Clove Essential Oil as an Antifungal Agent and Putative Dual-Action Antifungal Mechanism: Experimental Validation and Computational Insights into Orthosteric and Allosteric Modulation of Chitin Synthase I in Penicillium Species
Abstract
1. Introduction
2. Results and Discussion
2.1. In Vitro Tests
2.1.1. Identification of Minimum Inhibitory Concentration (MIC), Sublethal Concentration, and Morphological Analysis
2.1.2. Analysis of Fungal Growth Dynamics
2.1.3. Effect of CEO Treatment on Membrane Integrity
2.1.4. Effect of Essential Oil on Spore Germination
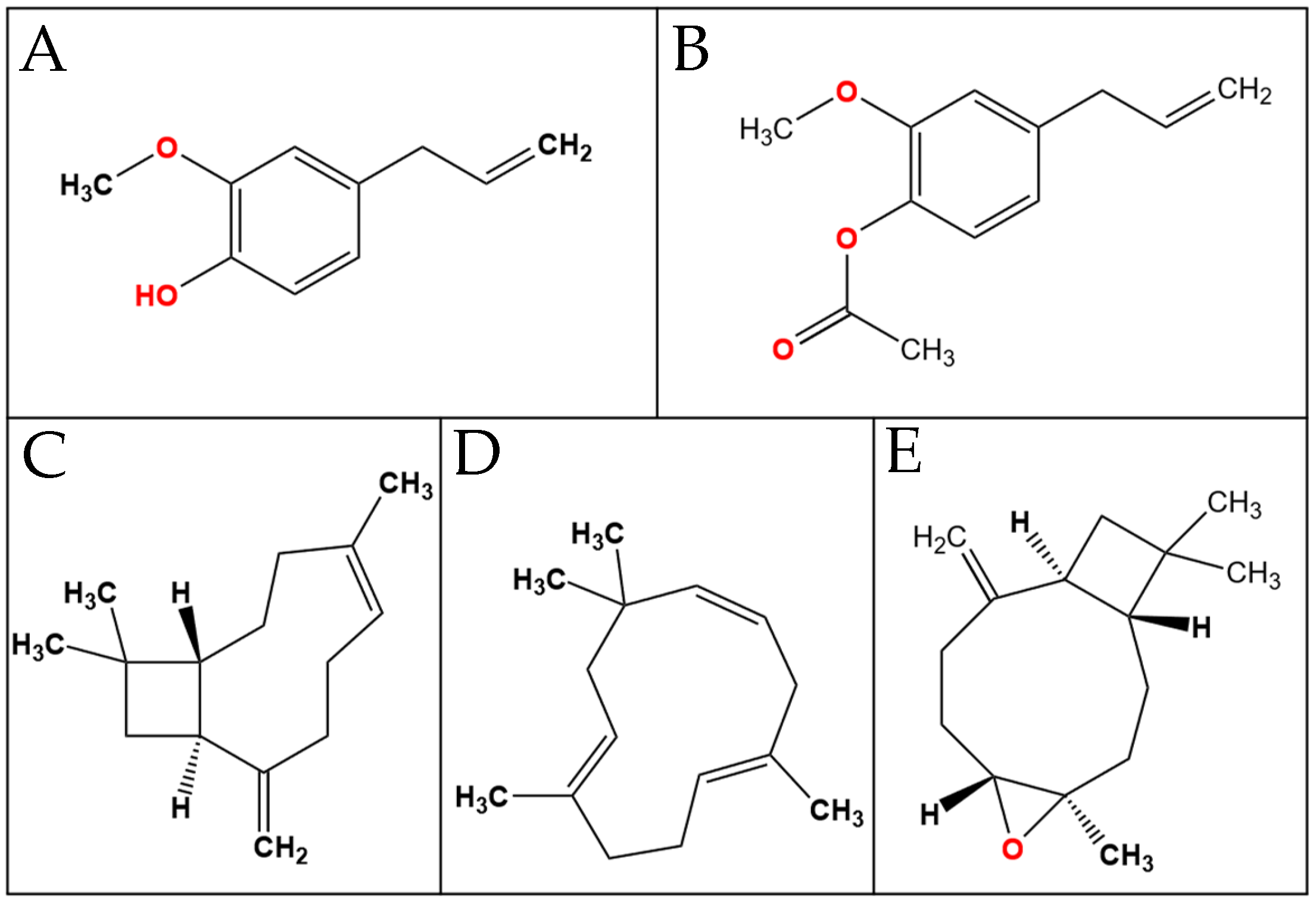
2.2. Identification of Volatile Compounds in Clove Essential Oil (S. aromaticum) by Gas Chromatography Coupled with Mass Spectrometry (GC-MS)
2.3. In Silico Analysis
2.3.1. ADMET Results for Components of Clove Essential Oil
2.3.2. Selection and Modeling of CHS I Enzyme
2.3.3. Ligand Selection
2.3.4. Molecular Docking Results
2.3.5. Molecular Dynamics Simulation Results
Root Mean Square Deviation (RMSD)
Radius of Gyration (Rg)
Root Mean Square Fluctuation (RMSF)
Binding Energy
2.3.6. Potential Allosteric Modulation
3. Materials and Methods
3.1. Reagents
3.2. Fungal Species
3.3. In Vitro Study
3.3.1. Antifungal Activity Assays
Effects on Mycelium Growth
- (cm): mean colony diameter at time t;
- (cm): initial colony diameter;
- (cm): maximum growth reached in the stationary phase;
- (cm/day): maximum radial growth rate;
- (days): lag phase duration;
- (days): incubation time.
Effect of the CEO on Membrane Integrity
Effect on Spore Germination
3.4. Identification of Volatile Compounds in Clove Essential Oil (S. aromaticum)
3.5. In Silico Study
3.5.1. ADMET Property Assessment
3.5.2. Selection and Modeling of the CHS I Protein
3.5.3. Ligand Selection and Optimization
3.5.4. Preparation of Ligands and Proteins
3.5.5. Molecular Docking
3.5.6. Molecular Dynamics
3.6. Statistical Analysis
4. Conclusions
Author Contributions
Funding
Institutional Review Board Statement
Informed Consent Statement
Data Availability Statement
Acknowledgments
Conflicts of Interest
References
- Índice de Desperdicio de Alimentos 2021|UNEP—UN Environment Programme. Available online: https://www.unep.org/es/resources/informe/indice-de-desperdicio-de-alimentos-2021 (accessed on 14 December 2025).
