Determination of Phosphate as an Ion-Association Complex of 11-Molybdovanadophosphate and Diindodicarbocyanine Based on Selective Oxidation of Excess Dye
Abstract
1. Introduction
2. Results and Discussion
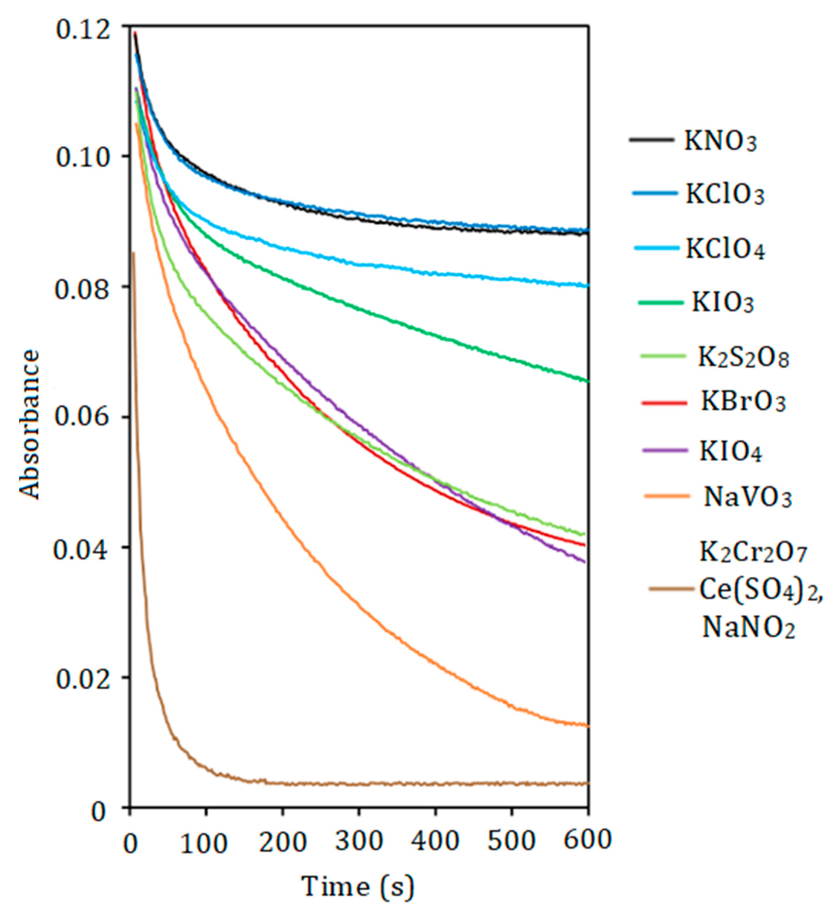
2.1. Investigation of Oxidation of Polymethine Dyes in the Presence of Heteropolyanion and Oxidant
2.2. Changes in Absorption Spectra During the Reaction Between PDs and Vanadate
2.3. The Theoretical Background of Studied Reactions
2.4. Optimization of the Conditions for the Determination of Orthophosphate
2.5. Search of the Optimal Conditions by the Full Factorial Design
3. Analytical Performance
3.1. Method Validation
3.2. Evaluation of Interference
3.3. Analytical Application
3.4. Comparison of the Present Method with Previous Methods for Orthophosphate Determination
4. Materials and Methods
4.1. Reagents and Apparatus
4.2. Preparation of the Combined Reagent Solution
4.3. Procedure for Orthophosphate Determination
4.4. Analysis of Water Samples
5. Conclusions
Supplementary Materials
Author Contributions
Funding
Institutional Review Board Statement
Informed Consent Statement
Data Availability Statement
Conflicts of Interest
References
- Patey, M.D.; Rijkenberg, M.J.A.; Statham, P.J.; Stinchombe, M.C.; Achterberg, E.P.; Mowlem, M. Determination of nitrate and phosphate in seawater at nanomolar concentrations. TrAC Trends Anal. Chem. 2008, 27, 169–182. [Google Scholar] [CrossRef]
- Worsfold, P.J.; Gimbert, L.J.; Mankasingh, U.; Omaka, O.N.; Hanrahan, G.; Gardolinski, P.C.F.C.; Haygarth, P.M.; Turner, B.L.; Keith-Roach, M.J.; McKelvie, I.D. Sampling, sample treatment and quality assurance issues for the determination of phosphorus species in natural waters and soils. Talanta 2005, 66, 273–293. [Google Scholar] [CrossRef] [PubMed]
- Worsfold, P.J.; Monbet, P.; Tappin, A.D.; Fitzsimons, D.A.; McKelvie, I.D. Characterisation and quantification of organic phosphorus and organic nitrogen components in aquatic systems: A review. Anal. Chim. Acta 2008, 624, 37–58. [Google Scholar] [CrossRef]
- Smith, V.H. Eutrophication of freshwater and coastal marine ecosystems a global problem. Environ. Sci. Pollut. Res. 2003, 10, 126–139. [Google Scholar] [CrossRef]
- Motomizu, S.; Li, Z.-H. Trace and ultratrace analysis methods for the determination of phosphorus by flow-injection techniques. Talanta 2005, 66, 332–340. [Google Scholar] [CrossRef] [PubMed]
- Estela, J.M.; Cerda, V. Flow analysis techniques for phosphorus: An overview. Talanta 2005, 66, 307–331. [Google Scholar] [CrossRef]
- Dubovik, D.B.; Tikhomirova, T.I.; Ivanov, A.V.; Nesterenko, P.N.; Shpigun, O.A. Determination of silicon, phosphorous, arsenic, and germanium as heteropoly acids. J. Anal. Chem. 2003, 58, 802–819. [Google Scholar] [CrossRef]
- Worsfold, P.; McKelvie, I.; Monbet, P. Determination of phosphorus in natural waters: A historical review. Anal. Chim. Acta 2016, 918, 8–20. [Google Scholar] [CrossRef]
