
CompoundTime (h)Yield (%)% Z% E
418762080
524812080
Table 2. Chemical shifts and coupling constants of H1 and H2.
Table 2. Chemical shifts and coupling constants of H1 and H2.
CompoundδH1 (ppm)δH2 (ppm)J1,P (Hz)J2,P (Hz)J1,2 (Hz)
4a5.767.319.242.711.2
4b6.137.7110.618.316.0
5a5.677.339.142.211.3
5b6.057.7210.718.315.9
Table 3. Time (h), yield (%) and isomer ratios of compounds 6-11.
Table 3. Time (h), yield (%) and isomer ratios of compounds 6-11.
CompoundsTime (h)Yield (%)%Z%E
62912575
73852080
83842575
92.5872080
103902575
113852080

Share and Cite

MDPI and ACS Style

Rochdi, A.; Taourirte, M.; Lazrek, H.B.; Barascut, J.L.; Imbach, J.L. Synthesis of New Bis-Alkylated Phosphono Alkenyl Acyclonucleosides : (Z) and (E)-Diethyl-2-(3-alkyl pyrimidin-1-yl)ethylen-1-yl Phosphonate. Molecules 2000, 5, 1139-1145. https://doi.org/10.3390/51001139

AMA Style

Rochdi A, Taourirte M, Lazrek HB, Barascut JL, Imbach JL. Synthesis of New Bis-Alkylated Phosphono Alkenyl Acyclonucleosides : (Z) and (E)-Diethyl-2-(3-alkyl pyrimidin-1-yl)ethylen-1-yl Phosphonate. Molecules. 2000; 5(10):1139-1145. https://doi.org/10.3390/51001139

Chicago/Turabian Style

Rochdi, A., M. Taourirte, H. B. Lazrek, J. L. Barascut, and J. L. Imbach. 2000. "Synthesis of New Bis-Alkylated Phosphono Alkenyl Acyclonucleosides : (Z) and (E)-Diethyl-2-(3-alkyl pyrimidin-1-yl)ethylen-1-yl Phosphonate" Molecules 5, no. 10: 1139-1145. https://doi.org/10.3390/51001139

APA Style

Rochdi, A., Taourirte, M., Lazrek, H. B., Barascut, J. L., & Imbach, J. L. (2000). Synthesis of New Bis-Alkylated Phosphono Alkenyl Acyclonucleosides : (Z) and (E)-Diethyl-2-(3-alkyl pyrimidin-1-yl)ethylen-1-yl Phosphonate. Molecules, 5(10), 1139-1145. https://doi.org/10.3390/51001139

Article Metrics

Back to TopTop