Development of a High-Throughput UHPLC-DMS-MS/MS Method for Targeted Quantitation of Pertinent Phospholipid Classes in Colon Cancer
Abstract
1. Introduction
2. Results and Discussion
2.1. Method Development
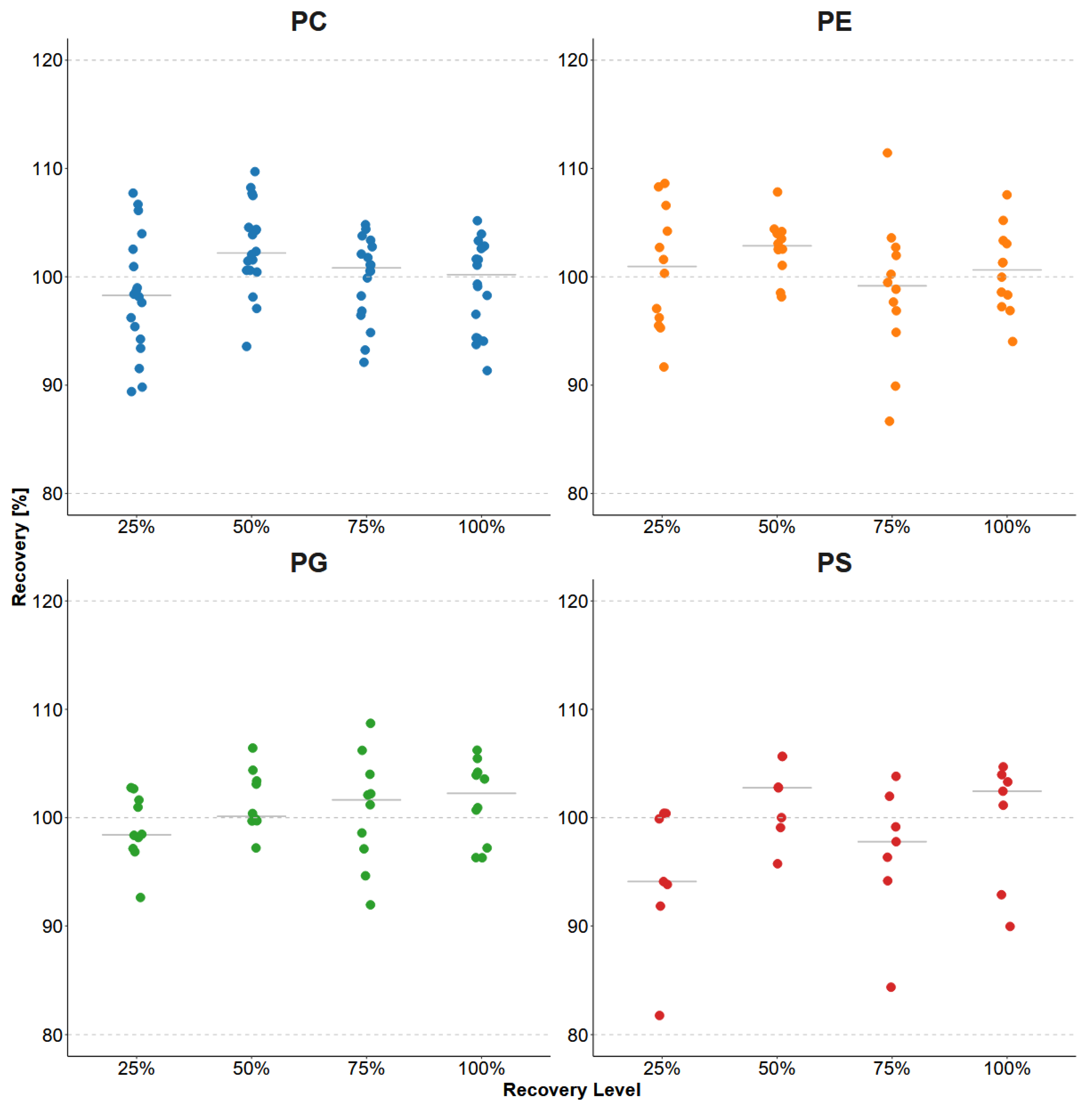
2.2. Method Validation
2.3. Application of the Optimized Method to Non-Tumor Tissue and Colorectal Cancer (CRC) Tissue in Mice
3. Conclusions
4. Materials and Methods
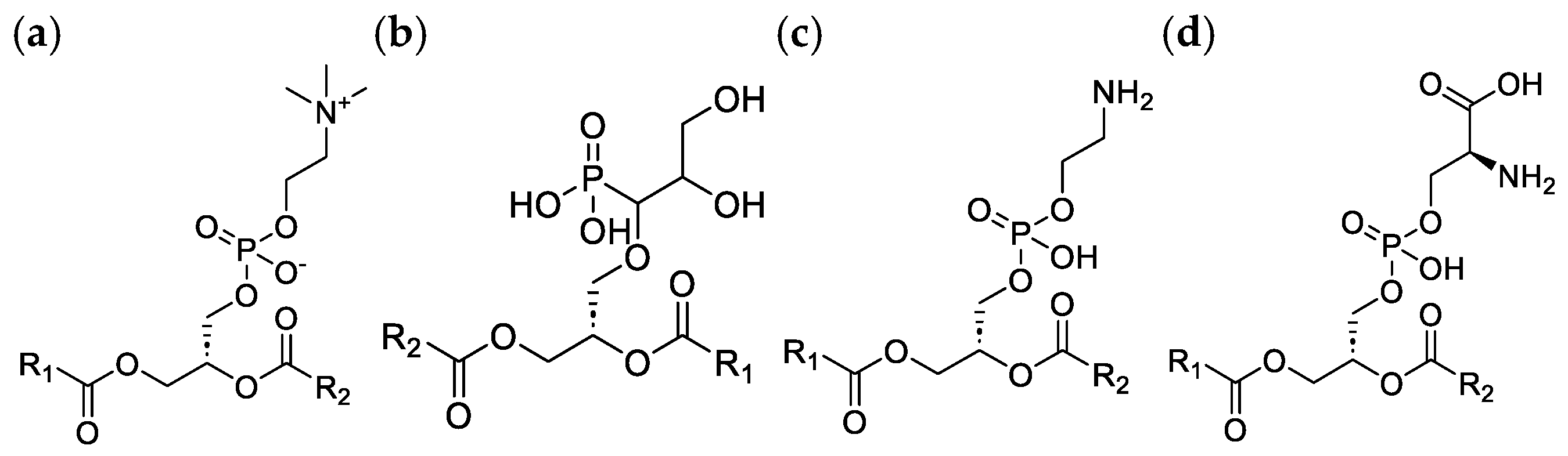
4.1. Phospholipids
4.2. Chemicals and Solvents
4.3. Sample Preparation for Quantitation of Phospholipids
4.3.1. Tumor-Analyte-Free Tissue Extract Preparation
4.3.2. Preparation of Stock Solutions and Calibration Curves
4.3.3. Method Validation
4.4. Liquid Chromatography–Differential Ion Mobility–Tandem Mass Spectrometry (LC-DMS-MS/MS)
4.5. Quantitative Nuclear Magnetic Resonance (qHNMR) Spectroscopy of Stock Solutions
4.6. Study Set Up
4.7. Statistical Analysis
Supplementary Materials
Author Contributions
Funding
Institutional Review Board Statement
Informed Consent Statement
Data Availability Statement
Acknowledgments
Conflicts of Interest
Abbreviations
| LC | Liquid Chromatography |
| UHPLC | Ultra-high-pressure/performance liquid chromatography |
| MS | Mass spectrometry |
| MS/MS | Tandem mass spectrometry |
| DMS | Differential ion mobility spectrometry |
| DMO | Differential ion mobility offset |
| ESI | Electrospray ionization |
| BHT | 2.6-ditertbutyl-4-methylphenol |
| PC | Phosphatidylcholine |
| PE | Phosphatidylethanolamine |
| PG | Phosphatidylglycerol |
| PS | Phosphatidylserine |
| mmol | millimol |
| µg | microgram |
| mg | milligram |
| kg | kilogram |
| L | liter |
| °C | Degree Celsius |
| Å | ångström |
| CV | Coefficient of variance |
| SD | Standard deviation |
| T | Tumor |
| NT | Non-Tumor |
References
- Buyer, J.S.; Sasser, M. High throughput phospholipid fatty acid analysis of soils. Appl. Soil Ecol. 2012, 61, 127–130. [Google Scholar] [CrossRef]
- Han, X.; Gross, R.W. Electrospray ionization mass spectroscopic analysis of human erythrocyte plasma membrane phospholipids. Proc. Natl. Acad. Sci. USA 1994, 91, 10635–10639. [Google Scholar] [CrossRef] [PubMed]
