Discovery of a New Rosamicin Derivative from Endophytic Micromonospora rosaria FoRo54 Using Genome Mining Technology
Abstract
1. Introduction
2. Results and Discussion
2.1. Identification of Strain FoRo54
2.2. Antibacterial Activity of Strain FoRo54
2.3. Genome Sequencing and Bioinformatic Analysis of Strain FoRo54
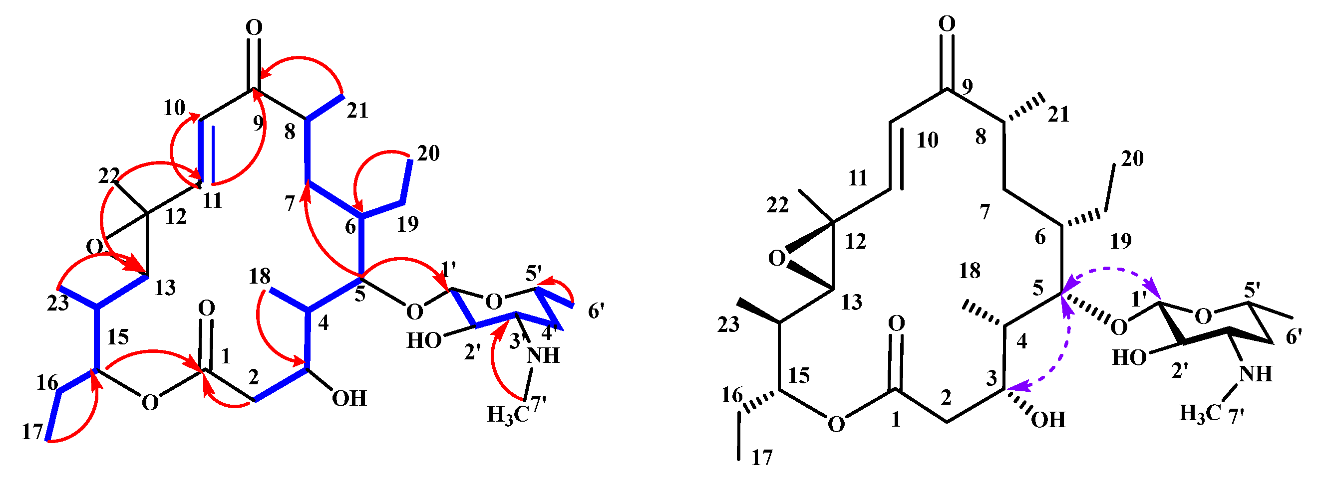
2.4. Isolation and Structural Elucidation of Metabolites
2.5. Propose Biosynthetic Pathway of Rosamicin-Type Compounds
2.6. Antibacterial Activity Assay of Compounds
3. Materials and Methods
3.1. Strains, Culturing Conditions, and Identification
3.2. Genome Sequencing, Annotation, and Analysis
3.3. Antibacterial Activity of Fermentation Broth
3.4. Fermentation, Extraction, and Isolation of Metabolites
3.5. Antibacterial Activity of Compounds
4. Conclusions
Supplementary Materials
Author Contributions
Funding
Institutional Review Board Statement
Informed Consent Statement
Data Availability Statement
Acknowledgments
Conflicts of Interest
References
- Selim, M.S.M.; Abdelhamid, S.A.; Mohamed, S.S. Secondary metabolites and biodiversity of actinomycetes. J. Genet. Eng. Biotechnol. 2021, 19, 72. [Google Scholar] [CrossRef] [PubMed]
- Monciardini, P.; Simone, M.; Iorio, M.; Maffioli, S.I.; Sosio, M.; Donadio, S. Trends in metabolite discovery from Actinomycetes. Nat. Prod. Rep. 2025, 42, 1533–1547. [Google Scholar] [CrossRef] [PubMed]
- Wang, C.; Lu, Y.; Cao, S. Antimicrobial compounds from marine actinomycetes. Arch. Pharmacal Res. 2020, 43, 677–704. [Google Scholar] [CrossRef] [PubMed]
- Yi, R.; Shi, Y.; Cao, X.; Pan, C. Actinomycetes: Treasure trove for discovering novel antibiotic candidates. Eur. J. Med. Chem. 2025, 286, 117317. [Google Scholar] [CrossRef]
- Li, X.; Zhou, Z.; Yang, J.; Sun, C.; Tian, X.; Ma, J.; Ju, J. Discovery, Structural Revision, Heterologous Production, and Biosynthesis of Mintaimycins from Marine-Derived Micromonospora sp. SCSIO 80128. Org. Lett. 2025, 27, 7920–7926. [Google Scholar] [CrossRef]
- Song, Z.; Xu, T.; Wang, J.; Hou, Y.; Liu, C.; Liu, S.; Wu, S. Secondary Metabolites of the Genus Amycolatopsis: Structures, Bioactivities and Biosynthesis. Molecules 2021, 26, 1884. [Google Scholar] [CrossRef]
- Yan, S.; Zeng, M.; Wang, H.; Zhang, H. Micromonospora: A prolific source of bioactive secondary metabolites with therapeutic potential. J. Med. Chem. 2022, 65, 8735–8771. [Google Scholar] [CrossRef]
- Qi, S.; Gui, M.; Li, H.; Yu, C.; Li, H.; Zeng, Z.; Sun, P. Secondary Metabolites from Marine Micromonospora: Chemistry and Bioactivities. Chem. Biodivers. 2020, 17, e2000024. [Google Scholar] [CrossRef]
- Al-Fadhli, A.A.; Threadgill, M.D.; Mohammed, F.; Sibley, P.; Al-Ariqi, W.; Parveen, I. Macrolides from rare actinomycetes: Structures and bioactivities. Int. J. Antimicrob. Agents 2022, 59, 106523. [Google Scholar] [CrossRef]
- Puar, M.S.; Schumacher, D. Novel macrolides from Micromonospora rosaria. J. Antibiot. 1990, 43, 1497–1501. [Google Scholar] [CrossRef][Green Version]
