Development of Fucoxanthin-Enriched Yogurt Using Nanoliposomal Carriers: A Strategy for Functional Dairy Products with Antioxidant and Erythroprotective Benefits
Abstract
1. Introduction
2. Results and Discussion
2.1. Morphological Study and Particle Size Measurement
2.2. Encapsulation Efficiency
2.3. Stability of Nanoliposomes by Centrifugation
2.4. In Vitro Release
2.5. Chemical Characterization
2.6. Microbiological Quality of Yogurt
2.7. Impact of Cold Storage Conditions on Antioxidant, Physicochemical, and Rheological Properties of Different Yogurt Formulations
2.7.1. Antioxidant Properties
2.7.2. Physicochemical Properties
Electric Conductivity
pH
Titratable Acidity
Syneresis Susceptibility (STS)
Water-Holding Capacity (WHC)
Viscosity
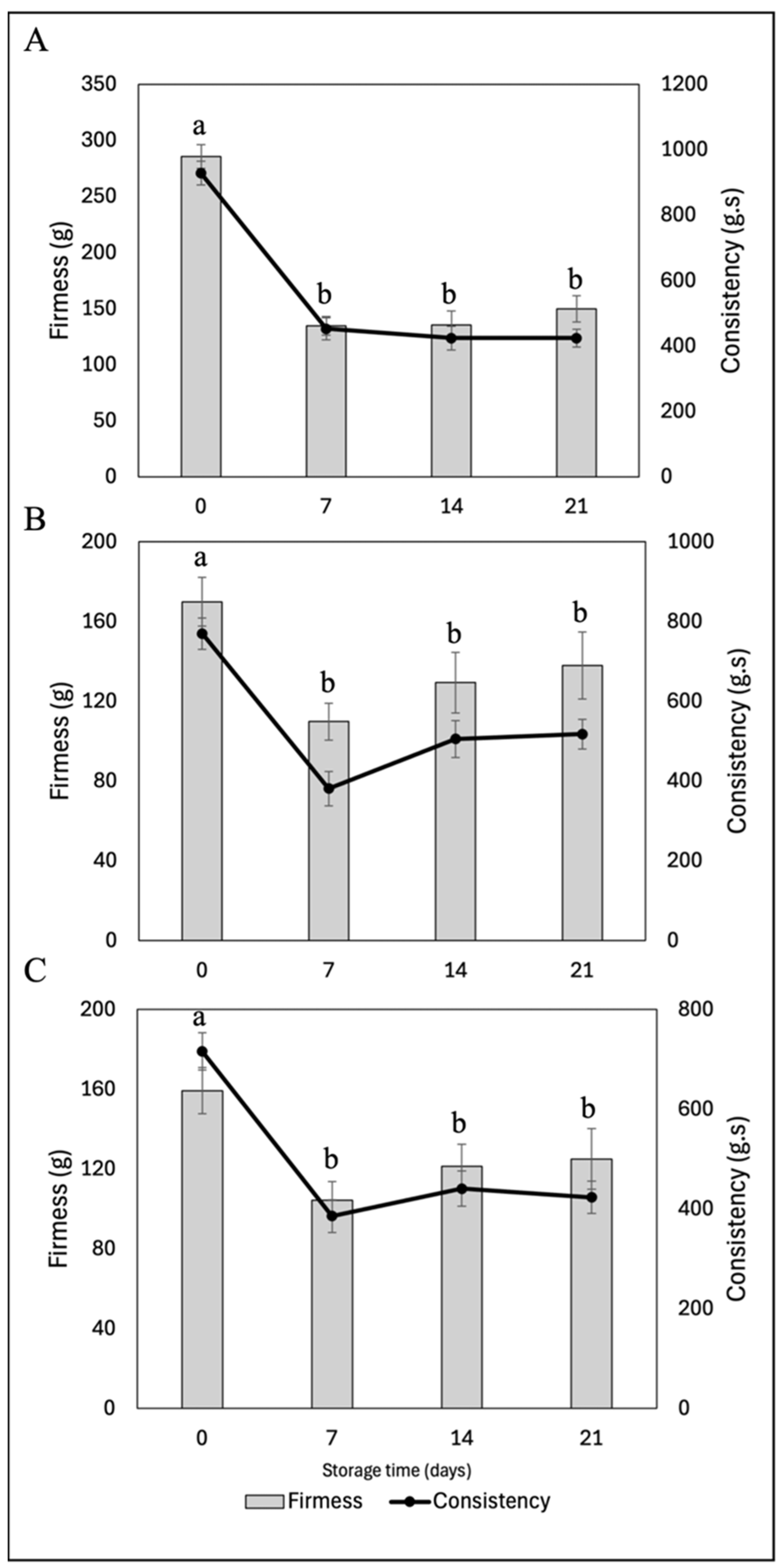
Textural Properties (Firmness and Consistency)
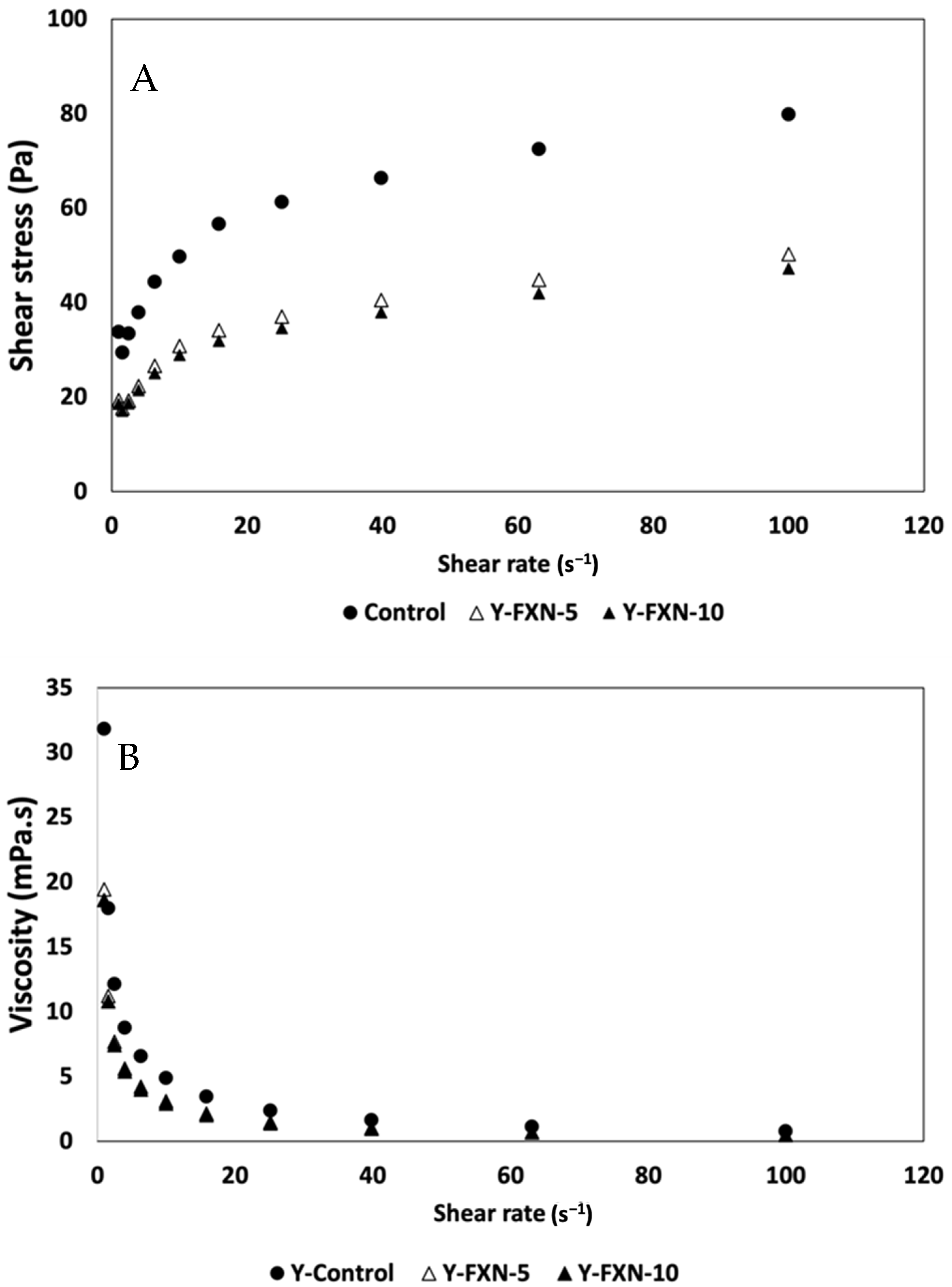
Rheological Properties
Sensorial Analysis
3. Materials and Methods
3.1. Chemical Reagents
3.2. Biological Material and Ethical Considerations
3.3. Synthesis of Fucoxanthin-Loaded Nanoliposomes
3.4. Morphological Study
3.5. Encapsulation Efficiency
3.6. Centrifugal Stability Measurement
3.7. In Vitro Release
3.8. Preparation of Potentially Functional Yogurt
3.8.1. Preparation and Formulation
3.8.2. Chemical Characterization
3.8.3. Microbiological Quality of Yogurt
3.9. Effect of Cold Storage Conditions on the Antioxidant, Physicochemical, and Rheological Properties of Yogurt Enriched with FXN-LN
3.9.1. Antioxidant Properties
3.9.2. Erythroprotective Potential
3.9.3. Physicochemical Properties
Electrical Conductivity
pH
Titratable Acidity
Syneresis Susceptibility (STS)
Water-Holding Capacity (WHC)
Texture
3.9.4. Rheological Analysis
3.9.5. Sensory Analysis
3.10. Statistical Analysis
4. Conclusions
Author Contributions
Funding
Institutional Review Board Statement
Informed Consent Statement
Data Availability Statement
Acknowledgments
Conflicts of Interest
References
- Rashwan, A.K.; Osman, A.I.; Chen, W. Natural Nutraceuticals for Enhancing Yogurt Properties: A Review. Environ. Chem. Lett. 2023, 21, 1907–1931. [Google Scholar] [CrossRef]
- Alkobeisi, F.; Varidi, M.J.; Varidi, M.; Nooshkam, M. Quinoa Flour as a Skim Milk Powder Replacer in Concentrated Yogurts: Effect on Their Physicochemical, Technological, and Sensory Properties. Food Sci. Nutr. 2022, 10, 1113–1125. [Google Scholar] [CrossRef]
- Almutairi, B.; Turner, M.S.; Fletcher, M.T.; Sultanbawa, Y. The Impact of Commercial Prebiotics on the Growth, Survival and Nisin Production by Lactococcus lactis 537 in Milk. LWT 2021, 137, 110356. [Google Scholar] [CrossRef]
- González-Vega, R.I.; Robles-García, M.Á.; Mendoza-Urizabel, L.Y.; Cárdenas-Enríquez, K.N.; Ruiz-Cruz, S.; Gutiérrez-Lomelí, M.; Iturralde-García, R.D.; Avila-Novoa, M.G.; Villalpando-Vargas, F.V.; Del-Toro-Sánchez, C.L. Impact of the ABO and RhD Blood Groups on the Evaluation of the Erythroprotective Potential of Fucoxanthin, β-Carotene, Gallic Acid, Quercetin and Ascorbic Acid as Therapeutic Agents against Oxidative Stress. Antioxidants 2023, 12, 2092. [Google Scholar] [CrossRef]
- Peng, J.; Yuan, J.-P.; Wu, C.-F.; Wang, J.-H. Fucoxanthin, a Marine Carotenoid Present in Brown Seaweeds and Diatoms: Metabolism and Bioactivities Relevant to Human Health. Mar. Drugs 2011, 9, 1806–1828. [Google Scholar] [CrossRef]