- Parker, F.; Peterson, N.F. Quantitative analysis of phospholipids and phospholipid fatty acids from silica gel thin-layer chromatograms. J. Lipid Res. 1965, 6, 455–460. [Google Scholar] [CrossRef]
- Godzien, J.; Ciborowski, M.; Martínez-Alcázar, M.P.; Samczuk, P.; Kretowski, A.; Barbas, C. Rapid and Reliable Identification of Phospholipids for Untargeted Metabolomics with LC-ESI-QTOF-MS/MS. J. Proteome Res. 2015, 14, 3204–3216. [Google Scholar] [CrossRef] [PubMed]
- Djekic, D.; Pinto, R.; Repsilber, D.; Hyotylainen, T.; Henein, M. Serum untargeted lipidomic profiling reveals dysfunction of phospholipid metabolism in subclinical coronary artery disease. Vasc. Health Risk Manag. 2019, 15, 123–135. [Google Scholar] [CrossRef] [PubMed]
- Nakatani, K.; Izumi, Y.; Umakoshi, H.; Yokomoto-Umakoshi, M.; Nakaji, T.; Kaneko, H.; Nakao, H.; Ogawa, Y.; Ikeda, K.; Bamba, T. Wide-scope targeted analysis of bioactive lipids in human plasma by LC/MS/MS. J. Lipid Res. 2024, 65, 100492. [Google Scholar] [CrossRef]
- Milne, G.L.; Seal, J.R.; Havrilla, C.M.; Wijtmans, M.; Porter, N.A. Identification and analysis of products formed from phospholipids in the free radical oxidation of human low density lipoproteins. J. Lipid Res. 2005, 46, 307–319. [Google Scholar] [CrossRef]
- Mazzella, N.; Molinet, J.; Syakti, A.D.; Dodi, A.; Doumenq, P.; Artaud, J.; Bertrand, J.-C. Bacterial phospholipid molecular species analysis by ion-pair reversed-phase HPLC/ESI/MS. J. Lipid Res. 2004, 45, 1355–1363. [Google Scholar] [CrossRef]
- Nakanishi, H.; Ogiso, H.; Taguchi, R. Qualitative and quantitative analyses of phospholipids by LC-MS for lipidomics. Methods Mol. Biol. 2009, 579, 287–313. [Google Scholar] [CrossRef]
- Röhrig, F.; Schulze, A. The multifaceted roles of fatty acid synthesis in cancer. Nat. Rev. Cancer 2016, 16, 732–749. [Google Scholar] [CrossRef]
- Beloribi-Djefaflia, S.; Vasseur, S.; Guillaumond, F. Lipid metabolic reprogramming in cancer cells. Oncogenesis 2016, 5, e189. [Google Scholar] [CrossRef]