- Patiño, B.; Medina, Á.; Doménech, M.; González-Jaén, M.T.; Jiménez, M.; Vázquez, C. Polymerase Chain Reaction (PCR) Identification of Penicillium Brevicompactum, a Grape Contaminant and Mycophenolic Acid Producer. Food Addit. Contam. 2007, 24, 165–172. [Google Scholar] [CrossRef][Green Version]
- Ndagijimana, M.; Chaves-López, C.; Corsetti, A.; Tofalo, R.; Sergi, M.; Paparella, A.; Guerzoni, M.E.; Suzzi, G. Growth and Metabolites Production by Penicillium Brevicompactum in Yoghurt. Int. J. Food Microbiol. 2008, 127, 276–283. [Google Scholar] [CrossRef]
- Overy, D.P.; Frisvad, J.C. Mycotoxin Production and Postharvest Storage Rot of Ginger (Zingiber Officinale) by Penicillium Brevicompactum. J. Food Prot. 2005, 68, 607–609. [Google Scholar] [CrossRef] [PubMed]
- Yu, L.; Qiao, N.; Zhao, J.; Zhang, H.; Tian, F.; Zhai, Q.; Chen, W. Postharvest Control of Penicillium Expansum in Fruits: A Review. Food Biosci. 2020, 36, 100633. [Google Scholar] [CrossRef]
- Luciano-Rosario, D.; Keller, N.P.; Jurick, W.M. Penicillium Expansum: Biology, Omics, and Management Tools for a Global Postharvest Pathogen Causing Blue Mould of Pome Fruit. Mol. Plant Pathol. 2020, 21, 1391–1404. [Google Scholar] [CrossRef] [PubMed]
- Sharma, A.; Kumar, V.; Thukral, A.K.; Bhardwaj, R. Responses of Plants to Pesticide Toxicity: An Overview. Planta Daninha 2019, 37, e019184291. [Google Scholar] [CrossRef]
- Alengebawy, A.; Abdelkhalek, S.T.; Qureshi, S.R.; Wang, M.Q. Heavy Metals and Pesticides Toxicity in Agricultural Soil and Plants: Ecological Risks and Human Health Implications. Toxics 2021, 9, 42. [Google Scholar] [CrossRef]
- Mokhtarnejad, L.; Farzanehj, M. The Effect of Thymol and Carvacrol Rich-Plant Essential Oils on Controlling Postharvest Decay Molds in Orange Fruit. Adv. Hortic. Sci. 2024, 38, 169–176. [Google Scholar] [CrossRef]
- Da Silva, A.M.; Terao, D.; Vilela, E.S.D.; De Queiroz, S.C.N.; Maia, A.H.N.; Fracarolli, J.A. Essential Oils on the Control of Postharvest Diseases of Papaya. An. Acad. Bras. Cienc. 2025, 97, e20240770. [Google Scholar] [CrossRef]
- Kumar Pandey, V.; Shams, R.; Singh, R.; Dar, A.H.; Pandiselvam, R.; Rusu, A.V.; Trif, M. A Comprehensive Review on Clove (Caryophyllus aromaticus L.) Essential Oil and Its Significance in the Formulation of Edible Coatings for Potential Food Applications. Front. Nutr. 2022, 9, 987674. [Google Scholar] [CrossRef]
- Giménez-Santamarina, S.; Torres-Pagan, N.; Larran, S.; Roselló, J.; Santamarina, M.P. Clove Essential Oil and Eugenol as Natural Antifungal Agents to Reduce Postharvest Losses in Melon (Cucumis melo). Int. J. Mol. Sci. 2025, 26, 9603. [Google Scholar] [CrossRef] [PubMed]
- Yingprasert, W.; Matan, N.; Matan, N. Effects of Surface Treatment with Cinnamon Oil and Clove Oil on Mold Resistance and Physical Properties of Rubberwood Particleboards. Eur. J. Wood Wood Prod. 2015, 73, 103–109. [Google Scholar] [CrossRef]
- Peralta-Ruiz, Y.; Grande Tovar, C.; Sinning-Mangonez, A.; Bermont, D.; Pérez Cordero, A.; Paparella, A.; Chaves-López, C. Colletotrichum Gloesporioides Inhibition Using Chitosan-Ruta Graveolens L Essential Oil Coatings: Studies In Vitro and In Situ on Carica Papaya Fruit. Int. J. Food Microbiol. 2020, 326, 108649. [Google Scholar] [CrossRef] [PubMed]
- Liu, Q.; Li, L.; Yang, Z.; Xiong, X.; Song, Q.; Li, B.; Zou, H.; Zhang, L.; Liu, T. Antifungal Effect of Oregano Essential Oil Against Penicillium Expansum on Pyrus Sinkiangensis. J. Fungi 2024, 10, 752. [Google Scholar] [CrossRef]
- Ji, Y.; Hu, W.; Guan, Y.; Saren, G. Effects of Plant Essential Oil Treatment on the Growth of Pathogenic Fungi and the Activity of Defense-Related Enzymes of Fungi-Inoculated Blueberry. Horticulturae 2024, 10, 318. [Google Scholar] [CrossRef]
- Mrvová, M.; Medo, J.; Lakatošová, J.; Barboráková, Z.; Golian, M.; Mašková, Z.; Tančinová, D. Vapor-Phase Essential Oils as Antifungal Agents against Penicillium Olsonii Causing Postharvest Cherry Tomato Rot. Foods 2024, 13, 3202. [Google Scholar] [CrossRef]
- Wang, K.; Ngea, G.L.N.; Godana, E.A.; Shi, Y.; Lanhuang, B.; Zhang, X.; Zhao, L.; Yang, Q.; Wang, S.; Zhang, H. Recent Advances in Penicillium Expansum Infection Mechanisms and Current Methods in Controlling P. expansum in Postharvest Apples. Crit. Rev. Food Sci. Nutr. 2023, 63, 2598–2611. [Google Scholar] [CrossRef]
- Magri, A.; Curci, M.; Battaglia, V.; Fiorentino, A.; Petriccione, M. Essential Oils in Postharvest Treatment against Microbial Spoilage of the Rosaceae Family Fruits. AppliedChem 2023, 3, 196–216. [Google Scholar] [CrossRef]
