Abstract
Organic light-emitting diodes (OLEDs) have attracted remarkable interest in display and lighting. To effectively address triplet exciton harvesting and enhance external quantum efficiency (EQE), delayed fluorescence AIEgens have gained significant prominence. The primary luminescence mechanism involves the efficient harvesting of triplet excitons via reverse intersystem crossing (RISC) channels, categorized into three types: thermally activated delayed fluorescence (TADF), hybridized local and charge transfer (HLCT), and triplet–triplet annihilation (TTA). In this review, we summarize the recent development of doped and non-doped delayed fluorescent AIEgens-based OLEDs. This review mainly discusses the molecular design strategies and photophysical properties of delayed fluorescent AIEgens and the electroluminescent properties of OLEDs as emitting layers. Finally, the challenges and prospects of delayed fluorescent AIEgens for the fabrication of OLEDs are also briefly discussed.
1. Introduction
Organic light-emitting diodes (OLEDs) have been widely adopted in display screens of electronic devices (e.g., smartphones, televisions, tablets, and digital cameras) owing to their exceptional advantages, including flexibility, low energy consumption, and high resolution [1,2,3,4]. A typical OLED structure comprises a substrate, anode, hole injection layer (HIL), hole transport layer (HTL), emissive layer (EML), electron transport layer (ETL), electron injection layer (EIL), and cathode [5]. When an external electric field is applied, electrons and holes are injected from the metal cathode and indium tin oxide (ITO) anode, respectively, overcoming potential barriers to migrate toward the luminescent layer. These charge carriers subsequently recombine within the EML to form excitons, which decay radiatively via photon emission [3].
The emissive layer materials can be classified into three types: fluorescent, phosphorescent, or delayed fluorescence materials [6,7,8,9]. Currently, fluorescent and phosphorescent materials dominate OLED applications. However, fluorescent-based EMLs face a fundamental limitation: only 25% of the generated excitons are singlet states capable of direct radiative transition to the ground state, while the remaining 75% are triplet excitons that predominantly undergo non-radiative decay [1,10]. Consequently, the internal quantum efficiency (IQE) of fluorescent OLEDs is theoretically capped at 25%. Phosphorescent materials, though capable of harvesting both singlet and triplet excitons, often suffer from high production costs, further restricting their commercial viability [11].
To address these challenges, extensive research over the past two decades has led to the development of diverse delayed fluorescence (DF) materials, which are broadly classified into P-type and E-type [1,12,13,14]. P-type DF utilizes triplet–triplet annihilation (TTA) to generate singlet excitons, while E-type DF—also known as thermally activated delayed fluorescence (TADF)—achieves singlet-state transitions through RISC [15,16]. Notably, TADF materials offer a theoretical IQE of 100% by harnessing both singlet and triplet excitons, coupled with cost-effectiveness compared to conventional phosphorescent alternatives [17].
In 2001, Tang’s group proposed the concept of aggregation-induced emission (AIE) [18], and numerous AIEgens have been developed [19,20,21,22,23]. AIE refers to a phenomenon exhibited by luminescent molecules whose structural moieties can rotate or vibrate freely [18]. These molecules typically display weak or no fluorescence in dilute solutions but emit strong fluorescence in concentrated solutions or the solid state (Figure 1). After extensive research, the prevailing mechanism is identified as restriction of intramolecular motion (RIM), encompassing both restriction of intramolecular rotation (RIR) and restriction of intramolecular vibration (RIV) [24,25]. Nowadays, a large number of fluorescent molecules based on tetraphenylethylene (TPE), tetraphenylbenzene (TPB), and tetraphenylpyrazine (TPP) are used in OLEDs [26,27,28]. Given that the light-emitting layer of OLEDs comprises a solid thin film, AIEgens—which demonstrate strong fluorescence in the aggregated state—are more suitable as OLED emitters than conventional aggregation-caused quenching (ACQ) fluorescent molecules derived from the structure unit, such as anthracene, phenanthrene, pyrene, and fluorene [29,30].
Figure 1.
Left: Schematic illustration of ACQ and AIE effect. Right: Molecular structures of typical ACQ fluorophores and AIEgens.
Currently, a significant proportion of reported delayed fluorescence AIEgens employed as emissive layer materials in OLEDs is rationally designed based on donor–acceptor (D-A) architectures [31,32]. This design strategy is primarily attributed to the fact that the twisted molecular conformation inherent to D-A structures leads to the spatial separation of frontier molecular orbitals: the highest occupied molecular orbital (HOMO) electron density is predominantly localized on the donor moiety, while the lowest unoccupied molecular orbital (LUMO) electron density is concentrated within the acceptor unit [33]. This orbital separation substantially reduces the overlap between HOMO and LUMO, thereby minimizing the energy gap between the singlet and triplet excited states (ΔEST). A small ΔEST is a critical prerequisite for efficient RISC, enabling the construction of TADF-type emitters [34]. Furthermore, D-A structures can simultaneously enhance the photoluminescence (PL) efficiency of the locally excited (LE) state component and promote efficient exciton utilization through charge transfer (CT) states, which is pivotal for the development of delayed fluorescence molecules operating via the hybridized local and charge transfer (HLCT) mechanism [35]. From a mechanistic and structural perspective, this review systematically categorizes OLED emissive layer materials into four distinct types: (i) simple D-A structures, (ii) symmetric or asymmetric donor–acceptor-–donor (D-A-D or D-A-D’) architectures, (iii) acceptor–donor–acceptor (A-D-A) systems, and (iv) conjugated frameworks devoid of heteroatom units. Within each category, both doped and undoped delayed fluorescence AIEgens are comprehensively summarized and discussed. The overarching goal of this review is to provide a material-centric foundation and insights for the future development of high-performance, stable luminescent devices. Owing to the scarcity of studies on delayed fluorescence AIE polymers [36,37,38,39], these materials are not encompassed in this review.
2. Fundamental Luminescence Mechanism
During electroluminescence, light is generated via the recombination of holes and electrons within the light-emitting layer of OLED devices [40,41]. According to spin statistics, the expected ratio of singlet-to-triplet excitons formed by charge recombination is 1:3 [42]. The EQE represents a key parameter for evaluating device efficiency, which is the ratio of photons that escape the device to the injected electrons. It is calculated as ηEQE = ηout × ϕF × ηr × γ = ηout × ηIQE, where ηout is the optical outcoupling factor (typically approximated as 0.22), ϕF represents the photoluminescence quantum yield (PLQY), ηr is the efficiency of radiative exciton generation, γ is the carrier balance factor, and ηIQE is the ratio of generated photons in the EML to the injected electrons [43]. The transition of singlet excitons to the ground state produces fluorescence (Figure 2A), and intersystem crossing (ISC) between different electronic multi-states is spin-forbidden, resulting in a theoretical upper limit for the IQE of 25%. To achieve efficient fluorescent materials, the suppression of the non-radiative transitions of singlet excitons is essential. Namely, the fluorescence rate constant (KF) must be significantly greater than the non-radiative transition rate constant (Knr). However, even if both γ and ϕF approach 100%, the maximum attainable EQE for a fluorescent emissive layer remains limited to approximately 5.5% due to the 25% upper limit on exciton utilization efficiency [44]. Owing to the continuous progress of science, scientists have discovered that surpassing the efficiency limit can be achieved by utilizing triplet excitons directly or converting them into singlet excitons [45,46,47]. The direct radiative decay of triplet excitons manifests as phosphorescence, requiring the incorporation of transition metals such as iridium (Ir), platinum (Pt), and ruthenium (Ru) to significantly enhance the spin–orbit coupling (SOC) effect, thereby boosting phosphorescence intensity [21,37]. However, the widespread commercialization of phosphorescent materials is constrained by the high cost and environmental impact of these precious metals [48,49,50]. Consequently, the effective utilization of triplet excitons through RISC channels presents an alternative strategy. This approach primarily involves three mechanisms: TADF, HLCT, and TTA.
Figure 2.
Emission mechanisms in (A) fluorescence, (B) TADF, (C) HLCT, and (D) TTA type OLEDs. “*” represents the excited state.
Among them, TADF represents the most promising method for effectively utilizing triplet excitons. This process involves the RISC from the T1 to the S1 state, assisted by thermal energy when the ΔEST is less than 0.1 eV, followed by radiative fluorescence (Figure 2B) [51,52]. Consequently, both singlet and triplet excitons contribute to fluorescence emission, theoretically enabling TADF emitters to achieve an IQE of 100% [53]. However, according to Hund’s rules, the energy of S1 is significantly higher than that of T1. Thus, triplet excitons in S1 undergo facile transition to T1 via the ISC process. In conventional fluorescent materials, the rate constant of ISC (KISC) typically exceeds that of RISC (KRISC) by two to three orders of magnitude, rendering the RISC process for triplet excitons kinetically forbidden [54]. Therefore, accelerating the RISC process is key to achieving TADF. A rapid RISC process not only enhances exciton utilization but also reduces triplet exciton concentration, thereby mitigating device efficiency degradation caused by TTA, singlet–triplet annihilation (STA), and triplet–polaron annihilation (TPA) [8]. According to the Boltzmann distribution formula, minimizing ΔEST is a crucial pathway to achieving rapid RISC [55]. This can be accomplished by separating frontier molecular orbitals (FMOs). In molecular design, electron donors (D) and acceptors (A) are often introduced simultaneously, where D contributes to HOMO and A to LUMO. Spatial separation of D and A in the molecular structure leads to dissociated HOMO and LUMO distributions, resulting in a smaller ΔEST [56,57].
HLCT is a hybrid state, characterized by the coexistence of LE and CT states. Specifically, the low-lying singlet and triplet excited states exhibit LE character with a large ΔEST, whereas higher-lying excited states (Sn and Tn, where n ≥ 2) display CT character and minimal ΔEST. Analogous to TADF materials, HLCT materials are capable of harvesting triplet excitons, thereby overcoming the intrinsic spin-statistical limit that restricts conventional fluorescent materials to a maximum IQE of 25%. However, a critical distinction lies in their RISC mechanism, as illustrated in Figure 2C. While TADF relies on RISC from T1 to S1, HLCT materials undergo RISC from higher-lying triplet states to singlet excited states (Tn → Sm, where n ≥ 2 and m ≥ 1) [58]. The IC processes from Sn to S1 or Tn to T1 are much faster than other competing processes based on Kasha’s rule [59]. For HLCT materials to efficiently utilize triplet excitons, the high-order RISC (hRISC) process must outcompete the IC pathway. To achieve this, two key energetic criteria must be satisfied, namely a large Tn-T1 energy gap and a small Tn-Sm energy. Additionally, enhancing the spin–orbit coupling (SOC) between highly excited states can also promote the hRISC process, thereby suppressing the IC process and effectively avoiding the annihilation of triplet excitons [60]. Consequently, HLCT-OLEDs can achieve excellent EL performance [7,8,61]. From an experimental perspective, the TADF and HLCT processes can be primarily distinguished by the following two aspects. On the one hand, the HLCT process exhibits a shorter delayed fluorescence lifetime (τd), which generally falls in the nanosecond (ns) range. On the other hand, the TADF process suffers from a more significant efficiency roll-off effect than that of HLCT.
For the TTA mechanism, within the theoretical framework, when ΔEST (S1-T1) is sufficiently large, two lower energy triplet excitons can be converted into a higher energy singlet exciton, which returns to the ground state through radiation decay and emits fluorescence (Figure 2D). The fluorescence generated during the TTA process is also known as P-type delayed fluorescence, with a theoretical maximum IQE of 62.5% [62,63]. It is worth noting that the TTA emitters need to meet a huge ΔEST between S1 and T1 and the energy of 2T1 should be higher than the energy of S1 [64]. Due to strict energy level requirements, molecules with high TTA upconversion efficiency are rare. To differentiate TADF and TTA processes in the experiment, we can compare the following three aspects. First, the most straightforward characteristic is that the TADF process has an ultralow ΔEST, which is a parameter that can be precisely quantified using negative ion photoelectron spectroscopy (NIPES), typically less than 0.1 eV. Second, these two processes exhibit distinct correlations between delayed fluorescence intensity and excitation light intensity. The delayed fluorescence intensity of TTA is usually proportional to the square of the excitation light intensity, whereas that of TADF shows a linear relationship with the excitation light intensity. Third, the luminescence intensity of TADF generally rises markedly as temperature increases, while the temperature dependence of TTA luminescence intensity is far less pronounced by comparison.
3. AIEgens with D-A Structures
The construction of D-A molecular systems is a proven strategy to enhance the EQE of OLED materials [65,66,67,68]. Donor units typically comprise nitrogen-containing conjugated systems such as carbazole, acridine, and triphenylamine derivatives. Acceptor units commonly incorporate diverse moieties including diphenyl sulfone, diphenylketone, triazine, pyrazine, fused-ring systems, etc. (Scheme 1). Considering the strategic integration of multiple electron-withdrawing structures in electron acceptor design, this review systematically summarizes recent advances from the donor perspective. OLEDs incorporating these structural units primarily operate via the TADF mechanism.