- Nakajima, S.; Kojiri, K.; Morishima, H.; Okanishi, M. New analogs of rosaramicin isolated from a Micromonospora strain. II. Structure determination. J. Antibiot. 1990, 43, 1006–1009. [Google Scholar] [CrossRef][Green Version]
- Kikuchi, Y.; Tsutsumi, H.; Watanabe, Y.; Nakahara, H.; Ito, S.; Noguchi, Y.; Awano, Y.; Kasuga, M.; Iwatsuki, M.; Hirose, T.; et al. Harnessing the Biosynthetic Diversity of Actinomycetes: Discovery of Unique Natural Products Through Comparative Genomic and Metabolic Analysis. Chemistry 2025, 31, e01912. [Google Scholar] [CrossRef]
- Krause, J. Applications and Restrictions of Integrated Genomic and Metabolomic Screening: An Accelerator for Drug Discovery from Actinomycetes? Molecules 2021, 26, 5450. [Google Scholar] [CrossRef] [PubMed]
- Cheng, Z.; Zhang, Q.; Peng, J.; Zhao, X.; Ma, L.; Zhang, C.; Zhu, Y. Genomics-Driven Discovery of Benzoxazole Alkaloids from the Marine-Derived Micromonospora sp. SCSIO 07395. Molecules 2023, 28, 821. [Google Scholar] [CrossRef] [PubMed]
- Zhang, Z.; Zhu, X.; Liu, T.; Zhang, X.; Yang, H.; Yan, R.; Du, Z. Isolation and identification of a novel IAA high-producing endophytic strain KlspL18 from Oryza rufipogon. Acta Microbiol. Sin. 2022, 62, 4108–4121. [Google Scholar]
- Zhang, Z.; Liu, T.; Zhang, X.; Xie, J.; Wang, Y.; Yan, R.; Jiang, Y.; Zhu, D. Cultivable Endophytic Bacteria in Seeds of Dongxiang Wild Rice and Their Role in Plant-Growth Promotion. Diversity 2021, 13, 665. [Google Scholar] [CrossRef]
- Zhang, Z. Culturable Endophytes Resources from Dongxiang Wild Rice and Excavation of Secondary Metabolites in Typical Strains. Ph.D. Thesis, Jiangxi Normal University, Nanchang, China, 2023. [Google Scholar]
- Wang, X.; Tabudravu, J.; Jaspars, M.; Deng, H. Tianchimycins A–B, 16-membered macrolides from the rare actinomycete Saccharothrix xinjiangensis. Tetrahedron 2013, 69, 6060–6064. [Google Scholar] [CrossRef]
- Wagman, G.H.; Waitz, J.A.; Marquez, J.; Murawski, A.; Oden, E.M.; Testa, R.T.; Weinstein, M.J. New Micromonospora-produced macrolide antibiotic, rosamicin. J. Antibiot. 1972, 25, 641–652. [Google Scholar] [CrossRef][Green Version]
- Puar, M.S.; Brambilla, R.; Bartner, P.; Schumacher, D.; Jaret, R.S. SCH 23831, a novel macrolide from Micromonospora rosaria. Tetrahedron Lett. 1979, 20, 2767–2770. [Google Scholar] [CrossRef]
- Lowell, A.N.; DeMars, M.D., 2nd; Slocum, S.T.; Yu, F.; Anand, K.; Chemler, J.A.; Korakavi, N.; Priessnitz, J.K.; Park, S.R.; Koch, A.A.; et al. Chemoenzymatic Total Synthesis and Structural Diversification of Tylactone-Based Macrolide Antibiotics Through Late-Stage Polyketide Assembly, Tailoring, and C-H Functionalization. J. Am. Chem. Soc. 2017, 139, 7913–7920. [Google Scholar] [CrossRef]
- Hansen, D.A.; Rath, C.M.; Eisman, E.B.; Narayan, A.R.H.; Kittendorf, J.D.; Mortison, J.D.; Yoon, Y.J.; Sherman, D.H. Biocatalytic Synthesis of Pikromycin, Methymycin, Neomethymycin, Novamethymycin, and Ketomethymycin. J. Am. Chem. Soc. 2013, 135, 11232–11238. [Google Scholar] [CrossRef]
