The Antioxidant Quercetin Affects Mitochondrial Function and Inhibits the Differentiation of Human Preadipocytes
Abstract
1. Introduction
2. Results
2.1. Oxygen Consumption
2.1.1. Routine Respiration
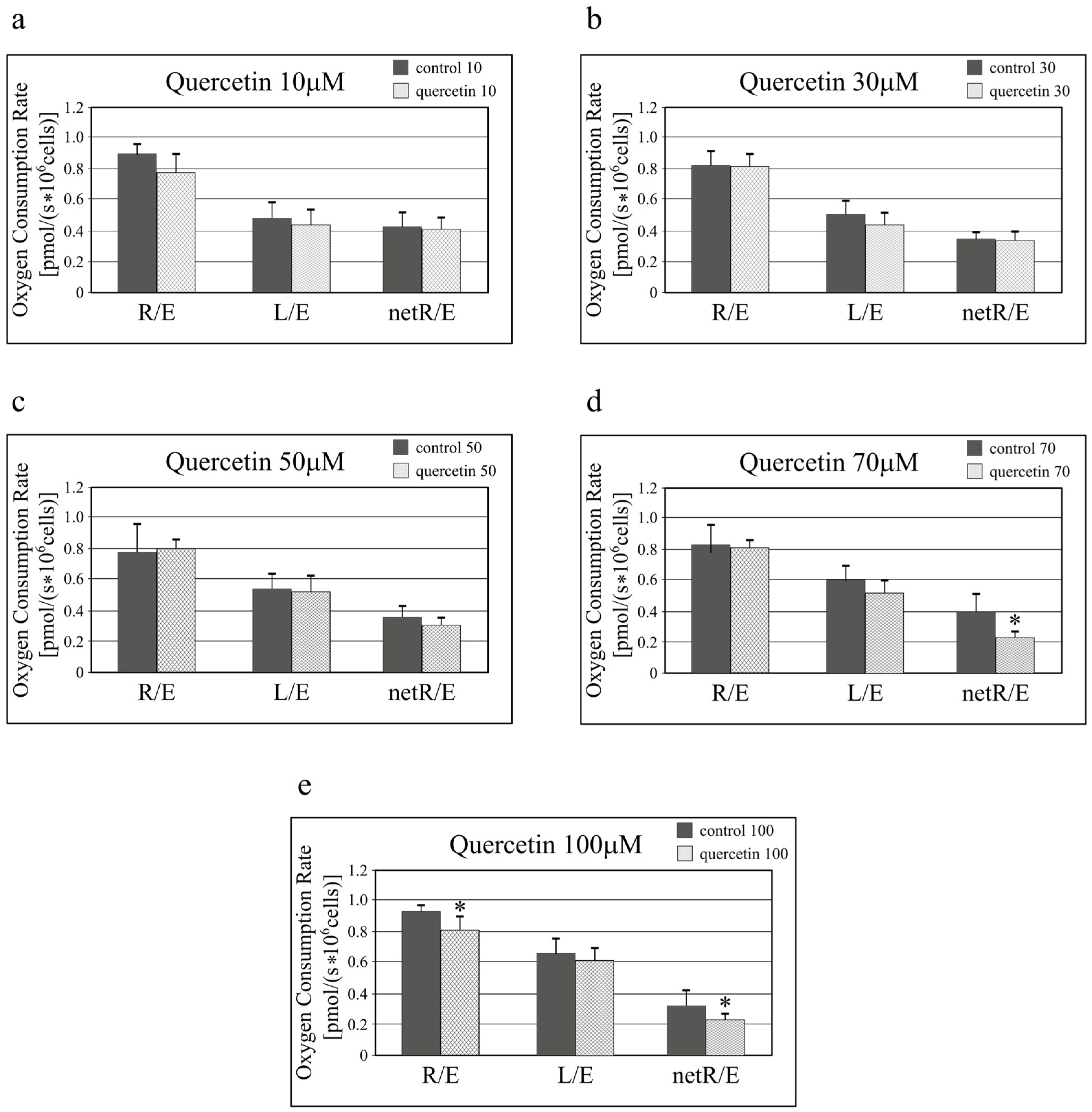
2.1.2. Respiratory Rates
2.2. Intracellular ATP Content
2.3. Mitochondrial Membrane Potential
2.4. Apoptosis Assay
2.4.1. Caspase-9 Activity
2.4.2. Annexin 5
2.5. ROS Generation
2.6. Cell Differentiation
3. Discussion
4. Materials and Methods
4.1. Cells Culture
4.2. Differentiation Procedure
4.3. Oxygen Consumption
4.4. Intracellular ATP Content
4.5. Mitochondrial Membrane Potential
4.6. Caspase-9 Activity
4.7. Apoptosis Assay—Annexin 5
4.8. ROS Generation
4.9. Oil Red O Staining
4.10. Statistical Analysis
5. Conclusions
Supplementary Materials
Author Contributions
Funding
Institutional Review Board Statement
Informed Consent Statement
Data Availability Statement
Conflicts of Interest
References
- Akhlaghi, M.; Ghobadi, S.; Mohammad Hosseini, M.; Gholami, Z.; Mohammadian, F. Flavanols Are Potential Anti-Obesity Agents, a Systematic Review and Meta-Analysis of Controlled Clinical Trials. Nutr. Metab. Cardiovasc. Dis. 2018, 28, 675–690. [Google Scholar] [CrossRef]
- Caballero, B. Humans against Obesity: Who Will Win? In Proceedings of the Advances in Nutrition, Barcelona, Spain, 25–27 September 2019; Oxford University Press: Oxford, UK, 2019; Volume 10, pp. S4–S9. [Google Scholar]
- Zimmet, P.; Alberti, K.G.M.M.; Shaw, J. Global and Societal Implications of the Diabetes Epidemic. Nature 2001, 414, 782–787. [Google Scholar] [CrossRef] [PubMed]
- Medina-Gómez, G. Mitochondria and Endocrine Function of Adipose Tissue. Best Pract. Res. Clin. Endocrinol. Metab. 2012, 26, 791–804. [Google Scholar] [CrossRef] [PubMed]
- Jakab, J.; Miškić, B.; Mikšić, Š.; Juranić, B.; Ćosić, V.; Schwarz, D.; Včev, A. Adipogenesis as a Potential Anti-Obesity Target: A Review of Pharmacological Treatment and Natural Products. Diabetes Metab. Syndr. Obes. 2021, 14, 67–83. [Google Scholar] [CrossRef] [PubMed]
- Spalding, K.L.; Arner, E.; Westermark, P.O.; Bernard, S.; Buchholz, B.A.; Bergmann, O.; Blomqvist, L.; Hoffstedt, J.; Näslund, E.; Britton, T.; et al. Dynamics of Fat Cell Turnover in Humans. Nature 2008, 453, 783–787. [Google Scholar] [CrossRef] [PubMed]
- Song, T.; Kuang, S. Adipocyte Dedifferentiation in Health and Diseases. Clin. Sci. 2019, 133, 2107–2119. [Google Scholar] [CrossRef] [PubMed]