Scheme 1.
Chemical structures of common donor/acceptor units in D-A type OLED light-emitting layers.
3.1. TADF Process
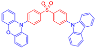
Triphenylamine (TPA), as a classic organic aromatic amine, possesses excellent electron-donating capability and hole transport properties due to the lone pair of electrons on its nitrogen atom. TPA derivatives exhibit high hole mobility and low oxidation potential, effectively facilitating the injection and transport of holes from the anode to the emissive layer. This is crucial for balancing charges within the device, significantly improving luminous efficiency and reducing driving voltage. Meanwhile, the TPA group significantly enhances molecular distortion, thereby preventing fluorescence quenching induced by molecular aggregation. In 2023 [69], Zhang’s group first reported a dual-locked triarylamine derivative donor, which endowed it with numerous unique advantages, such as a lower HOMO level, minimized non-radiative loss, and excellent AIE properties, thereby overcoming the bottleneck in constructing high-performance deep-red/near-infrared TADF OLEDs. Consequently, the resulting emitter DCN-DSP (Entry 1 in Table 1) exhibited enhanced anti-quenching performance, maintaining the optimal OLED performance within a doping concentration range of 5 to 20 weight percent. Its EQE reached 36.2% at 660 nm, 26.1% at 676 nm, and 21.3% at 716 nm. To date, this EQE value is the highest among OLEDs fabricated using triphenylamine as the donor. The photophysical properties of the delayed fluorescent AIEgens with triphenylamine donor units and the performance of the devices using them as EMLs are summarized in Table 1 [70,71,72,73,74,75].
Table 1.
Photophysical properties of the delayed fluorescent AIEgens with triphenylamine donor units and the performance of the devices using them as EMLs.
Another group with good hole transport ability, carbazole, can be used as a donor unit and directly connected to the acceptor unit to improve the EQE of the device. Its large steric hindrance is beneficial for suppressing random conformational changes [73,74,75,76,77,78,79,80,81,82,83,84,85,86]. In 2020, Kim et al. synthesized three new color-tunable (from deep-blue to sky-blue) and solution-processable emitters named TB-3Cz, TB-P3Cz, and TB-DACz (Entries 3–5 in Table 2) [76]. These emitters were ingeniously designed by incorporating boron-bridged structures as electron acceptors into different electron-rich hosts, which contain carbazole derivatives as donors. Comprehensive photophysical studies demonstrated that these emitters possess not only TADF properties but also AIE characteristics. Consequently, solution-processable OLEDs fabricated using these new materials as non-doped emitters in the emissive layer exhibited a maximum EQE and Commission Internationale de l’Éclairage (CIE) color coordinates of 9.90% and (0.17, 0.07), respectively, for TB-3Cz; 6.13% and (0.15, 0.08), respectively, for TB-P3Cz; and 6.04% and (0.18, 0.40), respectively, for TB-DACz.
Table 2.
Photophysical properties of the delayed fluorescent AIEgens with carbazole donor units and the performance of the devices using them as EMLs.
To further improve the performance of OLEDs, Wang et al. developed two D-π-A structured luminescent materials, ICz-DPS and ICz-BP (Entries 6–7, Table 2) [77]. Their doped OLEDs based on ICz-BP provided an excellent electroluminescence EQE (ηext) and current efficiency (ηC) of 17.7% and 44.8 cd A−1, respectively, with an ηext roll-off of 2.9%. Their non-doped OLEDs based on ICz-DPS afforded high efficiencies of 11.7% and 30.1 cd A−1, with pure-blue emission with CIE coordinates of (0.15, 0.08) and a low roll-off of 6.0%. In 2023, Jiang and co-workers designed and synthesized three novel AIE-active materials with twisted donor–acceptor structures, namely 3phCN-Cz, 3phCN-ICz, and 3phCN-tCzICz (Entries 8–10 in Table 2) [78]. Systematic investigations demonstrated that 3phCN-ICz and 3phCN-tCzICz, which possessed sterically hindered moieties of larger size, exhibited not only excellent thermal and electrochemical stability but also remarkable ability to suppress intermolecular interactions. These characteristics rendered them suitable candidates for constructing high-efficiency solution-processable blue TADF devices. Finally, 4-(tert-butyl)-N,N-dimethylaniline (4TCzBN) was employed as the blue TADF emitter; the solution-processable OLED device based on 3phCN-ICz achieved an EQEmax of 22.04%, a CEmax of 41.88 cd A−1, and a low turn-on voltage of merely 3.5 V. All delayed fluorescent AIEgens with carbazole donor units used as EMLs are shown in Table 2 [79,80,81,82,83,84,85,86].
Compared to triphenylamine, the rotational degree freedom of acridine is greatly reduced, but as a rigid group with large steric hindrance, its introduction into AIEgens can improve material stability [87,88,89,90,91,92,93,94,95,96,97,98,99,100,101,102,103,104,105,106]. In 2022, Yang et al. first successfully developed a series of highly efficient TADF-AIE luminophores based on imidazole–acridine moieties (Entries 1–3 in Table 3) [87]. The introduction of two cyano functional groups onto the imidazole moiety significantly enhanced the electron-withdrawing capability, thereby endowing the TADF emission with a small ΔEST value. Meanwhile, the installation of an acridine group at the N1 position of the imidazole moiety twisted the geometric configuration between the imidazole and the benzene bridge, thus converting the imidazole derivative from an ACQ luminophore into an AIE luminophore. Consequently, the non-doped OLEDs employing these TADF-AIE luminophores as emitters exhibited excellent sky-blue and green luminescence, with a high EQE of up to 20.0% and a low efficiency roll-off (EQE measured at 1000 cd·m−2 was 16.1%).
Table 3.
Photophysical properties of the delayed fluorescent AIEgens with acridine and similar (phenothiazine or phenoxazine) donor units and the performance of the devices using them as EMLs.
Phenothiazine or phenoxazine has similar electronic effects to acridine. However, the photoelectric performance of their derivatives typically surpasses that of acridine derivatives. Table 3 displays TADF AIEgens applied to OLED emissive layers using acridine, phenothiazine, and phenoxazine as electron donors. Two new TADF emitters, BenCN-PXZ and BDCN-PXZ (Entries 4–5, Table 3), which employed an asymmetric donor–acceptor framework, were designed and synthesized by combining different CN-modified acceptor units with phenoxazine PXZ as a strong electron-donating unit in 2021 [88]. The influence of the CN group at different substituting sites was systematically compared to highlight the structure–property relationship. BenCN-PXZ and BDCN-PXZ exhibited red emission with emission peaks beyond 600 nm and short delayed lifetimes within 0.6 µs in neat films. Surprisingly, the delayed lifetime of BDCN-PXZ remained shorter than 1 µs even when doped into the 4, 4′-di(9H-carbazol-9-yl)-1, 1′-biphenyl (CBP) host, implying its promising application in OLEDs. Both non-doped and doped OLEDs were fabricated for comparison. Among them, the doped device based on BDCN-PXZ: CBP demonstrated superior performance and negligible efficiency roll-off (2.8%) at 1000 cd m−2, which was nearly the best result reported for orange-red TADF-based OLEDs at that time.
In the same year, Chen’s research team synthesized three quinoline-based TADF molecules, DMAC-QL, PXZ-QL, and PTZ-QL (Entries 6–8 in Table 3), via a one-pot reaction using commercially available materials as the starting substrates. Their twisted conformations were verified by single-crystal X-ray diffraction analysis, and all the compounds exhibited excellent thermal stability. Furthermore, the ΔEST values of DMAC-QL, PXZ-QL, and PTZ-QL were determined to be 0.06, 0.10, and 0.04 electron volts, respectively, with corresponding delayed lifetimes of 2.15, 1.86, and 15.76 microseconds, indicating their remarkable TADF performance. These molecules also displayed typical AIE and aggregation-induced delayed fluorescence (AIDF) characteristics in tetrahydrofuran/water (THF/H2O) mixed solutions. Non-doped OLEDs based on these emitters were fabricated, achieving maximum EQEs of 7.7%, 17.3%, and 14.8%, along with turn-on voltages of 3.2, 2.6, and 2.8 volts, respectively.
3.2. HLCT Process
OLEDs designed using the HLCT process are relatively rare compared to the TADF process. In 2019, through introducing TPE and cyano groups onto an HLCT-type phenanthroimidazole core, Prof. Tang synthesized six luminescent compounds bearing distinct conjugation patterns at the C2 and N1 positions, thereby effectively modulating their excited states [107]. Based on systematic photophysical analysis, the impacts of molecular conjugation patterns on the regulation of LE and CT components were disclosed, and their AIE characteristics that ensure the high PLQYs of these compounds in aggregates were observed. Exciton conversion channels from triplets to singlets via the tuning of excited states were proposed based on theoretical calculations. The non-doped OLED based on 4-(2-(4-(1, 2, 2-triphenylvinyl)phenyl)-1H-phenanthro[9, 10-d]imidazol-1-yl)benzonitrile (ppCTPI) exhibited excellent performance with a maximum luminance, current efficiency, and EQE of up to 31,070 cd·m−2, 18.46 cd·A−1, and 7.16%, respectively, and a very small efficiency roll-off of 4.0% at 1000 cd·m−2 luminance (Scheme 2). The following year, four naphthothiadiazole-based deep-red emitters with AIE activity were employed as model compounds to reveal referenced structure–property rules in excited states containing large energy level differences between T2 and T1 levels (ΔT2T1), small ΔEST and large SOC, and effective interstate coupling between S1 and S2 (Figure 3) [108]. These rules were presented as the “Three Golden Principles” because of their acceleration effect in improving emissive exciton transformation from high-level triplet excitons by activating the upper reversed intersystem crossing (uRISC) channel.
Scheme 2.
The design method of ppCTPI.
Figure 3.
D-A molecular structures of delayed fluorescence AIEgens through TTA process, and EL performance of these AIEgens-based OLEDs.
In 2021, Yang et al. reported a novel design strategy for constructing intramolecular spatial charge transfer-hybridized local and charge transfer (ISCT-HLCT) materials based on a spiro architecture, where bipolar spirofluorene served as the rigid bridging moiety [109]. Upon doping into a solid-state matrix, 4-phenyl-7-(4-(10-phenyl-10H-spiro[acridine-9,9′-fluorene]-1′-yl)phenyl)benzo[c][1,2,5]thiadiazole (Spiro-2P-BT-TPA) exhibited a high photoluminescence quantum yield of up to 80.9%, which was attributed to its sterically confined D/A stacking structure, multiple intermolecular/intramolecular interactions, and quasi-AIE characteristics. The OLED device based on Spiro-2P-BT-TPA achieved an EQE of 6.6% with a photon utilization efficiency of 40%.
3.3. TTA Process
Compared to the delayed fluorescence AIEgens designed for OLEDs using the HLCT mechanism, molecules designed using the TTA principle are rarer. In 2022, Tang’s group demonstrated a novel strategy that employs TTA upconversion materials as triplet quenchers to rapidly deplete the triplet population, thereby suppressing the STA process in AIE-based deep-blue OLEDs [110]. To inhibit the STA process, they doped 1-(2,5-dimethyl-4-(1-pyrenyl)phenyl)pyrene (DMPPP), a material featuring triplet–triplet annihilation upconversion properties, into two AIE emitters, aiming to reduce the triplet excitons at the T1 sites of AIE molecules. The results indicated that the resultant blue OLEDs achieved an enhanced EQE of 11.8% with CIE coordinates of (0.15, 0.07), without noticeable efficiency roll-off, thus realizing an efficiency breakthrough for AIE-based deep-blue OLEDs. In the previous year, the same research group successfully fabricated high-efficiency two-color and four-color hybrid white organic light-emitting diodes (WOLEDs) using 4′-(4-(diphenylamino)phenyl)-5′-phenyl-[1,1′:2′,1″-terphenyl]-4-carbonitrile (TPB-AC) as the host material for both blue emitters and yellow fluorophores. Furthermore, by incorporating a triplet–triplet fusion (TTF) layer into the TPB-AC blue emitter, they significantly improved the device efficiency and mitigated efficiency roll-off. Finally, the two-color WOLEDs exhibited a low turn-on voltage of merely 2.6 V, with a maximum EQE of 23.2%, a maximum CE of 73.2 cd·A−1, and a maximum PE of 78.7 lm·W−1. At a luminance of 1000 cd·m−2, the CE, PE, and EQE remained at 63.2 cd·A−1, 58.3 lm·W−1, and 21.1%, respectively, achieving extremely low efficiency roll-off (Figure 3) [111].
