In Vitro Anti-Inflammatory Terpenoid Glycosides from the Seeds of Dolichos lablab
Abstract
1. Introduction
2. Results and Discussion
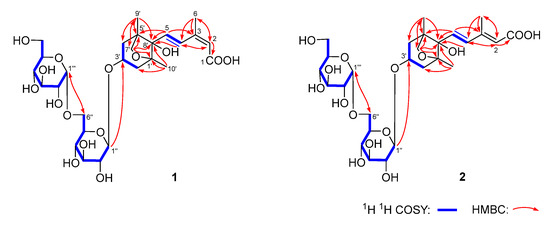
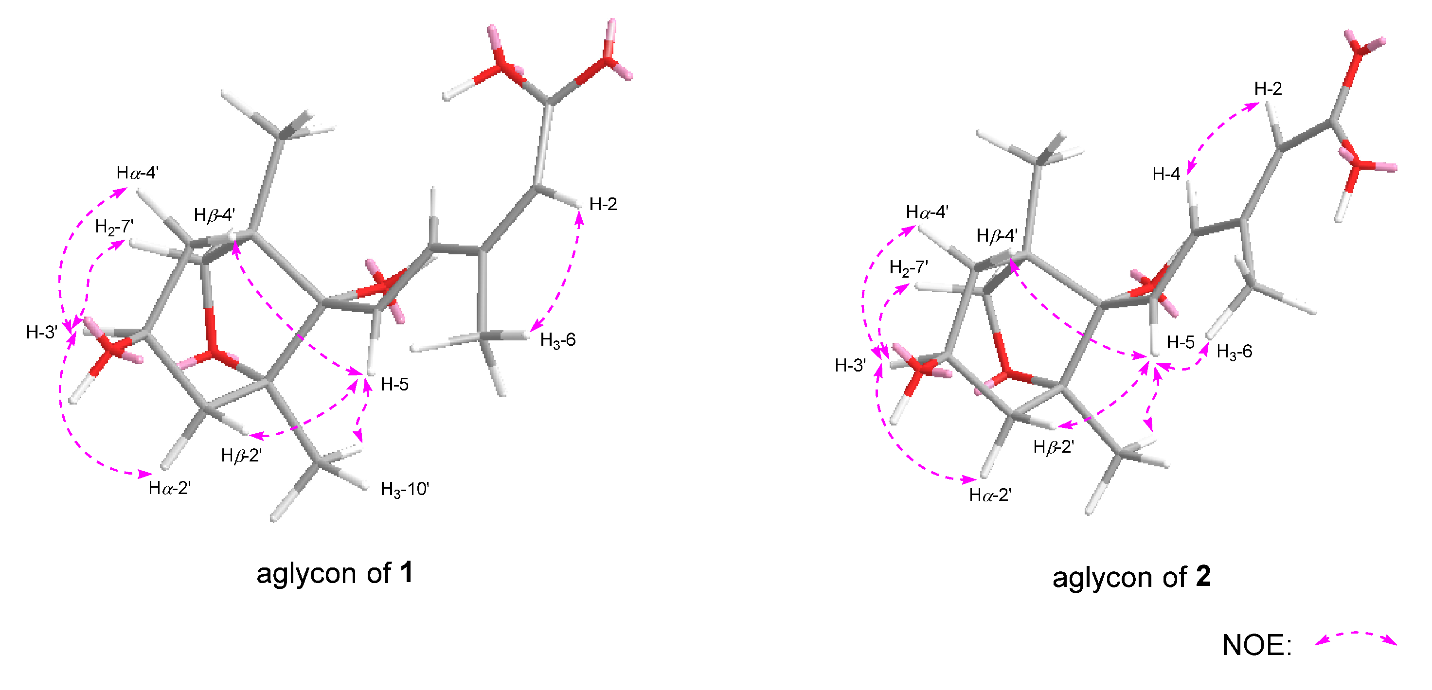
2.1. Phytochemical Investigation Results and Discussion
2.2. Biological Research Results and Discussion
3. Experimental
3.1. Materials and Methods for Phytochemistry Research
3.1.1. General Experimental Procedures
3.1.2. Plant Material
3.1.3. Extraction and Isolation
3.1.4. Spectral Data of 1–14
3.1.5. Acid Hydrolysis of Compounds 1, 3–6, 8 and 10
3.1.6. Enzymatic Hydrolysis Reactions of Compounds 3, 4, 6, and 8–10
3.2. Experimental Procedures for Bioassay
3.2.1. Reagents
3.2.2. Cell Culture
3.2.3. MTT Assay
3.2.4. Analysis of NO Levels in LPS-Induced RAW264.7 Cells
3.2.5. ELISA Analysis
3.2.6. Statistical Analysis
4. Conclusions
Supplementary Materials
Author Contributions
Funding
Institutional Review Board Statement
Informed Consent Statement
Data Availability Statement
Conflicts of Interest
References
- Lu, Q.; Li, R.; Yang, Y.; Zhang, Y.; Zhao, Q.; Li, J. Ingredients with anti-inflammatory effect from medicine food homology plants. Food Chem. 2022, 30, 130610. [Google Scholar] [CrossRef] [PubMed]
- Mehrzadi, S.; Khalili, H.; Fatemi, I.; Malayeri, A.; Siahpoosh, A.; Goudarzi, M. Zingerone mitigates carrageenan-induced inflammation through antioxidant and anti-inflammatory activities. Inflammation 2020, 44, 186–193. [Google Scholar] [CrossRef] [PubMed]
- Al-Snafi, A.E. The pharmacology and medical importance of Dolichos lablab (Lablab purpureus)—A review. IOSR J. Pharm. 2017, 7, 22–30. [Google Scholar] [CrossRef]
- Zhang, W.; Cheng, J.; Ruan, J.; Cao, X.; Wu, Y.; Wang, D.; Zhang, Y.; Wang, T. Aromatic compounds from the seeds of Dolichos lablab L. with anti-inflammatory activity. Fitoterapia 2023, 171, e105694. [Google Scholar] [CrossRef] [PubMed]
- Momin, M.A.M.; Habib, M.R.; Hasan, M.R.; Nayeem, J.; Uddin, N.; Rana, M.S. Anti-inflammatory, antioxidant and cytotoxicity potential of methanolic extract of two bangladeshi bean Lablab purpureus (l) Sweet white and purple. Int. J. Pharm. Sci. Res. 2012, 3, 776–781. [Google Scholar]
