Synthesis and Magnetic and Optical Properties of Novel Fe@ZSM-5 Composites
Abstract
1. Introduction
2. Results and Discussion
2.1. XDR, Morphology and Elemental Analysis
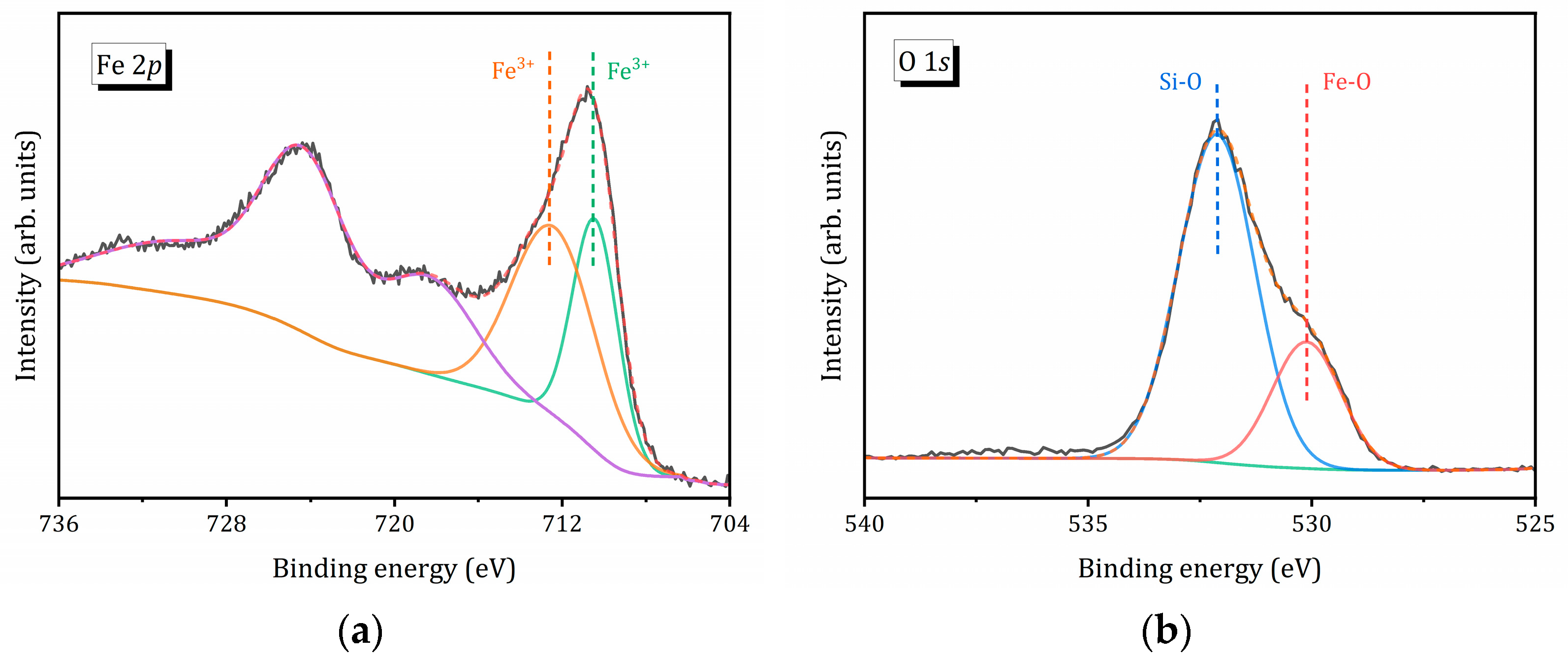
2.2. Surface Chemical Environment Analysis
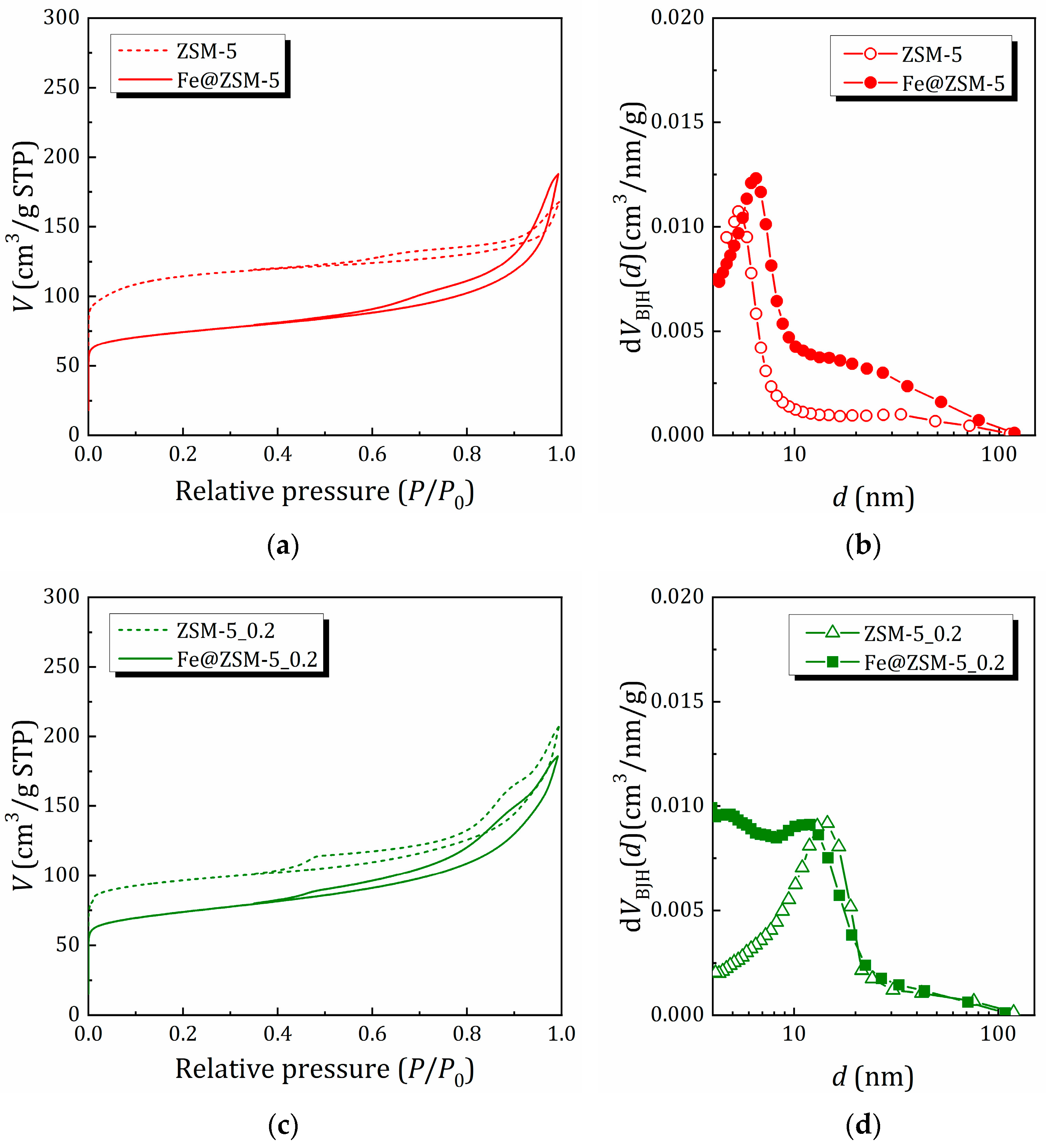
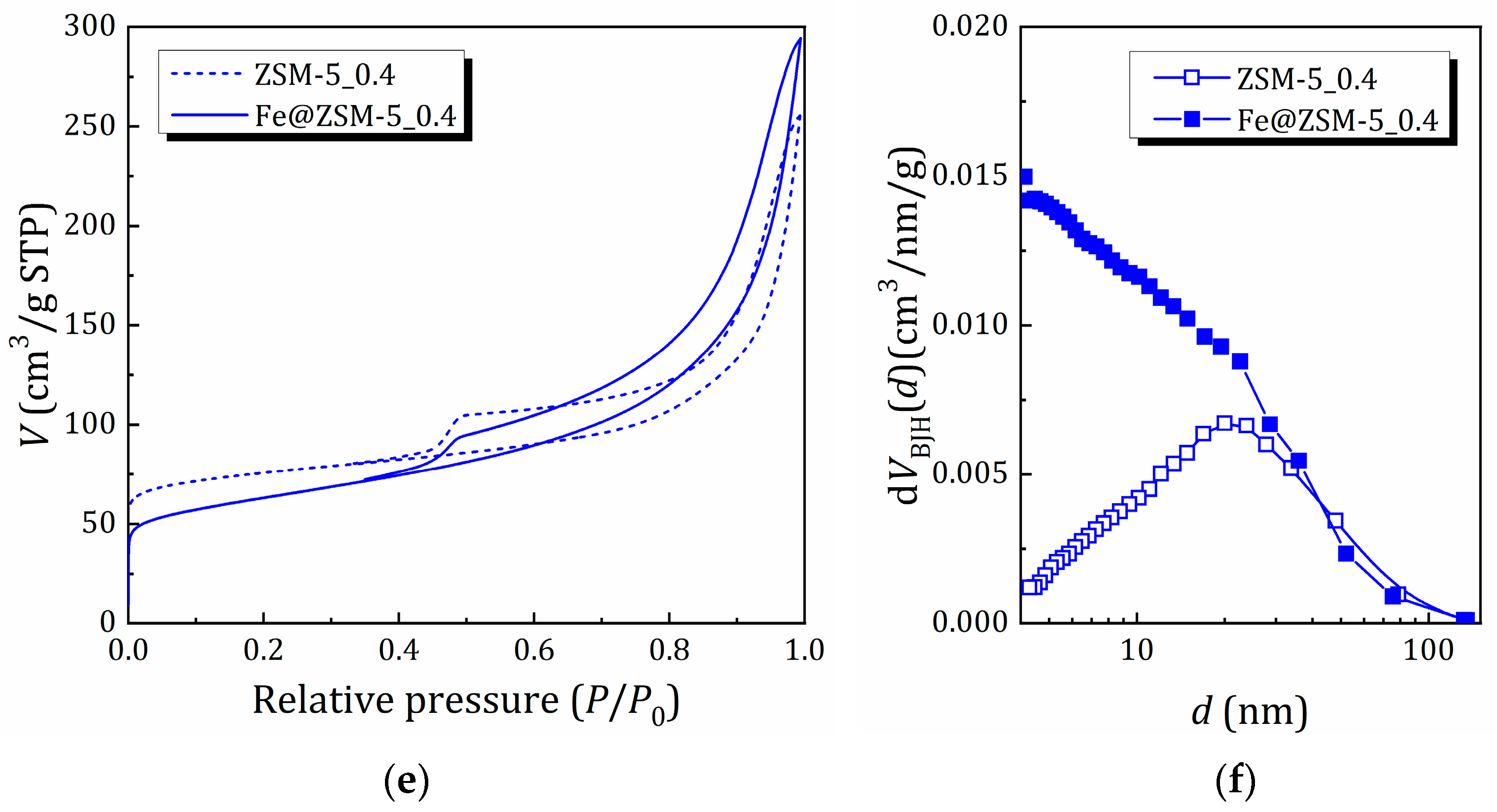
2.3. N2 Adsorption/Desorption
2.4. Magnetic Properties
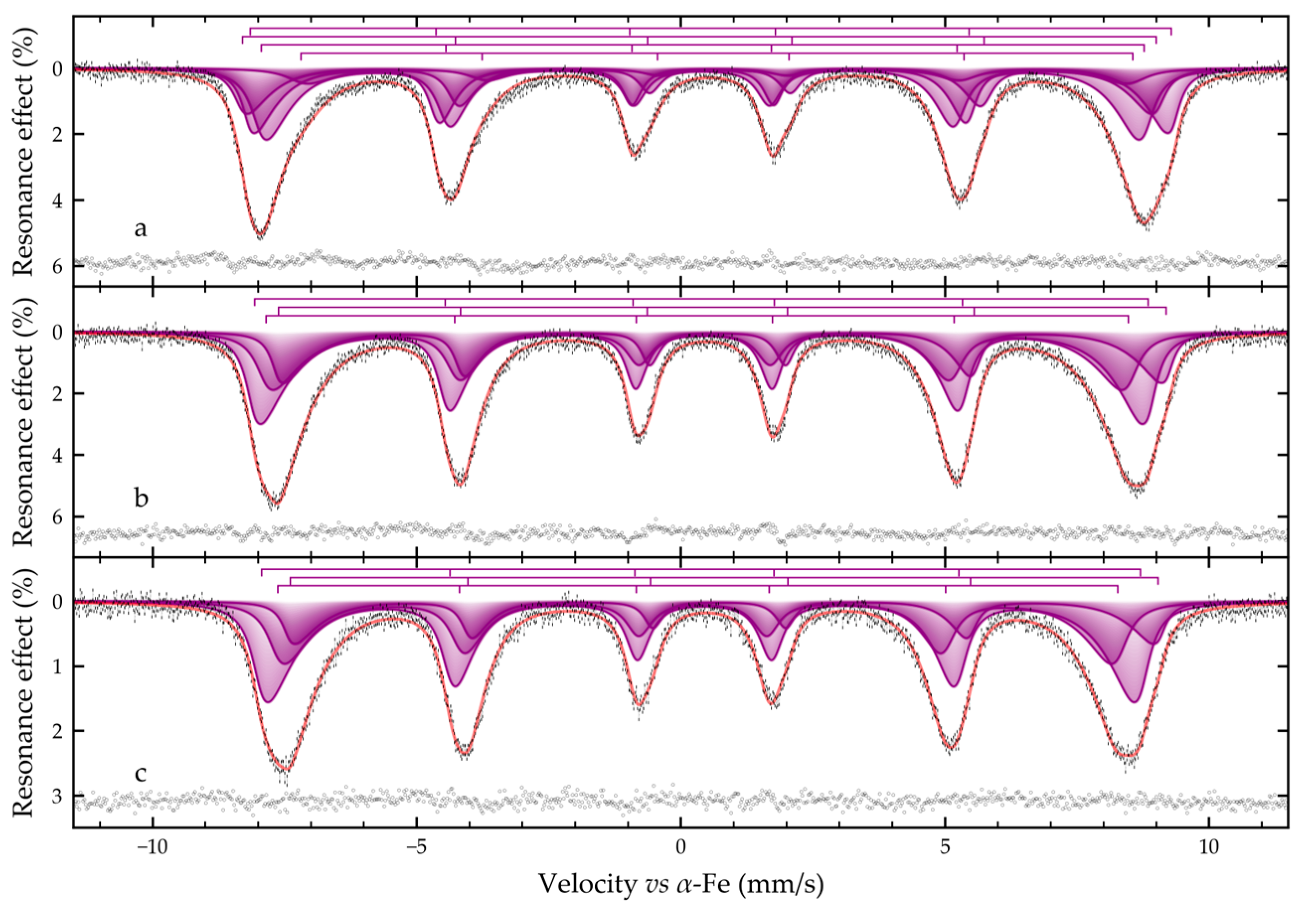
2.5. Mössbauer Spectroscopy Studies
2.6. UV-Vis Diffuse Reflectance Spectroscopy Studies
3. Materials and Methods
3.1. Synthesis
3.1.1. Preparation of Mesoporous ZSM-5 Matrices
3.1.2. Synthesis of Magnetite–Zeolite Composites
3.2. Characterization
4. Conclusions
Supplementary Materials