It is worth mentioning that a deep-blue emitter 1-(10-(4-methoxyphenyl)anthracen-9-yl)-4-(10-(4-cyanophenyl)anthracen-9yl)tetraphenylethene (TPEA) was successfully prepared by a combinational molecular design in 2018, which contains TTF and HLCT characteristics to increase the ratio of triplet excitons used. The TPE moiety contributed to the emitter AIE property (Figure 4), which enhanced the solid-state luminescence efficiency [112]. The crystallographic analysis revealed that the two anthracene groups were twisted relative to the central TPE core, a structural feature that effectively prevented a bathochromic shift in the emission spectrum. In addition, they adopted a donor–acceptor architecture to improve charge balance in OLEDs. The material exhibited high thermal stability, with a glass transition temperature (Tg) of 155 °C, which was observed during differential scanning calorimetry measurements. Building upon these molecular design advantages, a non-doped OLED device achieved high performance: it demonstrated a turn-on voltage (Von) of 2.6 V at a luminance of 1 cd·m−2, a maximum power efficiency (ηPE, max) of 11.1 lm·W−1, and a maximum current efficiency (ηCE, max) of 9.9 cd A−1. Notably, the device showed a low current efficiency roll-off even when the luminance reached 1000 cd·m−2, indicating excellent operational stability under practical driving conditions. The delayed fluorescence AIEgens with no clear luminescence mechanism in the literature were not introduced in this review [113,114,115,116,117].
Figure 4.
(A) Proposed ‘‘HE’’ theoretical model. (B) Chemical structures of TNZ-based DR emitters. (C) UV-vis absorption spectra of TNZ-based emitters in tetrahydrofuran. (D) PL spectra of TNZ-based emitters in tetrahydrofuran (concentration: 10−5 M). (E) Linear correlation of polarity of solvent media with Stokes shift (va − vf). Adapted and modified with permission from Ref. [107]. (Copyright 2020, Royal Society of Chemistry.)
4. AIEgens with D-A-D (D-A-D’) Structures
The D-A-D structure typically has a more symmetrical molecular configuration, which facilitates the balanced injection and transport of holes and electrons, thereby improving the luminescence efficiency of the device. In addition, symmetrical structures often bring higher glass transition temperatures (Tg), which helps to improve the thermal stability and film uniformity of materials. This type of device is mainly designed based on TADF and HLCT processes.
4.1. TADF Process
Table 4 categorizes donor-dependent AIDF emitters for OLED emissive layers [118,119]. Among them, there are few reports on using triphenylamine as a donor. In 2019, DTPA-DDTM (Entry 1, Table 4) bearing triphenylamine as the donor moiety and phenyl ketone as the acceptor unit was designed and synthesized [118]. Combined charge transfer pathways in a single molecule could be achieved via linking the donor and acceptor units in the ortho-position, which was favorable for reducing ΔEST and increasing the luminescence efficiency. The TADF characteristics, AIE properties, solvatochromism, theoretical calculations, and crystallography of the designed emitters were systematically investigated to determine the structure–property relationship. By virtue of the inhibited concentration quenching in the solid state, the non-doped OLEDs employing DTPA-DDTM as the emitter realized high current efficiency LE and EQE of 25.6 cd A1 and 8.2%, respectively.
Table 4.
Photophysical properties of the delayed fluorescent AIEgens with D-A-D (D-A-D’) structures and the performance of the devices using them as EMLs (a typical example of structurally similar molecules).
In recent years, Zhao et al. reported a novel 4,4-difluoro-boradiazaindacene (BODIPY) chromophore featuring a D-A-D structure, designated as 2CF3-2TPA (Entry 2 in Table 4) [119]. The introduction of a trifluoromethyl-substituted phenyl group at the meso-position of the BODIPY core enabled the emission shift from red light to far-red light, while the steric hindrance of the trifluoromethyl group suppressed intermolecular interactions. By combining thermally assisted TADF hosts with deep-red dyes, OLED devices were fabricated, which exhibited a far-red turn-on wavelength of 668 nm and an EQE of 2.3%. Given the extensive range of luminescent layer materials containing carbazole, acridine, phenothiazine, or phenoxazine donors, this section focuses specifically on high-performance systems [79,120,121,122,123,124,125,126,127,128,129,130,131,132,133,134,135,136,137,138,139,140,141,142,143,144]. In 2018, a brand-new tailor-made material, namely DCPDAPM (Entry 4 in Table 4) [120], was developed based on a carbazole core, with 9,9-dimethyl-9,10-dihydroacridine serving as the donor moiety and triphenylene as the acceptor moiety. Among the non-doped OLED (Device A) and doped OLEDs (Devices B, C and D), Device D exhibited the optimal electroluminescence performance, achieving a turn-on voltage of 3.6 V, a maximum luminance of 116,100 cd·m−2, a maximum CE of 61.83 cd·A−1, a maximum PE of 40.45 lm·W−1, and an EQE of 19.67%. In 2024, Wang’s research team proposed an efficient molecular design strategy for TADF materials, which involves selecting a highly rigid and planar indolocarbazole donor and a molecularly locked acceptor to construct molecules with a D-A-D configuration, thereby successfully developing luminophores featuring high photoluminescence quantum yield (ΦPL) and small ΔEST [121]. These molecules exhibited intense TADF and AIE characteristics in non-doped thin films, accompanied by a ΦPL exceeding 70.0%, small ΔEST, low non-radiative transition rate constants, and large KRISC. As excellent emitters for OLEDs, 23BCzTPO (Entry 5 in Table 4) enabled highly efficient electroluminescence in the fabricated OLED devices, with CIE coordinates of (0.219, 0.463), a maximum CEmax of 36.9 cd·A−1, and a maximum EQEmax of 21.6%.
For AIEgens with delayed fluorescence using acridine, phenothiazine, and phenoxazine as electron donors, their EQEmax applied to OLEDs can reach over 20%. In 2018, Yang’s group prudently designed and synthesized two new derivatives based on quinoxaline as the acceptor and phenoxazine as the donor units, and introduced a fluorine atom owing to its weak electron-withdrawing ability and strong intermolecular electron coupling capability. They anticipated that the two new emitters, namely 10, 10′ -((6-fluoroquinoxaline2, 3-diyl)bis(4, 1-phenylene))-bis(10H-phenoxazine) (SFDBQPXZ) and 10, 10′-((6, 7-difluoro-quinoxaline-2, 3-diyl)bis(4, 1-phenylene)) bis(10H-phenoxazine) (DFDBQPXZ), can unambiguously embody the AIE-TADF nature and eventually the device efficiency can be remarkably improved with reduced concentration quenching [135]. It is worth mentioning that employing monofluoro-substituted SFDBQPXZ (Entry 20, Table 4) as the emitter in the doped device realized an efficient yellow fluorescent device with the EQE close to 24% without any out-coupling technology and the non-doped device presented an orange emission with the EQE over 10%. In the following years, many AIEgens with D-A-D structures that could achieve EQEmax of over 20% were developed and applied to OLEDs [136,137].
In addition to conventional D-A-D and D-A-D’ AIEgens applied to OLEDs, thermally delayed fluorescence AIEgens with three-arm [145,146,147], four-arm [148,149], and multi-arm [150,151,152] architectures have also been developed based on this design. This type of AIEgens was used for devices with final EQEs ranging from 10% to 20%. For instance, Sun et al. fabricated two tailor-made luminophores, namely 4CzIPN-MO and 4CzPhIPN-MO, both of which exhibited distinct TADF characteristics; in particular, 4CzPhIPN-MO demonstrated remarkable AIE performance (Figure 5) [148]. The benzene bridge structure acted as an axis inserted to mitigate the steric hindrance effect of the donor moieties, thereby endowing the material with AIE properties and suppressing non-radiative decay. Meanwhile, the methoxy groups helped lower the HOMO level, thus reducing the injection barrier in the device. The homogeneous thin films of 4CzPhIPN-MO displayed high solid-state PL efficiency and excellent TADF performance. Consequently, a simple solution-processable non-doped OLED using 4CzPhIPN-MO as the emitter achieved an EQEmax of 14.5%, along with substantially reduced driving voltage and efficiency roll-off, and its device efficiency was three times higher than that of the corresponding device employing 4CzIPN-MO.
Figure 5.
(A) Molecular structures of 4CzIPN-MO and 4CzPhIPN-MO. (B) Optimized geometries, electron cloud distribution maps, calculated energy levels, and space-filling models for 4CzIPN-MO and 4CzPhIPN-MO. (C) UV-vis absorption and PL spectra of 4CzIPN-MO and 4CzPhIPN-MO in toluene solution. (D) UV-vis absorption and PL spectra of 4CzIPN-MO and 4CzPhIPN-MO in thin film states. Adapted and modified with permission from Ref. [147]. (Copyright 2020, Royal Society of Chemistry.)
4.2. HLCT Process
All the delayed fluorescence AIEgens designed for OLEDs through the HLCT process are summarized in Table 5 [153,154,155,156,157,158]. Most AIEgens commonly employ benzothiadiazole or naphthothiadiazole as electron acceptors, paired with triphenylamine or TPE as electron donors. As illustrated in Table 5, the EQE of all fabricated devices remains below 10%, notably surpassing the theoretical limit of conventional fluorescent devices yet indicating significant room for improvement. It is worth mentioning that Ma and co-workers designed and synthesized a new D-π-A-π-D type compound of 4,4′-(naphtho [2,3-c][1,2,5]thiadiazole-4,9-diyl)bis(N,N-diphenylaniline) (NZ2TPA), which shows a near-infrared (NIR) emission at 683 nm in neat film state [153]. The non-doped devices based on NZ2TPA exhibited excellent performance, achieving an EQEmax of 3.9% with an emission peak at 696 nm and a high luminance of 6330 cd·m−2, which were among the highest in the reported non-doped NIR fluorescent OLEDs. Moreover, the device remains a high EQE of 2.8% at a high brightness of 1000 cd·m−2, with very low efficiency roll-off. This section lacks a summary of AIEgens with unclear mechanisms [159,160,161,162,163,164].
Table 5.
Photophysical properties of the delayed fluorescent AIEgens through the HLCT process and the performance of the devices using them as EMLs.
5. AIEgens with A-D-A Structures
The symmetrical A-D-A architecture enables balanced charge transport of both holes and electrons, consequently enhancing the device’s luminescence efficiency. In recent years, there have also been many literature reports on related research [165,166,167,168,169]. Chen et al. reported the first solution-processed non-doped circularly polarized–OLEDs (CP-OLEDs) with high performances based on a pair of triptycene scaffold-based TADF enantiomers (R, R)-(-)-TpAc-TRZ and (S, S)-(+)- TpAc-TRZ (Figure 6A) [165]. The enantiomers have a small ΔEST of 0.03 eV and high PLQY of 85%. With the introduction of the triptycene scaffold, TpAc not only acts as a donor unit of the TADF emitters but also as chiral sources featured to induce chirality of the enantiomers. Obvious mirror-image circular dichroism (CD) and circularly polarized luminescence (CPL) signals of the enantiomers were also observed with opposing photoluminescence dissymmetry factors (gPL) of +1.9 × 10−3 and −1.8 × 10−3 for (S, S)-(+)-TpAc-TRZ and (R, R)-(-)-TpAc-TRZ, respectively, in neat film. Furthermore, the triptycene scaffold with a rigid 3D structure is conducive to avoiding π-π stacking, thereby inhibiting ACQ in aggregate state. In addition, obvious AIE and AIDF features of (S, S)-(+)-TpAc-TRZ were found, which was favorable for its use as an emitter for non-doped OLEDs. By employing the triptycene scaffold-based TADF enantiomers as emitters, the solution-processed non-doped CP-OLEDs achieved high EQE up to 25.5%, as well as intense CP electroluminescence (CPEL) properties with dissymmetry factors (gEL) of +1.5 × 10−3/−2.0 × 10−3 (Figure 6).

Figure 6.
(A) Synthetic routes of (S, S)-/(R, R)-TpAc-TRZ enantiomers. (B) Energy diagram of the solution-processed non-doped CP-OLEDs based on (S, S)-/(R, R)-TpAc-TRZ. (C) EQE–current density characteristic of the device G(S). (D) Current density–voltage–luminance (J-V-L) characteristics of the device G(S). (E) gEL values of CP-OLEDs based on (S, S)-(+)-TpAc-TRZ (G(S)) and (R, R)-(-)-TpAc-TRZ (G(R)) as a function of emission wavelength. Adapted and modified with permission from Ref. [164]. (Copyright 2021, Wiley-VCH.)
In 2023, Bose et al. reported the synthesis of bis-carbazole-derived luminogen by oxidative coupling of the carbazole in good yield (Scheme 3) [166]. The bis-carbazole luminogen displayed sky-blue emission in the aggregated state along with excellent electrochemical property and thermal stability, which are considered essential features for constructing high efficiency OLEDs. The luminogen was employed as an emitter for fabricating non-doped OLEDs and the device resulted in sky-blue emission with CIE coordinates (0.23, 0.41). The light-emitting device had a maximum current efficiency of 3.25 cd/A and EQEmax of 5%, which eventually rolled-off to about 2% at 50 mA/cm2.
Scheme 3.
Design strategy to develop bis-carbazole-derived aggregation-induced emissive luminogen.