- Lin, X.; Zheng, Y.; Yan, Y.; Deng, H.; Wang, S.; He, Y.; Tian, Y.; Zhang, W.; Teng, H. Polysaccharide-Rich Extract of Potentilla Anserina Ameliorates Nonalcoholic Fatty Liver Disease in Free Fatty Acid-Induced HepG2 Cells and High-Fat/Sugar Diet-Fed Mice. Food Sci. Hum. Wellness 2024, 13, 3351–3360. [Google Scholar] [CrossRef]
- Lyu, Q.; Deng, H.; Wang, S.; El-Seedi, H.; Cao, H.; Chen, L.; Teng, H. Dietary Supplementation with Casein/Cyanidin-3-O-Glucoside Nanoparticles Alters the Gut Microbiota in High-Fat Fed C57BL/6 Mice. Food Chem. 2023, 412, 135494. [Google Scholar] [CrossRef]
- de Mello, A.H.; Costa, A.B.; Engel, J.D.G.; Rezin, G.T. Mitochondrial Dysfunction in Obesity. Life Sci. 2018, 192, 26–32. [Google Scholar] [CrossRef]
- Masschelin, P.M.; Cox, A.R.; Chernis, N.; Hartig, S.M. The Impact of Oxidative Stress on Adipose Tissue Energy Balance. Front. Physiol. 2020, 10, 1638. [Google Scholar] [CrossRef]
- Prasun, P. Mitochondrial Dysfunction in Metabolic Syndrome. Biochim. Biophys. Acta Mol. Basis Dis. 2020, 1866, 165838. [Google Scholar] [CrossRef] [PubMed]
- Bournat, J.C.; Brown, C.W. Mitochondrial Dysfunction in Obesity. Curr. Opin. Endocrinol. Diabetes Obes. 2010, 17, 446–452. [Google Scholar] [CrossRef] [PubMed]
- Boudina, S.; Graham, T.E. Mitochondrial Function/Dysfunction in White Adipose Tissue. Exp. Physiol. 2014, 99, 1168–1178. [Google Scholar] [CrossRef]
- Vankoningsloo, S.; Piens, M.; Lecocq, C.; Gilson, A.; De Pauw, A.; Renard, P.; Demazy, C.; Houbion, A.; Raes, M.; Arnould, T. Mitochondrial Dysfunction Induces Triglyceride Accumulation in 3T3-L1 Cells: Role of Fatty Acid β-Oxidation and Glucose. J. Lipid Res. 2005, 46, 1133–1149. [Google Scholar] [CrossRef] [PubMed]
- Yanovski, S.Z.; Yanovski, J.A. Long-Term Drug Treatment for Obesity: A Systematic and Clinical Review. JAMA 2014, 311, 74–86. [Google Scholar] [CrossRef]
- Lim, S.H.; Lee, H.S.; Han, H.K.; Choi, C.I. Saikosaponin A and D Inhibit Adipogenesis via the AMPK and Mapk Signaling Pathways in 3T3-L1 Adipocytes. Int. J. Mol. Sci. 2021, 22, 11409. [Google Scholar] [CrossRef]
- Dabeek, W.M.; Marra, M.V. Dietary Quercetin and Kaempferol: Bioavailability and Potential Cardiovascular-Related Bioactivity in Humans. Nutrients 2019, 11, 2288. [Google Scholar] [CrossRef]
- Xu, D.; Hu, M.J.; Wang, Y.Q.; Cui, Y.L. Antioxidant Activities of Quercetin and Its Complexes for Medicinal Application. Molecules 2019, 24, 1123. [Google Scholar] [CrossRef]