Author Contributions
Funding
Institutional Review Board Statement
Informed Consent Statement
Data Availability Statement
Acknowledgments
Conflicts of Interest
Abbreviations
| BET | Brunauer–Emmett–Teller (method) |
| BJH | Barrett–Joyner–Halenda (method) |
| DRS | Diffuse reflectance spectroscopy |
| EDX | Energy-dispersive X-ray (spectroscopy) |
| EDXRF | Energy dispersive X-ray fluorescence spectroscopy |
| SEM | Scanning electron microscopy |
| VSM | Vibrating-sample magnetometry |
| UV–Vis | Ultraviolet–visible spectroscopy |
| XRD | X-ray diffraction |
| ZSM-5 | Zeolite Socony Mobil-5 |
References
- Parangi, T. Heterogeneous Catalysis: An Alternative Approach for Energy and Environment. Rev. Inorg. Chem. 2025, 45, 831–861. [Google Scholar] [CrossRef]
- Čejka, J.; Millini, R.; Opanasenko, M.; Serrano, D.P.; Roth, W.J. Advances and Challenges in Zeolite Synthesis and Catalysis. Catal. Today 2020, 345, 2–13. [Google Scholar] [CrossRef]
- Wang, Z.; Yu, J.; Xu, R. Needs and Trends in Rational Synthesis of Zeolitic Materials. Chem. Soc. Rev. 2012, 41, 1729–1741. [Google Scholar] [CrossRef]
- Yuna, Z. Review of the Natural, Modified, and Synthetic Zeolites for Heavy Metals Removal from Wastewater. Environ. Eng. Sci. 2016, 33, 443–454. [Google Scholar] [CrossRef]
- Baerlocher, C.; McCusker, L.B. Database of Zeolite Structures. Available online: http://www.iza-structure.org/databases/ (accessed on 30 November 2025).