6. Conjugated AIEgens with Noneheteroatom
Although conjugated AIEgens without heteroatoms exhibit relatively low EQEmax, they remain viable for fabricating stable blue or white OLED devices [170,171,172,173,174]. The molecular structures and EL performance of all conjugated AIEgens without heteroatoms prepared as devices are shown in Figure 7. In 2020, Li et al. synthesized three new TriPE-based sky-blue materials, TriPE-PA, TriPE-α-NA, and TriPE-β-NA, through a simple synthetic route [170]. All new molecules exhibited a typical AIE phenomenon with relatively high αAIE values (25–63) and PLQY (41.7–42.6%) at the aggregation state. These materials were extremely similar in photophysical and electrochemical properties. However, it was found that TriPE-PA performed poorly compared with others, when they were all used as the non-doped emitter in OLED devices. This may be due to the fact that it is a configurationally pure substance, while both TriPE-α-NA and TriPE-β-NA are the mixtures of asymmetric configurations.
Figure 7.
Molecular structures of conjugated AIEgens with noneheteroatom, and EL performance of these AIEgens-based OLEDs.
In addition, this year, Tang’s group synthesized two pyrene-based hot exciton molecules with the AIE feature by functionalizing the 1- and 3-positions of pyrene, where biphenyl serves as a through-space conjugation (TSC) unit and TPE acts as a rotor [171]. The synergistic effect boosted the blue emission behavior with high PLQY (Φf > 0.39), as well as narrow-band emission in the film state. Using the pyrene-based AIEgens as emitters, non-doped OLED and TADF-sensitizer OLED devices exhibited excellent (pure) blue EL performance. Moreover, the TPA-decorated pyrene exhibited a blue emission (CIEy < 0.13) and narrow full width at half maxima (FWHM) emission (47–60 nm) with high exciton utilization efficiency (>35.6%), while the TPE-decorated system displayed a broader FWHM emission but better OLED performance in both EL devices.
7. Conclusions and Outlooks
AIDF materials play an indispensable role in fabricating OLEDs. In the last couple of years, delayed fluorescent AIEgens have attracted great attention due to the high PL efficiency in the aggregated state, which has become the most promising candidate for fabricating OLED devices. This review systematically discusses recent advancements in delayed fluorescence AIEgens for OLEDs, elucidating both three photophysical mechanisms and rational molecular design strategies to accelerate the development of high-performance emissive materials. We describe the construction of AIDF materials from four aspects: D-A structure, D-A-D (D-A-D’) structure, A-D-A structure, and conjugated framework without heteroatoms. To obtain access to the remaining excitons in triplet states, OLEDs based on TADF and HLCT materials have achieved high EQE that is comparable to phosphorescent materials, and the device efficiency of TADF-OLED is generally superior to that of HLCT counterparts. Up to now, the maximum EQE of red AIE TADF-OLED has been increased to 36.2%, whereas it is only 6.8% for HLCT-OLED. However, the HLCT device exhibits relatively low-efficiency roll-off because of the much lower concentration of T1 excitons resulting from the fast hRISC process and the inhibited IC of Tn − T1.
Despite some achievements that have been made in highly efficient delayed fluorescence AIE OLED, the low EQE is still the bottleneck. For TADF materials, the reduced triplet exciton lifetime accompanied with an enhanced RISC rate can effectively reduce the triplet exciton density to alleviate efficiency roll-off. In addition, TADF compounds with a multiresonance effect exhibit advantages of a narrow-emission spectrum, high luminous efficiency, and so forth, which deserves more attention to be able to develop highly efficient luminophore. For HLCT emitters, hole/electron transport materials with matched energy levels should be investigated to further improve EL efficiency.
Author Contributions
Manuscript preparation, C.Y.; review and editing, J.N. All authors have read and agreed to the published version of the manuscript.
Funding
This research received no external funding.
Data Availability Statement
No new data were created or analyzed in this study.
Conflicts of Interest
The authors declare no conflicts of interest.
References
- Barman, D.; Narang, K.; Gogoi, R.; Barman, D.; Iyer, P.K. Exceptional class of thermally activated delayed fluorescent emitters that display pure blue, near-IR, circularly polarized luminescence and multifunctional behaviour for highly efficient and stable OLEDs. J. Mater. Chem. C 2022, 10, 8536–8583. [Google Scholar] [CrossRef]
- Cui, Z.; Abdurahman, A.; Ai, X.; Li, F. Stable luminescent radicals and radical-based LEDs with doublet emission. CCS Chem. 2020, 2, 1129–1145. [Google Scholar] [CrossRef]
- Lou, J.; Li, G.; Wang, Z.; Tang, B.Z. Progress of ultraviolet/deep-blue OLED luminescent materials. Chin. J. Lumin. 2023, 44, 37–60. [Google Scholar] [CrossRef]
- Yang, D.; Ma, D. Development of organic semiconductor photodetectors: From mechanism to applications. Adv. Opt. Mater. 2019, 7, 1800522. [Google Scholar] [CrossRef]
- Xiao, X.; Wang, K.; Ye, T.; Cai, R.; Ren, Z.; Wu, D.; Qu, X.; Sun, J.; Ding, S.; Sun, X.W.; et al. Enhanced hole injection assisted by electric dipoles for efficient perovskite light-emitting diodes. Commun. Mater. 2020, 1, 81. [Google Scholar] [CrossRef]
- Tang, C.W.; VanSlyke, S.A. Organic electroluminescent diodes. Appl. Phys. Lett. 1987, 51, 913–915. [Google Scholar] [CrossRef]
- Han, P.; Xia, E.; Qin, A.; Tang, B.Z. Adjustable and smart AIEgens for nondoped blue and deep blue organic light-emitting diodes. Coordin. Chem. Rev. 2022, 473, 214843. [Google Scholar] [CrossRef]
- Tu, L.; Xie, Y.; Li, Z.; Tang, B.Z. Aggregation-induced emission: Red and near-infrared organic light-emitting diodes. SmartMat 2021, 2, 326–346. [Google Scholar] [CrossRef]
- Yook, K.S.; Lee, J.Y. Small molecule host materials for solution processed phosphorescent organic light-emitting diodes. Adv. Mater. 2014, 26, 4218–4233. [Google Scholar] [CrossRef]
- Yu, L.; Yang, C. Multipath exciton harvesting in diazine-based luminescent materials and their applications for organic light-emitting diodes. J. Mater. Chem. C 2021, 9, 17265–17286. [Google Scholar] [CrossRef]
- Barman, D.; Gogoi, R.; Narang, K.; Iyer, P.K. Recent developments on multi-functional metal-free mechanochromic luminescence and thermally activated delayed fluorescence organic materials. Front. Chem. 2020, 8, 483. [Google Scholar] [CrossRef] [PubMed]
- Siddiqui, I.; Gautam, P.; Blazevicius, D.; Jayakumar, J.; Lenka, S.; Tavgeniene, D.; Zaleckas, E.; Grigalevicius, S.; Jou, J.H. Bicarbazole-benzophenone based twisted donor-acceptor derivatives as potential blue TADF emitters for OLEDs. Molecules 2024, 29, 1672. [Google Scholar] [CrossRef]
- Meng, X.Y.; Feng, Z.Q.; Yu, Y.J.; Liao, L.S.; Jiang, Z.Q. Highly efficient blue thermally activated delayed fluorescence emitters based on multi-donor modified oxygen-bridged boron acceptor. Molecules 2022, 27, 4048. [Google Scholar] [CrossRef]
- Chen, J.; Zeng, J.; Zhu, X.; Guo, J.; Zhao, Z.; Tang, B.Z. Versatile aggregation-enhanced delayed fluorescence luminogens functioning as emitters and hosts for high-performance organic light-emitting diodes. CCS Chem. 2021, 3, 230–240. [Google Scholar] [CrossRef]
- Liu, Y.; Li, C.; Ren, Z.; Yan, S.; Bryce, M.R. All-organic thermally activated delayed fluorescence materials for organic light-emitting diodes. Nat. Rev. Mater. 2018, 3, 18020. [Google Scholar] [CrossRef]
- Gray, V.; Moth-Poulsen, K.; Albinsson, B.; Abrahamsson, M. Towards efficient solid-state triplet-triplet annihilation based photon upconversion: Supramolecular, macromolecular and self-assembled systems. Coordin. Chem. Rev. 2018, 362, 54–71. [Google Scholar] [CrossRef]
- Uoyama, H.; Goushi, K.; Shizu, K.; Nomura, H.; Adachi, C. Highly efficient organic light-emitting diodes from delayed fluorescence. Nature 2012, 492, 234–238. [Google Scholar] [CrossRef] [PubMed]
- Luo, J.; Xie, Z.; Lam, J.W.Y.; Cheng, L.; Chen, H.; Qiu, C.; Kwok, H.S.; Zhan, H.; Liu, Y.; Zhu, D.; et al. Aggregation-induced emission of 1-methyl-1,2,3,4,5-pentaphenylsilole. Chem. Commun. 2001, 18, 1740–1741. [Google Scholar] [CrossRef]
- Wang, T.; Su, X.; Zhang, X.; Nie, X.; Huang, L.; Zhang, X.; Sun, X.; Luo, Y.; Zhang, G. Aggregation-induced dual-phosphorescence from organic molecules for nondoped light-emitting diodes. Adv. Mater. 2019, 31, 1904273. [Google Scholar] [CrossRef] [PubMed]
- Zhao, Z.; Zhang, H.; Lam, J.W.Y.; Tang, B.Z. Aggregation-induced emission: New vistas at aggregate level. Angew. Chem. Int. Ed. 2020, 59, 9888–9907. [Google Scholar] [CrossRef]
- Hruzd, M.; Durand, R.; Gauthier, S.; Poul, P.; Guen, F.R.; Achelle, S. Photoluminescence of platinum(II) complexes with diazine-based ligands. Chem. Rec. 2024, 24, e202300335. [Google Scholar] [CrossRef]
- Zhao, Q.; Sun, J.Z. Red and near infrared emission materials with AIE characteristics. J. Mater. Chem. C 2016, 4, 10588–10609. [Google Scholar] [CrossRef]
- Yang, S.; Qu, Y.; Liao, L.; Jiang, Z.; Lee, S. Research progress of intramolecular π-stacked small molecules for device applications. Adv. Mater. 2022, 34, 2104125. [Google Scholar] [CrossRef]
- Mei, J.; Leung, N.L.C.; Kwok, R.T.K.; Lam, J.W.Y.; Tang, B.Z. Aggregation-induced emission: Together we shine, united we soar! Chem. Rev. 2015, 115, 11718–11940. [Google Scholar] [CrossRef]
- Ni, J.; Wang, Y.; Zhang, H.; Sun, J.Z.; Tang, B.Z. Aggregation-induced generation of reactive oxygen species: Mechanism and photosensitizer construction. Molecules 2021, 26, 268. [Google Scholar] [CrossRef]
- Hwang, J.; Nagaraju, P.; Cho, M.J.; Choi, D.H. Aggregation-induced emission luminogens for organic light-emitting diodes with a single-component emitting layer. Aggregate 2023, 4, e199. [Google Scholar] [CrossRef]
- Rizzo, F.; Cucinotta, F. Recent developments in AIEgens for non-doped and TADF OLEDs. Isr. J. Chem. 2018, 58, 874–888. [Google Scholar] [CrossRef]
- Rana, S.; Nayak, S.R.; Patel, S.; Vaidyanathan, S. Efficiency boost in non-doped blue organic light-emitting diodes: Harnessing aggregation-induced emission-a comprehensive review. J. Mater. Chem. C 2024, 12, 765–818. [Google Scholar] [CrossRef]