- Li, Y.; Yao, J.; Han, C.; Yang, J.; Chaudhry, M.T.; Wang, S.; Liu, H.; Yin, Y. Quercetin, Inflammation and Immunity. Nutrients 2016, 8, 167. [Google Scholar] [CrossRef]
- Baqer, S.H.; Al-Shawi, S.G.; Al-Younis, Z.K. Quercetin, the Potential Powerful Flavonoid for Human and Food: A Review. Front. Biosci.—Elite 2024, 16, 30. [Google Scholar] [CrossRef]
- Nguyen, T.L.A.; Bhattacharya, D. Antimicrobial Activity of Quercetin: An Approach to Its Mechanistic Principle. Molecules 2022, 27, 2494. [Google Scholar] [CrossRef] [PubMed]
- Di Petrillo, A.; Orrù, G.; Fais, A.; Fantini, M.C. Quercetin and Its Derivates as Antiviral Potentials: A Comprehensive Review. Phytother. Res. 2022, 36, 266–278. [Google Scholar] [CrossRef] [PubMed]
- Yan, L.; Vaghari-Tabari, M.; Malakoti, F.; Moein, S.; Qujeq, D.; Yousefi, B.; Asemi, Z. Quercetin: An Effective Polyphenol in Alleviating Diabetes and Diabetic Complications. Crit. Rev. Food Sci. Nutr. 2023, 63, 9163–9186. [Google Scholar] [CrossRef] [PubMed]
- Reyes-Farias, M.; Carrasco-Pozo, C. The Anti-Cancer Effect of Quercetin: Molecular Implications in Cancer Metabolism. Int. J. Mol. Sci. 2019, 20, 3177. [Google Scholar] [CrossRef]
- He, L.; Su, Z.; Wang, S. The Anti-Obesity Effects of Polyphenols: A Comprehensive Review of Molecular Mechanisms and Signal Pathways in Regulating Adipocytes. Front. Nutr. 2024, 11, 1393575. [Google Scholar] [CrossRef]
- Zelicha, H.; Kloting, N.; Kaplan, A.; Yaskolka Meir, A.; Rinott, E.; Tsaban, G.; Chassidim, Y.; Bluher, M.; Ceglarek, U.; Isermann, B.; et al. The Effect of High-Polyphenol Mediterranean Diet on Visceral Adiposity: The DIRECT PLUS Randomized Controlled Trial. BMC Med. 2022, 20, 327. [Google Scholar] [CrossRef]
- Hosseini, A.; Razavi, B.M.; Banach, M.; Hosseinzadeh, H. Quercetin and Metabolic Syndrome: A Review. Phytother. Res. 2021, 35, 5352–5364. [Google Scholar] [CrossRef]
- Hsu, C.L.; Yen, G.C. Induction of Cell Apoptosis in 3T3-L1 Pre-Adipocytes by Flavonoids Is Associated with Their Antioxidant Activity. Mol. Nutr. Food Res. 2006, 50, 1072–1079. [Google Scholar] [CrossRef]
- Ahn, J.; Lee, H.; Kim, S.; Park, J.; Ha, T. The Anti-Obesity Effect of Quercetin Is Mediated by the AMPK and MAPK Signaling Pathways. Biochem. Biophys. Res. Commun. 2008, 373, 545–549. [Google Scholar] [CrossRef]