- Awakawa, T.; Crüsemann, M.; Munguia, J.; Ziemert, N.; Nizet, V.; Fenical, W.; Moore, B.S. Salinipyrone and Pacificanone Are Biosynthetic By-products of the Rosamicin Polyketide Synthase. ChemBioChem 2015, 16, 1443–1447. [Google Scholar] [CrossRef]
- Anzai, Y.; Sakai, A.; Li, W.; Iizaka, Y.; Koike, K.; Kinoshita, K.; Kato, F. Isolation and characterization of 23-O-mycinosyl-20-dihydro-rosamicin: A new rosamicin analogue derived from engineered Micromonospora rosaria. J. Antibiot. 2010, 63, 325–328. [Google Scholar] [CrossRef]
- Kumar, S.; Stecher, G.; Li, M.; Knyaz, C.; Tamura, K. MEGA X: Molecular evolutionary genetics analysis across computing platforms. Mol. Biol. Evol. 2018, 35, 1547–1549. [Google Scholar] [CrossRef]
- Cao, M.; Zhai, Y.; Qiu, J.; Zhang, Y.; Jiao, X.; Cheng, Z. Isolation, identification, biological characterization, and whole genome sequencing analysis of a Staphylococcus hyicus strain. Microbiol. China 2022, 49, 5058–5071. [Google Scholar]
- Bo, J. Study on Identification and Secondary Metabolites of Two Endphytic Fungi from Dongxiang Wild Rice. Master’s Thesis, Jiangxi Science and Technology Normal University, Nanchang, China, 2017. [Google Scholar]
- Sarıkahya, N.B.; Kırmızıgül, S. Antimicrobial Triterpenoid Glycosides from Cephalaria scoparia. J. Nat. Prod. 2010, 73, 825–830. [Google Scholar] [CrossRef]


), HMBC (
), and NOESY (
) correlations in 1.
), HMBC (
), and NOESY (
) correlations in 3.

| Feature | Chromosome Characteristics |
|---|---|
| Genomic size (bp) | 7,057,852 |
| Number of contigs | 59 |
| GC content (%) | 73.8% |
| Protein coding Genes | 6128 |
| rRNA genes | 9 |
| tRNA genes | 53 |
| Genes assigned to GO | 939 |
| Genes assigned to COG | 4887 |
| Genes assigned to KEGG | 2419 |
| Genes assigned to NR | 5954 |
| Genes assigned to Swissport | 3098 |
| Antibiotic resistance genes | 110 |
| Carbohydrate-active enzyme genes | 403 |
| Secondary metabolite gene clusters | 27 |
| No. | 1 | 2 | ||
|---|---|---|---|---|
| δC, Type | δH Mult (J in Hz) | δC, Type | δH Mult (J in Hz) | |
| 1 | 174.4, C | 174.4, C | ||
| 2 | 41.3, CH2 | 2.64 dd (17.5, 10.0) | 41.3, CH2 | 2.62 dd (17.5, 10.0) 2.26 d (17.5) |
| 2.25 br d (17.5) | ||||
| 3 | 67.8, CH | 3.83 br d (10.0) | 67.8, CH | 3.80 d (10.0) |
| 4 | 42.3, CH | 1.89 m | 42.3, CH | 1.83–1.89 m |
| 5 | 80.7, CH | 3.77 br d (9.8) | 80.2, CH | 3.73 d (9.8) |
| 6 | 40.3, CH | 1.19 m | 40.4, CH | 1.16–1.21 m |
| 7 | 34.1, CH2 | 1.41 m | 34.1, CH2 | 1.42 ddd (15.1, 11.7, 4.1) |
| 1.83–1.89 m | 1.83–1.89 m | |||
| 8 | 46.7, CH | 2.63–2.69 m | 46.7, CH | 2.63–2.69 m |
| 9 | 204.0, C | 204.0, C | ||
| 10 | 124.8, CH | 6.43 d (15.7) | 124.8, CH | 6.43 d (15.7) |
| 11 | 152.1, CH | 6.70 d (15.7) | 151.9, CH | 6.70 d (15.7) |
| 12 | 61.2, C | 61.2, C | ||
| 13 | 69.6, CH | 2.83 d (9.7) | 69.6, CH | 2.83 d (9.7) |
| 14 | 39.1, CH | 1.72–1.78 m | 39.1, CH | 1.72–1.76 m |
| 15 | 78.0, CH | 4.86 m | 77.9, CH | 4.86 td (9.7, 2.7) |