- Bian, M.; Chen, Z.; Qu, B.; Xiao, L. Highly efficient organic blue electroluminescent materials and devices with mesoscopic structures. Chem. Rec. 2019, 19, 1562–1570. [Google Scholar] [CrossRef] [PubMed]
- Yang, J.; Chi, Z.; Zhu, W.; Tang, B.Z.; Li, Z. Aggregation-induced emission: A coming-of-age ceremony at the age of eighteen. Sci. China Chem. 2019, 62, 1090–1098. [Google Scholar] [CrossRef]
- Zhang, J.; Wu, M.; Zheng, D.; Zhao, J.; Yu, J. High EQE of 43.76% in solution-processed OLEDs operating at a wavelength of 626 nm. Appl. Phys. Lett. 2024, 125, 121102. [Google Scholar] [CrossRef]
- Zeng, X.; Tang, Y.; Zhou, J.; Zhang, K.; Wang, H.; Zhu, Y.; Li, Y.; Tang, J. Extended conjugation strategy enabling red-shifted and efficient emission of orange-red thermally activated delayed fluorescence materials. ACS Appl. Mater. Interfaces 2024, 16, 16563–16572. [Google Scholar] [CrossRef]
- Wang, H.; Lin, S.; Chen, J.; Hao, X.; Fan, X.; Shi, Y.; Yu, J.; Chen, X.; Wang, K.; Zhang, X. Stepwise planarizing geometries of D–A type red thermally activated delayed fluorescence molecules in condensed states toward high-efficiency red/NIR OLEDs. Adv. Funct. Mater. 2023, 33, 2304006. [Google Scholar] [CrossRef]
- Li, X.; Fu, S.; Xie, Y.; Li, Z. Thermally activated delayed fluorescence materials for organic light-emitting diodes. Rep. Prog. Phys. 2023, 86, 096501. [Google Scholar] [CrossRef] [PubMed]
- Liu, T.; Zhu, L.; Gong, S.; Zhong, C.; Xie, G.; Mao, E.; Fang, J.; Ma, D.; Yang, C. A red fluorescent emitter with a simultaneous hybrid local and charge transfer excited state and aggregation-induced emission for high-efficiency, low efficiency roll-off OLEDs. Adv. Opt. Mater. 2017, 5, 1700145. [Google Scholar] [CrossRef]
- Zhou, T.; Zhang, K.; Cao, Q.; Xu, H.; Ban, X.; Zhu, P.; Li, Q.; Shi, L.; Ge, F.; Jiang, W. Benzonitrile-based AIE polymer host with a simple synthesis process for high-efficiency solution-processable green and blue TADF organic light emitting diodes. J. Mater. Chem. C 2022, 10, 2109–2120. [Google Scholar] [CrossRef]
- Yang, X.; Yue, L.; Yu, Y.; Liu, B.; Dang, J.; Sun, Y.; Zhou, G.; Wu, Z.; Wong, W.Y. Strategically formulating aggregation-induced emission-active phosphorescent emitters by restricting the coordination skeletal deformation of Pt(II) complexes containing two independent monodentate ligands. Adv. Opt. Mater. 2020, 8, 2000079. [Google Scholar] [CrossRef]
- Ban, X.; Zhou, T.; Cao, Q.; Zhang, K.; Tong, Z.; Xu, H.; Zhu, A.; Jiang, W. Combining molecular encapsulation and an AIE strategy to construct an efficient blue TADF polymer for solution-processed multilayer white OLEDs. J. Mater. Chem. C 2022, 10, 15114–15125. [Google Scholar] [CrossRef]
- Zhang, W.; Yu, J.; Cao, Q.; Qian, Y.; Wang, J.; Yang, C.; Zhuang, H.; Bian, W.; Xin, Y.; Ban, X. Developing versatile dendrimer host materials for solution-processed phosphorescence, TADF and multi-resonance narrow-band OLEDs. J. Mater. Chem. C 2023, 11, 16247–16257. [Google Scholar] [CrossRef]
- Xie, Y.; Li, Z. Triboluminescence: Recalling interest and new aspects. Chem 2018, 4, 943–971. [Google Scholar] [CrossRef]
- Chang, K.; Li, Q.; Li, Z. Advances in mechanoluminescence and its applications. Chin. J. Org. Chem. 2020, 40, 3656–3671. [Google Scholar] [CrossRef]
- Baldo, M.A.; O’Brien, D.F. Excitonic singlet-triplet ratio in a semiconducting organic thin film. Phys. Rev. B 1999, 60, 14422–14428. [Google Scholar] [CrossRef]
- Rothberg, L.J.; Lovinger, A.J. Status of and prospects for organic electroluminescence. J. Mater. Res. 1996, 11, 3174–3187. [Google Scholar] [CrossRef]
- Kondakov, D.Y. Role of triplet-triplet annihilation in highly efficient fluorescent devices. J. Soc. Inf. Display 2009, 17, 137–143. [Google Scholar] [CrossRef]
- Wang, Y.; Yang, J.; Gong, Y.; Fang, M.; Li, Z.; Tang, B.Z. Host-guest materials with room temperature phosphorescence: Tunable emission color and thermal printing patterns. SmartMat 2020, 1, e1006. [Google Scholar] [CrossRef]
- Zhao, Z.; Tang, B.Z. An efficient strategy enabling solution processable thermally activated delayed fluorescence emitter with high horizontal dipole orientation. Chin. J. Struct. Chem. 2024, 43, 100270. [Google Scholar] [CrossRef]
- Ban, X.; Qiu, S.; Cao, Q.; Zhang, K.; Zhou, T.; Xu, H.; Pei, M.; Ge, F.; Tong, Z.; Jiang, W. Exciplex polymer with strong AIE for constructing fully-solution-processed organic light-emitting diodes with 100-fold efficiency improvement compared to physically blended exciplex. Polym. Chem. 2022, 13, 6500–6511. [Google Scholar] [CrossRef]
- Xie, Y.; Ge, Y.; Peng, Q.; Li, C.; Li, Q.; Li, Z. How the molecular packing affects the room temperature phosphorescence in pure organic compounds: Ingenious molecular design, detailed crystal analysis, and rational theoretical calculations. Adv. Mater. 2017, 29, 1606829. [Google Scholar] [CrossRef]
- Li, Q.; Li, Z. Molecular packing: Another key point for the performance of organic and polymeric optoelectronic materials. Acc. Chem. Res. 2020, 53, 962–973. [Google Scholar] [CrossRef] [PubMed]
- Liao, Q.; Gao, Q.; Wang, J.; Gong, Y.; Peng, Q.; Tian, Y.; Fan, Y.; Guo, H.; Ding, D.; Li, Q.; et al. 9,9-Dimethylxanthene derivatives with room-temperature phosphorescence: Substituent effects and emissive properties. Angew. Chem. Int. Ed. 2020, 59, 9946–9951. [Google Scholar] [CrossRef]
- Xie, Y.; Li, Z. Thermally activated delayed fluorescent polymers. J. Polym. Sci. Part A Polym. Chem. 2017, 55, 575–584. [Google Scholar] [CrossRef]
- Che, W.; Xie, Y.; Li, Z. Structural design of blue-to-red thermally-activated delayed fluorescence molecules by adjusting the strength between donor and acceptor. Asian J. Org. Chem. 2020, 9, 1262–1276. [Google Scholar] [CrossRef]
- Yang, Z.; Mao, Z.; Xie, Z.; Zhang, Y.; Liu, S.; Zhao, J.; Xu, J.; Chi, Z.; Aldred, M.P. Recent advances in organic thermally activated delayed fluorescence materials. Chem. Soc. Rev. 2017, 46, 915–1016. [Google Scholar] [CrossRef]
- Cai, X.; Li, X.; Xie, G.; He, Z.; Gao, K.; Liu, K.; Chen, D.; Cao, Y.; Su, S.J. “Rate-limited effect” of reverse intersystem crossing process: The key for tuning thermally activated delayed fluorescence lifetime and efficiency roll-off of organic light emitting diodes. Chem. Sci. 2016, 7, 4264–4275. [Google Scholar] [CrossRef]
- Tao, Y.; Yuan, K.; Chen, T.; Xu, P.; Li, H.H.; Chen, R.F.; Zheng, C.; Zhang, L.; Huang, W. Thermally activated delayed fluorescence materials towards the breakthrough of organoelectronics. Adv. Mater. 2014, 26, 7931–7958. [Google Scholar] [CrossRef] [PubMed]
- Wong, M.Y.; Zysman-Colman, E. Purely organic thermally activated delayed fluorescence materials for organic light-emitting diodes. Adv. Mater. 2017, 29, 1605444. [Google Scholar] [CrossRef]
- Tanaka, H.; Shizu, K.; Nakanotani, H.; Adachi, C. Twisted intramolecular charge transfer state for long-wavelength thermally activated delayed fluorescence. Chem. Mater. 2013, 25, 3766–3771. [Google Scholar] [CrossRef]
- Pan, Y.; Li, W.; Zhang, S.; Yao, L.; Gu, C.; Xu, H.; Yang, B.; Ma, Y. High yields of singlet excitons in organic electroluminescence through two paths of cold and hot excitons. Adv. Opt. Mater. 2014, 2, 510–515. [Google Scholar] [CrossRef]
- Penfold, T.J.; Gindensperger, E.; Daniel, C.; Marian, C.M. Spin-vibronic mechanism for intersystem crossing. Chem. Rev. 2018, 118, 6975–7025. [Google Scholar] [CrossRef]
- Xu, Y.; Wang, C.; Zhou, X.; Zhou, J.; Guo, X.; Liang, X.; Hu, D.; Li, F.; Ma, D.; Ma, Y. Fine modulation of the higher-order excitonic states toward more efficient conversion from upper-level triplet to singlet. J. Phys. Chem. Lett. 2019, 10, 6878–6884. [Google Scholar] [CrossRef] [PubMed]
- Rana, S.; Nayak, S.R.; Saenubol, A.; Promarak, V.; Patel, S.; Vaidyanathan, S. Synergistic enhancement of nondoped OLED efficiency with EQE≈15% in donor-π-acceptor based blue emitters featuring combined AIE-HLCT characteristics. Adv. Funct. Mater. 2025, 35, 2507011. [Google Scholar] [CrossRef]
- Bharmoria, P.; Bildirir, H.; Moth-Poulsen, K. Triplet-triplet annihilation based near infrared to visible molecular photon upconversion. Chem. Soc. Rev. 2020, 49, 6529–6554. [Google Scholar] [CrossRef]
- Yang, D.; Han, J.; Liu, M.; Duan, P. Photon upconverted circularly polarized luminescence via triplet-triplet annihilation. Adv. Mater. 2019, 31, 1805683. [Google Scholar] [CrossRef] [PubMed]
- Ieuji, R.; Goushi, K.; Adachi, C. Triplet-triplet upconversion enhanced by spin-orbit coupling in organic light-emitting diodes. Nat. Commun. 2019, 10, 5283–5292. [Google Scholar] [CrossRef]
- Kumsampao, J.; Chaiwai, C.; Sukpattanacharoen, C.; Nalaoh, P.; Chawanpunyawat, T.; Chasing, P.; Namuangruk, S.; Kungwan, N.; Sudyoadsuk, T.; Promarak, V. Solid-state fluorophores with combined excited-state intramolecular proton transfer-aggregation-induced emission as efficient emitters for electroluminescent devices. Adv. Photonics Res. 2022, 3, 2100141. [Google Scholar] [CrossRef]
- Wu, H.; Zeng, J.; Xu, Z.; Zhang, B.; Zhang, H.; Pan, Y.; Wang, Z.; Ma, D.; Qin, A.; Tang, B.Z. Triphenylpyrazine: Methyl substitution to achieve deep blue AIE emitters. J. Mater. Chem. C 2019, 7, 13047–13051. [Google Scholar] [CrossRef]
- Han, P.; Lin, C.; Ma, D.; Qin, A.; Tang, B.Z. Violet-blue emitters featuring aggregation-enhanced emission characteristics for nondoped OLEDs with CIEy smaller than 0.046. ACS Appl. Mater. Interfaces 2020, 12, 46366–46372. [Google Scholar] [CrossRef]
- Pan, L.; Wu, H.; Liu, J.; Xue, K.; Luo, W.; Chen, P.; Wang, Z.; Qin, A.; Tang, B.Z. Tetraphenylpyrazine based AIE luminogens: Unique excited state decay and its application in deep-blue light-emitting diodes. Adv. Opt. Mater. 2019, 7, 1801673. [Google Scholar] [CrossRef]
- Wang, H.; Chen, J.X.; Zhou, L.; Zhang, X.; Yu, J.; Wang, K.; Zhang, X.H. A dual-locked triarylamine donor enables high-performance deep-red/NIR thermally activated delayed fluorescence organic light-emitting diodes. Mater. Horiz. 2023, 10, 2997–3004. [Google Scholar] [CrossRef]
- Zhang, Y.; Kong, F.L.; Chen, H.Y.; Liu, C.; Zhang, S.Y.; Wang, S.; Wen, L.J.; Li, Y.H.; Zhang, K.Y. AIE-active circularly polarized thermally activated delayed fluorescence emitters for stable solution-processed circularly polarized electroluminescence. Chem. Eur. J. 2025, 31, e202403970. [Google Scholar] [CrossRef] [PubMed]