- Zhu, X.; Ma, J. Recent advances in the determination of phosphate in environmental water samples: Insights from practical perspectives. TrAC Trends Anal. Chem. 2020, 127, 115908. [Google Scholar] [CrossRef]
- Zhu, Y.; Fang, T.; Ji, D.; Li, H.; Chen, J.; Ma, J. Recent advances and prospects in on-site spectrophotometric nutrient measurement in aquatic ecosystems. TrAC Trends Anal. Chem. 2024, 175, 117723. [Google Scholar] [CrossRef]
- Nagul, E.; Mckelvie, I.D.; Wordsold, P.; Kolev, S.D. The molybdenum blue reaction for the determination of orthophosphate revisited: Opening the black box. Anal. Chim. Acta 2015, 890, 60–82. [Google Scholar] [CrossRef]
- Clesceri, L.S.; Greenberg, A.E.; Eaton, A.D. (Eds.) Standard Methods for the Examination of Water and Wastewater, 20th ed.; American Public Health Association: Washington, DC, USA, 1998. [Google Scholar]
- Mogashane, T.M.; Mapazi, O.; Motlatle, M.A.; Mokoena, L.; Tshilongo, J. A review of recent developments in analytical methods for determination of phosphorus from environmental samples. Molecules 2025, 30, 1001. [Google Scholar] [CrossRef] [PubMed]
- Li, Z.; Oshima, M.; Sabarudin, A.; Motomizu, S. Trace and ultratrace analysis of purified water samples and hydrogen peroxide solutions for phosphorus by flow-injection method. Anal. Sci. 2005, 21, 263–268. [Google Scholar] [CrossRef]
- Li, L.; Zhang, J.; Deng, Z.; Su, Z.; Bai, Y.; He, J. Determination of phosphate in food based on molybdenum yellow derivatization coupled with resonance Rayleigh scattering method. Anal. Sci. 2024, 40, 461–469. [Google Scholar] [CrossRef] [PubMed]
- Vishnikin, A.; Hedjazi, M.; Al-Shwaiyat, M.; Skok, A.; Bazel, Y. Consecutive spectrophotometric determination of phosphate and silicate in a sequential injection lab-at-valve flow system. Anal. Chim. Acta 2023, 1273, 341464. [Google Scholar] [CrossRef] [PubMed]
- Motomizu, S.; Wakimoto, Y.; Tôei, K. Solvent extraction-spectrophotometric determination of phosphate with molybdate and malachite green in river water and sea-water. Talanta 1984, 31, 235–240. [Google Scholar] [CrossRef]
- Susanto, J.P.; Oshima, M.; Motomizu, S.; Mikasa, H.; Hori, Y. Determination of micro amounts of phosphorus with Malachite Green using a filtration–dissolution preconcentration method and flow injection–spectrophotometric detection. Analyst 1995, 120, 187–191. [Google Scholar] [CrossRef]
- Pena-Pereira, F.; Cabaleiro, N.; de la Calle, I.; Costas, M.; Gil, S.; Lavilla, I.; Bendicho, C. Directly suspended droplet microextraction in combination with microvolume UV–vis spectrophotometry for determination of phosphate. Talanta 2011, 85, 1100–1104. [Google Scholar] [CrossRef]
- Munõz, A.; Mas-Torres, F.; Estela, J.M.; Cerda, V. Evaluation of spectrophotometric methods for determination of orthophosphates by sequential injection analysis. Anal. Chim. Acta 1997, 350, 21–29. [Google Scholar] [CrossRef]
- Baykov, A.A.; Evtushenko, O.A.; Avaeva, S.M. A malachite green procedure for orthophosphate determination and its use in alkaline phosphatase-based enzyme immunoassay. Anal. Biochem. 1988, 171, 266–270. [Google Scholar] [CrossRef]