- Lakshmayya, N.S.V.; Mishra, A.K.; Mohanta, Y.K.; Panda, J.; Naik, B.; Mishra, B.; Varma, R.S. Essential Oils-Based Nano-Emulsion System for Food Safety and Preservation: Current Status and Future Prospects. Biocatal. Agric. Biotechnol. 2023, 53, 102897. [Google Scholar] [CrossRef]
- Sama-ae, I.; Pattaranggoon, N.C.; Tedasen, A. In Silico Prediction of Antifungal Compounds from Natural Sources towards Lanosterol 14-Alpha Demethylase (CYP51) Using Molecular Docking and Molecular Dynamic Simulation. J. Mol. Graph. Model. 2023, 121, 108435. [Google Scholar] [CrossRef]
- Ahlawat, V.; Sura, K.; Singh, B.; Dangi, M.; Chhillar, A.K. Bioinformatics Approaches in the Development of Antifungal Therapeutics and Vaccines. Curr. Genom. 2024, 25, 323–333. [Google Scholar] [CrossRef]
- Yuan, Y.; Han, R.; Cao, Q.; Yu, J.; Mao, J.; Zhang, T.; Wang, S.; Niu, Y.; Liu, D. Pharmacophore-Based Virtual Screening of Novel Inhibitors and Docking Analysis for CYP51A from Penicillium Italicum. Mar. Drugs 2017, 15, 107. [Google Scholar] [CrossRef]
- Ou-Ani, O.; Moujane, S.; Oucheikh, L.; Youssefi, Y.; Znini, M.; Chebabe, D.; Oubair, A.; Mabrouk, E. Chemical Composition, In Vitro Antifungal Activity, Molecular Docking and Molecular Dynamics Simulation Studies of the Essential Oil of Ballota Hirsuta. J. Biol. Act. Prod. Nat. 2023, 13, 27–48. [Google Scholar] [CrossRef]
- Brain, L.; Bleackley, M.; Doblin, M.S.; Anderson, M. Fungal Chitin Synthases: Structure, Function, and Regulation. J. Fungi 2025, 11, 796. [Google Scholar] [CrossRef] [PubMed]
- Martínez, J.P.; Falomir, M.P.; Gozalbo, D. Chitin: A Structural Biopolysaccharide with Multiple Applications. In Encyclopedia of Life Sciences; John Wiley & Sons: Hoboken, NJ, USA, 2014. [Google Scholar] [CrossRef]
- Yang, J.; Zhang, K.Q. Chitin Synthesis and Degradation in Fungi: Biology and Enzymes. Adv. Exp. Med. Biol. 2019, 1142, 153–167. [Google Scholar] [CrossRef] [PubMed]
- Ruiz-Herrera, J.; Manuel González-Prieto, J.; Ruiz-Medrano, R. Evolution and Phylogenetic Relationships of Chitin Synthases from Yeasts and Fungi. FEMS Yeast Res. 2002, 1, 247–256. [Google Scholar] [CrossRef][Green Version]
- Kulkarni, S.A.; Sellamuthu, P.S.; Anitha, D.P.M.; Madhavan, T. In Vitro and in Silico Evaluation of Antifungal Activity of Cassia (Cinnamomum cassia) and Holy Basil (Ocimum tenuiflorum) Essential Oils for the Control of Anthracnose and Crown-Rot Postharvest Diseases of Banana Fruits. Chem. Pap. 2021, 75, 2043–2057. [Google Scholar] [CrossRef]
- Bystrova, E.; Bogomolova, E.; Panina, L.; Bulianitsa, A.; Kurochkin, V. Fungal Colony Patterning as an Example of Biological Self-Organization. In Unifying Themes in Complex Systems IV; Springer: Berlin/Heidelberg, Germany, 2008; pp. 139–148. [Google Scholar] [CrossRef]
- Castillo-Díaz, Y.A.; Grande-Tovar, C.D.; Castillo-Díaz, Y.A.; Grande-Tovar, C.D. Essential Oil of Clavo (Syzygium aromaticum) as a Biocontrol Agent for the Phytopathogenic Fough Fungi Penicillium Brevicompactum and Penicillium Expansum. In Proceedings of the 5th International Electronic Conference on Foods, Online, 25 October 2024. [Google Scholar]
- Grande-Tovar, C.D.; Chaves-Lopez, C.; Viuda-Martos, M.; Serio, A.; Delgado-Ospina, J.; Perez-Alvarez, J.A.; Ospina, N.; la Tora, S.; Palmieri, S.; Paparella, A. Sub-Lethal Concentrations of Colombian Austroeupatorium Inulifolium (H.B.K.) Essential Oil and Its Effect on Fungal Growth and the Production of Enzymes. Ind. Crops Prod. 2016, 87, 315–323. [Google Scholar] [CrossRef]
- Robbins, N.; Caplan, T.; Cowen, L.E. Molecular Evolution of Antifungal Drug Resistance. Annu. Rev. Microbiol. 2017, 71, 753–775. [Google Scholar] [CrossRef]
- Berman, J.; Krysan, D.J. Drug Resistance and Tolerance in Fungi. Nat. Rev. Microbiol. 2020, 18, 319–331. [Google Scholar] [CrossRef]
- Gow, N.A.R.; Latge, J.-P.; Munro, C.A. The Fungal Cell Wall: Structure, Biosynthesis, and Function. Microbiol. Spectr. 2017, 5, 28513415. [Google Scholar] [CrossRef] [PubMed]
- Lee, Y.; Puumala, E.; Robbins, N.; Cowen, L.E. Antifungal Drug Resistance: Molecular Mechanisms in Candida Albicans and Beyond. Chem. Rev. 2020, 121, 3390–3411. [Google Scholar] [CrossRef] [PubMed]
- Leiva-Mora, M.; Bustillos, D.; Arteaga, C.; Hidalgo, K.; Guevara-Freire, D.; López-Hernández, O.; Saa, L.R.; Padilla, P.S.; Bustillos, A. Antifungal Mechanisms of Plant Essential Oils: A Comprehensive Literature Review for Biofungicide Development. Agriculture 2025, 15, 2303. [Google Scholar] [CrossRef]
- Tian, F.; Woo, S.Y.; Lee, S.Y.; Park, S.B.; Zheng, Y.; Chun, H.S. Antifungal Activity of Essential Oil and Plant-Derived Natural Compounds against Aspergillus Flavus. Antibiotics 2022, 11, 1727. [Google Scholar] [CrossRef]