- Masoumifard, N.; Guillet-Nicolas, R.; Kleitz, F. Synthesis of Engineered Zeolitic Naterials: From Classical Zeolites to Hierarchical Core–Shell Materials. Adv. Mater. 2018, 30, 1704439. [Google Scholar] [CrossRef]
- Radoor, S.; Karayil, J.; Kim, H. Recent Advances in ZSM-5 Zeolite for Multi-Pollutant Removal from Water: A Mini Review. Microporous Mesoporous Mater. 2026, 399, 113841. [Google Scholar] [CrossRef]
- Palčić, A.; Valtchev, V. Analysis and Control of Acid Sites in Zeolites. Appl. Catal. A Gen. 2020, 606, 117795. [Google Scholar] [CrossRef]
- Shelyapina, M.G.; Krylova, E.A.; Mazur, A.S.; Tsyganenko, A.A.; Shergin, Y.V.; Satikova, E.; Petranovskii, V. Active Sites in H-Mordenite Catalysts Probed by NMR and FTIR. Catalysts 2022, 13, 344. [Google Scholar] [CrossRef]
- Kessouri, A.; Boukoussa, B.; Bengueddach, A. Synthesis of Iron-MFI Zeolite and Its Photocatalytic Application for Hydroxylation of Phenol. Res. Chem. Intermed. 2017, 44, 2475–2487. [Google Scholar] [CrossRef]
- Kouadio, K.S.; Tchirioua, E.; Dhainaut, J. Zeolitized Clays and Their Use for the Capture and Photo-Fenton Degradation of Methylene Blue. Catalysts 2025, 15, 188. [Google Scholar] [CrossRef]
- Du, T.; Chao, Y.; Meng, C.; He, Z.; Zhao, Y.; Miao, Z. The Role and Progress of Zeolites in Photocatalytic Materials. Environ. Res. 2025, 268, 120771. [Google Scholar] [CrossRef]
- He, F.; Jeon, W.; Choi, W. Photocatalytic Air Purification Mimicking the Self-Cleaning Process of the Atmosphere. Nat. Commun. 2021, 12, 10–13. [Google Scholar] [CrossRef] [PubMed]
- Hu, G.; Yang, J.; Duan, X.; Farnood, R.; Yang, C.; Yang, J.; Liu, W.; Liu, Q. Recent Developments and Challenges in Zeolite-Based Composite Photocatalysts for Environmental Applications. Chem. Eng. J. 2021, 417, 129209. [Google Scholar] [CrossRef]
- Wang, L.; Wang, W.; Liu, M.; Ge, H.; Zha, W.; Wei, Y.; Fei, E.; Zhang, Z.; Long, J.; Sa, R.; et al. Understanding Structure-Function Relationships in HZSM-5 Zeolite Catalysts for Photocatalytic Oxidation of Isopropyl Alcohol. J. Catal. 2019, 377, 322–331. [Google Scholar] [CrossRef]
- Hashimoto, S. Zeolite Photochemistry: Impact of Zeolites on Photochemistry and Feedback from Photochemistry to Zeolite Science. J. Photochem. Photobiol. C Photochem. Rev. 2003, 4, 19–49. [Google Scholar] [CrossRef]
- Shelyapina, M.G.; Yocupicio-gaxiola, R.I.; Valkovsky, G.A.; Petranovskii, V. TiO2 Immobilized on 2D Mordenite: Effect of Hydrolysis Conditions on Structural, Textural, and Optical Characteristics of the Nanocomposites. Beilstein J. Nanotechnol. 2025, 16, 128–140. [Google Scholar] [CrossRef]
- Zong, X.; Wang, L. Ion-Exchangeable Semiconductor Materials for Visible Light-Induced Photocatalysis. J. Photochem. Photobiol. C Photochem. Rev. 2014, 18, 32–49. [Google Scholar] [CrossRef]
- Valtchev, V.; Majano, G.; Mintova, S.; Pérez-Ramírez, J. Tailored Crystalline Microporous Materials by Post-Synthesis Modification. Chem. Soc. Rev. 2013, 42, 263–290. [Google Scholar] [CrossRef] [PubMed]
- Petranovskii, V.; Chaves-Rivas, F.; Hernandez Espinoza, M.A.; Pestryakov, A.; Kolobova, E. Potential Uses of Natural Zeolites for the Development of New Materials: Short Review. MATEC Web Conf. 2016, 85, 01014. [Google Scholar] [CrossRef]
- Znad, H.; Abbas, K.; Hena, S.; Awual, M.R. Synthesis a Novel Multilamellar Mesoporous TiO2/ZSM-5 for Photo-Catalytic Degradation of Methyl Orange Dye in Aqueous Media. J. Environ. Chem. Eng. 2018, 6, 218–227. [Google Scholar] [CrossRef]
- Kornas, A.; Mlekodaj, K.; Tabor, E. Nature and Redox Properties of Iron Sites in Zeolites Revealed by Mössbauer Spectroscopy. Chempluschem 2024, 89, e202300543. [Google Scholar] [CrossRef] [PubMed]
- Zhang, J.; Tang, X.; Yi, H.; Yu, Q.; Zhang, Y.; Wei, J.; Yuan, Y. Synthesis, Characterization and Application of Fe-Zeolite: A Review. Appl. Catal. A Gen. 2022, 630, 118467. [Google Scholar] [CrossRef]
- Bernal-Villamil, I.; Gallego, S. Electronic Phase Transitions in Ultrathin Magnetite Films. J. Phys. Condens. Matter 2015, 27, 293202. [Google Scholar] [CrossRef]
- Huang, J.; Jones, A.; Waite, T.D.; Chen, Y.; Huang, X.; Rosso, K.M.; Kappler, A.; Mansor, M.; Tratnyek, P.G.; Zhang, H. Fe(II) Redox Chemistry in the Environment. Chem. Rev. 2021, 121, 8161–8233. [Google Scholar] [CrossRef]
- Robinson, T.C.; Latta, D.E.; Leddy, J.; Scherer, M.M. Redox Potentials of Magnetite Suspensions under Reducing Conditions. Environ. Sci. Technol. 2022, 56, 17454–17461. [Google Scholar] [CrossRef] [PubMed]