- Lourenço-Lopes, C.; Fraga-Corral, M.; Jimenez-Lopez, C.; Carpena, M.; Pereira, A.G.; Garcia-Oliveira, P.; Prieto, M.A.; Simal-Gandara, J. Biological Action Mechanisms of Fucoxanthin Extracted from Algae for Application in Food and Cosmetic Industries. Trends Food Sci. Technol. 2021, 117, 163–181. [Google Scholar] [CrossRef]
- FAO. The State of World Fisheries and Aquaculture 2022: Towards Blue Transformation; Food and Agriculture Organization of the United Nations: Rome, Italy, 2022. [Google Scholar] [CrossRef]
- Kakehi, S.; Onitsuka, G.; Kidokoro, H. Impact on Brown Macroalga Undaria pinnatifida Farming under Changing Ocean Climate. In Climate Change Impacts and Adaptation Strategies in Japan; Mimura, N., Takewaka, S., Eds.; Springer: Singapore, 2025; pp. 93–106. [Google Scholar] [CrossRef]
- Rostamabadi, H.; Reza Falsafi, S.; Mahdi Jafari, S. Nanoencapsulation of Carotenoids within Lipid-Based Nanocarriers. J. Control. Release 2019, 298, 38–67. [Google Scholar] [CrossRef]
- Sun, Y.; Chi, J.; Ye, X.; Wang, S.; Liang, J.; Yue, P.; Xiao, H.; Gao, X. Nanoliposomes as Delivery System for Anthocyanins: Physicochemical Characterization, Cellular Uptake, and Antioxidant Properties. LWT 2021, 139, 110554. [Google Scholar] [CrossRef]
- Bhosale, S.; Fulpagare, Y.G.; Desale, R.J. Nanoliposomes: Applications in Food and Dairy Industry. Int. J. Adv. Res. Biol. Sci. 2019, 6, 79–84. [Google Scholar]
- Cheng, X.; Zang, M.; Wang, S.; Zhao, X.; Zhai, G.; Wang, L.; Li, X.; Zhao, Y.; Yue, Y. Physicochemical and Antioxidant Properties of Nanoliposomes Loaded with Rosemary Oleoresin and Their Oxidative Stability Application in Dried Oysters. Bioengineering 2022, 9, 818. [Google Scholar] [CrossRef]
- Barkallah, M.; Dammak, M.; Louati, I.; Hentati, F.; Hadrich, B.; Mechichi, T.; Ayadi, M.A.; Fendri, I.; Attia, H.; Abdelkafi, S. Effect of Spirulina platensis Fortification on Physicochemical, Textural, Antioxidant and Sensory Properties of Yogurt during Fermentation and Storage. LWT 2017, 84, 323–330. [Google Scholar] [CrossRef]
- da Silva, D.F.; Junior, N.N.T.; Gomes, R.G.; dos Santos Pozza, M.S.; Britten, M.; Matumoto-Pintro, P.T. Physical, Microbiological and Rheological Properties of Probiotic Yogurt Supplemented with Grape Extract. J. Food Sci. Technol. 2017, 54, 1608–1615. [Google Scholar] [CrossRef]
- Anuyahong, T.; Chusak, C.; Adisakwattana, S. Incorporation of anthocyanin-rich riceberry rice in yogurts: Effect on physicochemical properties, antioxidant activity and in vitro gastrointestinal digestion. LWT 2020, 129, 109571. [Google Scholar] [CrossRef]
- Megrous, S.; Al-Dalali, S.; Yang, Z. Physicochemical and functional properties of yoghurt supplemented with bioactive low-molecular-weight casein hydrolysates. Int. Dairy J. 2024, 155, 105956. [Google Scholar] [CrossRef]
- Lee, W.J.; Lucey, J.A. Formation and physical properties of yogurt. Asian-Australas. J. Anim. Sci. 2010, 23, 1127–1136. [Google Scholar] [CrossRef]
- Oh, N.S.; Lee, J.Y.; Joung, J.Y.; Kim, K.S.; Shin, Y.K.; Lee, K.-W.; Kim, S.H.; Oh, S.; Kim, Y. Microbiological characterization and functionality of set-type yogurt fermented with potential prebiotic substrates Cudrania tricuspidata and Morus alba L. leaf extracts. J. Dairy Sci. 2016, 99, 6014–6025. [Google Scholar] [CrossRef]
- Mani-López, E.; Palou, E.; López-Malo, A. Probiotic viability and storage stability of yogurts and fermented milks prepared with several mixtures of lactic acid bacteria. J. Dairy Sci. 2014, 97, 2578–2590. [Google Scholar] [CrossRef]