- Congrave, D.G.; Drummond, B.H.; Gu, Q.; Montanaro, S.; Francis, H.; Riesgo-Gonzalez, V.; Zeng, W.; Matthews, C.S.B.; Dowland, S.; Wright, I.A.; et al. A solution-processable near-infrared thermally activated delayed fluorescent dye with a fused aromatic acceptor and aggregation induced emission behavior. J. Mater. Chem. C 2022, 10, 4831–4836. [Google Scholar] [CrossRef]
- Yu, F.; Ye, Z.; Xiao, J.; Liao, L.; Chen, L.; Mu, Y.; Ji, S.; Zhao, Z.; Zhang, H.L.; Huo, Y. Large effects of tiny structural changes on the AIE-TADF type xanthone derivatives in mechano-responsive luminescence and electroluminescence. Dyes Pigments 2022, 205, 110550. [Google Scholar]
- Wang, H.; Xie, L.; Peng, Q.; Meng, L.; Wang, Y.; Yi, Y.; Wang, P. Novel thermally activated delayed fluorescence materials-thioxanthone derivatives and their applications for highly efficient OLEDs. Adv. Mater. 2014, 26, 5198–5204. [Google Scholar] [CrossRef]
- Huang, B.; Ji, Y.; Li, Z.; Zhou, N.; Jiang, W.; Feng, Y.; Lin, B.; Sun, Y. Simple aggregation-induced delayed fluorescence materials based on anthraquinone derivatives for highly efficient solution-processed red OLEDs. J. Lumin. 2017, 187, 414–420. [Google Scholar] [CrossRef]
- Chen, S.; Zeng, P.; Wang, W.; Wang, X.; Wu, Y.; Lin, P.; Peng, Z. Naphthalimide-arylamine derivatives with aggregation induced delayed fluorescence for realizing efficient green to red electroluminescence. J. Mater. Chem. C 2019, 7, 2886–2897. [Google Scholar] [CrossRef]
- Kim, H.J.; Godumala, M.; Kim, S.K.; Yoon, J.; Kim, C.Y.; Park, H.; Kwon, J.H.; Cho, M.J.; Choi, D.H. Color-tunable boron-based emitters exhibiting aggregation-induced emission and thermally activated delayed fluorescence for efficient solution-processable nondoped deep-blue to sky-blue OLEDs. Adv. Opt. Mater. 2020, 8, 1902175. [Google Scholar] [CrossRef]
- Wang, J.; Zhang, J.; Jiang, C.; Yao, C.; Xi, X. Effective design strategy for aggregation-induced emission and thermally activated delayed fluorescence emitters achieving 18% external quantum efficiency pure-blue OLEDs with extremely low roll-off. ACS Appl. Mater. Interfaces 2021, 13, 57713–57724. [Google Scholar] [CrossRef]
- Jiang, W.; Zhang, G.; Zhao, G.; Wang, X.; Tian, W.; Sun, Y. Novel benzonitrile-based AIE host with high triplet energy for highly efficient solution-processed blue TADF OLEDs. Dyes Pigments 2023, 210, 111037. [Google Scholar] [CrossRef]
- Ma, F.; Ji, H.; Zhang, D.; Xue, K.; Zhang, P.; Qi, Z.; Zhu, H. Adjusting the photophysical properties of AIE-active TADF emitters from through-bond to through-space charge transfer for high-performance solution-processed OLEDs. Dyes Pigments 2021, 188, 109208. [Google Scholar] [CrossRef]
- Wang, J.; Yang, Y.; Xu, P.; Cang, Z.; Yao, C.; Zhai, X. Tuning photophysical properties of bicarbazole-based blue TADF emitters with AIE feature: Trade-off between small singlet-triplet energy splitting and high photoluminescence quantum yield. J. Lumin. 2023, 263, 120087. [Google Scholar] [CrossRef]
- Yang, Z.; Ge, X.; Li, W.; Mao, Z.; Chen, X.; Xu, C.; Gu, F.L.; Zhang, Y.; Zhao, J.; Chi, Z. From para to ortho: Incarnating conventional TADF molecules into AIE-TADF molecules for highly-efficient non-doped OLEDs. Chem. Eng. J. 2022, 442, 136219. [Google Scholar] [CrossRef]
- Lee, J.H.; Jeong, Y.; Tagare, J.; Kwon, M.J.; Kim, T.; Hong, W.P. Strategic carbazole-cycloalkyl fused donors to induce TADF featured AIE for high efficiency deep blue emission. J. Mater. Chem. C 2024, 12, 11115–11126. [Google Scholar] [CrossRef]
- Dong, X.; Wang, S.; Gui, C.; Shi, H.; Cheng, F.; Tang, B.Z. Synthesis, aggregation-induced emission and thermally activated delayed fluorescence properties of two new compounds based on phenylethene, carbazole and 9,9’,10,10’-tetraoxidethianthrene. Tetrahedron 2018, 74, 479–505. [Google Scholar] [CrossRef]
- Shi, Z.; Zhang, X.; Wang, H.; Huo, J.; Zhao, H.; Shi, H.; Tang, B.Z. The synthesis, photoluminescence and electroluminescence properties of a new emitter based on diphenylethene, carbazole and 9,9,10,10-tetraoxidethianthrene. Org. Electron. 2019, 70, 7–13. [Google Scholar] [CrossRef]
- Wang, J.; Yang, Y.; Jiang, C.; He, M.; Yao, C.; Zhang, J. Ultrapure deep-blue aggregation-induced emission and thermally activated delayed fluorescence emitters for efficient OLEDs with CIEy < 0.1 and low efficiency roll-offs. J. Mater. Chem. C 2022, 10, 3163–3171. [Google Scholar]
- Liu, X.; Wang, Y.F.; Li, M.; Zhu, Y.; Chen, C.F. Aromatic-imide-based TADF material as emitter for efficient yellow and white organic light-emitting diodes. Org. Electron. 2021, 88, 106017. [Google Scholar] [CrossRef]
- Yang, G.; Ran, Y.; Wu, Y.; Chen, M.; Bin, Z.; You, J. Endowing imidazole derivatives with thermally activated delayed fluorescence and aggregation-induced emission properties for highly efficient non-doped organic light-emitting diodes. Aggregate 2022, 3, e127. [Google Scholar] [CrossRef]
- Qiu, Z.; Xie, W.; Yang, Z.; Tan, J.H.; Yuan, Z.; Xing, L.; Ji, S.; Chen, W.C.; Huo, Y.; Sun, S.J. Nanosecond-time-scale delayed fluorescence towards fast triplet-singlet spin conversion for efficient orange-red OLEDs with negligible efficiency roll-off. Chem. Eng. J. 2021, 415, 128949. [Google Scholar] [CrossRef]
- Shen, Y.F.; Li, M.; Zhao, W.L.; Wang, Y.F.; Lu, H.Y.; Chen, C.F. Quinoline-based TADF emitters exhibiting aggregation-induced emission for efficient non-doped organic light-emitting diodes. Mater. Chem. Front. 2021, 5, 834–842. [Google Scholar] [CrossRef]
- Chen, W.C.; Su, Y.; Wu, X.; Wang, R.; Jin, J.M.; Zheng, F.; Liu, X.L.; Zhang, Y.; He, N.; Sun, Y.; et al. An azaryl-ketone-based thermally activated delayed fluorophore with aggregation-induced emission for efficient organic light-emitting diodes with slow efficiency roll-offs. Chem. Asian J. 2024, 19, e202400741. [Google Scholar] [CrossRef]
- Zhou, X.; Xiang, Y.; Ni, F.; Zou, Y.; Chen, Z.; Yin, X.; Xie, G.; Gong, S.; Yang, C. Benzoylpyridine-based TADF emitters with AIE feature for efficient non-doped OLEDs by both evaporation and solution process. Dyes Pigments 2020, 176, 108179. [Google Scholar] [CrossRef]
- Masimukku, N.; Gudeika, D.; Volyniuk, D.; Bezvikonnyi, O.; Simokaitiene, J.; Matulis, V.; Lyakhov, D.; Azovskyi, V.; Grazulevicius, J.V. Bipolar 1,8-naphthalimides showing high electron mobility and red AIE-active TADF for OLED applications. Phys. Chem. Chem. Phys. 2022, 24, 5070–5082. [Google Scholar] [CrossRef]
- Ma, Z.; Wang, Y.; Liu, Y.; Li, G.; Zhou, J.; Zhao, J.; Yang, Z.; Chi, Z. Constructing high-efficiency aggregation-induced delayed fluorescence molecules and OLEDs applying C–H⋅N hydrogen bond manipulation strategy. Dyes Pigments 2023, 215, 111298. [Google Scholar] [CrossRef]
- Wu, X.; Wang, R.; Chen, W.C.; Liu, B.; Yang, Q.; Ji, S.; Huo, Y. Design, synthesis and photophysical properties of a (quinolin-3-yl)methanone-based thermally activated delayed fluorescence emitter. J. Mol. Struct. 2023, 1285, 135408. [Google Scholar] [CrossRef]
- Xiang, S.; Huang, Z.; Sun, S.; Lv, X.; Fan, L.; Ye, S.; Chen, H.; Guo, R.; Wang, L. Highly efficient non-doped OLEDs using aggregation-induced delayed fluorescence materials based on 10-phenyl-10H-phenothiazine 5,5-dioxide derivatives. J. Mater. Chem. C 2018, 6, 11436–11443. [Google Scholar] [CrossRef]
- Zhou, C.; Cao, C.; Yang, D.; Cao, X.; Liu, H.; Ma, D.; Lee, C.S.; Yang, C. Highly efficient red thermally activated delayed fluorescence emitters by manipulating the molecular horizontal orientation. Mater. Chem. Front. 2021, 5, 3209–3215. [Google Scholar] [CrossRef]
- Zhang, Q.; Sun, S.; Liu, W.; Leng, P.; Lv, X.; Wang, Y.; Chen, H.; Ye, S.; Zhuang, S.; Wang, L. Integrating TADF luminogens with AIE characteristics using a novel acridine-carbazole hybrid as donor for high-performance and low efficiency roll-off OLEDs. J. Mater. Chem. C 2019, 7, 9487–9495. [Google Scholar] [CrossRef]
- Kim, T.; Sohn, S.; Park, S.; Choi, W.; Ahn, H.; Jung, S.; Park, T. Intramolecular hydrogen bonding-induced conformation-locked multifunctional emitters for non-doped OLEDs. Chem. Eng. J. 2023, 478, 147444. [Google Scholar] [CrossRef]
- Hu, F.; Yang, W.; Li, L.; Miao, J.; Gong, S.; Ye, C.; Gao, X.; Yang, C. Multifunctional emitters with TADF, AIE, polymorphism and high-contrast multicolor mechanochromism: Efficient organic light-emitting diodes. Chem. Eng. J. 2023, 464, 142678. [Google Scholar] [CrossRef]
- Zhou, X.; Yang, H.; Chen, Z.; Gong, S.; Lu, Z.H.; Yang, C. Naphthyridine-based emitters simultaneously exhibiting thermally activated delayed fluorescence and aggregation-induced emission for highly efficient non-doped fluorescent OLEDs. J. Mater. Chem. C 2019, 7, 6607–6615. [Google Scholar] [CrossRef]
- Gavale, R.; Ghasemi, M.; Khan, F.; Volyniuk, D.; Grazulevicius, J.V.; Misra, R. Phenothiazine and phenothiazine sulfone derivatives: AIE, HTMs for doping free fluorescent and multiple-resonance TADF OLEDs. J. Mater. Chem. C 2024, 12, 2134–2147. [Google Scholar] [CrossRef]
- Yang, Z.; Zhan, Y.; Qiu, Z.; Zeng, J.; Guo, J.; Hu, S.; Zhao, Z.; Li, X.; Ji, S.; Huo, Y.; et al. Stimuli-responsive aggregation-induced delayed fluorescence emitters featuring the asymmetric D–A structure with a novel diarylketone acceptor toward efficient OLEDs with negligible efficiency roll-off. ACS Appl. Mater. Interfaces 2020, 12, 29528–29539. [Google Scholar] [CrossRef]
- Wang, Y.; Ning, W.; Yang, W.; Li, L.; Li, N.; Liu, T.; Gong, S.; Gao, X.; Yang, C. Sulfone-incorporated thermally activated delayed fluorescence emitters enable organic light-emitting diodes with low efficiency roll-off. Dyes Pigments 2023, 214, 111225. [Google Scholar] [CrossRef]
- Zhang, Y.; Nie, F.; Zhou, L.; Wang, X.; Liu, Y.; Huo, Y.; Chen, W.; Zhao, Z. Synthesis and optoelectronic studies of thermally activated delayed fluorescence materials based on benzothiazolyl ketones. Chin. J. Org. Chem. 2023, 43, 3876–3887. [Google Scholar] [CrossRef]
- Wu, Y.; Chen, X.; Mu, Y.; Yang, Z.; Mao, Z.; Zhao, J.; Yang, Z.; Zhang, Y.; Chi, Z. Two thermally stable and AIE active 1,8-naphthalimide derivatives with red efficient thermally activated delayed fluorescence. Dyes Pigments 2019, 169, 81–88. [Google Scholar] [CrossRef]
- Silva, W.P.; Decarli, N.O.; Espindola, L.; Erfurt, K.; Blacha-Grzechnik, A.; Pander, P.; Lapkowski, M.; Data, P. Multifunctional properties of D–A luminophores based on acenaphtopyrido [2,3-b]pyrazine core: Photophysics, photochemistry, and efficient solution-processed OLEDs. J. Mater. Chem. C 2023, 11, 15246–15260. [Google Scholar] [CrossRef]