- Jin, Y. Validation of assay for measuring acetyl-coenzyme a carboxylase activity in grasses using malachite green. Anal. Biochem. 2025, 697, 115723. [Google Scholar] [CrossRef]
- Gache, S.A.M.; Angelini, A.A.R.; Sabeckis, M.L.; Flecha, F.L.G. Improving the stability of the malachite green method for the determination of phosphate using Pluronic F68. Anal. Biochem. 2020, 597, 113681. [Google Scholar] [CrossRef]
- Vishnikin, A.B.; Al-Shwaiyat, M.E.A.; Bazel, Y.R.; Andruch, V. Rapid, sensitive and selective spectrophotometric determination of phosphate as an ion associate of 12-molybdophosphate with Astra Phloxine. Microchim. Acta 2007, 159, 371–378. [Google Scholar] [CrossRef]
- Hedjazi, M.; Vishnikin, A.B.; Okovytyy, S.I.; Miekh, Y.V.; Bazel, Y.R. Use of dye aggregation phenomenon for spectrophotometric and SIA-LAV determination of bismuth(III) as a specific ion association complex between tetraiodobismuthate and Astra Phloxine. J. Mol. Struct. 2022, 1251, 132015. [Google Scholar] [CrossRef]
- Hedjazi, M.; Vishnikin, A.B.; Balanenko, A.D. A green spectrophotometric method for determination of drotaverine hydrochloride in pharmaceutical preparations using formation of ion association complex with erythrosine. J. Chem. Technol. 2021, 29, 467–475. [Google Scholar] [CrossRef]
- Bertocchi, F.; Delledonne, A.; Vargas-Nadal, G.; Terenziani, F.; Painelli, A.; Sissa, C. Aggregates of cyanine dyes: When molecular vibrations and electrostatic screening make the difference. J. Phys. Chem. C 2023, 127, 10185–10196. [Google Scholar] [CrossRef]
- Huang, X.-L.; Zhang, J.-Z. Surfactant-sensitized malachite green method for trace determination of orthophosphate in aqueous solution. Anal. Chim. Acta 2006, 580, 55–67. [Google Scholar] [CrossRef]
- Kakalejčíková, S.; Bazel, Y.; Fizer, M. Extraction-less green spectrofluorimetric method for determination of mercury using an Astra Phloxine fluorophore: Comprehensive experimental and theoretical studies. Spectrochim. Acta A 2024, 310, 123946. [Google Scholar] [CrossRef]
- Taniai, T.; Sukegawa, M.; Sakuragawa, A.; Uzawa, A. On-line preconcentration of phosphate onto molybdate form anion exchange column. Talanta 2003, 61, 905–908. [Google Scholar] [CrossRef]
- Oshima, M.; Goto, N.; Susanto, J.P.; Motomizu, S. Determination of phosphate as aggregates of ion associates by light-scattering detection and application to flow injection. Analyst 1996, 121, 1085–1088. [Google Scholar] [CrossRef]
- Skok, A.; Bazel, Y.; Fizer, M. A simple green method for the determination of hydrogen peroxide and Fe(III)/Fe(II) species based on monitoring the decolorization process of polymethine dye using an optical immersion probe. Chemosensors 2024, 12, 270. [Google Scholar] [CrossRef]
- Neumann, R.; Khenkin, A.M. Oxidation of dienes and polyenes. In The Chemistry of Dienes and Polyenes; Rappoport, Z., Ed.; John Wiley & Sons: Hoboken, NJ, USA, 1997; Volume 1, pp. 889–926. [Google Scholar]