- Chun, E.; Yoon, S.; Parveen, A.; Jin, M. Alleviation of irritable bowel syndrome-like symptoms and control of gut and brain responses with oral administration of Dolichos lablab L. in a mouse model. Nutrients 2018, 10, e1475. [Google Scholar] [CrossRef] [PubMed]
- Schneider, G.; Günther, S.; Schreiber, K.; Phirney, B.O. Partial synthesis of some physiologically relevant gibberellin glucosyl conjugates. Tetrahedron 1989, 45, 1355–1364. [Google Scholar] [CrossRef]
- Li, L.; Wang, T.; Li, X.; Shi, P.; Liu, E.; Zhang, Y. Isolation and identification of chemical constituents from Flos Sorphorae Ⅱ. Liaoning Zhongyiyao Daxue Xuebao 2014, 16, 51–53. [Google Scholar]
- Manns, D. Linalool and cineole type glucosides from Cunila spicata. Phytochemistry 1995, 39, 1115–1118. [Google Scholar] [CrossRef] [PubMed]
- Kamel, M.S.; Ohtani, K.; Hasanain, H.A.; Mohamed, M.H.; Kasai, R.; Yamasaki, K. Monoterpene and pregnane glucosides from Solenostemma argel. Phytochemistry 2000, 53, 937–940. [Google Scholar] [CrossRef] [PubMed]
- Li, H.; Cao, H.; Ruan, J.; Wu, Y.; Yang, D.; Gao, Q.; Wang, D.; Chen, Q.; Zhang, Y.; Wang, T. Saponins from Aesculus wilsonii seeds exert anti-inflammatory activity through the suppression of NF-κB and NLRP3 pathway. Arab. J. Chem. 2023, 16, e105077. [Google Scholar] [CrossRef]
- Youn, U.J.; Lee, J.; Nam, J.W.; Lee, Y.J.; Seo, E.K. Identification of a new isomer of dihydrophaseic acid 3′-O-β-D-glucopyranoside from Nelumbo nucifera. Bull. Korean Chem. Soc. 2011, 32, 4083–4085. [Google Scholar] [CrossRef]
- Schievano, E.; D’Ambrosio, M.; Mazzaretto, I.; Ferrarini, R.; Magno, F.; Mammi, S.; Favaro, G. Identification of wine aroma precursors in Moscato giallo grape juice: A nuclear magnetic resonance and liquid chromatography-mass spectrometry tandem study. Talanta 2013, 116, 841–851. [Google Scholar] [CrossRef] [PubMed]