- Zhao, F.; Li, Q.; Wu, H.; Huang, J.; Ju, J. Synergistic Antifungal Mechanism of Effective Components from Essential Oil against Penicillium Roqueforti. Eng. Microbiol. 2023, 3, 100057. [Google Scholar] [CrossRef]
- Nazzaro, F.; Fratianni, F.; Coppola, R.; De Feo, V. Essential Oils and Antifungal Activity. Pharmaceuticals 2017, 10, 86. [Google Scholar] [CrossRef]
- Rao, A.; Zhang, Y.; Muend, S.; Rao, R. Mechanism of Antifungal Activity of Terpenoid Phenols Resembles Calcium Stress and Inhibition of the TOR Pathway. Antimicrob. Agents Chemother. 2010, 54, 5062–5069. [Google Scholar] [CrossRef]
- Ahmad, A.; Khan, A.; Manzoor, N. Reversal of Efflux Mediated Antifungal Resistance Underlies Synergistic Activity of Two Monoterpenes with Fluconazole. Eur. J. Pharm. Sci. 2013, 48, 80–86. [Google Scholar] [CrossRef]
- Seto-Young, D.; Monk, B.; Mason, A.B.; Perlin, D.S. Exploring an Antifungal Target in the Plasma Membrane H+-ATPase of Fungi. Biochim. Biophys. Acta (BBA)-Biomembr. 1997, 1326, 249–256. [Google Scholar] [CrossRef]
- Mena Palacios, C.; Silva López, B.; Medina, A. Composición Química y Actividad Biológica de Los Aceites Esenciales de Lamiaceas, Asteraceas, Vervenaceas: Una Revisión. InfoANALÍTICA 2020, 8, 48–69. [Google Scholar] [CrossRef]
- Adams, R.P. Identification of Essential Oil Components by Gas Chromatography/Mass Spectrometry; Allured Business Media: Carol Steam, IL, USA, 2012. [Google Scholar]
- Linstrom, P.J.; Mallard, W.G. The NIST Chemistry WebBook: A Chemical Data Resource on the Internet. J. Chem. Eng. Data 2001, 46, 1059–1063. [Google Scholar] [CrossRef]
- Tischer, J.S.; Possan, H.; Luiz, J.; Malagutti, N.B.; Martello, R.; Valério, A.; Dalmagro, J.; de Oliveira, D.; Oliveira, J.V. Synthesis of Eugenyl Acetate through Heterogeneous Catalysis. J. Essent. Oil Res. 2019, 31, 312–318. [Google Scholar] [CrossRef]
- Bezerra, C.F.; de Geraldo Alencar Júnior, J.; de Lima Honorato, R.; dos Lucas Santos, A.T.; da Pereira Silva, J.C.; da Gusmão Silva, T.; de Sampaio Freitas, T.; Fonseca Bezerra, M.C.; Alves Borges Leal, A.L.; Sales, D.L.; et al. Antifungal Effect of the Liposome Encapsulation of the Trans- Caryophylene and Its Association with Fluconazole. Chem. Biol. Interact. 2023, 373, 110377. [Google Scholar] [CrossRef] [PubMed]
- Dahham, S.S.; Tabana, Y.M.; Iqbal, M.A.; Ahamed, M.B.K.; Ezzat, M.O.; Majid, A.S.A.; Majid, A.M.S.A. The Anticancer, Antioxidant and Antimicrobial Properties of the Sesquiterpene β-Caryophyllene from the Essential Oil of Aquilaria Crassna. Molecules 2015, 20, 11808–11829. [Google Scholar] [CrossRef] [PubMed]
- Dalavaye, N.; Nicholas, M.; Pillai, M.; Erridge, S.; Sodergen, M.H. The Clinical Translation of α-Humulene—A Scoping Review. Planta Med. 2024, 90, 664–674. [Google Scholar] [CrossRef] [PubMed]
- Li, W.; Liu, C.; Deng, J.; Tang, J.; Jiang, P.; Ma, L.; Zeng, X. Research on Properties of Polyvinyl Alcohol Antifungal Film Based on Clove Essential Oil Nano-Microcapsule. J. Comput. Theor. Nanosci. 2017, 14, 2981–2985. [Google Scholar] [CrossRef]
- Linstrom, P.J.; Mallard, W.G. (Eds.) NIST Chemistry WebBook, NIST Standard Reference Database No. 69; National Institute of Standards and Technology: Gaithersburg, MD, USA, 2026. [Google Scholar]
- Mugao, L. Factors Influencing Yield, Chemical Composition and Efficacy of Essential Oils. Int. J. Multidiscip. Res. Growth Eval. 2024, 5, 169–178. [Google Scholar] [CrossRef]
- Said, M.M.; Rabo, M.M.A. Neuroprotective Effects of Eugenol against Aluminiuminduced Toxicity in the Rat Brain. Arh. Hig. Rada Toksikol. 2017, 68, 27–37. [Google Scholar] [CrossRef]
- Schmitt, D.; Levy, R.; Carroll, B. Toxicological Evaluation of β-Caryophyllene Oil: Subchronic Toxicity in Rats. Int. J. Toxicol. 2016, 35, 558–567. [Google Scholar] [CrossRef]
- Jumper, J.; Evans, R.; Pritzel, A.; Green, T.; Figurnov, M.; Ronneberger, O.; Tunyasuvunakool, K.; Bates, R.; Žídek, A.; Potapenko, A.; et al. Highly Accurate Protein Structure Prediction with AlphaFold. Nature 2021, 596, 583–589. [Google Scholar] [CrossRef]
- Chitin Synthase-Penicillium Oxalicum (Strain 114-2/CGMCC 5302) (Penicillium Decumbens)|UniProtKB|UniProt. Available online: https://www.uniprot.org/uniprotkb/S8B6C7/entry (accessed on 4 July 2025).
- Biasini, M.; Bienert, S.; Waterhouse, A.; Arnold, K.; Studer, G.; Schmidt, T.; Kiefer, F.; Cassarino, T.G.; Bertoni, M.; Bordoli, L.; et al. SWISS-MODEL: Modelling Protein Tertiary and Quaternary Structure Using Evolutionary Information. Nucleic Acids Res. 2014, 42, W252–W258. [Google Scholar] [CrossRef]
- NEDD8-Conjugating Enzyme UBC12-Aspergillus Bombycis|Genomic Coordinates|UniProtKB|UniProt. Available online: https://www.uniprot.org/uniprotkb/A0A1F8A0N4/entry#names_and_taxonomy (accessed on 4 July 2025).