- Belko, N.; Maltanava, H.; Lugovski, A.; Shundalau, M.; Osika, Y.; Smaliakou, A.; Fatykhava, S.; Shabunya, P.; Lamberti, P.; Samtsov, M.; et al. Indotricarbocyanine dyes relevant for photodynamic therapy and their radicals: Substituent effects studied by optical and electrochemical methods. Dyes Pigm. 2023, 216, 111344. [Google Scholar] [CrossRef]
- Kulinich, A.V.; Derevyanko, N.A.; Ishchenko, A.A.; Gusyak, N.B.; Kobasa, I.M.; Romańczyk, P.P.; Kurek, S.S. Structure and redox properties of polymethine dyes: Electrochemical and DFT/TD-DFT study. Dyes Pigm. 2019, 161, 24–33. [Google Scholar] [CrossRef]
- Parton, R.; Lenhard, J. Dimerization reactions of cyanine radical dications. J. Org. Chem. 1990, 55, 49–57. [Google Scholar] [CrossRef]
- Rurack, K.; Spieles, M. Fluorescence quantum yields of a series of red and near-infrared dyes emitting at 600–1000 nm. Anal. Chem. 2011, 83, 1232–1242. [Google Scholar] [CrossRef]
- Balogh, I.S.; Kish, P.P.; Ishchenko, A.A.; Mushkalo, I.L.; Andruch, V. Spectrophotometric study of acid-base properties of cationic cyanine dyes. J. Anal. Chem. USSR 1990, 45, 481–490. [Google Scholar]
- Tóth, J.; Bazel, Y.; Balogh, I. A fully automated system with an optical immersion probe (OIP) for high-precision spectrophotometric measurements. Talanta 2021, 226, 122185. [Google Scholar] [CrossRef]
- Mishra, A.; Behera, R.K.; Behera, P.K.; Mishra, B.K.; Behera, G.B. Cyanines during the 1990s: A Review. Chem. Rev. 2000, 100, 1973–2011. [Google Scholar] [CrossRef]
- Xu, F.; Testoff, T.T.; Wang, L.; Zhou, X. Cause, regulation and utilization of dye aggregation in dye-sensitized solar cells. Molecules 2020, 25, 4478. [Google Scholar] [CrossRef]
- Yuzhakov, V.I. Aggregation of dye molecules and its influence on the spectral luminescent properties of solutions. Russ. Chem. Rev. 2007, 61, 613–628. [Google Scholar] [CrossRef]
- Bricks, J.L.; Slominskii, Y.L.; Panas, I.D.; Demchenko, A.P. Fluorescent J-aggregates of cyanine dyes: Basic research and applications review. Methods Appl. Fluoresc. 2018, 6, 012001. [Google Scholar] [CrossRef]
- Mourot, B.; Jacquemin, D.; Siri, O.; Pascal, S. Coupled polymethine dyes: Six decades of discoveries. Chem. Rec. 2024, 24, e202400183. [Google Scholar] [CrossRef]
- Shapiro, B.I. Aggregates of cyanine dyes: Photographic problems. Russ. Chem. Rev. 1994, 63, 231–255. [Google Scholar] [CrossRef]
- Moreno-Villoslada, I.; Fuenzalida, J.P.; Tripailaf, G.; Araya-Hermosilla, R.; Pizarro, G.S.; Marambio, O.G.; Nishide, H. Comparative study of the self-aggregation of Rhodamine 6G in the presence of poly(sodium 4-styrenesulfonate), poly(n-phenylmaleimide-co-acrylic acid), poly(styrene-alt-maleic acid), and poly(sodium acrylate). J. Phys. Chem. B 2010, 114, 11983–11992. [Google Scholar] [CrossRef] [PubMed]
- Struganova, I.A.; Hazell, M.; Gaitor, J.; Mcnally-Carr, D.; Zivanovic, S. Influence of inorganic salts and bases on the J-Band in the absorption spectra of water solutions of 1,1′-diethyl-2,2′-cyanine Iodide. J. Phys. Chem. A 2003, 107, 2650–2656. [Google Scholar] [CrossRef]