- Liu, D.; Lv, X.X. Effect of blueberry flower pulp on sensory, physicochemical properties, lactic acid bacteria, and antioxidant activity of set-type yogurt during refrigeration. J. Food Process. Preserv. 2019, 43, e13856. [Google Scholar] [CrossRef]
- Liu, X.T.; Zhang, H.; Wang, F.; Luo, J.; Guo, H.Y.; Ren, F.Z. Rheological and structural properties of differently acidified and renneted milk gels. J. Dairy Sci. 2014, 97, 3292–3299. [Google Scholar] [CrossRef]
- Brodziak, A.; Krol, J.; BarÇowska, J.; Teter, A.; Florek, M. Changes in the physicochemical parameters of yoghurts with added whey protein in relation to the starter bacteria strains and storage time. Animals 2020, 10, 1350. [Google Scholar] [CrossRef]
- Hu, F.; Liu, W.; Yan, L.; Kong, F.; Wei, K. Optimization and characterization of poly(lactic-co-glycolic acid) nanoparticles loaded with astaxanthin and evaluation of anti-photodamage effect in vitro. R. Soc. Open Sci. 2019, 6, 191184. [Google Scholar] [CrossRef] [PubMed]
- Wang, Q.; Zhao, Y.; Guan, L.; Zhang, Y.; Dang, Q.; Dong, P.; Li, J.; Liang, X. Preparation of astaxanthin-loaded DNA/chitosan nanoparticles for improved cellular uptake and antioxidation capability. Food Chem. 2017, 227, 9–15. [Google Scholar] [CrossRef] [PubMed]
- Liu, C.; Zhang, S.; McClements, D.J.; Wang, D.; Xu, Y. Design of astaxanthin-loaded core-shell nanoparticles consisting of chitosan oligosaccharides and poly(lactic-co-glycolic acid): Enhancement of water solubility, stability, and bioavailability. J. Agric. Food Chem. 2019, 67, 5113–5121. [Google Scholar] [CrossRef] [PubMed]
- Tamjidi, F.; Shahedi, M.; Varshosaz, J.; Nasirpour, A. Design and characterization of astaxanthin-loaded nanostructured lipid carriers. Innov. Food Sci. Emerg. Technol. 2014, 26, 366–374. [Google Scholar] [CrossRef]
- Pan, L.H.; Liu, F.; Luo, S.Z.; Luo, J.P. Pomegranate juice powder as sugar replacer enhanced quality and function of set yogurts: Structure, rheological property, antioxidant activity and in vitro bioaccessibility. LWT 2019, 115, 108479. [Google Scholar] [CrossRef]
- Rodriguez-Ruiz, V.; Salatti-Dorado, J.Á.; Barzegari, A.; Nicolas-Boluda, A.; Houaoui, A.; Caballo, C.; Caballero-Casero, N.; Sicilia, D.; Venegas, J.B.; Pauthe, E.; et al. Astaxanthin-loaded nanostructured lipid carriers for preservation of antioxidant activity. Molecules 2018, 23, 2601. [Google Scholar] [CrossRef]
- Taksima, T.; Limpawattana, M.; Klaypradit, W. Astaxanthin encapsulated in beads using ultrasonic atomizer and application in yogurt as evaluated by consumer sensory profile. LWT 2015, 62, 431–437. [Google Scholar] [CrossRef]
- Mozafari, M.R. Nanoliposomes: Preparation and Analysis. In Liposomes: Methods in Molecular Biology, 1st ed.; Weissig, V., Ed.; Humana Press: Totowa, NJ, USA, 2010; Volume 605, pp. 29–50. [Google Scholar] [CrossRef]
- Mozafari, M.R. (Ed.) Nanocarrier Technologies: Frontiers of Nanotherapy; Springer: Dordrecht, The Netherlands, 2006. [Google Scholar] [CrossRef]
- Wang, Y.; Lu, Z.; Wu, H.; Lv, F. The Stability, Sustained Release and Cellular Antioxidant Activity of Curcumin Nanoliposomes. Molecules 2015, 20, 14293–14311. [Google Scholar] [CrossRef]
- Domoto, N.; Koenen, M.E.; Havenaar, R.; Mikajiri, A.; Chu, B.S. The Bioaccessibility of Eicosapentaenoic Acid Was Higher from Phospholipid Food Products than from Mono and Triacylglycerol Food Products in a Dynamic Gastrointestinal Model. Food Sci. Nutr. 2013, 1, 409–415. [Google Scholar] [CrossRef]
