Two New Andrastin-Type Meroterpenoids from Marine Sponge-Derived Fungus Botryosporium sp. S5I2-1
Abstract
1. Introduction
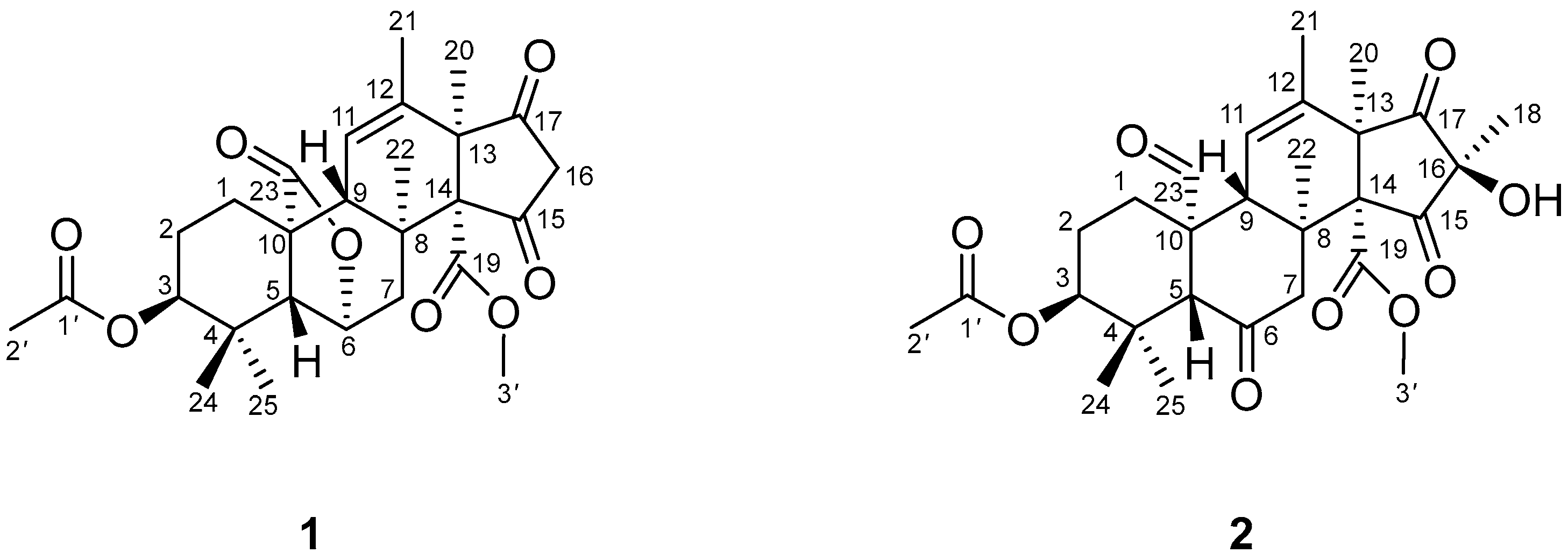
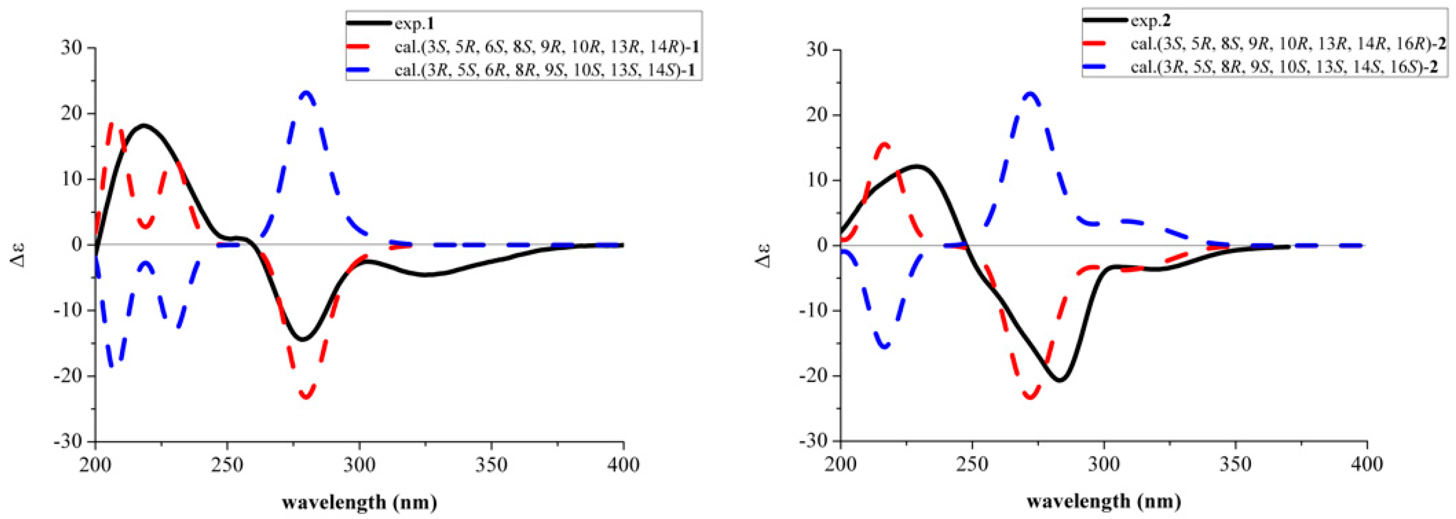
2. Results and Discussion
3. Materials and Methods
3.1. General Experimental Procedures
3.2. Fungal Material
3.3. Fermentation, Extraction, and Isolation
3.4. Antibacterial Activities
3.5. ECD Calculations
4. Conclusions
Supplementary Materials
Author Contributions
Funding
Institutional Review Board Statement
Informed Consent Statement
Data Availability Statement
Conflicts of Interest
References
- Zhang, B.; Zhang, T.; Xu, J.Z.; Lu, J.; Qiu, P.P.; Wang, T.T.; Ding, L.J. Marine sponge-sssociated fungi as potential novel bioactive natural product sources for drug discovery: A review. Mini-Rev. Med. Chem. 2020, 20, 1966–2010. [Google Scholar] [CrossRef]
- Sugiyama, Y.; Ito, Y.; Suzuki, M.; Hirota, A. Indole derivatives from a marine sponge-derived yeast as DPPH radical scavengers. J. Nat. Prod. 2009, 72, 2069–2071. [Google Scholar] [CrossRef]
- Song, F.; Ren, B.; Chen, C.; Yu, K.; Liu, X.; Zhang, Y.; Yang, N.; He, H.; Liu, X.; Dai, H.; et al. Three new sterigmatocystin analogues from marine-derived fungus Aspergillus versicolor MF359. Appl. Microbiol. Biot. 2014, 98, 3753–3758. [Google Scholar] [CrossRef]
- Ebada, S.S.; Schulz, B.; Wray, V.; Totzke, F.; Kubbutat, M.H.G.; Müller, W.E.G.; Hamacher, A.; Kassack, M.U.; Lin, W.; Proksch, P. Arthrinins A–D: Novel diterpenoids and further constituents from the sponge derived fungus Arthrinium sp. Bioorgan. Med. Chem. 2011, 19, 4644–4651. [Google Scholar] [CrossRef]
- Pang, X.; Lin, X.; Wang, J.; Liang, R.; Tian, Y.; Salendra, L.; Luo, X.; Zhou, X.; Yang, B.; Tu, Z.; et al. Three new highly oxygenated sterols and one new dihydroisocoumarin from the marine sponge-derived fungus Cladosporium sp. SCSIO41007. Steroids 2018, 129, 41–46. [Google Scholar] [CrossRef]
- Zheng, M.; Huang, Z.; Zheng, Y.; Tang, Y.; Wang, J.; Yang, S. Cotteslosin D, a new cyclopentapeptide from a sponge-derived fungus Aspergillus versicolour 2-18. Nat. Prod. Res. 2024, 1–6. [Google Scholar] [CrossRef]
- Lei, H.; Lei, J.; Zhou, X.; Hu, M.; Niu, H.; Song, C.; Chen, S.; Liu, Y.; Zhang, D. Cytotoxic polyketides from the marine sponge-derived fungus Pestalotiopsis heterocornis XWS03F09. Molecules 2019, 24, 2655. [Google Scholar] [CrossRef]