- Zhang, H.; Zeng, J.; Luo, W.; Wu, H.; Zeng, C.; Zhang, K.; Feng, W.; Wang, Z.; Zhao, Z.; Tang, B.Z. Synergistic tuning of the optical and electrical performance of AIEgens with a hybridized local and charge-transfer excited state. J. Mater. Chem. C 2019, 7, 6359–6368. [Google Scholar] [CrossRef]
- Wan, Q.; Zhang, B.; Ma, Y.; Wang, Z.; Zhang, T.; Tang, B.Z. Delicate modulation of triplet energy levels for activating “hot excitons” channels in deep red AIEgens. J. Mater. Chem. C 2020, 8, 14146–14154. [Google Scholar] [CrossRef]
- Yang, S.Y.; Zhang, Y.L.; Kong, F.C.; Yu, Y.J.; Li, H.C.; Zou, S.N.; Khan, A.; Jiang, Z.Q.; Liao, L.S. π-stacked donor-acceptor molecule to realize hybridized local and charge-transfer excited state emission with multi-stimulus response. Chem. Eng. J. 2021, 418, 129366. [Google Scholar] [CrossRef]
- Lin, C.; Han, P.; Qu, F.; Xiao, S.; Li, Y.; Xie, D.; Qiao, X.; Yang, D.; Dai, Y.; Sun, Q.; et al. Suppressing singlet-triplet annihilation processes to achieve highly efficient deep-blue AIE-based OLEDs. Mater. Horiz. 2022, 9, 2376–2383. [Google Scholar] [CrossRef]
- Gao, G.; Han, P.; Qiao, X.; Dai, Y.; Sun, Q.; Yang, D.; Qin, A.; Tang, B.Z.; Ma, D. High-efficiency and low-efficiency roll-off fluorescence/phosphorescence hybrid white organic light-emitting diodes based on AIEgens with hot exciton property by strategically managing triplet excitons. J. Mater. Chem. C 2024, 12, 1972–1979. [Google Scholar] [CrossRef]
- Bian, M.; Zhao, Z.; Li, Y.; Li, Q.; Chen, Z.; Zhang, D.; Wang, S.; Bian, Z.; Liu, Z.; Duan, L.; et al. A combinational molecular design to achieve highly efficient deep-blue electrofluorescence. J. Mater. Chem. C 2018, 6, 745–753. [Google Scholar] [CrossRef]
- Wang, Y.; He, Z.; Chen, G.; Shan, T.; Yuan, W.; Lu, P.; Zhang, Y. D–A structured high efficiency solid luminogens with tunable emissions: Molecular design and photophysical properties. Chin. Chem. Lett. 2017, 28, 2133–2138. [Google Scholar] [CrossRef]
- Venkatramaiah, N.; Kumar, G.D.; Chandrasekaran, Y.; Ganduri, R.; Patil, S. Efficient blue and yellow organic light-emitting diodes enabled by aggregation-induced emission. ACS Appl. Mater. Interfaces 2018, 10, 3838–3847. [Google Scholar] [CrossRef]
- Liu, W.; Ying, S.; Zhang, Q.; Ye, S.; Guo, R.; Ma, D.; Wang, L. New multifunctional aggregation-induced emission fluorophores for reversible piezofluorochromic and nondoped sky-blue organic light-emitting diodes. Dyes Pigments 2018, 158, 204–212. [Google Scholar] [CrossRef]
- Mao, X.; Xie, F.; Wang, X.; Wang, Q.; Qiu, Z.; Elsegood, M.R.J.; Bai, J.; Feng, X.; Redshaw, X.; Huo, Y.; et al. New quinoxaline-based blue emitters: Molecular structures, aggregation-induced enhanced emission characteristics and OLED application. Chin. J. Chem. 2021, 39, 2154–2162. [Google Scholar] [CrossRef]
- Chatsirisupachai, J.; Nalaoh, P.; Kaiyasuan, C.; Chasing, P.; Sudyoadsuk, T.; Promarak, V. Unique dual fluorescence emission in the solid state from a small molecule based on phenanthrocarbazole with an AIE luminogen as a single-molecule white-light emissive material. Mater. Chem. Front. 2021, 5, 2361–2372. [Google Scholar] [CrossRef]
- Ma, F.; Cheng, Y.; Zheng, Y.; Ji, H.; Hasrat, K.; Qi, Z. Rational design of thermally activated delayed fluorescence emitters with aggregation-induced emission employing combined charge transfer pathways for fabricating efficient non-doped OLEDs. J. Mater. Chem. C 2019, 7, 9413–9422. [Google Scholar] [CrossRef]
- Zhao, G.; Dai, H.; Zhou, R.; Zhang, G.; Chen, H.; Ma, D.; Tian, W.; Ban, X.; Jiang, W.; Sun, Y. Endowing deep-red BODIPY luminophors with enhanced aggregation-induced emission by installing miniature rotor of trifluoromethyl for solution-processed OLEDs. Org. Electron. 2022, 106, 106530. [Google Scholar] [CrossRef]
- Zhao, Y.; Wang, W.; Gui, C.; Fang, L.; Zhang, X.; Wang, S.; Chen, S.; Shi, H.; Tang, B.Z. Thermally activated delayed fluorescence material with aggregation-induced emission properties for highly efficient organic light-emitting diodes. J. Mater. Chem. C 2018, 6, 2873–2881. [Google Scholar] [CrossRef]
- Wang, J.; Niu, Y.; Yang, Y.; Peng, H.; Zhang, J.; Yao, C. Towards efficient blue aggregation-induced emission and delayed fluorescence molecules by locking the skeleton of indolocarbazole derivatives for non-doped OLEDs. Mater. Today Chem. 2024, 40, 102239. [Google Scholar] [CrossRef]
- Gong, H.; Song, Y.; He, J.; Wang, P.; Xiang, Y.; Li, S.; Yao, J.; Liao, B.; Liao, Q.; Fu, H. Switching from thermally activated delayed fluorescence in single crystals for low-threshold laser to room-temperature phosphorescence in amorphous-film for highly efficient OLEDs. Angew. Chem. Int. Ed. 2024, 63, e202400089. [Google Scholar] [CrossRef]
- Huo, J.; Zheng, Y.; Zhang, D.; Xu, H.; Li, Y.; Miao, Y.; Shi, H.; Tang, B.Z. A rational design strategy for red thermally activated delay fluorescence emitter employing 2,1,3-benzothiadiazole skeleton with asymmetric structure. Dyes Pigments 2021, 196, 109781. [Google Scholar] [CrossRef]
- He, Y.; Zhang, C.; Yan, H.; Chai, Y.; Zhou, D. A simple strategy for obtaining aggregation-induced delayed fluorescence material achieving nearly 20% external quantum efficiency for non-doped solution-processed OLEDs. Chem. Eng. J. 2023, 476, 146675. [Google Scholar] [CrossRef]
- Dong, X.; Li, R.; Zheng, Y.; Huo, J.; Cao, Y.; Shi, H. Synthesis, photoluminescence and electroluminescence properties of a new blue emitter with aggregation-induced emission and thermally activated delayed fluorescence characteristics. Spectrochim. Acta A 2023, 291, 122344. [Google Scholar] [CrossRef]
- Gu, J.; Liao, Y.; Zhang, Y.; Zhang, J.; Shi, W.; Wang, H.; Wei, B.; Yu, J. Solution-processed wide-color-tunable OLEDs from green to red with multimixed hosts using an aggregation-induced TADF emitter. IEEE Trans. Electron Devices 2024, 71, 5502–5507. [Google Scholar] [CrossRef]
- Ma, F.; Zhao, G.; Zheng, Y.; He, F.; Hasrat, K.; Qi, Z. Molecular engineering of thermally activated delayed fluorescence emitters with aggregation-induced emission via introducing intramolecular hydrogen-bonding interactions for efficient solution-processed nondoped OLEDs. ACS Appl. Mater. Interfaces 2020, 12, 1179–1189. [Google Scholar] [CrossRef]
- Kim, H.J.; Kim, S.K.; Godumala, M.; Yoon, J.; Kim, C.Y.; Jeong, J.E.; Woo, H.Y.; Kwon, J.H.; Cho, M.J.; Choi, D.H. Novel molecular triad exhibiting aggregation-induced emission and thermally activated fluorescence for efficient non-doped organic light-emitting diodes. Chem. Commun. 2019, 55, 9475–9478. [Google Scholar] [CrossRef] [PubMed]
- He, Y.; Zhou, D.; Zhang, C.; Yan, H.; Chai, Y. Orange-red and saturated red thermally activated delayed fluorescent dendrimers for non-doped solution-processed OLEDs. Dyes Pigments 2022, 203, 110385. [Google Scholar] [CrossRef]
- Park, E.Y.; Park, J.H.; Kim, Y.H.; Suh, M.C. The effect of molecular aggregation of thermally activated delayed fluorescence sensitizers for hyperfluorescence in organic light-emitting diodes. J. Mater. Chem. C 2022, 10, 4705–4716. [Google Scholar] [CrossRef]
- Chen, Y.; Wang, S.; Wu, X.; Xu, Y.; Li, H.; Liu, Y.; Tong, H.; Wang, L. Triazatruxene-based small molecules with thermally activated delayed fluorescence, aggregation-induced emission and mechanochromic luminescence properties for solution-processable nondoped OLEDs. J. Mater. Chem. C 2018, 6, 12503–12508. [Google Scholar] [CrossRef]
- Wang, J.; Yang, Y.; Gu, F.; Zhai, X.; Yao, C.; Zhang, J.; Jiang, C. Molecular engineering modulating the singlet-triplet energy splitting of indolocarbazole-based TADF emitters exhibiting AIE properties for nondoped blue OLEDs with EQE of nearly 20%. ACS Appl. Mater. Interfaces 2023, 15, 59643–59654. [Google Scholar] [CrossRef] [PubMed]
- Zheng, Y.; Huo, J.; Xiao, S.; Shi, H.; Ma, D.; Tang, B.Z. Synthesis, photoluminescence and electroluminescence properties of a new blue emitter containing carbazole, acridine and diphenyl sulfone units. Org. Electron. 2022, 101, 106411. [Google Scholar] [CrossRef]
- Yadav, P.; Madagyal, S.; Chaudhari, A.; Ganesan, G.; Su, G.Y.; Chen, Y.T.; Chetti, P.; Chang, C.H.; Kothavale, S.; Chaskar, A. Pyrazino [2,3-f][1,10]phenanthroline-based color-tunable thermally activated delayed fluorescence emitters with AIE characteristics for high-efficiency organic light-emitting diodes. J. Mater. Chem. C 2024, 12, 6297–6309. [Google Scholar] [CrossRef]
- Yu, L.; Wu, Z.; Xie, G.; Zhong, C.; Zhu, Z.; Ma, D.; Yang, C. An efficient exciton harvest route for high-performance OLEDs based on aggregation-induced delayed fluorescence. Chem. Commun. 2018, 54, 1379–1382. [Google Scholar] [CrossRef] [PubMed]
- Huo, J.; Xiao, S.; Wu, Y.; Li, M.; Tong, H.; Shi, H.; Ma, D.; Tang, B.Z. Molecular engineering of blue diphenylsulfone-based emitter with aggregation-enhanced emission and thermally activated delayed fluorescence characteristics: Impairing intermolecular electron-exchange interactions using steric hindrance. Chem. Eng. J. 2023, 452, 138957. [Google Scholar] [CrossRef]
- Zhan, L.; Xiang, Y.; Chen, Z.; Wu, K.; Gong, S.; Xie, G.; Yang, C. Fine-tuning the photophysical properties of thermally activated delayed fluorescent emitters using torsion angles: High performance sky-blue OLEDs. J. Mater. Chem. C 2019, 7, 13953–13959. [Google Scholar] [CrossRef]
- Li, J.; Zhang, R.; Wang, Z.; Zhao, B.; Xie, J.; Zhang, F.; Wang, H.; Guo, K. Zig-zag acridine/sulfone derivative with aggregation-induced emission and enhanced thermally activated delayed fluorescence in amorphous phase for highly efficient nondoped blue organic light-emitting diodes. Adv. Opt. Mater. 2018, 6, 1701256. [Google Scholar] [CrossRef]
- Luo, T.; Lin, Z.; Li, Z.; Wang, Y.; Xu, W.; Zhao, C.; Wang, H.; Luan, X. Malononitrile based ternary AIE-ML materials: Experimental proof for emission switch from non-TADF to TADF. Org. Electron. 2021, 88, 106003. [Google Scholar] [CrossRef]
- Lee, I.H.; Song, W.; Lee, J.Y. Aggregation-induced emission type thermally activated delayed fluorescent materials for high efficiency in non-doped organic light-emitting diodes. Org. Electron. 2016, 29, 22–26. [Google Scholar] [CrossRef]
- Huang, Z.; Huang, C.W.; Tang, Y.K.; Xiao, Z.; Li, N.; Hua, T.; Cao, X.; Zhou, C.; Wu, C.C.; Yang, C. Chiral thermally activated delayed fluorescence emitters for circularly polarized luminescence and efficient deep blue OLEDs. Dyes Pigments 2022, 197, 109860. [Google Scholar] [CrossRef]