- Sahin, O.I.; Dundar, A.N.; Ozdemir, S.; Uzuner, K.; Parlak, M.E.; Dagdelen, A.F.; Saricaoglu, F.T. Nanophytosomes as a Protection System to Improve the Gastrointestinal Stability and Bioavailability of Phycocyanin. Food Biosci. 2022, 50, 102052. [Google Scholar] [CrossRef]
- Mahfoudhi, N.; Ksouri, R.; Hamdi, S. Nanoemulsions as Potential Delivery Systems for Bioactive Compounds in Food Systems: Preparation, Characterization, and Applications in Food Industry. In Nanotechnology in the Agri-Food Industry; Academic Press: Cambridge, MA, USA, 2016; Volume 2, pp. 365–403. [Google Scholar] [CrossRef]
- McClements, D.J. Encapsulation, Protection, and Delivery of Bioactive Proteins and Peptides Using Nanoparticle and Microparticle Systems: A Review. Adv. Colloid Interface Sci. 2018, 253, 1–22. [Google Scholar] [CrossRef] [PubMed]
- Li, S.; Lo, C.-Y.; Pan, M.-H.; Lai, C.-S.; Ho, C.-T. Black Tea: Chemical Analysis and Stability. Food Funct. 2013, 4, 10–18. [Google Scholar] [CrossRef] [PubMed]
- Le, T.T.; Phan, T.T.Q.; Van Camp, J.; Dewettinck, K. Milk and dairy polar lipids: Occurrence, purification, and nutritional and technological properties. In Milk and Dairy Products in Human Nutrition; Park, Y.W., Ed.; CRC Press: Boca Raton, FL, USA, 2015; pp. 91–143. [Google Scholar] [CrossRef]
- Aguilar-Pérez, K.M.; Medina, D.I.; Narayanan, J.; Parra-Saldívar, R.; Iqbal, H.M.N. Synthesis and Nano-Sized Characterization of Bioactive Oregano Essential Oil Molecule-Loaded Small Unilamellar Nanoliposomes with Antifungal Potentialities. Molecules 2021, 26, 2880. [Google Scholar] [CrossRef] [PubMed]
- Matos, J.; Afonso, C.; Cardoso, C.; Serralheiro, M.L.; Bandarra, N.M. Yogurt Enriched with Isochrysis galbana: An Innovative Functional Food. Foods 2021, 10, 1458. [Google Scholar] [CrossRef]
- Peng, C.H.; Chang, C.H.; Peng, R.Y.; Chyau, C.C. Improved membrane transport of astaxanthin by liposomal encapsulation. Eur. J. Pharm. Biopharm. 2010, 75, 154–161. [Google Scholar] [CrossRef]
- Risaliti, L.; Kehagia, A.; Daoultzi, E.; Lazari, D.; Bergonzi, M.C.; Vergkizi-Nikolakaki, S.; Bilia, A.R. Liposomes loaded with Salvia triloba and Rosmarinus officinalis essential oils: In vitro assessment of antioxidant, antiinflammatory and antibacterial activities. J. Drug Deliv. Sci. Technol. 2019, 51, 493–498. [Google Scholar] [CrossRef]
- Hammoud, Z.; Gharib, R.; Fourmentin, S.; Elaissari, A.; Greige-Gerges, H. New findings on the incorporation of essential oil components into liposomes composed of lipoid S100 and cholesterol. Int. J. Pharm. 2019, 561, 161–170. [Google Scholar] [CrossRef]
- Hamad, I.; Harb, A.A.; Bustanji, Y. Liposome-Based Drug Delivery Systems in Cancer Research: An Analysis of Global Landscape Efforts and Achievements. Pharmaceutics 2024, 16, 400. [Google Scholar] [CrossRef]
- Acurio Arcos, L.P.; Cadena Masabanda, W.A. Physicochemical, Rheological, Sensory, and Proximal Properties of Yogurt Flavored with Aloe vera Gel. Emir. J. Food Agric. 2024, 36, 1–12. [Google Scholar] [CrossRef]
- Ministry of Health (Mexico). Official Mexican Standard NOM-243-SSA1-2010: Products and Services. Milk, Milk Formula, Combined Dairy Products and Dairy Derivatives. Sanitary Provisions and Specifications. Test Methods. Official Gazette of the Federation. 2010. Available online: https://www.fao.org/faolex/results/details/en/c/LEX-FAOC097698/ (accessed on 10 April 2025).