- Pang, X.; Yang, B.; Zhou, X.; Wang, J.; Yang, J.; Liu, Y. Two new isocoumarins isolated from the marine-sponge-derived fungus Setosphaeria sp. SCSIO41009. Chem. Biodivers. 2024, 21, e202302069. [Google Scholar] [CrossRef]
- Wang, D.; Qu, P.; Zhou, J.; Wang, Y.; Wang, L.; Zhu, W. p-Terphenyl alcohols from a marine sponge-derived fungus, Aspergillus candidus OUCMDZ-1051. Mar. Life Sci. Technol. 2020, 2, 262–267. [Google Scholar] [CrossRef]
- Nazir, M.; Harms, H.; Loef, I.; Kehraus, S.; El Maddah, F.; Arslan, I.; Rempel, V.; Müller, C.; König, G. GPR18 inhibiting amauromine and the novel triterpene glycoside auxarthonoside from the sponge-derived fungus Auxarthron reticulatum. Planta Med. 2015, 81, 1141–1145. [Google Scholar] [CrossRef]
- Chen, T.; Yang, W.C.; Li, T.B.; Yin, Y.H.; Liu, Y.F.; Wang, B.; She, Z.G. Hemiacetalmeroterpenoids A–C and Astellolide Q with antimicrobial activity from the marine-derived fungus Penicillium sp. N-5. Mar. Drugs 2022, 20, 514. [Google Scholar] [CrossRef] [PubMed]
- Yang, Y.N.; Han, X.; Jiang, C.; Chen, Y.; Tang, X.L.; Li, G.Q. Penisimplinoids A-K, highly oxygenated andrastin-type meroterpenoids with diverse activities from the marine-derived fungus Penicillium simplicissimum. Boorg. Chem. 2024, 153, 107897. [Google Scholar] [CrossRef]
- Ren, J.W.; Huo, R.Y.; Liu, G.R.; Liu, L. New Andrastin-Type Meroterpenoids from the Marine-Derived Fungus Penicillium sp. Mar. Drugs 2021, 19, 189. [Google Scholar]
- Tribe, H.T.; Weber, R.W.S. Dead basil stems—A possible ecological niche for the hoar-frost fungus Botryosporium longibrachiatum. Mycologist 2001, 15, 158–161. [Google Scholar] [CrossRef]
- Arunachalam, K.D.; Lakshmanan, M. Microbial uptake and accumulation of (14C carbofuran) 1,3-dihydro-2,2-dimethyl-7 benzofuranylmethyl carbamate in twenty fungal strains isolated by miniecosystem studies. Bull. Environ. Contam. Toxicol. 1988, 41, 127–134. [Google Scholar] [CrossRef]
- Sartory, A. New mold of the genus Botryosporium. Comptes Rendus Seances Soc. Biol. Ses Fil. 1916, 79, 516–517. [Google Scholar]
- Jensen, H.L. Cellulose-decomposing soil-fungus of an unusual character. Proc. Linn. Soc. N. S. Wales 1930, 55, 699–707. [Google Scholar]
- Zhang, T.Y.; Brycb, K. A reassessment of Botryosporium (Hyphomycetes). Acta Mycol. Sin. 1990, 9, 31–40. [Google Scholar]