- Li, S.N.; Fang, L.L.; Zhong, J.C.; Shen, J.J.; Xu, H.; Yang, Y.Q.; Hou, S.C.; Bian, Q.H. Catalytic asymmetric synthesis of the Colorado potato beetle pheromone and its enantiomer. Tetrahedron Asymmetry 2014, 25, 591–595. [Google Scholar] [CrossRef]
- Tashiro, T.; Mori, K. Enzyme-assisted synthesis of (S)-1,3-dihydroxy-3,7-dimethyl-6-octen-one, the male-produced aggregation pheromone of the Colorado potato beetle, and its (R)-enantiomer. Tetrahedron Asymmetry 2005, 16, 1801–1806. [Google Scholar] [CrossRef]
- Morikawa, H.; Kasai, R.; Otsuka, H.; Hirata, E.; Shinzato, T.; Aramoto, M.; Takeda, Y. Terpenic and phenolic glycosides from leaves of Breynia officinalis HEMSL. Chem. Pharm. Bull. 2004, 52, 1086–1090. [Google Scholar] [CrossRef] [PubMed]
- Tian, T.; Song, Q. Therapeutic effect analysis of Shenlingbaizhu powder in treating chronic enteritis. Zhongyi Linchuang Yanjiu 2015, 7, 111–112. [Google Scholar]
- Wang, M. Study on Quality Control and the Effect of Spleen and Antidiarrheal of Labab Semen Album with Fried Processing; Shanxi University of Chinese Medicine: Taiyuan, China, 2017. [Google Scholar]
- Greten, F.R.; Grivennikov, S.I. Inflammation and Cancer: Triggers, Mechanisms, and Consequences. Immunity 2019, 51, 27–41. [Google Scholar] [CrossRef] [PubMed]







| No. | 1 | 2 | ||
|---|---|---|---|---|
| δC | δH (J in Hz) | δC | δH (J in Hz) | |
| 1 | 169.7 | ― | 171.4 | ― |
| 2 | 119.4 | 5.76 (s) | 122.0 | 5.87 (s) |
| 3 | 151.4 | ― | 150.8 | ― |
| 4 | 131.9 | 7.98 (d, 16.0) | 137.9 | 6.64 (d, 15.6) |
| 5 | 135.0 | 6.51 (d, 16.0) | 133.5 | 6.51 (d, 15.6) |
| 6 | 21.3 | 2.08 (s) | 14.2 | 2.30 (s) |
| 1′ | 87.6 | ― | 87.6 | ― |
| 2′ | 42.8 | 1.81 (dd, 10.5, 13.0) | 42.7 | 1.82 (dd, 10.2, 13.8) |
| 2.19 (dd, 6.5, 13.5) | 2.20 (dd, 6.6, 12.6) | |||
| 3′ | 74.0 | 4.27 (tdd, 6.5, 10.5, 13.0) | 73.9 | 4.27 (tdd, 6.6, 10.2, 13.8) |
| 4′ | 42.8 | 1.79 (t like, ca. 13) | 42.8 | 1.79 (t like, ca. 14) |
| 1.96 (dd, 6.5, 13.5) | 1.96 (dd, 6.6, 12.6) | |||
| 5′ | 49.9 | ― | 49.9 | ― |
| 7′ | 77.2 | 3.79 (s) | 77.3 | 3.80 (s) |
| 8′ | 83.2 | ― | 83.3 | ― |
| 9′ | 16.4 | 0.98 (s) | 16.4 | 0.92 (s) |
| 10′ | 19.7 | 1.17 (s) | 19.7 | 1.14 (s) |