- Balasco, N.; Esposito, L.; De Simone, A.; Vitagliano, L. Local Backbone Geometry Plays a Critical Role in Determining Conformational Preferences of Amino Acid Residues in Proteins. Biomolecules 2022, 12, 1184. [Google Scholar] [CrossRef]
- Park, S.W.; Lee, B.H.; Song, S.H.; Kim, M.K. Revisiting the Ramachandran Plot Based on Statistical Analysis of Static and Dynamic Characteristics of Protein Structures. J. Struct. Biol. 2023, 215, 107939. [Google Scholar] [CrossRef] [PubMed]
- Kumar, M.; Rathore, R.S. RamPlot: A Webserver to Draw 2D, 3D and Assorted Ramachandran (φ, ψ) Maps. J. Appl. Crystallogr. 2025, 58, 630–636. [Google Scholar] [CrossRef]
- Chen, D.D.; Wang, Z.B.; Wang, L.X.; Zhao, P.; Yun, C.H.; Bai, L. Structure, Catalysis, Chitin Transport, and Selective Inhibition of Chitin Synthase. Nat. Commun. 2023, 14, 4776. [Google Scholar] [CrossRef] [PubMed]
- Haro-González, J.N.; Barbosa-Nuñez, J.A.; Castillo-Herrera, G.A.; Estarrón-Espinosa, M.; Herrera-Rodríguez, S.E.; Espinosa-Andrews, H.; Álvarez, Á.H.; Martínez-Velázquez, M. Clove Essential Oil and Its Major Component, Eugenol: A Comparative Study of Their in Vitro Antioxidant and Anticancer Properties. Nat. Prod. Res. 2024, 39, 5395–5402. [Google Scholar] [CrossRef]
- Prejanò, M.; Alberto, M.E.; Russo, N.; Toscano, M.; Marino, T. The Effects of the Metal Ion Substitution into the Active Site of Metalloenzymes: A Theoretical Insight on Some Selected Cases. Catalysts 2020, 10, 1038. [Google Scholar] [CrossRef]
- Carter-Fenk, K.; Liu, M.; Pujal, L.; Loipersberger, M.; Tsanai, M.; Vernon, R.M.; Forman-Kay, J.D.; Head-Gordon, M.; Heidar-Zadeh, F.; Head-Gordon, T. The Energetic Origins of Pi-Pi Contacts in Proteins. J. Am. Chem. Soc. 2023, 145, 24836–24851. [Google Scholar] [CrossRef]
- Donald, J.E.; Kulp, D.W.; DeGrado, W.F. Salt Bridges: Geometrically Specific, Designable Interactions. Proteins Struct. Funct. Bioinform. 2011, 79, 898–915. [Google Scholar] [CrossRef]
- Du, X.; Li, Y.; Xia, Y.L.; Ai, S.M.; Liang, J.; Sang, P.; Ji, X.L.; Liu, S.Q. Insights into Protein–Ligand Interactions: Mechanisms, Models, and Methods. Int. J. Mol. Sci. 2016, 17, 144. [Google Scholar] [CrossRef]
- Abhishek, S.; Deeksha, W.; Nethravathi, K.R.; Davari, M.D.; Rajakumara, E. Allosteric Crosstalk in Modular Proteins: Function Fine-Tuning and Drug Design. Comput. Struct. Biotechnol. J. 2023, 21, 5003–5015. [Google Scholar] [CrossRef]
- Zhang, Y.H.; Yang, S.S.; Zhang, Q.; Zhang, T.T.; Zhang, T.Y.; Zhou, B.H.; Zhou, L. Discovery of N-Phenylpropiolamide as a Novel Succinate Dehydrogenase Inhibitor Scaffold with Broad-Spectrum Antifungal Activity on Phytopathogenic Fungi. J. Agric. Food Chem. 2023, 71, 3681–3693. [Google Scholar] [CrossRef] [PubMed]
- Ru, Q.; Huang, Y.; Jin, Z.; Yu, D.; Fu, Z.; Tian, J.; Guo, M.; Li, X.; Yang, M.; Luo, J. Antifungal Activity and Inhibitory Mechanism of Essential Oil from Fresh and Fallen Leaves of Cinnamomum camphora (L.) Presl against Zearalenone-Producing Fusarium Graminearum. LWT 2025, 231, 118331. [Google Scholar] [CrossRef]
- Warren, G.L.; Andrews, C.W.; Capelli, A.M.; Clarke, B.; LaLonde, J.; Lambert, M.H.; Lindvall, M.; Nevins, N.; Semus, S.F.; Senger, S.; et al. A Critical Assessment of Docking Programs and Scoring Functions. J. Med. Chem. 2005, 49, 5912–5931. [Google Scholar] [CrossRef] [PubMed]
- Li, Y.; Han, L.; Liu, Z.; Wang, R. Comparative Assessment of Scoring Functions on an Updated Benchmark: 2. Evaluation Methods and General Results. J. Chem. Inf. Model. 2014, 54, 1717–1736. [Google Scholar] [CrossRef]
- Zhao, X.; Liu, Y.; Liu, X.; Jiang, J. Comparative Transcriptome Profiling of Two Tomato Genotypes in Response to Potassium-Deficiency Stress. Int. J. Mol. Sci. 2018, 19, 2402. [Google Scholar] [CrossRef] [PubMed]
- Guterres, H.; Im, W. Improving Protein-Ligand Docking Results with High-Throughput Molecular Dynamics Simulations. J. Chem. Inf. Model. 2020, 60, 2189–2198. [Google Scholar] [CrossRef]
- Genheden, S.; Ryde, U. The MM/PBSA and MM/GBSA Methods to Estimate Ligand-Binding Affinities. Expert Opin. Drug Discov. 2015, 10, 449–461. [Google Scholar] [CrossRef]
- Muhmood, M.A.; Safi, F.; Ahmed, M.M.; Almeani, S.A.L. Syzygium Aromaticum Phytoconstituents Target SARS-CoV-2: Integrating Molecular Docking, Dynamics, Pharmacokinetics, and MiR-21 Rs1292037 Genotyping. Viruses 2025, 17, 951. [Google Scholar] [CrossRef]
- Wankowicz, S.A.; de Oliveira, S.H.P.; Hogan, D.W.; van den Bedem, H.; Fraser, J.S. Ligand Binding Remodels Protein Side-Chain Conformational Heterogeneity. eLife 2022, 11, e74114. [Google Scholar] [CrossRef]
- Stadler, A.M.; Pellegrini, E.; Johnson, M.; Fitter, J.; Zaccai, G. Dynamics-Stability Relationships in Apo- and Holomyoglobin: A Combined Neutron Scattering and Molecular Dynamics Simulations Study. Biophys. J. 2012, 102, 351–359. [Google Scholar] [CrossRef][Green Version]
- Fusani, L.; Palmer, D.S.; Somers, D.O.; Wall, I.D. Exploring Ligand Stability in Protein Crystal Structures Using Binding Pose Metadynamics. J. Chem. Inf. Model. 2020, 60, 1528–1539. [Google Scholar] [CrossRef] [PubMed]
- Pan, Y.; Mader, M.M. Principles of Kinase Allosteric Inhibition and Pocket Validation. J. Med. Chem. 2022, 65, 5288–5299. [Google Scholar] [CrossRef] [PubMed]