- Park, J.H.; Park, M.J.; Han, K.S.; Shin, H.D. First report of black stem caused by Botryosporium longibrachiatum on Sweet Basil in Korea. Plant Dis. 2013, 97, 425. [Google Scholar] [CrossRef]
- Li, D.C.; Wei, M.W.; Yang, Z.Y.; Guo, Z.J.; Liao, X.J.; Xu, S.H.; Zhao, B.X. A new azaphilone from the marine sponge-associated fungus Botryosporium pulchrum. Chem. Biodivers. 2024, 22, e202402884. [Google Scholar] [CrossRef] [PubMed]
- Chen, Z.B.; Liang, H.X.; Guo, W.Y.; Li, D.C.; Liao, X.J.; Chen, G.D.; Xu, S.H.; Zhao, B.X. Sorbicitrinols A and B, two sorbicillinoids with unprecedented skeletons uncovered from sponge-derived fungus Penicillium sp. S4I4-3 by a molecular networking strategy. Org. Lett. 2025, 27, 3267–3272. [Google Scholar] [CrossRef] [PubMed]
- Wang, Y.; Lin, X.-P.; Ju, Z.-R.; Liao, X.-J.; Huang, X.-J.; Zhang, C.; Zhao, B.-X.; Xu, S.-H. Aspergchromones A and B, two new polyketides from the marine sponge-associated fungus Aspergillus sp. SCSIO XWS03F03. J. Asian Nat. Prod. Res. 2016, 19, 684–690. [Google Scholar] [CrossRef]
- Liang, Y.Q.; Liao, X.J.; Zhao, B.X.; Xu, S.H. (+)- and (−)-Spongiterpene, a pair of new valerenane sesquiterpene enantiomers from the marine sponge Spongia sp. Nat. Prod. Res. 2019, 35, 2178–2183. [Google Scholar]
- Xie, C.L.; Xia, J.M.; Lin, T.; Lin, Y.J.; Lin, Y.K.; Xia, M.L.; Chen, H.F.; Luo, Z.H.; Shao, Z.Z.; Yang, X.W. Andrastone A from the deep-sea-derived fungus Penicillium allii-sativi acts as an inducer of caspase and RXRα-dependent apoptosis. Front. Chem. 2019, 7, 692. [Google Scholar]
- Chang, J.L.; Ouyang, Q.X.; Peng, X.G.; Pei, J.; Zhang, L.L.; Gan, Y.T.; Ruan, H.L. Peniandrastins A–H: Andrastin-type meroterpenoids with immunosuppressive activity from a Penicillium sp. Boorg. Chem. 2023, 139, 106745. [Google Scholar] [CrossRef] [PubMed]
- Qin, Y.Y.; Huang, X.S.; Liu, X.B.; Mo, T.X.; Xu, Z.L.; Li, B.C.; Qin, X.Y.; Li, J.; Schäberle, T.F.; Yang, R.Y. Three new andrastin derivatives from the endophytic fungus Penicillium vulpinum. Nat. Prod. Res. 2022, 36, 3262–3270. [Google Scholar] [PubMed]




| NO. | 1 | 2 | ||
|---|---|---|---|---|
| δH | δC | δH | δC | |
| 1 | 2.02 dd (14.7, 5.8) | 21.4 | 1.57 m | 24.3 |
| 2 | 1.72 dd (14.9, 5.7) | 25.8 | 2.36 m | 28.5 |
| 3 | 3.36 br s | 74.4 | 4.62 t (5.6) | 79.0 |
| 4 | - | 36.2 | - | 38.0 |
| 5 | 2.07 s | 55.5 | 2.26 s | 54.8 |