- Pereira, M.C.; Oliveira, L.C.A.; Murad, E. Iron Oxide Catalysts: Fenton and Fentonlike Reactions—A Review. Clay Miner. 2012, 47, 285–302. [Google Scholar] [CrossRef]
- Shah, S.I.A.; Ahmad, W.; Anwar, M.; Shah, R.; Khan, J.A.; Shah, N.S.; Al-Anazi, A.; Han, C. Synthesis, Properties, and Applications of Fe3O4 and Fe3O4-Based Nanocomposites: A Review. Appl. Catal. O Open 2025, 203, 207049. [Google Scholar] [CrossRef]
- Karim, A.V.; Krishnan, S.; Shriwastav, A. An Overview of Heterogeneous Photocatalysis for the Degradation of Organic Compounds: A Special Emphasis on Photocorrosion and Reusability. J. Indian Chem. Soc. 2022, 99, 100480. [Google Scholar] [CrossRef]
- Qin, F.; Xia, Y.; Yang, D.; Xiao, T.; Zhu, X.; Feng, W. Enhanced Photocatalytic Activity of G-C3N4/Bi2WO6 Heterojunction via Z-Scheme Charge-Transfer Mechanism. J. Mol. Struct. 2024, 1316, 139023. [Google Scholar] [CrossRef]
- Qin, F.; Luo, Y.; Yu, Q.; Cheng, J.; Qin, Q.; Zhu, X.; Feng, W. Enhanced Charge Transfer and Photocatalytic Activity of BiOBr/Bi2WO6 p-n Heterojunctions. J. Mol. Struct. 2024, 1304, 137719. [Google Scholar] [CrossRef]
- Tang, D.; Pal, M.; Meng, T.; Mao, D.; Xue, Z. Synthesis and Applications of Magnetic Zeolites: A Comprehensive Review. J. Supercond. Nov. Magn. 2025, 38, 146. [Google Scholar] [CrossRef]
- Bisaria, K.; Sinha, S.; Singh, R.; Iqbal, H.M.N. Recent Advances in Structural Modifications of Photo-Catalysts for Organic Pollutants Degradation—A Comprehensive Review. Chemosphere 2021, 284, 131263. [Google Scholar] [CrossRef] [PubMed]
- Du, T.; Zheng, S.; Zhang, Y.; Zhang, Y.; Wang, B.; Song, W.; Meng, C.; Zhao, Y.; Miao, Z. Recent Progress in Zeolite-Based Photocatalysts: Strategies for Improving Photocatalytic Performance. J. Alloys Compd. 2025, 1035, 181573. [Google Scholar] [CrossRef]
- Sharma, V.; Javed, B.; Byrne, H.; Curtin, J.; Tian, F. Zeolites as Carriers of Nano-Fertilizers: From Structures and Principles to Prospects and Challenges. Appl. Nano 2022, 3, 163–186. [Google Scholar] [CrossRef]
- Zhou, H.; Ge, M.; Zhao, H.; Wu, S.; Li, M.; Su, Y. Selective Catalytic Reduction of Nitric Oxide with Propylene over Fe/Beta Catalysts under Lean-Burn Conditions. Catalysts 2019, 9, 205. [Google Scholar] [CrossRef]
- Jiang, H.; Xu, L.; Meng, Q.; Feng, X.; Wang, J.; Li, Y.; Li, J. Construction of Hierarchical Fe-MFI Nanosheets with Enhanced Fenton-like Degradation Performance. Molecules 2025, 30, 430. [Google Scholar] [CrossRef]
- Diallo, M.M.; Laforge, S.; Pouilloux, Y.; Mijoin, J. Influence of the Preparation Procedure and Crystallite Size of Fe-MFI Zeolites in the Oxidehydration of Glycerol to Acrolein and Acrylic Acid. Catal. Commun. 2019, 126, 21–25. [Google Scholar] [CrossRef]
- Shelyapina, M.G.; Gurgul, J.; Łątka, K.; Bogdanov, D.; Kotolevich, Y.; Petranovskii, V.; Fuentes, S.; Sánchez-López, P.; Bogdanov, D.; Kotolevich, Y.; et al. Mechanism of Formation of Framework Fe3+ in Bimetallic Ag-Fe Mordenites—Effective Catalytic Centers for DeNOx Reaction. Microporous Mesoporous Mater. 2019, 299, 109841. [Google Scholar] [CrossRef]
- Zvereva, I.A.; Samadov, A.; Kurnosenko, S.A.; Kirichenko, S.O.; Shelyapina, M.G.; Petranovskii, V. Effect of Mesoporosity on Structural, Textural, and Optical Characteristics of Fe(III) Ion-Exchanged ZSM-5 Zeolites. Molecules 2026, 31, 23. [Google Scholar] [CrossRef]
- Reyes Villegas, V.A.; De León Ramirez, J.I.; Pérez-Cabrera, L.; Pérez-Sicairos, S.; Chávez-Méndez, J.R.; Petranovskii, V. Analysis of Catalytic Sites in FeY Zeolite Prepared by Sono-Assisted Exchange of Iron (II) Ions. Microporous Mesoporous Mater. 2024, 380, 113306. [Google Scholar] [CrossRef]
- Ko, Y.S.; Jang, H.T.; Ahn, W.S. Hydrothermal Synthesis and Characterization of Fe(III)-Substituted Mordenites. Korean J. Chem. Eng. 2008, 25, 1286–1291. [Google Scholar] [CrossRef]
- Wu, P.; Komatsu, T.; Yashima, T. Isomorphous Substitution of Fe3+ in the Framework of Aluminosilicate Mordenite by Hydrothermal Synthesis. Microporous Mesoporous Mater. 1998, 20, 139–147. [Google Scholar] [CrossRef]
- Möller, K.; Bein, T. Mesoporosity—A New Dimension for Zeolites. Chem. Soc. Rev. 2013, 42, 3689–3707. [Google Scholar] [CrossRef]
- Oliveira, D.S.; Lima, R.B.; Pergher, S.B.C.; Caldeira, V.P.S. Hierarchical Zeolite Synthesis by Alkaline Treatment: Advantages and Applications. Catalysts 2023, 13, 316. [Google Scholar] [CrossRef]