- Lobanov, M.Y.; Bogatyreva, N.S.; Galzitskaya, O.V. Radius of Gyration as an Indicator of Protein Structure Compactness. Mol. Biol. 2008, 42, 623–628. [Google Scholar] [CrossRef]
- Chandra Babu, T.M.; Rajesh, S.S.; Bhaskar, B.V.; Devi, S.; Rammohan, A.; Sivaraman, T.; Rajendra, W. Molecular Docking, Molecular Dynamics Simulation, Biological Evaluation and 2D QSAR Analysis of Flavonoids from Syzygium Alternifolium as Potent Anti-Helicobacter Pylori Agents. RSC Adv. 2017, 7, 18277–18292. [Google Scholar] [CrossRef]
- Li, H.; Cao, Z.; Hu, G.; Zhao, L.; Wang, C.; Wang, J. Ligand-Induced Structural Changes Analysis of Ribose-Binding Protein as Studied by Molecular Dynamics Simulations. Technol. Health Care 2021, 29, 103–114. [Google Scholar] [CrossRef]
- Oluyemi, W.M.; Samuel, B.B.; Adewumi, A.T.; Adekunle, Y.A.; Soliman, M.E.S.; Krenn, L. An Allosteric Inhibitory Potential of Triterpenes from Combretum Racemosum on the Structural and Functional Dynamics of Plasmodium Falciparum Lactate Dehydrogenase Binding Landscape. Chem. Biodivers. 2022, 19, e202100646. [Google Scholar] [CrossRef]
- Li, D.D.; Wu, T.T.; Yu, P.; Wang, Z.Z.; Xiao, W.; Jiang, Y.; Zhao, L.G. Molecular Dynamics Analysis of Binding Sites of Epidermal Growth Factor Receptor Kinase Inhibitors. ACS Omega 2020, 5, 16307–16314. [Google Scholar] [CrossRef]
- Espíndola, C. Modeling and Molecular Dynamics Studies of Flavone―DENV E-3 Protein―SWCNT Interaction at the Flavonoid Binding Sites. Viruses 2025, 17, 525. [Google Scholar] [CrossRef]
- Tobi, D.; Bahar, I. Structural Changes Involved in Protein Binding Correlate with Intrinsic Motions of Proteins in the Unbound State. Proc. Natl. Acad. Sci. USA 2005, 102, 18908–18913. [Google Scholar] [CrossRef]
- Yao, X.Q.; Hamelberg, D. Dissecting the Allosteric Fine-Tuning of Enzyme Catalysis. JACS Au 2024, 4, 837–846. [Google Scholar] [CrossRef] [PubMed]
- Abraham, M.J.; Murtola, T.; Schulz, R.; Páll, S.; Smith, J.C.; Hess, B.; Lindah, E. GROMACS: High Performance Molecular Simulations through Multi-Level Parallelism from Laptops to Supercomputers. SoftwareX 2015, 1–2, 19–25. [Google Scholar] [CrossRef]
- Sierra-Hernandez, O.; Saurith-Coronell, O.; Rodríguez-Macías, J.; Márquez, E.; Mora, J.R.; Paz, J.L.; Flores-Sumoza, M.; Mendoza-Mendoza, A.; Flores-Morales, V.; Marrero-Ponce, Y.; et al. In Silico Identification of Potential Clovibactin-like Antibiotics Binding to Unique Cell Wall Precursors in Diverse Gram-Positive Bacterial Strains. Int. J. Mol. Sci. 2025, 26, 1724. [Google Scholar] [CrossRef] [PubMed]
- Wu, X.; Guo, Q.; Li, Q.; Wan, S.; Li, Z.; Zhang, J. Molecular Mechanism Study of EGFR Allosteric Inhibitors Using Molecular Dynamics Simulations and Free Energy Calculations. J. Biomol. Struct. Dyn. 2022, 40, 5848–5857. [Google Scholar] [CrossRef]
- Trott, O.; Olson, A.J. AutoDock Vina: Improving the Speed and Accuracy of Docking with a New Scoring Function, Efficient Optimization, and Multithreading. J. Comput. Chem. 2010, 31, 455–461. [Google Scholar] [CrossRef]
- Zhu, R.; Wu, C.; Zha, J.; Lu, S.; Zhang, J. Decoding Allosteric Landscapes: Computational Methodologies for Enzyme Modulation and Drug Discovery. RSC Chem. Biol. 2025, 6, 539–554. [Google Scholar] [CrossRef]
- Lin, A.; Zhang, Z.; Jiang, A.; Li, K.; Shi, Y.; Yang, H.; Zhang, J.; Liu, R.; Wang, Y.; Glaviano, A.; et al. Computational Approaches to Druggable Site Identification: Current Status and Future Perspective. Acta Pharm. Sin. B 2025, 16, 62–92. [Google Scholar] [CrossRef]
- Byun, J.A.; VanSchouwen, B.; Akimoto, M.; Melacini, G. Allosteric Inhibition Explained through Conformational Ensembles Sampling Distinct “Mixed” States. Comput. Struct. Biotechnol. J. 2020, 18, 3803–3818. [Google Scholar] [CrossRef]
- Schneider, C.A.; Rasband, W.S.; Eliceiri, K.W. NIH Image to ImageJ: 25 Years of Image Analysis. Nat. Methods 2012, 9, 671–675. [Google Scholar] [CrossRef]
- Zwietering, M.H.; Jongenburger, I.; Rombouts, F.M.; Van’t Riet, K. Modeling of the Bacterial Growth Curve. Appl. Environ. Microbiol. 1990, 56, 1875–1881. [Google Scholar] [CrossRef]
- Chaves-Lopez, C.; Nguyen, H.N.; Oliveira, R.C.; Nadres, E.T.; Paparella, A.; Rodrigues, D.F. A Morphological, Enzymatic and Metabolic Approach to Elucidate Apoptotic-like Cell Death in Fungi Exposed to h- and α-Molybdenum Trioxide Nanoparticles. Nanoscale 2018, 10, 20702–20716. [Google Scholar] [CrossRef]
- Oghaz, N.A.; Hatamzadeh, S.; Rahnama, K.; Moghaddam, M.K.; Vaziee, S.; Tazik, Z. Adjustment and Quantification of UV-Visible Spectrophotometry Analysis: An Accurate and Rapid Method for Estimating Cladosporium spp. Spore Concentration in a Water Suspension. World J. Microbiol. Biotechnol. 2022, 38, 183. [Google Scholar] [CrossRef] [PubMed]
- Castro, J.I.; Felipe, A.; Navas, N.; Valencia-Llano, C.-H.; Tenorio, D.L.; Grande-Tovar, C.D.; Castro, J.; Niebles, A.; Valencia-Llano, C.-H.; Lopez, D.; et al. Polylactic Acid and Polycaprolactone Nanocomposites for Subdermal Tissue Regeneration. Prospectiva 2024, 22, 2024. [Google Scholar] [CrossRef]
- Zhong, H.A. ADMET Properties: Overview and Current Topics. In Drug Design: Principles and Applications; Springer: Cham, Switzerland, 2017; pp. 113–133. [Google Scholar] [CrossRef]