- Heyne, B. Self-assembly of organic dyes in supramolecular aggregates. Photochem. Photobiol. Sci. 2016, 15, 1103–1114. [Google Scholar] [CrossRef] [PubMed]
- Lenhard, J.R.; Hein, B.R. Effects of J-aggregation on the redox levels of a cyanine dye. J. Phys. Chem. 1996, 100, 17287–17296. [Google Scholar] [CrossRef]
- Katoh, T.; Inagaki, Y.; Okazaki, R. Linear and stack oligostreptocyanines. Effects of relative orientation of chromophores on redox potentials of dye aggregates. Bull. Chem. Soc. Jpn. 1997, 70, 2279–2286. [Google Scholar] [CrossRef]
- Kawasaki, M.; Sato, T. Direct voltammetric observation of reversible and irreversible oxidations of two-dimensional J-aggregates of cyanine dye. J. Phys. Chem. B 2001, 105, 796–803. [Google Scholar] [CrossRef]
- Lenhard, J.R.; Cameron, A.D. Electrochemistry and electronic spectra of cyanine dye radicals in acetonitrile. J. Phys. Chem. 1993, 97, 4916–4925. [Google Scholar] [CrossRef]
- Neves, M.S.A.C.; Souto, M.R.S.; Tóth, I.V.; Victal, S.M.A.; Drumond, M.C.; Rangel, A.O.S.S. Spectrophotometric flow system using vanadomolybdophosphate detection chemistry and a liquid waveguide capillary cell for the determination of phosphate with improved sensitivity in surface and ground water samples. Talanta 2008, 77, 527–532. [Google Scholar] [CrossRef]
- Zhai, Q.-Z. Determination of phosphorus by phosphorus molybdenum blue spectrophotometry by bismuth antimony sensitization. Bull. Chem. Soc. Ethiop. 2023, 37, 1307–1313. [Google Scholar] [CrossRef]
- Lin, B.; Xu, J.; Yin, C.; Chen, L.; You, Y.; Hu, L. An ultralight dual-wavelength and dual-beam chemical sensor on small UAV for in-situ determination of phosphate and nitrite in surface water. Sens. Actuators B 2022, 368, 132235. [Google Scholar] [CrossRef]
- Mousareza, P.; Alizadeh, N. Near-infrared photothermal lens as microfluidic analyzer for determination of phosphate in food and biological samples. Microchem. J. 2024, 206, 111674. [Google Scholar] [CrossRef]
- Deng, Z.; Zhang, J.; Su, Z.; Bai, Y.; He, J. Derivatization reaction-based multi-spectroscopic techniques for ultrasensitive and rapid detection of phosphate in food using Nile blue A as probe. Microchem. J. 2023, 185, 108280. [Google Scholar] [CrossRef]
- Knochen, M.; Rodríguez-Silva, J.C.; Silva-Silva, J. Exploitation of reaction mechanisms for sensitivity enhancement in the determination of phosphorus by sequential injection analysis. Talanta 2020, 209, 120589. [Google Scholar] [CrossRef]
- Khongpet, W.; Yanu, P.; Pencharee, S.; Puangpila, C.; Hartwell, S.K.; Lapanantnoppakhun, S.; Yodthongdee, Y.; Paukpol, A.; Jakmunee, J. A compact multi-parameter detection system based on hydrodynamic sequential injection for sensitive determination of phosphate, nitrite, and nitrate in water samples. Anal. Meth. 2020, 12, 855–864. [Google Scholar] [CrossRef]
- Manbohi, A.; Ahmadi, S.H. Portable smartphone-based colorimetric system for simultaneous on-site microfluidic paper-based determination and mapping of phosphate, nitrite and silicate in coastal waters. Environ. Monit. Assess. 2022, 194, 190. [Google Scholar] [CrossRef]