- Lago, C.D.; Decolatti, H.P.; Tonutti, L.G.; Dalla Costa, B.O.; Querini, C.A. Gas Phase Glycerol Dehydration over H-ZSM-5 Zeolite Modified by Alkaline Treatment with Na2CO3. J. Catal. 2018, 366, 16–27. [Google Scholar] [CrossRef]
- Milina, M.; Mitchell, S.; Crivelli, P.; Cooke, D.; Pérez-Ramírez, J. Mesopore Quality Determines the Lifetime of Hierarchically Structured Zeolite Catalysts. Nat. Commun. 2014, 5, 3922. [Google Scholar] [CrossRef]
- Al-Ani, A.; Darton, R.J.; Sneddon, S.; Zholobenko, V. Nanostructured Zeolites: The Introduction of Intracrystalline Mesoporosity in Basic Faujasite-Type Catalysts. ACS Appl. Nano Mater. 2018, 1, 310–318. [Google Scholar] [CrossRef]
- Zhang, R.; Xu, S.; Raja, D.; Khusni, N.B.; Liu, J.; Zhang, J.; Abdulridha, S.; Xiang, H.; Jiang, S.; Guan, Y.; et al. On the Effect of Mesoporosity of FAU Y Zeolites in the Liquid-Phase Catalysis. Microporous Mesoporous Mater. 2019, 278, 297–306. [Google Scholar] [CrossRef]
- Hernández-Giménez, A.M.; Heracleous, E.; Pachatouridou, E.; Horvat, A.; Hernando, H.; Serrano, D.P.; Lappas, A.A.; Bruijnincx, P.C.A.; Weckhuysen, B.M. Effect of Mesoporosity, Acidity and Crystal Size of Zeolite ZSM-5 on Catalytic Performance during the Ex-Situ Catalytic Past Pyrolysis of Biomass. ChemCatChem 2021, 13, 1207–1219. [Google Scholar] [CrossRef]
- Shelyapina, M.G.; Yocupicio-Gaxiola, R.I.; Zhelezniak, I.V.; Chislov, M.V.; Antúnez-García, J.; Murrieta-Rico, F.N.; Galván, D.H.; Petranovskii, V.; Fuentes-Moyado, S. Local Structures of Two-Dimensional Zeolites—Mordenite and ZSM-5—Probed by Multinuclear NMR. Molecules 2020, 25, 4678. [Google Scholar] [CrossRef]
- García-Martínez, L.; Li, K. (Eds.) Mesoporous Zeolites: Preparation, Characterization and Applications; Wiley-VCH Verlag GmbH & Co. KGaA: Weinheim, Germany, 2015; ISBN 978-3-527-33574-9. [Google Scholar]
- Mitchell, S.; Pinar, A.B.; Kenvin, J.; Crivelli, P.; Kärger, J.; Pérez-Ramírez, J.; Pe, J. Structural Analysis of Hierarchically Organized Zeolites. Nat. Commun. 2015, 6, 8633. [Google Scholar] [CrossRef] [PubMed]
- Liu, Q.; He, P.; Qian, X.; Fei, Z.; Zhang, Z.; Chen, X.; Tang, J.; Cui, M.; Qiao, X.; Shi, Y. Enhanced CO2 Adsorption Performance on Hierarchical Porous ZSM-5 Zeolite. Energy Fuels 2017, 31, 13933–13941. [Google Scholar] [CrossRef]
- Shelyapina, M.G.; Nefedov, D.Y.; Antonenko, A.O.; Valkovskiy, G.A.; Yocupicio-gaxiola, R.I.; Petranovskii, V. Nanoconfined Water in Pillared Zeolites Probed by 1H Nuclear Magnetic Resonance. Int. J. Mol. Sci. 2023, 24, 15898. [Google Scholar] [CrossRef]
- Na, K.; Park, W.; Seo, Y.; Ryoo, R. Disordered Assembly of MFI Zeolite Nanosheets with a Large Volume of Intersheet Mesopores. Chem. Mater. 2011, 23, 1273–1279. [Google Scholar] [CrossRef]
- Gaspar, A.B. Synthesis of a Magnetic Fe3O4/RGO Composite for the Rapid Photo-Fenton Discoloration of Indigo Carmine Dye. Top. Catal. 2020, 63, 1017–1029. [Google Scholar] [CrossRef]
- Alsulami, Q.A.; Rajeh, A.; Mannaa, M.A.; Albukhari, S.M. One—Step Preparation of RGO/Fe3O4–FeVO4 Nanocomposites as Highly Effective Photocatalysts under Natural Sunlight Illumination. Sci. Rep. 2022, 12, 6565. [Google Scholar] [CrossRef]
- Cao, J.; Sun, Q.; Wang, P.; Shen, J.; Dai, X. Synthesize and Characterize of Fe3O4/Zeolite 4A Magnetic Nanocomposite. J. Dispers. Sci. Technol. 2020, 43, 517–525. [Google Scholar] [CrossRef]
- Pankratov, D.A.; Anuchina, M.M.; Spiridonov, F.M.; Krivtsov, G.G. Fe3–δO4 Nanoparticles Synthesized in the Presence of Natural Polyelectrolytes. Crystallogr. Rep. 2020, 65, 393–397. [Google Scholar] [CrossRef]
- Chernavskiy, P.A.; Novakova, A.A.; Pankina, G.V.; Pankratov, D.A.; Panfilov, S.I.; Petrovskaya, G.A. Synthesis and Characterization of Hematite, Magnetite and Maghemite Supported on Silica Gel. Magnetochemistry 2023, 9, 228. [Google Scholar] [CrossRef]
- Bondarenko, L.S.; Pankratov, D.A.; Dzeranov, A.A.; Dzhardimalieva, G.I.; Streltsova, A.N.; Zarrelli, M.; Kydralieva, K.A. A Simple Method for Quantification of Nonstoichiometric Magnetite Nanoparticles Using Conventional X-Ray Diffraction Technique. Mendeleev Commun. 2022, 32, 642–644. [Google Scholar] [CrossRef]
- Pankratov, D.A.; Anuchina, M.M. Nature-Inspired Synthesis of Magnetic Non-Stoichiometric Fe3O4 Nanoparticles by Oxidative in Situ Method in a Humic Medium. Mater. Chem. Phys. 2019, 231, 216–224. [Google Scholar] [CrossRef]
- Klygach, D.S.; Vakhitov, M.G.; Pankratov, D.A.; Zherebtsov, D.A.; Tolstoguzov, D.S.; Raddaoui, Z.; El Kossi, S.; Dhahri, J.; Vinnik, D.A.; Trukhanov, A.V. MCC: Specific of Preparation, Correlation of the Phase Composition and Electrodynamic Properties. J. Magn. Magn. Mater. 2021, 526, 167694. [Google Scholar] [CrossRef]