- Sarıtaş, S.; Portocarrero, A.C.M.; Miranda López, J.M.; Lombardo, M.; Koch, W.; Raposo, A.; El-Seedi, H.R.; de Brito Alves, J.L.; Esatbeyoglu, T.; Karav, S.; et al. The Impact of Fermentation on the Antioxidant Activity of Food Products. Molecules 2024, 29, 3941. [Google Scholar] [CrossRef]
- Corrêa, R.C.G.; Barros, L.; Fernandes, Â.; Sokovic, M.; Bracht, A.; Peralta, R.M.; Ferreira, I.C.F.R. A natural food ingredient based on ergosterol: Optimization of the extraction from Agaricus blazei, evaluation of bioactive properties and incorporation in yogurts. Food Funct. 2018, 9, 1465–1474. [Google Scholar] [CrossRef] [PubMed]
- Bourne, M.C. Food Texture and Viscosity: Concept and Measurement, 2nd ed.; Academic Press: San Diego, CA, USA, 2002. [Google Scholar]
- Lee, J.-W.; Lucey, J.A. Impact of Gelation Conditions and Structural Breakdown on the Physical and Sensory Properties of Stirred Yogurts. J. Dairy Sci. 2006, 89, 2374–2385. [Google Scholar] [CrossRef] [PubMed]
- Jeong, C.H.; Ryu, H.; Zhang, T.; Lee, C.H.; Seo, H.G.; Han, S.G. Green Tea Powder Supplementation Enhances Fermentation and Antioxidant Activity of Set-Type Yogurt. Food Sci. Biotechnol. 2018, 27, 1419–1427. [Google Scholar] [CrossRef] [PubMed]
- Zahoor, I.; Allai, F.M. Food Antioxidants: Functional Aspects and Preservation During Food Processing. In Functional Food Products and Sustainable Health; Ahmad, S., Al-Shabib, N., Eds.; Springer: Singapore, 2020; pp. 231–251. [Google Scholar] [CrossRef]
- Gómez-Estaca, J.; Balaguer, M.P.; López-Carballo, G.; Gavara, R.; Hernández-Muñoz, P. Improving Antioxidant and Antimicrobial Properties of Curcumin by Means of Encapsulation in Gelatin through Electrohydrodynamic Atomization. Food Hydrocoll. 2017, 70, 313–320. [Google Scholar] [CrossRef]
- Kristl, J.; Teskac, K.; Caddeo, C.; Abramovic, Z.; Sentjurc, M. Improvements of Cellular Stress Response on Resveratrol in Liposomes. Eur. J. Pharm. Biopharm. 2009, 73, 253–259. [Google Scholar] [CrossRef]
- Abd El-Emam, M.M.; Mostafa, M.; Farag, A.A.; Youssef, H.S.; El-Demerdash, A.S.; Bayoumi, H.; Gebba, M.A.; El-Halawani, S.M.; Saleh, A.M.; Badr, A.M.; et al. The Potential Effects of Quercetin-Loaded Nanoliposomes on Amoxicillin/Clavulanate-Induced Hepatic Damage: Targeting the SIRT1/Nrf2/NF-κB Signaling Pathway and Microbiota Modulation. Antioxidants 2023, 12, 1487. [Google Scholar] [CrossRef]
- Wu, Y.; Wang, K.; Liu, Q.; Liu, X.; Mou, B.; Lai, O.-M.; Tan, C.-P.; Cheong, L.-Z. Selective Antibacterial Activities and Storage Stability of Curcumin-Loaded Nanoliposomes Prepared from Bovine Milk Phospholipid and Cholesterol. Food Chem. 2022, 367, 130700. [Google Scholar] [CrossRef]
- Hasan, M.; Elkhoury, K.; Kahn, C.J.F.; Arab-Tehrany, E.; Linder, M. Preparation, Characterization, and Release Kinetics of Chitosan-Coated Nanoliposomes Encapsulating Curcumin in Simulated Environments. Molecules 2019, 24, 2023. [Google Scholar] [CrossRef]
- Linder, M.; Arab-Tehrany, E. The Positive Role of Curcumin-Loaded Salmon Nanoliposomes on the Culture of Primary Cortical Neurons. Mar. Drugs 2018, 16, 218. [Google Scholar] [CrossRef]
- Yakoubi, S.; Kobayashi, I.; Uemura, K.; Nakajima, M.; Isoda, H.; Ksouri, R.; Saidani-Tounsi, M.; Neves, M.A. Essential-Oil-Loaded Nanoemulsion Lipidic-Phase Optimization and Modeling by Response Surface Methodology (RSM): Enhancement of Their Antimicrobial Potential and Bioavailability in Nanoscale Food Delivery System. Foods 2021, 10, 3149. [Google Scholar] [CrossRef]
- Chen, Y.; He, N.; Yang, T.; Cai, S.; Zhang, Y.; Lin, J.; Huang, M.; Chen, W.; Zhang, Y.; Hong, Z. Fucoxanthin Loaded in Palm Stearin- and Cholesterol-Based Solid Lipid Nanoparticle-Microcapsules, with Improved Stability and Bioavailability In Vivo. Mar. Drugs 2022, 20, 237. [Google Scholar] [CrossRef] [PubMed]
- Sridhar, K.; Inbaraj, B.S.; Chen, B.-H. Recent Advances on Nanoparticle Based Strategies for Improving Carotenoid Stability and Biological Activity. Antioxidants 2021, 10, 713. [Google Scholar] [CrossRef] [PubMed]
- Verardi, A.; Sangiorgio, P.; Lopresto, C.G.; Casella, P.; Errico, S. Enhancing Carotenoids’ Efficacy by Using Chitosan-Based Delivery Systems. Nutraceuticals 2023, 3, 451–480. [Google Scholar] [CrossRef]
- Nuñez de González, M.T.; Attaie, R.; Woldesenbet, S.; Mora-Gutierrez, A.; Jung, Y. Fucoxanthin as a Biofunctional Compound in Goat Milk Yogurt: Stability and Physicochemical Effects. Fermentation 2023, 9, 273. [Google Scholar] [CrossRef]
- Mok, I.K.; Lee, J.K.; Kim, J.H.; Pan, C.H.; Kim, S.M. Fucoxanthin Bioavailability from Fucoxanthin-Fortified Milk: In Vivo and In Vitro Study. Food Chem. 2018, 258, 79–86. [Google Scholar] [CrossRef]
- Mok, I.K.; Yoon, J.R.; Pan, C.H.; Kim, S.M. Development, Quantification, Method Validation, and Stability Study of a Novel Fucoxanthin-Fortified Milk. J. Agric. Food Chem. 2016, 64, 6196–6202. [Google Scholar] [CrossRef]
- Gürbüz, Z.; Erkaya-Kotan, T.; Şengül, M. Evaluation of Physicochemical, Microbiological, Texture and Microstructure Characteristics of Set-Style Yoghurt Supplemented with Quince Seed Mucilage Powder as a Novel Natural Stabiliser. Int. Dairy J. 2021, 114, 104938. [Google Scholar] [CrossRef]