- Deng, Y.; Li, P.; Fang, T.; Jiang, Y.; Chen, J.; Chen, N.; Yuan, D.; Ma, J. Automated determination of dissolved reactive phosphorus at nanomolar to micromolar levels in natural waters using a portable flow analyzer. Anal. Chem. 2020, 92, 4379–4386. [Google Scholar] [CrossRef]
- Zaruba, S.; Oltmanova, V.; Andruch, V. Microextraction by packed sorbent for determination of inorganic analytes: Phosphates determination. Microchem. J. 2025, 210, 112976. [Google Scholar] [CrossRef]
- Kel’ina, S.Y.; Nevinsky, O.G. Indirectly determination of phosphate-ions in waters with the reagent sulfonitrazo DAF. Methods Objects Chem. Anal. 2021, 16, 147–152. [Google Scholar] [CrossRef]
- Snigur, D.; Chebotarev, A.; Bulat, K.; Duboviy, V. Fast room temperature cloud point extraction procedure for spectrophotometric determination of phosphate in water samples. Anal. Biochem. 2020, 597, 113671. [Google Scholar] [CrossRef]
- Timofeeva, I.I.; Kochetkova, M.A.; Dvoinykh, D.D.; Safinskaya, Y.V.; Zubakina, E.A.; Bulatov, A.V. Micellar microextraction with alkyl polyglucosides for the preconcentration and spectrophotometric determination of phosphate ions in aqueous media. J. Anal. Chem. 2024, 79, 1408–1414. [Google Scholar] [CrossRef]
- Zhou, J.; Fei, J.; Zeng, C.; Quan, H.H.; Li, M. Cyclic voltammetric determination of phosphate in tap water via [Omim]6Mo7O24-carbon paste electrodes. Chem. Pap. 2023, 77, 5873–5880. [Google Scholar] [CrossRef]
- Martynov, L.Y.; Sergeeva, A.S.; Sakharov, K.A.; Shkinev, V.M.; Yashtulov, N.A.; Zaitsev, N.K. Voltammetric determination of phosphates using ion-selective electrode based on organotin ionophore. Microchem. J. 2023, 191, 108877. [Google Scholar] [CrossRef]
- Gonçalves, S.; Alves, V.R.; Perez, S.O.; Ferreira, M.; Daguer, H.; de Oliveira, M.A.L.; Micke, G.A.; Vitali, L. Rapid method for the determination of citrate, phosphate and sulfite in seafood by capillary zone electrophoresis. Food Chem. 2020, 321, 126705. [Google Scholar] [CrossRef]
- Yoshikawa, K.; Kogure, F.; Tsukada, K.; Toyama, T.; Sakuragawa, A.; Nagashima, H. Determination of phosphorus in commercially available milk using ion chromatography with perchloric acid deproteinization. Anal. Sci. 2024, 40, 1365–1371. [Google Scholar] [CrossRef]
- Pytlakowska, K.; Kocot, K.; Hachula, B.; Talik, E. Preconcentration of phosphate ions on graphene oxide decorated with lanthanum oxide from waters followed by energy dispersive X-ray fluorescence spectrometric determination. Talanta 2024, 266, 124997. [Google Scholar] [CrossRef]
- Shao, Y.; Ma, S.; Zhao, X.; Tian, H.; Chen, S.; Dong, D.; Zhou, J. Determination of phosphorus in water using iron hydroxide assisted laser-induced breakdown spectroscopy. J. Anal. Atom. Spectrom. 2023, 38, 638–641. [Google Scholar] [CrossRef]








| Parameter | DIDC | Pr-DIDC | DITC |
|---|---|---|---|
| λmaxdye (nm) | 636 | 641 | 748 |
| εdye (mol−1 L cm−1) | 1.82 × 105 | 1.75 × 105 | 2.32 × 105 [37] |
| pKp | −0.05 [38] | - | 1.03 [38] |
| pKh | 12.77 [39] | - | 11.84 [38] |