- Maccarone, A.T.; Duldig, J.; Mitchell, T.W.; Blanksby, S.J.; Duchoslav, E.; Campbell, J.L. Characterization of acyl chain position in unsaturated phosphatidylcholines using differential mobility-mass spectrometry. J. Lipid Res. 2014, 55, 1668–1677. [Google Scholar] [CrossRef] [PubMed]
- Baker, P.R.S.; Armando, A.M.; Campbell, J.L.; Quehenberger, O.; Dennis, E.A. Three-dimensional enhanced lipidomics analysis combining UPLC, differential ion mobility spectrometry, and mass spectrometric separation strategies. J. Lipid Res. 2014, 55, 2432–2442. [Google Scholar] [CrossRef] [PubMed]
- Lintonen, T.P.I.; Baker, P.R.S.; Suoniemi, M.; Ubhi, B.K.; Koistinen, K.M.; Duchoslav, E.; Campbell, J.L.; Ekroos, K. Differential mobility spectrometry-driven shotgun lipidomics. Anal. Chem. 2014, 86, 9662–9669. [Google Scholar] [CrossRef]
- Coleman, O.I.; Sorbie, A.; Riva, A.; von Stern, M.; Kuhls, S.; Selegato, D.M.; Köhler, N.; Wirbel, J.; Kacprowski, T.; Dunkel, A.; et al. ATF6 activation alters colonic lipid metabolism causing tumour-associated microbial adaptation. Nat. Metab. 2025, 7, 1830–1850. [Google Scholar] [CrossRef]
- Brunetti, B.D.E. About Estimating the Limit of Detection by the Signal to Noise Approach. Pharm. Anal. Acta 2015, 6, 4. [Google Scholar] [CrossRef]
- Hidrich, J. Qualitätssicherungsrichtlinie: Validierung kalibrierfähiger Prüfverfahren. Dtsch. Lebensm.-Rundsch. 1997, 93, 205–212. [Google Scholar]
- Huang, Q.; Lei, H.; Dong, M.; Tang, H.; Wang, Y. Quantitative analysis of 10 classes of phospholipids by ultrahigh-performance liquid chromatography tandem triple-quadrupole mass spectrometry. Analyst 2019, 144, 3980–3987. [Google Scholar] [CrossRef]
- Bhaskar, A.K.; Naushin, S.; Ray, A.; Singh, P.; Raj, A.; Pradhan, S.; Adlakha, K.; Siddiqua, T.J.; Malakar, D.; Dash, D.; et al. A High Throughput Lipidomics Method Using Scheduled Multiple Reaction Monitoring. Biomolecules 2022, 12, 709. [Google Scholar] [CrossRef]
- Suárez-García, S.; Arola, L.; Pascual-Serrano, A.; Arola-Arnal, A.; Aragonès, G.; Bladé, C.; Suárez, M. Development and validation of a UHPLC-ESI-MS/MS method for the simultaneous quantification of mammal lysophosphatidylcholines and lysophosphatidylethanolamines in serum. J. Chromatogr. B Anal. Technol. Biomed. Life Sci. 2017, 1055–1056, 86–97. [Google Scholar] [CrossRef]