- Gyawali, R.; Ibrahim, S.A. Effects of Hydrocolloids and Processing Conditions on Acid Whey Production with Reference to Greek Yogurt. Trends Food Sci. Technol. 2016, 56, 61–76. [Google Scholar] [CrossRef]
- Mehra, R.; Kumar, H.; Rafiq, S.; Kumar, N.; Buttar, H.S.; Leicht, K.; Okpala, C.O.R.; Korzeniowska, M. Enhancing Yogurt Products’ Ingredients: Preservation Strategies, Processing Conditions, Analytical Detection Methods, and Therapeutic Delivery-An Overview. PeerJ 2022, 10, e14177. [Google Scholar] [CrossRef]
- Aportela‚ÄêPalacios, A.; Sosa‚ÄêMorales, M.; Vélez‚ÄêRuiz, J. Rheological and Physicochemical Behavior of Fortified Yogurt with Fiber and Calcium. J. Texture Stud. 2005, 36, 333–349. [Google Scholar] [CrossRef]
- Mahomud, M.S.; Katsuno, N.; Nishizu, T. Role of Whey Protein-Casein Complexes on Yoghurt Texture. Rev. Agric. Sci. 2017, 5, 1–12. [Google Scholar] [CrossRef]
- Bierzuńska, P.; Cais-Sokoli≈Ñska, D.; Yiƒüit, A. Storage Stability of Texture and Sensory Properties of Yogurt with the Addition of Polymerized Whey Proteins. Foods 2019, 8, 548. [Google Scholar] [CrossRef] [PubMed]
- Gharibzahedi, S.M.T.; Chronakis, I.S. Crosslinking of Milk Proteins by Microbial Transglutaminase: Utilization in Functional Yogurt Products. Food Chem. 2018, 245, 620–632. [Google Scholar] [CrossRef] [PubMed]
- Vital, A.C.P.; Goto, P.A.; Hanai, L.N.; Gomes-da-Costa, S.M.; de Abreu Filho, B.A.; Nakamura, C.V.; Matumoto-Pintro, P.T. Microbiological, Functional and Rheological Properties of Low-Fat Yogurt Supplemented with Pleurotus ostreatus Aqueous Extract. LWT 2015, 64, 1028–1035. [Google Scholar] [CrossRef]
- Guggisberg, D.; Cuthbert-Steven, J.; Piccinali, P.; Bütikofer, U.; Eberhard, P. Rheological, Microstructural and Sensory Characterization of Low-Fat and Whole Milk Set Yoghurt as Influenced by Inulin Addition. Int. Dairy J. 2009, 19, 107–115. [Google Scholar] [CrossRef]
- Shaker, R.; Jumah, R.; Abu-Jdayil, B. Rheological Properties of Plain Yogurt during Coagulation Process: Impact of Fat Content and Preheat Treatment of Milk. J. Food Eng. 2000, 44, 175–180. [Google Scholar] [CrossRef]
- Shokery, E.S.; El-Ziney, M.G.; Yossef, A.H.; Mashaly, R.I. Effect of Green Tea and Moringa Leave Extracts Fortification on the Physicochemical, Rheological, Sensory and Antioxidant Properties of Set-Type Yoghurt. J. Adv. Dairy Res. 2017, 5, 179. [Google Scholar] [CrossRef]
- Najgebauer-Lejko, D.; Żmudziński, D.; Ptaszek, A.; Socha, R. Textural Properties of Yogurts with Green Tea and Pu-erh Tea Additive. Int. J. Food Sci. Technol. 2013, 49, 1149–1158. [Google Scholar] [CrossRef]
- de Campo, C.; Assis, R.Q.; da Silva, M.M.; Costa, T.M.H.; Paese, K.; Guterres, S.S.; de Oliveira Rios, A.; Flôres, S.H. Incorporation of Zeaxanthin Nanoparticles in Yogurt: Influence on Physicochemical Properties, Carotenoid Stability and Sensory Analysis. Food Chem. 2019, 301, 125230. [Google Scholar] [CrossRef]
- Athar, I.H.; Shah, M.A.; Khan, U.N. Effect of Various Stabilizers on Whey Separation (Syneresis) and Quality of Yogurt. Pak. J. Biol. Sci. 2000, 3, 1336–1338. [Google Scholar] [CrossRef]
- Raftani Amiri, Z.; Rezaei Erami, S.; Jafari, S.M.; Ahmadian, S. Physicochemical Properties of Yogurt Enriched with Nanoliposomes Containing Bitter Melon Extract. LWT 2024, 198, 116091. [Google Scholar] [CrossRef]
- Asaduzzaman, M.; Mahomud, M.S.; Haque, M.E. Heat-Induced Interaction of Milk Proteins: Impact on Yoghurt Structure. Int. J. Food Sci. 2021, 2021, 5569917. [Google Scholar] [CrossRef] [PubMed]
- Tavakoli, H.; Hosseini, O.; Jafari, S.M.; Katouzian, I. Evaluation of Physicochemical and Antioxidant Properties of Yogurt Enriched by Olive Leaf Phenolics within Nanoliposomes. J. Agric. Food Chem. 2018, 66, 9129–9138. [Google Scholar] [CrossRef] [PubMed]
- Borjizadeh, Z.; Ahari, H.; Özdal, T.; Khosravi-Darani, K.; Mohammadi Nafchi, A. Saffron Nanoencapsulation (Crocus sativus) and Its Role in Food Science: Types and Techniques. ACS Food Sci. Technol. 2024, 4, 1310–1333. [Google Scholar] [CrossRef]
- Radi, U.M.A.; Doosh, K.S. Study of the Physiochemical and Sensory Properties of Therapeutic Low-Cholesterol Yoghurt Fortified with Zinc Nanoparticles. IOP Conf. Ser. Earth Environ. Sci. 2023, 1262, 062029. [Google Scholar] [CrossRef]
- Schram, L.B.; Nielsen, C.J.; Porsgaard, T.; Nielsen, N.S.; Holm, R.; Mu, H. Food Matrices Affect the Bioavailability of (n-3) Polyunsaturated Fatty Acids in a Single Meal Study in Humans. Food Res. Int. 2007, 40, 1062–1068. [Google Scholar] [CrossRef]
- Ghorbanzade, T.; Jafari, S.M.; Akhavan, S.; Hadavi, R. Nano-Encapsulation of Fish Oil in Nano-Liposomes and Its Application in Fortification of Yogurt. Food Chem. 2017, 216, 146–152. [Google Scholar] [CrossRef]
- Official Mexican Standard NOM-253-SSA1-2012; For the Disposal of Human Blood and Its Components for Therapeutic Purposes. Ministry of Health (Mexico), Official Gazette of the Federation: Mexico City, México, 2012. Available online: https://www.dof.gob.mx/nota_detalle.php?codigo=5272787&fecha=26/10/2012/ (accessed on 10 April 2025).