| Eo (V) (vs. SHE) 1 | 0.918 | 0.933 | 0.700 |
| E1/2ox/(vs. Fc+/Fc) 2 | 0.287 [35] | - | 0.066 [35] |
| λmaxIA (nm) | 600 | 630 | 640 |
| εIA (mol−1 L cm−1) | 1.86 × 105 | 1.72 × 105 | 0.42 × 105 |
| Characteristics | Value |
|---|---|
| λ (nm) | 600 |
| Reaction time (min) | 18 |
| Path length (cm) | 5 |
| Calibration range (μM) | 0.04–0.4 |
| Correlation coefficient | 0.9991 |
| Intercept ± Δ | 0.246 ± 0.012 |
| Slope ± Δ | (9.3 ± 0.5) × 105 |
| LOD (μM) | 0.013 |
| LOQ (μM) | 0.04 |
| Molar absorptivity (mol−1 L cm−1) | 1.86 × 105 |
| Foreign Species | Tolerance Level (mM) |
|---|---|
| SO42− | 225 |
| Cl−, NH4+ | 100 |
| Na+, Li+, K+, Ca2+, Br− | 50 |
| Mn2+, Mg2+ | 20 |
| Ni2+ | 6 |
| Zn2+ | 5 |
| Co2+, Cu2+, CO32− | 2 |
| I− | 1 |
| CH3COO− | 0.4 |
| SiO32− | 0.2 |
| Pb2+ | 0.2 |
| F− | 0.08 |
| AsO43− | 0.01 |
| Fe3+ | 0.01 |
| WO42− | 0.006 |
| Sample | Proposed Method | IA 12-Molybdophosphate-Astra Phloxine FF [24] | Molybdophosphate Blue [12] | |||
|---|---|---|---|---|---|---|
| (C ± Δ) 1 (µM) | RSD 2 (%) | (C ± Δ) (µM) | RSD (%) | (C ± Δ) (µM) | RSD (%) | |
| Artesian water | 6.1 ± 0.3 | 4 | 6.3 ± 0.3 | 4 | 6.3 ± 0.4 | 5 |
| Mineral water “Morshinska” | 1.11 ± 0.06 | 4 | 1.23 ± 0.08 | 5 | 1.07 ± 0.08 | 6 |
| Mineral water “BonAqua” | 0.42 ± 0.03 | 5 | 0.41 ± 0.02 | 4 | <LOQ | - |
| Method | Description of the Method | LOD (μg L−1) | Linear Range (μg L−1) | Ref. |
|---|---|---|---|---|
| Molecular spectroscopy methods | ||||
| UV–Vis | Formation of molybdenum blue by reduction in 12-MPA using bismuth (III) and antimony (III) as sensitizers | 13 | 20–1800 | [54] |
| UV–Vis | Formation of IA between malachite green and 12-MPA | 7 | Up to 300 | [23] |
| RRS | Formation of IA between cationic methyl violet and 12-MPA | 4 | 8–200 | [15] |
| Chemical sensor | Portable pump/valve-free water quality sensor based on phosphomolybdenum blue method | 12 | - | [55] |
| PTLS | Formation of molybdenum blue by reduction in 12-MPA | 4 | 11–1000 | [56] |
| UV–Vis, RRS, FL | Formation of IA between Nile blue and 12-MPA | 4.8, 4.9, 5.2 | 5–100 | [57] |
| Flow methods of analysis | ||||
| SIA-UV–Vis | The molybdenum blue method using antimony and ascorbic acid | 7.7 | Up to 2000 | [58] |
| Microfluidic SIA | A miniaturized microfluidic hydrodynamic sequential injection system based on molybdenum blue method | 1.5 | 3–30 | [59] |
| µPAD | Phosphomolybdenum blue method with antimony (III) as catalysator and ascorbic acid as reducing agent | 1.5 | 5–100 | [60] |
| FB-SP analyzer | Formation of molybdenum blue by reduction of 12-MPA | 4 | Up to 360 | [61] |
| Combination of UV–Vis spectrophotometry with preconcentration method | ||||
| MEPS-UV–Vis | Extraction of molybdoantimonatophosphoric heteropoly blue with hydrophobic C18 sorbent packed into a MEPS, elution with 60 µL of acetonitrile | 0.4 | 1.3–24.8 | [62] |
| Indirect UV–Vis | Separation of 12-MPA by extraction with isoamyl acetate, re-extraction with into aqueous phase, and formation of complex between molybdenum (VI) and sulfonitrazo | 10 | 20–430 | [63] |