- Seo, M.J.; Lee, Y.J.; Hwang, J.H.; Kim, K.J.; Lee, B.Y. The Inhibitory Effects of Quercetin on Obesity and Obesity-Induced Inflammation by Regulation of MAPK Signaling. J. Nutr. Biochem. 2015, 26, 1308–1316. [Google Scholar] [CrossRef]
- Gnaiger, E. MitoPathways: Respiratory States and Coupling Control Ratios. Mitochondrial Physiol. Netw. 2011, 12, 43–53. [Google Scholar]
- Gnaiger, E.; Renner-Sattler, K. High-Resolution Respirometry and Coupling Control Protocol with Intact Cells: ROUTINE, LEAK, ETS, ROX. Mitochondrial Physiol. Netw. 2016, 8, 1–14. [Google Scholar]
- Pérez-Torres, I.; Castrejón-Téllez, V.; Soto, M.E.; Rubio-Ruiz, M.E.; Manzano-Pech, L.; Guarner-Lans, V. Oxidative Stress, Plant Natural Antioxidants, and Obesity. Int. J. Mol. Sci. 2021, 22, 1786. [Google Scholar] [CrossRef] [PubMed]
- Seo, Y.S.; Kang, O.H.; Kim, S.B.; Mun, S.H.; Kang, D.H.; Yang, D.W.; Choi, J.G.; Lee, Y.M.; Kang, D.K.; Lee, H.S.; et al. Quercetin Prevents Adipogenesis by Regulation of Transcriptional Factors and Lipases in OP9 Cells. Int. J. Mol. Med. 2015, 35, 1779–1785. [Google Scholar] [CrossRef]
- Heinonen, S.; Muniandy, M.; Buzkova, J.; Mardinoglu, A.; Rodríguez, A.; Frühbeck, G.; Hakkarainen, A.; Lundbom, J.; Lundbom, N.; Kaprio, J.; et al. Mitochondria-Related Transcriptional Signature Is Downregulated in Adipocytes in Obesity: A Study of Young Healthy MZ Twins. Diabetologia 2017, 60, 169–181. [Google Scholar] [CrossRef]
- Houghton, M.J.; Kerimi, A.; Tumova, S.; Boyle, J.P.; Williamson, G. Quercetin Preserves Redox Status and Stimulates Mitochondrial Function in Metabolically-Stressed HepG2 Cells. Free Radic. Biol. Med. 2018, 129, 296–309. [Google Scholar] [CrossRef]
- Ortega, R.; García, N. The Flavonoid Quercetin Induces Changes in Mitochondrial Permeability by Inhibiting Adenine Nucleotide Translocase. J. Bioenerg. Biomembr. 2009, 41, 41–47. [Google Scholar] [CrossRef]
- Van Dijk, C.; Driessen, A.J.M.; Recourt, K. The Uncoupling Efficiency and Affinity of Flavonoids for Vesicles. Biochem. Pharmacol. 2000, 60, 1593–1600. [Google Scholar] [CrossRef]
- Trumbeckaite, S.; Bernatoniene, J.; Majiene, D.; Jakštas, V.; Savickas, A.; Toleikis, A. The Effect of Flavonoids on Rat Heart Mitochondrial Function. Biomed. Pharmacother. 2006, 60, 245–248. [Google Scholar] [CrossRef]
- Dorta, D.J.; Pigoso, A.A.; Mingatto, F.E.; Rodrigues, T.; Pestana, C.R.; Uyemura, S.A.; Santos, A.C.; Curti, C. Antioxidant Activity of Flavonoids in Isolated Mitochondria. Phytother. Res. 2008, 22, 1213–1218. [Google Scholar] [CrossRef]