- Danne-Rasche, N.; Coman, C.; Ahrends, R. Nano-LC/NSI MS Refines Lipidomics by Enhancing Lipid Coverage, Measurement Sensitivity, and Linear Dynamic Range. Anal. Chem. 2018, 90, 8093–8101. [Google Scholar] [CrossRef] [PubMed]
- Matyash, V.; Liebisch, G.; Kurzchalia, T.V.; Shevchenko, A.; Schwudke, D. Lipid extraction by methyl-tert-butyl ether for high-throughput lipidomics. J. Lipid Res. 2008, 49, 1137–1146. [Google Scholar] [CrossRef] [PubMed]
- Köfeler, H.C.; Ahrends, R.; Baker, E.S.; Ekroos, K.; Han, X.; Hoffmann, N.; Holčapek, M.; Wenk, M.R.; Liebisch, G. Recommendations for good practice in MS-based lipidomics. J. Lipid Res. 2021, 62, 100138. [Google Scholar] [CrossRef] [PubMed]
- van der Meer-Janssen, Y.P.M.; van Galen, J.; Batenburg, J.J.; Helms, J.B. Lipids in host-pathogen interactions: Pathogens exploit the complexity of the host cell lipidome. Prog. Lipid Res. 2010, 49, 1–26. [Google Scholar] [CrossRef]
- Di Paolo, G.; de Camilli, P. Phosphoinositides in cell regulation and membrane dynamics. Nature 2006, 443, 651–657. [Google Scholar] [CrossRef]
- Harayama, T.; Riezman, H. Understanding the diversity of membrane lipid composition. Nat. Rev. Mol. Cell Biol. 2018, 19, 281–296. [Google Scholar] [CrossRef]
- Braverman, N.E.; Moser, A.B. Functions of plasmalogen lipids in health and disease. Biochim. Biophys. Acta 2012, 1822, 1442–1452. [Google Scholar] [CrossRef]
- Chapelle, S.; Gilles-Baillien, M. Phospholipids and cholesterol in brush border and basolateral membranes from rat intestinal mucosa. Biochim. Biophys. Acta 1983, 753, 269–271. [Google Scholar] [CrossRef]
- Turnheim, K.; Gruber, J.; Wachter, C.; Ruiz-Gutiérrez, V. Membrane phospholipid composition affects function of potassium channels from rabbit colon epithelium. Am. J. Physiol. 1999, 277, C83–C90. [Google Scholar] [CrossRef]