| 16 | 25.6, CH2 | 1.48–1.58 m | 25.6, CH2 | 1.49–1.58 m |
| 1.78–1.87 m | 1.79–1.87 m | |||
| 17 | 9.5, CH3 | 0.89 t (7.4) | 9.5, CH3 | 0.91 t (7.4) |
| 18 | 9.9, CH3 | 1.10 d (6.9) | 10.1, CH3 | 1.10 d (6.9) |
| 19 | 22.2, CH2 | 1.38–1.44 m | 22.2, CH2 | 1.38–1.44 m |
| 1.60–1.70 m | 1.64–1.72 m | |||
| 20 | 12.5, CH3 | 0.86 t (7.2) | 12.5, CH3 | 0.86 t (7.2) |
| 21 | 17.8, CH3 | 1.17 d (6.9) | 17.8, CH3 | 1.17 d (6.9) |
| 22 | 15.3, CH3 | 1.47 s | 15.3, CH3 | 1.47 s |
| 23 | 14.6, CH3 | 1.12 d (6.7) | 14.6, CH3 | 1.12 d (6.7) |
| 1′ | 104.6, CH | 4.31 d (6.9) | 105.7, CH | 4.31 d (6.9) |
| 2′ | 72.7, CH | 3.25 m | 72.3, CH | 3.25 dd (10.2, 7.3) |
| 3′ | 61.0, CH | 3.21–3.08 m | 65.9, CH | 2.60–2.66 m |
| 4′ | 35.2, CH2 | 1.20–1.28 m | 31.9, CH2 | 1.20–1.28 m |
| 1.80–1.94 m | 1.70–1.76 m | |||
| 5′ | 69.3, CH | 3.68–3.59 m | 70.1, CH | 3.52 dtt (12.5, 6.3, 3.11) |
| 6′ | 21.4, CH3 | 1.26 d (6.2) | 21.4, CH3 | 1.20 d (6.2) |
| 7′ | 30.9, CH3 | 2.68 s | 40.9, CH3 | 2.33 s |
| 8′ | 40.9, CH3 | 2.33 s | ||
| Compounds | MIC (μg/mL) | |||
|---|---|---|---|---|
| S. aureus | B. subtilis | E. coli | X. oryzae pv. oryzicola | |
| 1 | 4 | 64 | 32 | 64 |
| 2 | 4 | 64 | 32 | 64 |
| 3 | 16 | 64 | 64 | 64 |
| 4 | 32 | >128 | >128 | >128 |
| Streptomycin sulphate | NA | NA | 8 | 64 |
| Tobramycin | 1 | 64 | NA | NA |
Disclaimer/Publisher’s Note: The statements, opinions and data contained in all publications are solely those of the individual author(s) and contributor(s) and not of MDPI and/or the editor(s). MDPI and/or the editor(s) disclaim responsibility for any injury to people or property resulting from any ideas, methods, instructions or products referred to in the content. |
© 2026 by the authors. Licensee MDPI, Basel, Switzerland. This article is an open access article distributed under the terms and conditions of the Creative Commons Attribution (CC BY) license.
Share and Cite
Zhang, Z.-B.; Liu, Q.; Song, G.-D.; Xiao, Y.-W.; Yan, R.-M.; Zhu, D. Discovery of a New Rosamicin Derivative from Endophytic Micromonospora rosaria FoRo54 Using Genome Mining Technology. Molecules 2026, 31, 301. https://doi.org/10.3390/molecules31020301
Zhang Z-B, Liu Q, Song G-D, Xiao Y-W, Yan R-M, Zhu D. Discovery of a New Rosamicin Derivative from Endophytic Micromonospora rosaria FoRo54 Using Genome Mining Technology. Molecules. 2026; 31(2):301. https://doi.org/10.3390/molecules31020301
Chicago/Turabian StyleZhang, Zhi-Bin, Qi Liu, Guo-Dong Song, Yi-Wen Xiao, Ri-Ming Yan, and Du Zhu. 2026. "Discovery of a New Rosamicin Derivative from Endophytic Micromonospora rosaria FoRo54 Using Genome Mining Technology" Molecules 31, no. 2: 301. https://doi.org/10.3390/molecules31020301
APA StyleZhang, Z.-B., Liu, Q., Song, G.-D., Xiao, Y.-W., Yan, R.-M., & Zhu, D. (2026). Discovery of a New Rosamicin Derivative from Endophytic Micromonospora rosaria FoRo54 Using Genome Mining Technology. Molecules, 31(2), 301. https://doi.org/10.3390/molecules31020301