- ISO/IEC 17025:2017; General Requirements for the Competence of Testing and Calibration Laboratories. ISO: Geneva, Switzerland, 2022. Available online: https://www.iso.org/obp/ui/#iso:std:iso-iec:17025:ed-3:v2:es (accessed on 28 October 2022).
- ISO 15189:2022; Medical Laboratories—Requirements for Quality and Competence. ISO: Geneva, Switzerland, 2022. Available online: https://www.iso.org/obp/ui/#iso:std:iso:15189:ed-4:v1:en (accessed on 28 October 2022).
- ISO/TC 212; Clinical Laboratory Testing and In Vitro Diagnostic Test Systems. ISO: Geneva, Switzerland, 2022. Available online: https://www.iso.org/committee/54916.html (accessed on 28 October 2022).
- ISO 9001:2015; Quality Management Systems. ISO: Geneva, Switzerland, 2015. Available online: https://www.iso.org/obp/ui/#iso:std:iso:9001:ed-5:v1:en (accessed on 28 October 2022).
- Peña-Medina, R.L.; Fimbres-Olivarría, D.; Enríquez-Ocaña, L.F.; Martínez-Córdova, L.R.; Del-Toro-Sánchez, C.L.; López-Elías, J.A.; González-Vega, R.I. Erythroprotective Potential of Phycobiliproteins Extracted from Porphyridium cruentum. Metabolites 2023, 13, 366. [Google Scholar] [CrossRef]
- Ruiz-Cruz, S.; González-Vega, R.I.; Robles-Zepeda, R.E.; Reyes-Díaz, A.; López-Elías, J.A.; Alvarez-Ainza, M.L.; Cinco-Moroyoqui, F.J.; Moreno-Corral, R.A.; Wong-Corral, F.J.; Borboa-Flores, J.; et al. Association of Different ABO and Rh Blood Groups with the Erythroprotective Effect of Extracts from Navicula incerta and Their Anti-Inflammatory and Antiproliferative Properties. Metabolites 2022, 12, 1203. [Google Scholar] [CrossRef]
- González-Vega, R.I.; Cárdenas-López, J.C.; López-Elías, J.A.; Ruiz-Cruz, S.; Reyes-Díaz, A.; Perez-Perez, L.M.; Cinco-Moroyoqui, F.J.; Robles-Zepeda, R.E.; Borboa-Flores, J.; Del-Toro-Sánchez, C.L. Optimization of Growing Conditions for Pigments Production from Microalga Navicula incerta Using Response Surface Methodology and Its Antioxidant Capacity. Saudi J. Biol. Sci. 2021, 28, 1401–1416. [Google Scholar] [CrossRef]
- AOAC. Official Methods of Analysis, 15th ed.; Association of Official Analytical Chemists: Arlington, VA, USA, 1990. [Google Scholar]
- Benzie, I.F.F.; Strain, J.J. The Ferric Reducing Ability of Plasma (FRAP) as a Measure of “Antioxidant Power”: The FRAP Assay. Anal. Biochem. 1996, 239, 70–76. [Google Scholar] [CrossRef] [PubMed]
- Brand-Williams, W.; Cuvelier, M.E.; Berset, C. Use of a Free Radical Method to Evaluate Antioxidant Activity. LWT 1995, 28, 25–30. [Google Scholar] [CrossRef]
- Re, R.; Pellegrini, N.; Proteggente, A.; Pannala, A.; Yang, M.; Rice-Evans, C. Antioxidant Activity Applying an Improved ABTS Radical Cation Decolorization Assay. Free Radic. Biol. Med. 1999, 26, 1231–1237. [Google Scholar] [CrossRef] [PubMed]
- Agarwal, H.; Shanmugam, V.K. Anti-Inflammatory Activity Screening of Kalanchoe pinnata Methanol Extract and Its Validation Using a Computational Simulation Approach. Inform. Med. Unlocked 2019, 14, 6–14. [Google Scholar] [CrossRef]
- CODEX STAN 243-2003; Codex Alimentarius. Codex Standard for Fermented Milks. FAO: Rome, Italy, 2010; Adopted in 2003, Revision 2008.
- AOCS. Official Methods and Recommended Practices of the American Oil Chemists’ Society, 6th ed.; AOCS Press: Champaign, IL, USA, 2007. [Google Scholar]
- AOAC. The Official Methods of Analysis, 17th ed.; Association of Official Analytical Chemists: Gaithersburg, MD, USA, 2000. [Google Scholar]
- Achanta, K.; Aryana, K.J.; Boeneke, C.A. Fat-Free Plain Set Yogurts Fortified with Various Minerals. LWT 2007, 40, 424–429. [Google Scholar] [CrossRef]
- Lawless, H.T.; Heymann, H. Sensory Evaluation of Food: Principles and Practices, 2nd ed.; Springer: New York, NY, USA, 2010. [Google Scholar]
- Stone, H.; Sidel, J.L. Sensory Evaluation Practices, 4th ed.; Academic Press: San Diego, CA, USA, 2012. [Google Scholar]












| Total Dry Weight | ||||||
|---|---|---|---|---|---|---|
| Samples | Dry Matter (%) | Humidity (%) | Protein (%) | Fat (%) | CHO (%) | Ashes (%) |
| Y-C | 13.5 a ± 1.56 | 86.5 a ± 2.2 | 37.3 a ± 1.3 | 31.6 a ± 2.0 | 24.9 a ± 1.9 | 6.5 a ± 0.3 |
| Y-FXN-5 | 14.2 a ± 1.32 | 85.8 a ± 2.4 | 36.4 a ± 2.0 | 33.5 a ± 2.6 | 22.8 a ± 1.2 | 7.2 a ± 0.2 |
| Y-FXN-10 | 14.7 a ± 2.75 | 85.3 a ± 2.6 | 35.9 a ± 1.6 | 34.1 a ± 1.7 | 22.2 a ± 1.2 | 7.9 a ± 0.5 |