| 1″ | 103.0 | 4.39 (d, 8.0) | 103.1 | 4.39 (d, 7.8) |
| 2″ | 75.1 | 3.16 (dd, 8.0, 8.5) | 75.1 | 3.16 (dd, 7.8, 9.6) |
| 3″ | 78.1 | 3.37 (dd, 8.5, 9.5) | 78.2 | 3.36 (dd, 9.6, 9.6) |
| 4″ | 71.6 | 3.36 (dd, 9.0, 9.5) | 71.6 | 3.35 (m, overlapped) |
| 5″ | 76.4 | 3.51 (m) | 76.4 | 3.51 (m) |
| 6″ | 67.8 | 3.74 (br. d, ca. 13) | 67.8 | 3.74 (dd, 1.8, 10.8) |
| 3.93 (dd, 5.0, 12.5) | 3.93 (dd, 5.4, 10.8) | |||
| 1‴ | 100.0 | 4.85 (d, 3.5) | 100.1 | 4.85 (d, 3.6) |
| 2‴ | 73.8 | 3.38 (dd, 3.5, 9.5) | 73.9 | 3.38 (dd, 3.6, 9.6) |
| 3‴ | 75.4 | 3.65 (dd, 9.5, 9.5) | 75.4 | 3.65 (dd, 9.6, 9.6) |
| 4‴ | 71.6 | 3.35 (dd, 9.5, 9.5) | 71.6 | 3.34 (m, overlapped) |
| 5‴ | 73.6 | 3.67 (m) | 73.7 | 3.67 (m) |
| 6‴ | 62.3 | 3.70 (dd, 5.0, 12.0) | 62.6 | 3.69 (dd, 4.8, 12.2) |
| 3.80 (br. d, ca. 12) | 3.80 (br. d, ca. 12) | |||
| No. | 3 | 4 | 5 |
|---|---|---|---|
| 1 | 3.52 (dd, 9.5, 9.5) | 3.48 (dd, 7.8, 11.4) | 3.51 (dd, 7.8, 10.8) |
| 4.19 (br. d, ca. 10) | 3.81 (dd, 3.0, 11.4) | 3.73 (dd, 3.0, 10.8) | |
| 2 | 3.65 (br. d, ca. 10) | 3.68 (dd, 3.0, 7.8) | 3.69 (dd, 3.0, 7.8) |
| 4 | 1.43 (ddd, 5.5, 12.5, 12.5) | 1.48 (ddd, 4.8, 12.6, 16.8) | 1.38 (ddd, 4.8, 12.0, 16.8) |
| 1.59 (ddd, 5.5, 12.5, 12.5) | 1.70 (ddd, 4.8, 12.6, 16.8) | 1.73 (ddd, 4.8, 12.0, 16.8) | |
| 5 | 2.08 (m) | 2.08 (m) | 2.06 (m) |
| 2.18 (m) | 2.15 (m) | ||
| 6 | 5.12 (m) | 5.11 (m) | 5.01 (m) |
| 8 | 1.67 (s) | 1.67 (s) | 1.67 (s) |
| 9 | 1.62 (s) | 1.62 (s) | 1.62 (s) |
| 10 | 1.14 (s) | 1.24 (s) | 1.27 (s) |
| 1′ | 4.33 (d, 8.0) | 4.51 (d, 7.8) | 4.56 (d, 7.8) |
| 2′ | 3.25 (dd, 8.0, 8.5) | 3.18 (dd, 7.8, 9.6) | 3.20 (dd, 7.8, 8.4) |
| 3′ | 3.40 (dd, 8.5, 8.5) | 3.37 (dd, 9.0, 9.6) | 3.38 (dd,8.4, 9.6) |
| 4′ | 3.31 (m, overlapped) | 3.25 (m, overlapped) | 3.35 (dd, 9.0, 9.6) |
| 5′ | 3.31 (m, overlapped) | 3.25 (m, overlapped) | 3.49 (m) |
| 6′ | 3.69 (dd, 4.5, 11.5) | 3.62 (dd, 5.4, 12.0) | 3.65 (br. d, ca. 10) |
| 3.87 (br. d, ca. 12) | 3.83 (dd, 1.8, 12.0) | 3.92 (dd, 4.8, 10.2) | |
| 1″ | 4.83 (d, 3.6) | ||
| 2″ | 3.35 (dd, 3.6, 9.6) | ||