| 6 | 4.82 d (4.4) | 80.2 | - | 206.7 |
| 7 | a 2.48 dd (6.9, 4.4) | 38.2 | a 2.36 m | 32.2 |
| b 3.26 d (14.2) | b 2.88 td (12.9, 3.8) | |||
| 8 | - | 43.3 | - | 40.1 |
| 9 | 2.51 d (4.4) | 52.7 | 1.81 d (3.5) | 49.4 |
| 10 | - | 45.1 | - | 53.5 |
| 11 | 5.59 br s | 123.2 | 5.67 br s | 126.6 |
| 12 | - | 138.9 | - | 133.0 |
| 13 | - | 71.2 | - | 61.5 |
| 14 | - | 78.5 | - | 72.1 |
| 15 | - | 193.2 | - | 212.1 |
| 16 | 3.35 s | 49.8 | - | 72.8 |
| 17 | - | 205.7 | - | 209.3 |
| 18 | 1.31 s | 20.4 | ||
| 19 | - | 166.5 | - | 169.2 |
| 20 | 1.24 s | 17.8 | 1.27 s | 17.3 |
| 21 | 1.84 s | 20.5 | 1.63 s | 19.0 |
| 22 | 1.31 s | 24.3 | 1.19 s | 20.2 |
| 23 | - | 182.6 | 10.18 s | 206.7 |
| 24 | 1.04 s | 26.9 | 0.90 s | 21.6 |
| 25 | 0.79 s | 23.2 | 0.97 s | 27.1 |
| 1′ | - | 172.5 | - | 172.3 |
| 2′ | 1.60 s | 25.0 | 2.06 s | 21.1 |
| 3′ | 3.59 s | 52.0 | 3.60 s | 52.2 |
Disclaimer/Publisher’s Note: The statements, opinions and data contained in all publications are solely those of the individual author(s) and contributor(s) and not of MDPI and/or the editor(s). MDPI and/or the editor(s) disclaim responsibility for any injury to people or property resulting from any ideas, methods, instructions or products referred to in the content. |
© 2026 by the authors. Licensee MDPI, Basel, Switzerland. This article is an open access article distributed under the terms and conditions of the Creative Commons Attribution (CC BY) license.
Share and Cite
Liang, H.-X.; Guo, W.-Y.; Xu, S.-H.; Zhao, B.-X. Two New Andrastin-Type Meroterpenoids from Marine Sponge-Derived Fungus Botryosporium sp. S5I2-1. Molecules 2026, 31, 294. https://doi.org/10.3390/molecules31020294
Liang H-X, Guo W-Y, Xu S-H, Zhao B-X. Two New Andrastin-Type Meroterpenoids from Marine Sponge-Derived Fungus Botryosporium sp. S5I2-1. Molecules. 2026; 31(2):294. https://doi.org/10.3390/molecules31020294
Chicago/Turabian StyleLiang, Hui-Xian, Wan-Ying Guo, Shi-Hai Xu, and Bing-Xin Zhao. 2026. "Two New Andrastin-Type Meroterpenoids from Marine Sponge-Derived Fungus Botryosporium sp. S5I2-1" Molecules 31, no. 2: 294. https://doi.org/10.3390/molecules31020294
APA StyleLiang, H.-X., Guo, W.-Y., Xu, S.-H., & Zhao, B.-X. (2026). Two New Andrastin-Type Meroterpenoids from Marine Sponge-Derived Fungus Botryosporium sp. S5I2-1. Molecules, 31(2), 294. https://doi.org/10.3390/molecules31020294