- Ducluzeau, P.H.; Priou, M.; Weitheimer, M.; Flamment, M.; Duluc, L.; Iacobazi, F.; Soleti, R.; Simard, G.; Durand, A.; Rieusset, J.; et al. Dynamic Regulation of Mitochondrial Network and Oxidative Functions during 3T3-L1 Fat Cell Differentiation. J. Physiol. Biochem. 2011, 67, 285–296. [Google Scholar] [CrossRef] [PubMed]
- Tejerina, S.; De Pauw, A.; Vankoningsloo, S.; Houbion, A.; Renard, P.; De Longueville, F.; Raes, M.; Arnould, T. Mild Mitochondrial Uncoupling Induces 3T3-L1 Adipocyte de-Differentiation by a PPARγ-Independent Mechanism, Whereas TNFα-Induced de-Differentiation Is PPARγ Dependent. J. Cell Sci. 2009, 122, 145–155. [Google Scholar] [CrossRef] [PubMed]
- Lee, H.Y. Mild Mitochondrial Uncoupling for True Ectopic Lipid Disposal. Int. J. Mol. Sci. 2025, 26, 7740. [Google Scholar] [CrossRef] [PubMed]
- Wang, X.Y.; He, P.Y.; Du, J.; Zhang, J.Z. Quercetin in Combating H2O2 Induced Early Cell Apoptosis and Mitochondrial Damage to Normal Human Keratinocytes. Chin. Med. J. (Engl.) 2010, 123, 532–536. [Google Scholar] [CrossRef]
- Margina, D.; Ilie, M.; Manda, G.; Neagoe, I.; Mocanu, M.; Ionescu, D.; Gradinaru, D.; Ganea, C. Quercetin and Epigallocatechin Gallate Effects on the Cell Membranes Biophysical Properties Correlate with Their Antioxidant Potential. Gen. Physiol. Biophys. 2012, 31, 47–55. [Google Scholar] [CrossRef]
- Fraga, C.G.; Galleano, M.; Verstraeten, S.V.; Oteiza, P.I. Basic Biochemical Mechanisms behind the Health Benefits of Polyphenols. Mol. Asp. Med. 2010, 31, 435–445. [Google Scholar] [CrossRef]
- Chou, C.C.; Yang, J.S.; Lu, H.F.; Ip, S.W.; Lo, C.; Wu, C.C.; Lin, J.P.; Tang, N.Y.; Chung, J.G.; Chou, M.J.; et al. Quercetin-Mediated Cell Cycle Arrest and Apoptosis Involving Activation of a Caspase Cascade through the Mitochondrial Pathway in Human Breast Cancer MCF-7 Cells. Arch. Pharm. Res. 2010, 33, 1181–1191. [Google Scholar] [CrossRef]
- Hong, S.Y.; Ha, A.W.; Kim, W. Effects of Quercetin on Cell Differentiation and Adipogenesis in 3T3-L1 Adipocytes. Nutr. Res. Pract. 2021, 15, 444–455. [Google Scholar] [CrossRef]
- Song, S.; Ha, A.W.; Kim, W. Quercetin Inhibits Body Weight Gain and Adipogenesis via Matrix Metalloproteinases in Mice Fed a High-Fat Diet. Nutr. Res. Pract. 2023, 17, 438–450. [Google Scholar] [CrossRef]