- Maimó-Barceló, A.; Martín-Saiz, L.; Barceló-Nicolau, M.; Salivo, S.; Pérez-Romero, K.; Rodriguez, R.M.; Martín, J.; Martínez, M.A.; García, M.; Amengual, I.; et al. Lipid signature associated with chronic colon inflammation reveals a dysregulation in colonocyte differentiation process. Biochim. Biophys. Acta Mol. Cell Biol. Lipids 2024, 1869, 159528. [Google Scholar] [CrossRef]
- Santiago, P.; Melo, T.; Barceló-Nicolau, M.; Barceló-Coblijn, G.; Domingues, P.; Domingues, R. Advancing colorectal cancer research through lipidomics. Mol. Omics 2025, 21, 373–389. [Google Scholar] [CrossRef]
- Sarcinelli, G.M.; Varinelli, L.; Ghislanzoni, S.; Padelli, F.; Lorenzini, D.; Vingiani, A.; Milione, M.; Guaglio, M.; Kusamura, S.; Deraco, M.; et al. Sulfatide imaging identifies tumor cells in colorectal cancer peritoneal metastases. Cancer Metab. 2024, 12, 18. [Google Scholar] [CrossRef]
- Mika, A.; Pakiet, A.; Czumaj, A.; Kaczynski, Z.; Liakh, I.; Kobiela, J.; Perdyan, A.; Adrych, K.; Makarewicz, W.; Sledzinski, T. Decreased Triacylglycerol Content and Elevated Contents of Cell Membrane Lipids in Colorectal Cancer Tissue: A Lipidomic Study. J. Clin. Med. 2020, 9, 1095. [Google Scholar] [CrossRef] [PubMed]
- Mirnezami, R.; Spagou, K.; Vorkas, P.A.; Lewis, M.R.; Kinross, J.; Want, E.; Shion, H.; Goldin, R.D.; Darzi, A.; Takats, Z.; et al. Chemical mapping of the colorectal cancer microenvironment via MALDI imaging mass spectrometry (MALDI-MSI) reveals novel cancer-associated field effects. Mol. Oncol. 2014, 8, 39–49. [Google Scholar] [CrossRef] [PubMed]
- Mansilla, F.; Da Costa, K.-A.; Wang, S.; Kruhøffer, M.; Lewin, T.M.; Orntoft, T.F.; Coleman, R.A.; Birkenkamp-Demtröder, K. Lysophosphatidylcholine acyltransferase 1 (LPCAT1) overexpression in human colorectal cancer. J. Mol. Med. 2009, 87, 85–97. [Google Scholar] [CrossRef]
- Tamiya-Koizumi, K.; Otoki, Y.; Nakagawa, K.; Kannagi, R.; Mizutani, N.; Suzuki, M.; Kyogashima, M.; Iwaki, S.; Aoyama, M.; Murate, T.; et al. Cellular concentrations of plasmalogen species containing a polyunsaturated fatty acid significantly increase under hypoxia in human colorectal cancer, Caco2 cells. Biochem. Biophys. Res. Commun. 2022, 611, 1–7. [Google Scholar] [CrossRef]