| 3″ | 3.67 (m, overlapped) | ||
| 4″ | 3.32 (dd, 9.6, 9.6) | ||
| 5″ | 3.66 (m) | ||
| 6″ | 3.68 (m, overlapped) | ||
| 3.78 (dd, 3.6, 12.0) |
| No. | 3 a | 3a b | 4 a | 5 a | 6 a | 6a b | 7 a | 8 a | 9 a | 10 a |
|---|---|---|---|---|---|---|---|---|---|---|
| 1 | 72.4 | 63.2 | 64.2 | 63.9 | 63.6 | 63.4 | 72.6 | 116.1 | 112.1 | 115.8 |
| 2 | 77.0 | 76.3 | 78.1 | 77.9 | 91.8 | 75.5 | 77.1 | 144.3 | 146.2 | 144.4 |
| 3 | 74.2 | 74.7 | 81.9 | 82.2 | 74.8 | 74.6 | 74.3 | 81.7 | 73.8 | 81.3 |
| 4 | 39.9 | 37.8 | 36.9 | 36.6 | 39.6 | 39.1 | 39.8 | 42.4 | 42.9 | 42.2 |
| 5 | 22.7 | 22.2 | 22.7 | 22.8 | 22.8 | 22.3 | 22.4 | 23.5 | 23.5 | 23.4 |
| 6 | 125.7 | 124.0 | 126.0 | 126.0 | 125.7 | 124.1 | 127.1 | 126.9 | 130.4 | 130.2 |
| 7 | 132.0 | 132.4 | 132.1 | 132.2 | 132.3 | 132.2 | 135.9 | 135.9 | 132.7 | 132.8 |
| 8 | 25.9 | 25.7 | 25.9 | 25.9 | 25.9 | 25.7 | 69.0 | 69.0 | 76.2 | 75.9 |
| 9 | 17.7 | 17.7 | 17.8 | 17.9 | 17.8 | 17.7 | 13.7 | 13.8 | 14.1 | 14.2 |
| 10 | 22.3 | 23.5 | 19.8 | 20.5 | 22.6 | 22.2 | 22.3 | 23.3 | 27.6 | 23.4 |
| 1′ | 104.8 | 98.1 | 98.2 | 104.5 | 105.0 | 99.8 | 102.9 | 99.5 | ||
| 2′ | 75.1 | 75.4 | 75.5 | 84.6 | 75.3 | 75.3 | 75.1 | 75.2 | ||
| 3′ | 77.7 | 78.4 | 78.4 | 78.0 | 78.0 | 78.4 | 78.2 | 78.3 | ||
| 4′ | 71.4 | 71.9 | 71.6 | 71.2 | 71.6 | 71.7 | 71.6 | 71.7 | ||
| 5′ | 77.7 | 77.9 | 76.2 | 77.9 | 78.0 | 76.0 | 76.2 | 77.6 | ||
| 6′ | 62.6 | 63.0 | 67.7 | 62.5 | 62.7 | 67.4 | 67.1 | 62.9 | ||
| 1″ | 100.0 | 106.4 | 100.0 | 99.8 | 102.6 | |||||
| 2″ | 73.8 | 75.8 | 73.9 | 73.8 | 75.0 | |||||
| 3″ | 75.2 | 77.3 | 75.4 | 75.3 | 78.2 | |||||
| 4″ | 71.7 | 72.9 | 71.5 | 71.4 | 71.7 | |||||
| 5″ | 73.6 | 77.3 | 73.5 | 73.5 | 77.9 | |||||
| 6″ | 62.6 | nd | 62.6 | 62.5 | 62.8 |
| No. | 6 | 7 | No. | 6 |
|---|---|---|---|---|
| 1 | 3.55 (m, overlapped) | 3.50 (dd, 9.6, 9.6) | 1″ | 4.70 (d, 8.0) |
| 3.63 (m, overlapped) | 4.20 (dd, 1.8, 9.6) | 2″ | 3.31 (dd, 8.0, 9.0) | |
| 2 | 3.51 (t like, ca. 8) | 3.66 (dd, 1.8, 9.6) | 3″ | 3.41 (dd, 9.0, 9.0) |
| 4 | 1.48 (m) | 1.48 (ddd, 5.4, 12.0, 17.4) | 4″ | 3.56 (dd, 8.5, 9.5) |