| Samples | Storage Time (Days) | Free-Radical Scavenging (%) | mmol TE/g | |
|---|---|---|---|---|
| DPPH• | ABTS+• | FRAP | ||
| Y-C | 0 | 24.8 e ± 1.3 | 33.72 f ± 1.8 | 2.9 c ± 0.1 |
| 7 | 24.3 e ± 2.5 | 30.4 fg ± 2.4 | 2.4 d ± 0.1 | |
| 14 | 21.7 f ± 1.7 | 28.41 g ± 2.9 | 2.2 d ± 0.1 | |
| 21 | 19.2 f ± 2.8 | 25.9 g ± 1.2 | 2.3 d ± 0.1 | |
| Y-FXN-5 | 0 | 35.0 c ± 0.9 | 43.4 d ± 1.6 | 3.1 ab ± 0.1 |
| 7 | 34.1 c ± 1.8 | 41.6 de ± 1.7 | 3.2 a ± 0.1 | |
| 14 | 32.6 cd ± 2.8 | 39.3 e ± 1.6 | 3.0 b ± 0.1 | |
| 21 | 30.2 d ± 1.6 | 39.6 e ± 2.9 | 2.9 b ± 0.1 | |
| Y-FXN-10 | 0 | 52.9 a ± 1.2 | 97.9 a ± 2.9 | 3.2 a ± 0.1 |
| 7 | 50.2 b ± 0.4 | 92.5 b ± 2.3 | 3.1 a ± 0.1 | |
| 14 | 51.3 ab ± 1.6 | 90.2 bc ± 1.2 | 3.2 a ± 0.1 | |
| 21 | 50.3 b ± 1.2 | 88.4 c ± 0.7 | 3.0 b ± 0.1 | |
| Samples | HI (%) | PHI (%) | Heat-IH | Hypo-IH |
|---|---|---|---|---|
| Y-C | 17.3 c ± 2.7 | 61.07 b ± 2.5 | 25.50 b ± 2.4 | 81.46 b ± 1.2 |
| Y-FXN-5 | 63.8 b ± 2.3 | 54.93 c ± 1.9 | 25.17 b ± 2.9 | 80.87 b ± 2.9 |
| Y-FXN-10 | 82.4 a ± 1.5 | 82.40 a ± 2.6 | 46.80 a ± 3.6 | 93.62 a ± 2.2 |
| Sensory Quality Attributes | Treatments | ||
|---|---|---|---|
| Y-C | Y-FXN-5 | Y-FXN-10 | |
| Color | 8.56 a ± 0.16 | 7.491 a ± 0.26 | 8.73 a ± 0.47 |
| Flavor | 7.83 a ± 0.23 | 7.64.73 b ± 0.42 | 8.09 c ± 0.83 |
| Aftertaste | 7.24 b ± 0.26 | 8.00 a ± 0.25 | 8.18 a ± 1.08 |
| Scent | 8.61 a ± 0.45 | 7.73 ab ± 0.45 | 8.64 b ± 0.67 |
| Consistency | 8.29 a ± 0.35 | 7.55 ab ± 0.34 | 8.19 b ± 0.94 |
| Texture | 8.22 a ± 0.23 | 7.91 a ± 0.65 | 8.36 a ± 0.92 |
| Appearance | 8.29 a ± 0.32 | 7.64 a ± 0.32 | 8.82 b ± 0.40 |
| General acceptance | 7.88 a ± 0.15 | 8.00 a ± 0.21 | 8.36 a ± 0.81 |
Disclaimer/Publisher’s Note: The statements, opinions and data contained in all publications are solely those of the individual author(s) and contributor(s) and not of MDPI and/or the editor(s). MDPI and/or the editor(s) disclaim responsibility for any injury to people or property resulting from any ideas, methods, instructions or products referred to in the content. |
© 2025 by the authors. Licensee MDPI, Basel, Switzerland. This article is an open access article distributed under the terms and conditions of the Creative Commons Attribution (CC BY) license (https://creativecommons.org/licenses/by/4.0/).
Share and Cite
Robles-García, M.Á.; Del-Toro-Sánchez, C.L.; Limón-Vargas, G.; Gutiérrez-Lomelí, M.; Avila-Novoa, M.G.; Villalpando-Vargas, F.V.; Vega-Ruiz, B.; Bernal-Mercado, A.T.; Iturralde-García, R.D.; Gómez-Guzman, A.I.P.; et al. Development of Fucoxanthin-Enriched Yogurt Using Nanoliposomal Carriers: A Strategy for Functional Dairy Products with Antioxidant and Erythroprotective Benefits. Molecules 2025, 30, 1854. https://doi.org/10.3390/molecules30081854
Robles-García MÁ, Del-Toro-Sánchez CL, Limón-Vargas G, Gutiérrez-Lomelí M, Avila-Novoa MG, Villalpando-Vargas FV, Vega-Ruiz B, Bernal-Mercado AT, Iturralde-García RD, Gómez-Guzman AIP, et al. Development of Fucoxanthin-Enriched Yogurt Using Nanoliposomal Carriers: A Strategy for Functional Dairy Products with Antioxidant and Erythroprotective Benefits. Molecules. 2025; 30(8):1854. https://doi.org/10.3390/molecules30081854
Chicago/Turabian StyleRobles-García, Miguel Ángel, Carmen Lizette Del-Toro-Sánchez, Germán Limón-Vargas, Melesio Gutiérrez-Lomelí, María Guadalupe Avila-Novoa, Fridha Viridiana Villalpando-Vargas, Brenda Vega-Ruiz, Ariadna Thalía Bernal-Mercado, Rey David Iturralde-García, Abril Ivett Priscilla Gómez-Guzman, and et al. 2025. "Development of Fucoxanthin-Enriched Yogurt Using Nanoliposomal Carriers: A Strategy for Functional Dairy Products with Antioxidant and Erythroprotective Benefits" Molecules 30, no. 8: 1854. https://doi.org/10.3390/molecules30081854
APA StyleRobles-García, M. Á., Del-Toro-Sánchez, C. L., Limón-Vargas, G., Gutiérrez-Lomelí, M., Avila-Novoa, M. G., Villalpando-Vargas, F. V., Vega-Ruiz, B., Bernal-Mercado, A. T., Iturralde-García, R. D., Gómez-Guzman, A. I. P., Ramírez-Briones, E., López-Berrellez, R. G., & González-Vega, R. I. (2025). Development of Fucoxanthin-Enriched Yogurt Using Nanoliposomal Carriers: A Strategy for Functional Dairy Products with Antioxidant and Erythroprotective Benefits. Molecules, 30(8), 1854. https://doi.org/10.3390/molecules30081854