- Banerjee, P.; Kemmler, E.; Dunkel, M.; Preissner, R. ProTox 3.0: A Webserver for the Prediction of Toxicity of Chemicals. Nucleic Acids Res. 2024, 52, W513–W520. [Google Scholar] [CrossRef] [PubMed]
- The United Nations Economic Commission for Europe. Globally Harmonized System of Classification and Labelling of Chemicals (GHS): Tenth Revised Edition; United Nations Publications: New York, NY, USA, 2023. [Google Scholar] [CrossRef]
- Ren, Z.; Chhetri, A.; Guan, Z.; Suo, Y.; Yokoyama, K.; Lee, S.Y. Structural Basis for Inhibition and Regulation of a Chitin Synthase from Candida Albicans. Nat. Struct. Mol. Biol. 2022, 29, 653–664. [Google Scholar] [CrossRef]
- Wu, Y.; Zhang, M.; Yang, Y.; Ding, X.; Yang, P.; Huang, K.; Hu, X.; Zhang, M.; Liu, X.; Yu, H. Structures and Mechanism of Chitin Synthase and Its Inhibition by Antifungal Drug Nikkomycin Z. Cell Discov. 2022, 8, 129. [Google Scholar] [CrossRef]
- Bender, A.; Cortes-Ciriano, I. Artificial Intelligence in Drug Discovery: What Is Realistic, What Are Illusions? Part 2: A Discussion of Chemical and Biological Data. Drug Discov. Today 2021, 26, 1040–1052. [Google Scholar] [CrossRef]
- Langjae, R.; Bussarawit, S.; Yuenyongsawad, S.; Ingkaninan, K.; Plubrukarn, A. Acetylcholinesterase-Inhibiting Steroidal Alkaloid from the Sponge Corticium sp. Steroids 2007, 72, 682–685. [Google Scholar] [CrossRef]
- Ranganathan, S.; Ampasala, D.R.; Palaka, B.K.; Ilavarasi, A.V.; Patidar, I.; Poovadan, L.P.; Sapam, T.D. In Silico Binding Profile Analysis and In Vitro Investigation on Chitin Synthase Substrate and Inhibitors from Maize Stem Borer, Chilo Partellus. Curr. Comput. Aided Drug Des. 2020, 17, 881–895. [Google Scholar] [CrossRef]
- Mirdita, M.; Schütze, K.; Moriwaki, Y.; Heo, L.; Ovchinnikov, S.; Steinegger, M. ColabFold: Making Protein Folding Accessible to All. Nat. Methods 2022, 19, 679–682. [Google Scholar] [CrossRef]
- Schwede, T.; Kopp, J.; Guex, N.; Peitsch, M.C. SWISS-MODEL: An Automated Protein Homology-Modeling Server. Nucleic Acids Res. 2003, 31, 3381–3385. [Google Scholar] [CrossRef]
- Afonine, P.V.; Poon, B.K.; Read, R.J.; Sobolev, O.V.; Terwilliger, T.C.; Urzhumtsev, A.; Adams, P.D. Real-Space Refinement in PHENIX for Cryo-EM and Crystallography. Biol. Crystallogr. 2018, 74, 531–544. [Google Scholar] [CrossRef]
- Fiser, A. Template-Based Protein Structure Modeling. Methods Mol. Biol. 2010, 673, 73–94. [Google Scholar] [CrossRef] [PubMed]
- Schrödinger LLC. The PyMOL Molecular Graphics System; Version 3.0; Schrödinger: New York, NY, USA, 2015. [Google Scholar]
- Hekkelman, M.L.; de Vries, I.; Joosten, R.P.; Perrakis, A. AlphaFill: Enriching AlphaFold Models with Ligands and Cofactors. Nat. Methods 2023, 20, 205–213. [Google Scholar] [CrossRef] [PubMed]
- Kundu, A.; Dutta, A.; Mandal, A.; Negi, L.; Malik, M.; Puramchatwad, R.; Antil, J.; Singh, A.; Rao, U.; Saha, S.; et al. A Comprehensive in Vitro and in Silico Analysis of Nematicidal Action of Essential Oils. Front. Plant Sci. 2021, 11, 614143. [Google Scholar] [CrossRef] [PubMed]
- Hanwell, M.D.; Curtis, D.E.; Lonie, D.C.; Vandermeerschd, T.; Zurek, E.; Hutchison, G.R. Avogadro: An Advanced Semantic Chemical Editor, Visualization, and Analysis Platform. J. Cheminform. 2012, 4, 17. [Google Scholar] [CrossRef]
- Carpenter, J.E.; Weinhold, F. Analysis of the Geometry of the Hydroxymethyl Radical by the “Different Hybrids for Different Spins” Natural Bond Orbital Procedure. J. Mol. Struct. THEOCHEM 1988, 169, 41–62. [Google Scholar] [CrossRef]
- BIOVIA. BIOVIA Discovery Studio Visualizer|Dassault Systèmes. Available online: https://www.3ds.com/products/biovia/discovery-studio/visualization (accessed on 17 April 2025).
- Morris, G.M.; Huey, R.; Lindstrom, W.; Sanner, M.F.; Belew, R.K.; Goodsell, D.S.; Olson, A.J. AutoDock4 and AutoDockTools4: Automated Docking with Selective Receptor Flexibility. J. Comput. Chem. 2009, 30, 2785–2791. [Google Scholar] [CrossRef]
- Liu, Y.; Yang, X.; Gan, J.; Chen, S.; Xiao, Z.X.; Cao, Y. CB-Dock2: Improved Protein-Ligand Blind Docking by Integrating Cavity Detection, Docking and Homologous Template Fitting. Nucleic Acids Res. 2022, 50, W159–W164. [Google Scholar] [CrossRef]
- Krieger, E.; Vriend, G. New Ways to Boost Molecular Dynamics Simulations. J. Comput. Chem. 2015, 36, 996–1007. [Google Scholar] [CrossRef]
- Dickson, C.J.; Madej, B.D.; Skjevik, Å.A.; Betz, R.M.; Teigen, K.; Gould, I.R.; Walker, R.C. Lipid14: The Amber Lipid Force Field. J. Chem. Theory Comput. 2014, 10, 865–879. [Google Scholar] [CrossRef]
- Land, H.; Humble, M.S. YASARA: A Tool to Obtain Structural Guidance in Biocatalytic Investigations. Methods Mol. Biol. 2018, 1685, 43–67. [Google Scholar] [CrossRef]
- Prasasty, V.D.; Istyastono, E.P. Structure-Based Design and Molecular Dynamics Simulations of Pentapeptide AEYTR as a Potential Acetylcholinesterase Inhibitor. Indones. J. Chem. 2020, 20, 953–959. [Google Scholar] [CrossRef]
- Amin, M.R.; Yasmin, F.; Hosen, M.A.; Dey, S.; Mahmud, S.; Saleh, M.A.; Bin Emran, T.; Hasan, I.; Fujii, Y.; Yamada, M.; et al. Synthesis, Antimicrobial, Anticancer, PASS, Molecular Docking, Molecular Dynamic Simulations & Pharmacokinetic Predictions of Some Methyl β-D-Galactopyranoside Analogs. Molecules 2021, 26, 7016. [Google Scholar] [CrossRef]











| Parameters | P. expansum | P. brevicompactum | ||