| 1.63 (ddd, 5.4, 12.0, 17.4) | 5″ | 3.81 (d, 8.5) | ||
| 5 | 2.10 (m) | 2.15 (m) | ||
| 6 | 5.10 (m) | 5.41 (m) | ||
| 8 | 1.67 (s) | 3.91 (s) | ||
| 9 | 1.62 (s) | 1.67 (s) | ||
| 10 | 1.10 (s) | 1.14 (s) | ||
| 1′ | 4.48 (d, 7.5) | 4.30 (d, 7.8) | ||
| 2′ | 3.53 (dd, 7.5, 9.0) | 3.22 (dd, 7.8, 9.0) | ||
| 3′ | 3.59 (dd, 8.5, 9.0) | 3.37 (dd, 8.4, 9.0) | ||
| 4′ | 3.35 (m, overlapped) | 3.28 (dd, 8.4, 8.4) | ||
| 5′ | 3.35 (m, overlapped) | 3.27 (m) | ||
| 6′ | 3.64 (dd, 5.0, 12.0) | 3.67 (dd, 4.8, 11.4) | ||
| 3.87 (br. d, ca. 12) | 3.86 (br.d, ca. 11) |
| No. | 8 | 9 | 10 |
|---|---|---|---|
| 1 | 5.23 (dd, 1.2, 10.8) | 5.03 (dd, 1.2, 10.8) | 5.21 (br. d, ca. 12) |
| 5.26 (dd, 1.2, 18.0) | 5.20 (dd, 1.2, 17.4) | 5.25 (br. d, ca. 18) | |
| 2 | 5.94 (dd, 10.8, 18.0) | 5.90 (dd, 10.8, 17.4) | 5.94 (dd, 11.5, 17.5) |
| 4 | 1.64 (m) | 1.54 (m) | 1.64 (m) |
| 5 | 2.10 (m) | 2.10 (m) | 2.12 (m) |
| 6 | 5.38 (m) | 5.49 (m) | 5.48 (m) |
| 8 | 3.90 (s) | 4.02 (d, 11.4) | 4.04 (d, 11.5) |
| 4.19 (d, 11.4) | 4.20 (d, 11.5) | ||
| 9 | 1.63 (s) | 1.68 (s) | 1.68 (s) |
| 10 | 1.40 (s) | 1.25 (s) | 1.39 (s) |
| 1′ | 4.39 (d, 8.4) | 4.27 (d, 7.8) | 4.37 (d, 7.5) |
| 2′ | 3.18 (dd, 8.4, 9.0) | 3.21 (d, 7.8, 9.0) | 3.20 (m, o) |
| 3′ | 3.34 (dd, 9.0, 9.0) | 3.35 (dd, 9.0, 9.0) | 3.37 (dd, 9.0, 9.0) |
| 4′ | 3.32 (dd, 9.0, 9.0) | 3.33 (dd, 9.0, 9.0) | 3.31 (m, overlapped) |
| 5′ | 3.40 (m) | 3.42 (m) | 3.21 (m, overlapped) |
| 6′ | 3.60 (dd, 1.8, 10.8) | 3.69 (br. d, ca. 11) | 3.66 (m, overlapped) |
| 3.95 (dd, 4.2, 10.8) | 3.97 (dd, 3.6, 10.8) | 3.82 (br. d, ca. 12) | |
| 1″ | 4.81 (d, 3.6) | 4.83 (d, 3.6) | 4.26 (d, 7.5) |
| 2″ | 3.36 (dd, 3.6, 9.6) | 3.37 (dd, 3.6, 9.6) | 3.21 (m, overlapped) |
| 3″ | 3.65 (dd, 9.0, 9.6) | 3.66 (dd, 9.0, 9.6) | 3.31 (m, overlapped) |
| 4″ | 3.41 (dd, 9.0, 9.0) | 3.41 (dd, 9.0, 9.0) | 3.31 (m, overlapped) |
| 5″ | 3.65 (m, overlapped) | 3.67 (m, o) | 3.24 (m, overlapped) |
| 6″ | 3.68 (dd, 5.4, 13.8) | 3.68 (m, o) | 3.66 (m, overlapped) |
| 3.79 (dd, 4.8, 13.8) | 3.79 (dd, 4.8, 10.8) | 3.88 (br. d, ca. 12) |