- Kobori, M.; Masumoto, S.; Akimoto, Y.; Oike, H. Chronic Dietary Intake of Quercetin Alleviates Hepatic Fat Accumulation Associated with Consumption of a Western-Style Diet in C57/BL6J Mice. Mol. Nutr. Food Res. 2011, 55, 530–540. [Google Scholar] [CrossRef]
- Joyner, P.M. Protein Adducts and Protein Oxidation as Molecular Mechanisms of Flavonoid Bioactivity. Molecules 2021, 26, 5102. [Google Scholar] [CrossRef]
- Musialik, M.; Kuzmicz, R.; Pawlowski, T.S.; Litwinienko, G. Acidity of Hydroxyl Groups: An Overlooked Influence on Antiradical Properties of Flavonoids. J. Org. Chem. 2009, 74, 2699–2709. [Google Scholar] [CrossRef]
- Ohmae, S.; Akazawa, S.; Takahashi, T.; Izumo, T.; Rogi, T.; Nakai, M. Quercetin Attenuates Adipogenesis and Fibrosis in Human Skeletal Muscle. Biochem. Biophys. Res. Commun. 2022, 615, 24–30. [Google Scholar] [CrossRef] [PubMed]
- Darimont, C.; Zbinden, I.; Avanti, O.; Leone-Vautravers, P.; Giusti, V.; Burckhardt, P.; Pfeifer, A.M.A.; Macé, K. Reconstitution of Telomerase Activity Combined with HPV-E7 Expression Allow Human Preadipocytes to Preserve Their Differentiation Capacity after Immortalization. Cell Death Differ. 2003, 10, 1025–1031. [Google Scholar] [CrossRef] [PubMed]
- Gnaiger, E. Oroboros O2k-FluoRespirometer High-Resolution Respirometry O2k-Calibration by DatLab. Mitochondrial Physiol. Netw. 2016, 19, 1–12. [Google Scholar]
- Smiley, S.T.; Reers, M.; Mottola-Hartshorn, C.; Lin, M.; Chen, A.; Smith, T.W.; Steele, G.D.; Chen, L.B. Intracellular Heterogeneity in Mitochondrial Membrane Potentials Revealed by a J-Aggregate-Forming Lipophilic Cation JC-1. Proc. Natl. Acad. Sci. USA 1991, 88, 3671–3675. [Google Scholar] [CrossRef]
- Cossarizza, A.; Ceccarelli, D.; Masini, A. Functional Heterogeneity of an Isolated Mitochondrial Population Revealed by Cytofluorometric Analysis at the Single Organelle Level. Exp. Cell Res. 1996, 222, 84–94. [Google Scholar] [CrossRef]
- Troyano, A.; Sancho, P.; Fernández, C.; de Blas, E.; Bernardi, P.; Aller, P. The Selection between Apoptosis and Necrosis Is Differentially Regulated in Hyrdrogen Peroxide-Treated and Glutathione-Depleted Human Promonocytic Cells. Cell Death Differ. 2003, 10, 889–898. [Google Scholar] [CrossRef]
- Eseberri, I.; Miranda, J.; Lasa, A.; Churruca, I.; Portillo, M.P. Doses of Quercetin in the Range of Serum Concentrations Exert Delipidating Effects in 3T3-L1 Preadipocytes by Acting on Different Stages of Adipogenesis, but Not in Mature Adipocytes. Oxid. Med. Cell. Longev. 2015, 2015, 480943. [Google Scholar] [CrossRef]