|---|---|---|---|---|
| Control | Sublethal Concentration of CEO (0.117 µL/mL) | Control | Sublethal Concentration of CEO (0.156 µL/mL) | |
| A (cm) | 2.635 ± 0.003 a | 2.733 ± 0.026 b | 2.620 ± 0.036 a | 2.484 ± 0.022 b |
| µm (cm/days) | 0.355 ± 0.009 a | 0.270 ± 0.021 b | 0.309 ± 0.006 a | 0.198 ± 0.006 b |
| λ (days) | 0.361 ± 0.208 a | 1.595 ± 0.126 b | 0.142 ± 0.032 a | 0.847 ± 0.133 b |
| Fungal Species | % Spore Germination After 24 h | ||
|---|---|---|---|
| P. expansum | Control | MIC (0.156 µL/mL) | Sublethal (0.117 µL/mL) |
| 96.0 ± 2.8 a | 4.0 ± 1.4 b | 4.5 ± 2.1 b | |
| P. brevicompactum | Control | MIC (0.312 µL/mL) | Sublethal (0.156 µL/mL) |
| 87.5 ± 2.1 a | 4.5 ± 6.4 b | 5.5 ± 2.1 b | |
| Chemical Group | Compound | Kovats Index | Retention Times (RT) | Relative Amount (%) | |
|---|---|---|---|---|---|
| Experimental | Literature | ||||
| Phenols | Eugenol | 1362 | 1356 [45] | 33.0 | 76.5 |
| Esters | Eugenyl acetate | 1519 | 1521 [45] | 38.5 | 17.8 |
| Sesquiterpenes | trans-β-caryophyllene | 1432 | 1419 [52] | 35.5 | 4.0 |
| α-humulene | 1468 | 1454 [45] | 36.8 | 0.5 | |
| sesquiterpenoids | trans-β-caryophyllene oxide | 1596 | 1582 [45] | 40.8 | 0.5 |
| Compound | Tox-Level | CID Pubchem |
|---|---|---|
| UDP-GlcNAc | 6 | 445675 |
| Eugenol | 4 | 3314 |
| Eugenyl acetate | 4 | 7136 |
| trans-β-caryophyllene | 5 | 5281515 |
| α-humulene | 5 | 5281520 |
| trans-β-caryophyllene oxide | 5 | 1742210 |
| Compound | P. expansum | P. brevicompactum | ||
|---|---|---|---|---|
| AS | ABS | AS | ABS | |
| UDP-GlcNAc | −9.5 | - | −9.6 | - |
| Eugenol | −6.5 | −5.1 | −6.0 | −4.8 |
| Eugenyl acetate | −6.5 | −5.2 | −6.5 | −5.3 |
| trans-β-caryophyllene | −7.8 | −5.9 | −7.4 | −6.2 |
| α-humulene | −7.7 | −6.1 | −7.8 | −6.2 |
| trans-β-caryophyllene oxide | −7.9 | −5.9 | −7.2 | −6.1 |
| Complex | Binding Energy (kcal/mol) | Δ Potential Energy (kcal/mol) | Δ Solvation Energy (kcal/mol) | ||
|---|---|---|---|---|---|
| P. expansum | AS | CHS I–UDP-GlcNAc | 167.81 | −201.97 | 369.78 |
| CHS I–trans-β-caryophyllene oxide | 17.56 | −22.54 | 40.11 | ||
| ABS | CHS I–α-humulene | −27.18 | −18.69 | −8.49 | |
| CHS I (alone) | 0.19 | −0.06 | 0.26 | ||
| P. brevicompactum | AS | CHS I–UDP-GlcNAc | 173.54 | −158.65 | 332.18 |
| CHS I–α-humulene | −3.38 | −21.13 | 17.75 | ||
| ABS | CHS I–α-humulene | −24.12 | −26.88 | 2.76 | |
| CHS I (alone) | 9.20 | 8.20 | 1.00 |
| Fungal Species and Active Site (AS) and Allosteric Binding Site (A.B.S) CHS I | Cartesian Coordinates of the Box | Box Size for Each Cartesian Coordinate (Å) | |||||
|---|---|---|---|---|---|---|---|
| Center X | Center Y | Center Z | Size X | Size Y | Size Z | ||
| P. expansum | AS | 184.771 | 156.582 | 157.016 | 30.75 | 36.75 | 30.75 |
| ABS | 184.043 | 162.747 | 205.021 | 45.0 | 38.25 | 26.25 | |
| P. brevicompactum | AS | 184.771 | 156.582 | 157.016 | 30.75 | 36.75 | 30.75 |
| ABS | 184.043 | 162.747 | 205.021 | 45.0 | 38.25 | 26.25 | |
Disclaimer/Publisher’s Note: The statements, opinions and data contained in all publications are solely those of the individual author(s) and contributor(s) and not of MDPI and/or the editor(s). MDPI and/or the editor(s) disclaim responsibility for any injury to people or property resulting from any ideas, methods, instructions or products referred to in the content. |
© 2026 by the authors. Licensee MDPI, Basel, Switzerland. This article is an open access article distributed under the terms and conditions of the Creative Commons Attribution (CC BY) license.
Share and Cite
Castillo, Y.; Márquez Brazón, E.A.; Peralta-Ruiz, Y.; Chaves-López, C.; Saurith-Coronell, O.; Grande-Tovar, C.D. Clove Essential Oil as an Antifungal Agent and Putative Dual-Action Antifungal Mechanism: Experimental Validation and Computational Insights into Orthosteric and Allosteric Modulation of Chitin Synthase I in Penicillium Species. Molecules 2026, 31, 1132. https://doi.org/10.3390/molecules31071132
Castillo Y, Márquez Brazón EA, Peralta-Ruiz Y, Chaves-López C, Saurith-Coronell O, Grande-Tovar CD. Clove Essential Oil as an Antifungal Agent and Putative Dual-Action Antifungal Mechanism: Experimental Validation and Computational Insights into Orthosteric and Allosteric Modulation of Chitin Synthase I in Penicillium Species. Molecules. 2026; 31(7):1132. https://doi.org/10.3390/molecules31071132
Chicago/Turabian StyleCastillo, Yamid, Edgar A. Márquez Brazón, Yeimmy Peralta-Ruiz, Clemencia Chaves-López, Oscar Saurith-Coronell, and Carlos David Grande-Tovar. 2026. "Clove Essential Oil as an Antifungal Agent and Putative Dual-Action Antifungal Mechanism: Experimental Validation and Computational Insights into Orthosteric and Allosteric Modulation of Chitin Synthase I in Penicillium Species" Molecules 31, no. 7: 1132. https://doi.org/10.3390/molecules31071132
APA StyleCastillo, Y., Márquez Brazón, E. A., Peralta-Ruiz, Y., Chaves-López, C., Saurith-Coronell, O., & Grande-Tovar, C. D. (2026). Clove Essential Oil as an Antifungal Agent and Putative Dual-Action Antifungal Mechanism: Experimental Validation and Computational Insights into Orthosteric and Allosteric Modulation of Chitin Synthase I in Penicillium Species. Molecules, 31(7), 1132. https://doi.org/10.3390/molecules31071132