- Bondarenko, L.; Baimuratova, R.; Reindl, M.; Zach, V.; Dzeranov, A.; Pankratov, D.; Kydralieva, K.; Dzhardimalieva, G.; Kolb, D.; Wagner, F.E.; et al. Dramatic Change in the Properties of Magnetite-Modified MOF Particles Depending on the Synthesis Approach. Heliyon 2024, 10, e27640. [Google Scholar] [CrossRef] [PubMed]
- Sawatzky, G.A.; Van Der Woude, F.; Morrish, A.H. Recoilless-Fraction Ratios for Fe57 in Octahedral and Tetrahedral Sites of a Spinel and a Garnet. Phys. Rev. 1969, 183, 383–386. [Google Scholar] [CrossRef]
- Pankratov, D.A. Mössbauer Study of Oxo Derivatives of Iron in the Fe2O3-Na2O2 System. Inorg. Mater. 2014, 50, 82–89. [Google Scholar] [CrossRef]
- Dzeranov, A.; Bondarenko, L.; Pankratov, D.; Dzhardimalieva, G.; Jorobekova, S.; Saman, D.; Kydralieva, K. Impact of Silica-Modification and Oxidation on the Crystal Structure of Magnetite Nanoparticles. Magnetochemistry 2023, 9, 18. [Google Scholar] [CrossRef]
- Shoppert, A.; Valeev, D.; Diallo, M.M.; Loginova, I.; Beavogui, M.C.; Rakhmonov, A.; Ovchenkov, Y.; Pankratov, D. High-Iron Bauxite Residue (Red Mud) Valorization Using Hydrochemical Conversion of Goethite to Magnetite. Materials 2022, 15, 8423. [Google Scholar] [CrossRef]
- Goya, G.F.; Berquó, T.S.; Fonseca, F.C.; Morales, M.P. Static and Dynamic Magnetic Properties of Spherical Magnetite Nanoparticles. J. Appl. Phys. 2003, 94, 3520–3528. [Google Scholar] [CrossRef]
- Martínez, B.; Roig, A.; Obradors, X.; Molins, E.; Rouanet, A.; Monty, C. Magnetic Properties of γ-Fe2O3 Nanoparticles Obtained by Vaporization Condensation in a Solar Furnace. J. Appl. Phys. 1996, 79, 2580–2586. [Google Scholar] [CrossRef]
- Severin, A.V.; Pankratov, D.A. Synthesis of Nanohydroxyapatite in the Presence of Iron(III) Ions. Russ. J. Inorg. Chem. 2016, 61, 265–272. [Google Scholar] [CrossRef]
- Zhirkova, A.M.; Zykova, M.V.; Buyko, E.E.; Ushakova, K.A.; Ivanov, V.V.; Pankratov, D.A.; Udut, E.V.; Azarkina, L.A.; Bashirov, S.R.; Plotnikov, E.V.; et al. Humics-Functionalized Iron(III) Oxyhydroxides as Promising Nanoferrotherapeutics: Synthesis, Characterization, and Efficacy in Iron Delivery. Nanomaterials 2025, 15, 1400. [Google Scholar] [CrossRef] [PubMed]
- Dzeranov, A.; Bondarenko, L.; Pankratov, D.; Prokof’ev, M.; Dzhardimalieva, G.; Jorobekova, S.; Tropskaya, N.; Telegina, L.; Kydralieva, K. Iron Oxides Nanoparticles as Components of Ferroptosis-Inducing Systems: Screening of Potential Candidates. Magnetochemistry 2023, 9, 3. [Google Scholar] [CrossRef]
- Berry, F.J.; Skinner, S.; Thomas, M.F. 57Fe Mössbauer Spectroscopic Examination of a Single Crystal of Fe3O4. J. Phys. Condens. Matter 1998, 10, 215. [Google Scholar] [CrossRef]
- Hah, H.Y.; Gray, S.; Johnson, C.E.; Johnson, J.A.; Kolesnichenko, V.; Kucheryavy, P.; Goloverda, G. Mössbauer Spectroscopy of Superparamagnetic Fe3O4 Nanoparticles. J. Magn. Magn. Mater. 2021, 539, 168382. [Google Scholar] [CrossRef]
- Nedyalkova, R.; Shwan, S.; Skoglundh, M.; Olsson, L. Improved Low-Temperature SCR Activity for Fe-BEA Catalysts by H2 -Pretreatment. Appl. Catal. B Environ. 2013, 138–139, 373–380. [Google Scholar] [CrossRef]
- Chen, J.; Peng, G.; Zheng, W.; Zhang, W.; Guo, L.; Wu, X. Excellent Performance of One-Pot Synthesized Fe-Containing MCM-22 Zeolites for the Selective Catalytic Reduction of NOx with NH3. Catal. Sci. Technol. 2020, 10, 6583–6598. [Google Scholar] [CrossRef]
- Pérez-Ramírez, J. Active Iron Sites Associated with the Reaction Mechanism of N2O Conversions over Steam-Activated FeMFI Zeolites. J. Catal. 2004, 227, 512–522. [Google Scholar] [CrossRef]
- Makuła, P.; Pacia, M.; Macyk, W. How to Correctly Determine the Band Gap Energy of Modified Semiconductor Photocatalysts Based on UV−Vis Spectra. J. Phys. Chem. Lett. 2018, 9, 6814–6817. [Google Scholar] [CrossRef]
- Matsnev, M.E.; Rusakov, V.S. SpectrRelax: An Application for Mössbauer Spectra Modeling and Fitting. AIP Conf. Proc. 2012, 1489, 178–185. [Google Scholar] [CrossRef]









| Sample | Si/Al | Fe/Al | Fe (wt%) |
|---|---|---|---|
| ZSM-5 * | 10.15 | ||
| ZSM-5_0.2 * | 7.77 | ||
| ZSM-5_0.4 * | 4.96 | ||
| Fe@ZSM-5 | 11.1 | 11.1 | 26.7 |
| Fe@ZSM-5_0.2 | 7.1 | 5.9 | 22.6 |
| Fe@ZSM-5_0.4 | 6.7 | 11.3 | 34.9 |
| Sample | Fe | O | ||
|---|---|---|---|---|
| Fe2+ | Fe3+ | OFe | OZ | |