- Elmallah, M.I.Y.; Ortega-Deballon, P.; Hermite, L.; Pais-De-Barros, J.-P.; Gobbo, J.; Garrido, C. Lipidomic profiling of exosomes from colorectal cancer cells and patients reveals potential biomarkers. Mol. Oncol. 2022, 16, 2710–2718. [Google Scholar] [CrossRef] [PubMed]
- Sekar, D.; Dillmann, C.; Sirait-Fischer, E.; Fink, A.F.; Zivkovic, A.; Baum, N.; Strack, E.; Klatt, S.; Zukunft, S.; Wallner, S.; et al. Phosphatidylserine Synthase PTDSS1 Shapes the Tumor Lipidome to Maintain Tumor-Promoting Inflammation. Cancer Res. 2022, 82, 1617–1632. [Google Scholar] [CrossRef]
- Kur, I.-M.; Weigert, A. Phosphatidylserine externalization as immune checkpoint in cancer. Pflug. Arch. 2024, 476, 1789–1802. [Google Scholar] [CrossRef]
- Kitamura, C.; Sonoda, H.; Nozawa, H.; Kano, K.; Emoto, S.; Murono, K.; Kaneko, M.; Hiyoshi, M.; Sasaki, K.; Nishikawa, T.; et al. The component changes of lysophospholipid mediators in colorectal cancer. Tumor Biol. 2019, 41, 1010428319848616. [Google Scholar] [CrossRef]
- Pakiet, A.; Sikora, K.; Kobiela, J.; Rostkowska, O.; Mika, A.; Sledzinski, T. Alterations in complex lipids in tumor tissue of patients with colorectal cancer. Lipids Health Dis. 2021, 20, 85. [Google Scholar] [CrossRef] [PubMed]
- Hofmanová, J.; Slavík, J.; Ovesná, P.; Tylichová, Z.; Dušek, L.; Straková, N.; Vaculová, A.H.; Ciganek, M.; Kala, Z.; Jíra, M.; et al. Phospholipid profiling enables to discriminate tumor- and non-tumor-derived human colon epithelial cells: Phospholipidome similarities and differences in colon cancer cell lines and in patient-derived cell samples. PLoS ONE 2020, 15, e0228010. [Google Scholar] [CrossRef] [PubMed]
- Frank, O.; Kreissl, J.K.; Daschner, A.; Hofmann, T. Accurate determination of reference materials and natural isolates by means of quantitative (1)h NMR spectroscopy. J. Agric. Food Chem. 2014, 62, 2506–2515. [Google Scholar] [CrossRef] [PubMed]
- Kolde, R. CRAN: Contributed Packages. 2010. Available online: https://cran.r-project.org/web/packages/pheatmap/index.html (accessed on 25 May 2025).
- Neuwirth, E. CRAN: Contributed Packages. 2002. Available online: https://cran.r-project.org/web/packages/RColorBrewer/index.html (accessed on 25 May 2025).