| No. | NRC (%) | No. | NRC (%) | No. | NRC (%) |
|---|---|---|---|---|---|
| N | 3.6 ± 0.6 | 4 | 87.5 ± 5.2 *** | 10 | 89.3 ± 3.6 *** |
| LPS | 100 ± 1.7 ### | 5 | 88.3 ± 3.4 *** | 11 | 84.8 ± 2.4 *** |
| DEX | 76.9 ± 3.8 *** | 6 | 88.8 ± 0.3 *** | 12 | 84.8 ± 2.32 *** |
| 1 | 88.1 ± 4.0 *** | 7 | 90.8 ± 0.9 *** | 13 | 103.6 ± 7.2 |
| 2 | 93.7 ± 2.6 | 8 | 95.5 ± 3.9 | 14 | 94.5 ± 1.7 |
| 3 | 104.7 ± 6.1 | 9 | 94.6 ± 3.4 |
Disclaimer/Publisher’s Note: The statements, opinions and data contained in all publications are solely those of the individual author(s) and contributor(s) and not of MDPI and/or the editor(s). MDPI and/or the editor(s) disclaim responsibility for any injury to people or property resulting from any ideas, methods, instructions or products referred to in the content. |
© 2025 by the authors. Licensee MDPI, Basel, Switzerland. This article is an open access article distributed under the terms and conditions of the Creative Commons Attribution (CC BY) license (https://creativecommons.org/licenses/by/4.0/).
Share and Cite
Zhang, W.; Ruan, J.; Cheng, J.; Wang, Y.; Zheng, Y.; Lin, M.; Zhang, Y.; Wang, T. In Vitro Anti-Inflammatory Terpenoid Glycosides from the Seeds of Dolichos lablab. Molecules 2025, 30, 1779. https://doi.org/10.3390/molecules30081779
Zhang W, Ruan J, Cheng J, Wang Y, Zheng Y, Lin M, Zhang Y, Wang T. In Vitro Anti-Inflammatory Terpenoid Glycosides from the Seeds of Dolichos lablab. Molecules. 2025; 30(8):1779. https://doi.org/10.3390/molecules30081779
Chicago/Turabian StyleZhang, Wei, Jingya Ruan, Jiaming Cheng, Yingying Wang, Yinuo Zheng, Minghao Lin, Yi Zhang, and Tao Wang. 2025. "In Vitro Anti-Inflammatory Terpenoid Glycosides from the Seeds of Dolichos lablab" Molecules 30, no. 8: 1779. https://doi.org/10.3390/molecules30081779
APA StyleZhang, W., Ruan, J., Cheng, J., Wang, Y., Zheng, Y., Lin, M., Zhang, Y., & Wang, T. (2025). In Vitro Anti-Inflammatory Terpenoid Glycosides from the Seeds of Dolichos lablab. Molecules, 30(8), 1779. https://doi.org/10.3390/molecules30081779