- Guo, R.; Leng, P.; Zhang, Q.; Wang, Y.; Lv, X.; Sun, S.; Ye, S.; Duan, Y.; Wang, L. Donor engineering for diphenylsulfone derivatives with both thermally activated delayed fluorescence and aggregation-induced emission properties. Dyes Pigments 2021, 184, 108781. [Google Scholar] [CrossRef]
- Wang, Z.; Zhu, X.; Zhang, S.; Xu, L.; Zhao, Z.; He, G. Twisted biphenyl-diimide derivatives with aggregation-induced emission and thermally activated delayed fluorescence for high performance OLEDs. Adv. Opt. Mater. 2021, 9, 2001764. [Google Scholar] [CrossRef]
- Zheng, K.; Yang, H.; Ni, F.; Chen, Z.; Gong, S.; Lu, Z.; Yang, C. Multifunctional thermally activated delayed fluorescence emitters and insight into multicolor-mechanochromism promoted by weak intra- and intermolecular interactions. Adv. Opt. Mater. 2019, 7, 1900727. [Google Scholar] [CrossRef]
- Park, S.Y.; Choi, S.; Park, G.E.; Kim, H.J.; Lee, C.; Moon, J.S.; Kim, S.W.; Park, S.; Kwon, J.H.; Cho, M.J.; et al. Unconventional three-armed luminogens exhibiting both aggregation-induced emission and thermally activated delayed fluorescence resulting in high-performing solution-processed organic light-emitting diodes. ACS Appl. Mater. Interfaces 2018, 10, 14966–14977. [Google Scholar] [CrossRef]
- Zhang, K.; Zhou, T.; Cao, Q.; Ge, F.; Xu, H.; Chu, J.; Wang, J.; Pei, M.; Ban, X.; Zhang, T. Thermally activated delayed fluorescence dendrimers with AIE property and functional dendrons for high-efficiency solution-processed white OLEDs. Org. Electron. 2023, 112, 106687. [Google Scholar] [CrossRef]
- Ma, F.; Zhao, X.; Ji, H.; Zhang, D.; Hasrat, K.; Qi, Z. Molecular engineering of dendritic luminogens with thermally activated delayed fluorescence and aggregation-induced emission characteristics for efficient solution-processed non-doped OLEDs. J. Mater. Chem. C 2020, 8, 12272–12283. [Google Scholar] [CrossRef]
- Sun, K.; Liu, D.; Tian, W.; Gu, F.; Wang, W.; Cai, Z.; Jiang, W.; Sun, Y. Manipulation of the sterically hindering effect to realize AIE and TADF for high-performing nondoped solution-processed OLEDs with extremely low efficiency roll-off. J. Mater. Chem. C 2020, 8, 11850–11859. [Google Scholar] [CrossRef]
- Wu, C.; Shi, C.; Zheng, Y.; Zhang, J.; Wang, Y.; Sun, N.; Wang, Q.; Lu, Z.H. Multifunctional luminophores with dual emitting cores: TADF emitters with AIE properties for efficient solution-and evaporation-processed doped and non-doped OLEDs. Chem. Eng. J. 2022, 431, 133249. [Google Scholar] [CrossRef]
- Wang, Y.F.; Liu, X.; Zhu, Y.; Li, M.; Chen, C.F. Aromatic-imide-based TADF enantiomers for efficient circularly polarized electroluminescence. J. Mater. Chem. C 2022, 10, 4805–4812. [Google Scholar] [CrossRef]
- Song, F.; Xu, Z.; Zhang, Q.; Zhao, Z.; Zhang, H.; Zhao, W.; Qiu, Z.; Qi, C.; Zhang, H.; Sung, H.H.Y.; et al. Highly efficient circularly polarized electroluminescence from aggregation-induced emission luminogens with amplified chirality and delayed fluorescence. Adv. Funct. Mater. 2018, 28, 1800051. [Google Scholar] [CrossRef]
- Zhang, Z.; Zhao, G.; Chen, H.; Zhou, T.; Tian, W.; Jiang, W.; Sun, Y. High-performance fully solution-processed OLEDs based on carbazole-benzonitrile TADF emitter with long alkyl chains. Org. Electron. 2024, 128, 107043. [Google Scholar] [CrossRef]
- Liu, T.; Zhu, L.; Zhong, C.; Xie, G.; Gong, S.; Fang, J.; Ma, D.; Yang, C. Naphthothiadiazole-based near-infrared emitter with a photoluminescence quantum yield of 60% in neat film and external quantum efficiencies of up to 3.9% in nondoped OLEDs. Adv. Funct. Mater. 2017, 27, 1606384. [Google Scholar] [CrossRef]
- Xie, L.; Dai, H.; Liu, D.; Li, J.; Wang, J.; Jin, J. Achieving high-performance non-doped OLEDs by combining AIE and HLCT luminescence features. Dyes Pigments 2025, 241, 112905. [Google Scholar] [CrossRef]
- Yuan, W.Z.; Bin, X.; Chen, G.; He, Z.; Liu, J.; Ma, H.; Peng, Q.; Wei, B.; Gong, Y.; Lu, Y.; et al. Achieving hybridized local and charge-transfer excited state and excellent OLED performance through facile doping. Adv. Opt. Mater. 2017, 5, 1700466. [Google Scholar] [CrossRef]
- Yu, Y.; Cang, M.; Cui, W.; Xu, L.; Wang, R.; Sun, M.; Zhou, H.; Yang, W.; Xue, S. Efficient red fluorescent OLEDs based on aggregation-induced emission combined with hybridized local and charge transfer state. Dyes Pigments 2021, 184, 108770. [Google Scholar] [CrossRef]
- Chaiwai, C.; Kitisriworaphan, W.; Petdee, S.; Nalaoh, P.; Chawanpunyawat, T.; Chasing, P.; Manyum, T.; Sudyoadsuk, T.; Promarak, V. Solid-state fluorophores featuring a combined hybridized local and charge transfer excited state and aggregation-induced emission as efficient emitters for electroluminescent devices. Dyes Pigments 2023, 216, 111311. [Google Scholar] [CrossRef]
- Wan, Q.; Tong, J.; Zhang, B.; Li, Y.; Wang, Z.; Tang, B.Z. Exploration of high efficiency AIE-active deep/near-infrared red emitters in OLEDs with high-radiance. Adv. Opt. Mater. 2020, 8, 1901520. [Google Scholar] [CrossRef]
- Fei, N.; Wei, Q.; Cao, L.; Bai, Y.; Ji, H.; Peng, R.; Huang, L.; Shiyou, H.; Ge, Z. A symmetric nonpolar blue AIEgen as nondoped fluorescent OLED emitter with low efficiency roll-off. Org. Electron. 2020, 78, 105574. [Google Scholar] [CrossRef]
- Krucaite, K.; Tavgeniene, D.; Kirstukas, M.; Grigalevicius, S.; Lin, M.J.; Hong, J.S.; Chang, C.H. Blue aggregation-induced emission bipolar materials consisting of diphenylsulfone or benzophenone core and triphenylethene-carbazole fragments for highly efficient OLEDs. Dyes Pigments 2024, 228, 112231. [Google Scholar] [CrossRef]
- Shang, A.; Zhao, L.; Li, Z.; Cheng, Z.; Jin, H.; Feng, Z.; Chen, Z.; Zhang, H.; Lu, P. Rational design of a near-infrared fluorescent material with high solid-state efficiency, aggregation-induced emission and live cell imaging property. Chem. Res. Chin. Univ. 2022, 38, 1461–1466. [Google Scholar] [CrossRef]
- Zhuang, Z.; Bu, F.; Luo, W.; Peng, H.; Chen, S.; Hu, R.; Qin, A.; Zhao, Z.; Tang, B.Z. Steric, conjugation and electronic impacts on the photoluminescence and electroluminescence properties of luminogens based on phosphindole oxide. J. Mater. Chem. C 2017, 5, 1836–1842. [Google Scholar] [CrossRef]
- Zhan, Y.; Yang, Z.; Tan, J.; Qiu, Z.; Mao, Y.; He, J.; Yang, Q.; Ji, S.; Cai, N.; Huo, Y. Synthesis, aggregation-induced emission (AIE) and electroluminescence of carbazole-benzoyl substituted tetraphenylethylene derivatives. Dyes Pigments 2020, 173, 107898. [Google Scholar] [CrossRef]
- Peng, Z.; Huang, K.; Tao, Y.; Li, H.; Zhang, L.; Lu, P.; Wang, Y. Turning on the solid emission from non-emissive 2-aryl-3-cyanobenzofurans by tethering tetraphenylethene for green electro luminescence. Mater. Chem. Front. 2017, 1, 1858–1865. [Google Scholar] [CrossRef]
- Wang, Y.F.; Li, M.; Teng, J.M.; Zhou, H.Y.; Chen, C.F. High-performance solution-processed nondoped circularly polarized OLEDs with chiral triptycene scaffold-based TADF emitters realizing over 20% external quantum efficiency. Adv. Funct. Mater. 2021, 31, 2106418. [Google Scholar] [CrossRef]
- Thakkar, C.; Poojary, M.; Khade, R.; Gavali, A.; Badani, P.; Bose, S.; Saha, S. Synthesis, aggregation-induced emission, and electroluminescence of AIEgen designed on bis-carbazole platform. Next Mater. 2024, 3, 100093. [Google Scholar] [CrossRef]
- Tang, J.; Sun, Y.; Tang, Q.; Sun, Y. Molecular engineering of “A-D-D-A” dual-emitting-cores emitters with thermally activated delayed fluorescence and aggregation-induced emission characteristics. Org. Electron. 2021, 96, 106199. [Google Scholar] [CrossRef]
- Wang, J.; Zhai, X.; Ji, C.; Zhang, M.; Yao, C.; Xie, G.; Zhang, J.; Xi, X. Simple A–D–A pure blue fluorescent emitters based on hybridized local and charge-transfer excited state for non-doped OLEDs with narrow full width at half-maximum of 0.20 eV and CIEy< 0.06. Dyes Pigments 2023, 219, 111586. [Google Scholar]
- Zhang, J.; Bai, Y.; Wei, Q.; Cao, L.; Wang, T.; Ge, Z. Efficient bipolar AIE emitters for high-performance nondoped OLEDs. J. Mater. Chem. C 2020, 8, 11771–11777. [Google Scholar] [CrossRef]
- Li, J.; Yang, Z.; Feng, Y.; Su, Z.; Qiu, Z.; Tan, J.H.; Chen, W.C.; Zhang, M.; Xu, Z.X.; Huo, Y. Asymmetric aggregation-induced emission materials with double stable configurations toward promoted performance in non-doped organic light-emitting diodes. J. Mater. Chem. C 2020, 8, 16858–16869. [Google Scholar] [CrossRef]
- Liu, W.; Zhang, S.; Jiang, T.; Li, S.; Xie, Z.; Zhao, Y.; Zhang, J.; Redshaw, C.; Feng, X.; Lam, J.W.Y.; et al. Pyrene-based blue aggregation-induced emission luminogens: The synergistic effect of through-space conjugation for high exciton utilization efficiency and narrow-band and blue OLEDs. Adv. Opt. Mater. 2025, 13, 2402567. [Google Scholar] [CrossRef]
- Yang, X.; Zhao, Z.; Ran, H.; Zhang, J.; Chen, L.; Han, R.; Duan, X.; Sun, H.; Xu, J. New pyrene-based butterfly-shaped blue AIEgens: Synthesis, structure, aggregation-induced emission and their nondoped blue OLEDs. Dyes Pigments 2020, 173, 107881. [Google Scholar] [CrossRef]
- Liu, B.; Nie, H.; Zhou, X.; Hu, S.; Luo, D.; Gao, D.; Zou, J.; Xu, M.; Wang, L.; Zhao, Z.; et al. Manipulation of charge and exciton distribution based on blue aggregation-induced emission fluorophors: A novel concept to achieve high-performance hybrid white organic light-emitting diodes. Adv. Funct. Mater. 2016, 26, 776–783. [Google Scholar] [CrossRef]
- Liu, B.; Nie, H.; Lin, G.; Hu, S.; Gao, D.; Zou, J.; Xu, M.; Wang, L.; Zhao, Z.; Ning, H.; et al. High-performance doping-free hybrid white OLEDs based on blue aggregation-induced emission luminogens. ACS Appl. Mater. Interfaces 2017, 9, 34162–34171. [Google Scholar] [CrossRef] [PubMed]
Disclaimer/Publisher’s Note: The statements, opinions and data contained in all publications are solely those of the individual author(s) and contributor(s) and not of MDPI and/or the editor(s). MDPI and/or the editor(s) disclaim responsibility for any injury to people or property resulting from any ideas, methods, instructions or products referred to in the content. |
© 2026 by the authors. Licensee MDPI, Basel, Switzerland. This article is an open access article distributed under the terms and conditions of the Creative Commons Attribution (CC BY) license.






























































































