- Boadi, W.Y.; Lo, A. Effects of Quercetin, Kaempferol, and Exogenous Glutathione on Phospho- and Total-AKT in 3T3-L1 Preadipocytes. J. Diet. Suppl. 2018, 15, 814–826. [Google Scholar] [CrossRef]








| Q1 Necrotic Cells [%] | Q2 Cells in Late Phase of Apoptosis [%] | Q4 Cells in Early Phase of Apoptosis [%] | |
|---|---|---|---|
| Control | 0.73 ± 0.15 | 1.57 ± 0.29 | 2.97 ± 1.00 |
| Quercetin 10 µM | 0.47 ± 0.06 | 1.50 ± 0.42 | 2.63 ± 1.37 |
| Quercetin 30 µM | 0.73 ± 0.24 | 2.10 ± 0.53 | 3.40 ± 1.36 |
| Quercetin 50 µM | 0.50 ± 0.26 | 1.63 ± 0.56 | 4.00 ± 2.03 |
| Quercetin 70 µM | 0.60 ± 0.18 | 1.58 ± 0.49 | 3.85 ± 1.86 |
| Quercetin 100 µM | 0.53 ± 0.10 | 2.40 ± 0.14 * | 4.03 ± 2.92 |
Disclaimer/Publisher’s Note: The statements, opinions and data contained in all publications are solely those of the individual author(s) and contributor(s) and not of MDPI and/or the editor(s). MDPI and/or the editor(s) disclaim responsibility for any injury to people or property resulting from any ideas, methods, instructions or products referred to in the content. |
© 2026 by the authors. Licensee MDPI, Basel, Switzerland. This article is an open access article distributed under the terms and conditions of the Creative Commons Attribution (CC BY) license.
Share and Cite
Dziewońska, A.; Gruca, A.; Polus, A.; Solnica, B.; Góralska, J. The Antioxidant Quercetin Affects Mitochondrial Function and Inhibits the Differentiation of Human Preadipocytes. Molecules 2026, 31, 725. https://doi.org/10.3390/molecules31040725
Dziewońska A, Gruca A, Polus A, Solnica B, Góralska J. The Antioxidant Quercetin Affects Mitochondrial Function and Inhibits the Differentiation of Human Preadipocytes. Molecules. 2026; 31(4):725. https://doi.org/10.3390/molecules31040725
Chicago/Turabian StyleDziewońska, Agnieszka, Anna Gruca, Anna Polus, Bogdan Solnica, and Joanna Góralska. 2026. "The Antioxidant Quercetin Affects Mitochondrial Function and Inhibits the Differentiation of Human Preadipocytes" Molecules 31, no. 4: 725. https://doi.org/10.3390/molecules31040725
APA StyleDziewońska, A., Gruca, A., Polus, A., Solnica, B., & Góralska, J. (2026). The Antioxidant Quercetin Affects Mitochondrial Function and Inhibits the Differentiation of Human Preadipocytes. Molecules, 31(4), 725. https://doi.org/10.3390/molecules31040725