| CPE-UV–Vis | Room temperature CPE with Triton X-100 procedure based on the heteropoly blue formation | - | 1.6–63 | [64] |
| MME-UV–Vis | Extraction of heteropoly blue with supramolecular solvent (alkyl polyglucoside and carboxylic acid) | 5 | 20–400 | [65] |
| Electrochemical methods | ||||
| CV | CV via [Omim]6Mo7O24—carbon paste electrode | 2.6 | 3–3 × 105 | [66] |
| APSE | Phosphate-selective electrode with a plasticized membrane that includes bis(2-ethylhexyl)tin (IV) dichloride as an ionophore | 24 | 60–3000 | [67] |
| Chromatography | ||||
| CZE | Determination of phosphate in seafood by CZE with indirect UV–Vis detection | 1.1 mg kg−1 | 5–55 mg L−1 | [68] |
| IC | Suppressed IC after perchloric acid deproteinization in milk | 33 | 1000–60,000 | [69] |
| Atomic spectrometry methods | ||||
| EDXRF | Ultrasonically assisted dispersive micro-solid phase extraction using lanthanum oxide supported on graphene oxide | 0.4 | 2–300 | [70] |
| LIBS | Laser-induced breakdown spectroscopy | 100 | - | [71] |
| UV–Vis | Formation of IA between DIDC and 11-MVP, oxidation of dye excess with vanadate | 0.4 | 1.2–12 | This study |
Disclaimer/Publisher’s Note: The statements, opinions and data contained in all publications are solely those of the individual author(s) and contributor(s) and not of MDPI and/or the editor(s). MDPI and/or the editor(s) disclaim responsibility for any injury to people or property resulting from any ideas, methods, instructions or products referred to in the content. |
© 2025 by the authors. Licensee MDPI, Basel, Switzerland. This article is an open access article distributed under the terms and conditions of the Creative Commons Attribution (CC BY) license (https://creativecommons.org/licenses/by/4.0/).
Share and Cite
Vishnikin, A.B.; Khlyntseva, S.V.; Bazel, Y.; Balogh, I.; Barchiy, I.E. Determination of Phosphate as an Ion-Association Complex of 11-Molybdovanadophosphate and Diindodicarbocyanine Based on Selective Oxidation of Excess Dye. Molecules 2025, 30, 1872. https://doi.org/10.3390/molecules30091872
Vishnikin AB, Khlyntseva SV, Bazel Y, Balogh I, Barchiy IE. Determination of Phosphate as an Ion-Association Complex of 11-Molybdovanadophosphate and Diindodicarbocyanine Based on Selective Oxidation of Excess Dye. Molecules. 2025; 30(9):1872. https://doi.org/10.3390/molecules30091872
Chicago/Turabian StyleVishnikin, Andriy B., Svitlana V. Khlyntseva, Yaroslav Bazel, Ioseph Balogh, and Ihor E. Barchiy. 2025. "Determination of Phosphate as an Ion-Association Complex of 11-Molybdovanadophosphate and Diindodicarbocyanine Based on Selective Oxidation of Excess Dye" Molecules 30, no. 9: 1872. https://doi.org/10.3390/molecules30091872
APA StyleVishnikin, A. B., Khlyntseva, S. V., Bazel, Y., Balogh, I., & Barchiy, I. E. (2025). Determination of Phosphate as an Ion-Association Complex of 11-Molybdovanadophosphate and Diindodicarbocyanine Based on Selective Oxidation of Excess Dye. Molecules, 30(9), 1872. https://doi.org/10.3390/molecules30091872