- Wickham, H.; Averick, M.; Bryan, J.; Chang, W.; McGowan, L.; François, R.; Grolemund, G.; Hayes, A.; Henry, L.; Hester, J.; et al. Welcome to the Tidyverse. J. Open Source Softw. 2019, 4, 1686. [Google Scholar] [CrossRef]
- Kassambara, A. CRAN: Contributed Packages. 2019. Available online: https://cran.r-project.org/web/packages/rstatix/index.html (accessed on 25 May 2025).
- Wickham, H. ggplot2: Elegant Graphics for Data Analysis; Springer: New York, NY, USA, 2009. [Google Scholar]
- Thévenot, E.A.; Roux, A.; Xu, Y.; Ezan, E.; Junot, C. Analysis of the Human Adult Urinary Metabolome Variations with Age, Body Mass Index, and Gender by Implementing a Comprehensive Workflow for Univariate and OPLS Statistical Analyses. J. Proteome Res. 2015, 14, 3322–3335. [Google Scholar] [CrossRef]
- R Core Team. R: A Language and Environment for Statistical Computing; R Foundation for Statistical Computing: Vienna, Austria, 2018. [Google Scholar]







| PC | PE | PG | PS | |
|---|---|---|---|---|
| LoD | 37.84 | 17.64 | 21.36 | 77.25 |
| [ng/mg tissue] | (0.65–5990.93) | (0.19–241.54) | (0.02–257.04) | (9.5–860.76) |
| LoQ | 126.13 | 58.79 | 71.2 | 257.5 |
| [ng/mg tissue] | (2.17–19,969.78) | (0.62–805.14) | (0.08–856.8) | (31.67–2869.21) |
| Intraday CV | 3.86 | 4.35 | 3.62 | 2.5 |
| [median and range] | (1.68–6.50) | (2.40–6.25) | (1.81–5.42) | (1.78–4.22) |
| Interday CV | 3.49 | 3.93 | 2.93 | 2.22 |
| [median and range] | (1.49–5.78) | (2.13–6.63) | (1.61–4.86) | (1.58–3.75) |
Disclaimer/Publisher’s Note: The statements, opinions and data contained in all publications are solely those of the individual author(s) and contributor(s) and not of MDPI and/or the editor(s). MDPI and/or the editor(s) disclaim responsibility for any injury to people or property resulting from any ideas, methods, instructions or products referred to in the content. |
© 2026 by the authors. Licensee MDPI, Basel, Switzerland. This article is an open access article distributed under the terms and conditions of the Creative Commons Attribution (CC BY) license.
Share and Cite
Wimmer, M.; Coleman, O.I.; Sorbie, A.; Haller, D.; Somoza, V.; Dunkel, A. Development of a High-Throughput UHPLC-DMS-MS/MS Method for Targeted Quantitation of Pertinent Phospholipid Classes in Colon Cancer. Molecules 2026, 31, 438. https://doi.org/10.3390/molecules31030438
Wimmer M, Coleman OI, Sorbie A, Haller D, Somoza V, Dunkel A. Development of a High-Throughput UHPLC-DMS-MS/MS Method for Targeted Quantitation of Pertinent Phospholipid Classes in Colon Cancer. Molecules. 2026; 31(3):438. https://doi.org/10.3390/molecules31030438
Chicago/Turabian StyleWimmer, Miriam, Olivia I. Coleman, Adam Sorbie, Dirk Haller, Veronika Somoza, and Andreas Dunkel. 2026. "Development of a High-Throughput UHPLC-DMS-MS/MS Method for Targeted Quantitation of Pertinent Phospholipid Classes in Colon Cancer" Molecules 31, no. 3: 438. https://doi.org/10.3390/molecules31030438
APA StyleWimmer, M., Coleman, O. I., Sorbie, A., Haller, D., Somoza, V., & Dunkel, A. (2026). Development of a High-Throughput UHPLC-DMS-MS/MS Method for Targeted Quantitation of Pertinent Phospholipid Classes in Colon Cancer. Molecules, 31(3), 438. https://doi.org/10.3390/molecules31030438