| Eb = 710.5 eV | Eb = 712.6 eV | Eb = 530.1 eV | Eb = 532.1 eV | |
| Fe@ZSM-5 | 37 | 63 | 79 | 21 |
| Fe@ZSM-5_0.2 | 39 | 61 | 75 | 25 |
| Fe@ZSM-5_0.4 | 40 | 60 | 74 | 26 |
| Sample | SBET (m2/g) | VBJH (cm3/g) | Vmeso (cm3/g) | Vmicro (cm3/g) | Vmeso/Vmicro | DBJH (nm) |
|---|---|---|---|---|---|---|
| ZSM-5 | 429 | 0.259 | 0.084 | 0.168 | 0.5 | 5 |
| Fe@ZSM-5 | 281 | 0.291 | 0.190 | 0.109 | 1.7 | 6.5/15 |
| ZSM-5_0.2 | 374 | 0.320 | 0.167 | 0.139 | 1.2 | 13 |
| Fe@ZSM-5_0.2 | 277 | 0.287 | 0.184 | 0.108 | 1.7 | >15 |
| ZSM-5_0.2 | 284 | 0.395 | 0.262 | 0.111 | 2.4 | 23 |
| Fe@ZSM-5_0.2 | 227 | 0.455 | 0.368 | 0.088 | 4.2 | >23 |
| Sample | Ms (emu/g) | Hc (Oe) |
|---|---|---|
| Fe@ZSM-5 | 11 | 23 |
| Fe@ZSM-5_0.2 | ~2.5 | 4 |
| Fe@ZSM-5_0.4 | 0.7 | - |
| Sample | Temperature (K) | No. | δ (mm/s) | ε (mm/s) | Δ (mm/s) | Γexp (mm/s) | Heff (kOe) | S (%) |
|---|---|---|---|---|---|---|---|---|
| Fe@ZSM-5 | 296(3) | 1 | 0.250(21) | 0.060(21) | 0.300(23) | 492.9(1.4) | 27.82(13) | |
| 2 | 0.683(20) | −0.054(13) | 0.36(4) | 470.7(1.9) | 22.7(2.3) | |||
| 3 | 0.372(25) | −0.084(23) | 0.26(3) | 489.0(2.0) | 23.9(2.3) | |||
| 4 | 0.36(1) | 0.71(1) | 0.50(1) | 25.6(5) | ||||
| 77.7(3) | 1 | 0.33(1) | 0.00(1) | 0.36(1) | 512.5(4) | 25.2(1.5) | ||
| 2 | 0.968(29) | 0.059(16) | 0.70(8) | 467.6(2.0) | 8.1(1.0) | |||
| 3 | 0.57(1) | −0.01(1) | 0.497(11) | 520.5(4) | 35.7(2.3) | |||
| 4 | 0.45(1) | 0.79(1) | 0.63(1) | 12.2(1.1) | ||||
| 5 | 0.41(4) | 9.0(4) | 19(5) | |||||
| 5.000(3) | 1 | 0.49(1) | 0.08(1) | 0.400(21) | 540.7(7) | 30(3) | ||
| 2 | 0.55(1) | −0.192(13) | 0.464(29) | 536.4(8) | 22.6(2.7) | |||
| 3 | 0.41(1) | 0.01(1) | 0.520(23) | 518.2(8) | 37(4) | |||
| 4 | 0.74(4) | −0.059(16) | 0.77(10) | 488.3(2.3) | 10.4(2.2) | |||
| Fe@ZSM-5_0.2 | 296(3) | 1 | 0.36(1) | 0.493(17) | 0.27(6) | 11(6) | ||
| 2 | 0.34(1) | 0.764(22) | 0.52(1) | 89(6) | ||||
| 77.7(3) | 1 | 0.47(1) | 0.63(3) | 0.39(6) | 13(8) | |||
| 2 | 0.44(1) | 0.777(20) | 0.599(26) | 52(7) | ||||
| 3 | 0.475(12) | 1.30(29) | 1.49(17) | 35(9) | ||||
| 5.000(3) | 1 | 0.42(1) | −0.02(1) | 0.435(17) | 524.5(5) | 45(4) | ||
| 2 | 0.74(1) | 0.05(1) | 0.362(20) | 521.0(4) | 22.9(2.4) | |||
| 3 | 0.38(1) | −0.07(1) | 0.541(25) | 506.3(1.1) | 32(3) | |||
| Fe@ZSM-5_0.4 | 296(3) | 1 | 0.35(1) | 0.66(1) | 0.40(20) | 44(8) | ||
| 2 | 0.33(1) | 0.86(3) | 0.649(25) | 56(8) | ||||
| 77.7(3) | 1 | 0.46(1) | 0.56(3) | 0.37(6) | 26(17) | |||
| 2 | 0.45(1) | 0.87(6) | 0.549(14) | 74(17) | ||||
| 5.000(3) | 1 | 0.40(1) | −0.03(1) | 0.531(15) | 514.8(5) | 51(3) | ||
| 2 | 0.767(10) | 0.04(1) | 0.399(23) | 509.2(4) | 21.4(2.5) | |||
| 3 | 0.350(11) | −0.05(1) | 0.548(27) | 492.4(1.0) | 27.3(2.7) |
Disclaimer/Publisher’s Note: The statements, opinions and data contained in all publications are solely those of the individual author(s) and contributor(s) and not of MDPI and/or the editor(s). MDPI and/or the editor(s) disclaim responsibility for any injury to people or property resulting from any ideas, methods, instructions or products referred to in the content. |
© 2025 by the authors. Licensee MDPI, Basel, Switzerland. This article is an open access article distributed under the terms and conditions of the Creative Commons Attribution (CC BY) license.
Share and Cite
Zvereva, I.A.; Pankratov, D.A.; Zemstova, E.G.; Kudymov, V.K.; Samadov, A.; Kurnosenko, S.A.; Kirichenko, S.O.; Shelyapina, M.G.; Petranovskii, V. Synthesis and Magnetic and Optical Properties of Novel Fe@ZSM-5 Composites. Molecules 2026, 31, 89. https://doi.org/10.3390/molecules31010089
Zvereva IA, Pankratov DA, Zemstova EG, Kudymov VK, Samadov A, Kurnosenko SA, Kirichenko SO, Shelyapina MG, Petranovskii V. Synthesis and Magnetic and Optical Properties of Novel Fe@ZSM-5 Composites. Molecules. 2026; 31(1):89. https://doi.org/10.3390/molecules31010089
Chicago/Turabian StyleZvereva, Irina A., Denis A. Pankratov, Elena G. Zemstova, Vladimir K. Kudymov, Azamat Samadov, Sergey A. Kurnosenko, Sergey O. Kirichenko, Marina G. Shelyapina, and Vitalii Petranovskii. 2026. "Synthesis and Magnetic and Optical Properties of Novel Fe@ZSM-5 Composites" Molecules 31, no. 1: 89. https://doi.org/10.3390/molecules31010089
APA StyleZvereva, I. A., Pankratov, D. A., Zemstova, E. G., Kudymov, V. K., Samadov, A., Kurnosenko, S. A., Kirichenko, S. O., Shelyapina, M. G., & Petranovskii, V. (2026). Synthesis and Magnetic and Optical Properties of Novel Fe@ZSM-5 Composites. Molecules, 31(1), 89. https://doi.org/10.3390/molecules31010089

