Engineering CuZnOAl2O3 Catalyst for Enhancing CO2 Hydrogenation to Methanol
Abstract
1. Introduction
2. Results and Discussion
2.1. Crystal Structural and Morphological Particle Size of the Catalyst
2.2. Electronic State of Elements on the Catalyst Surface
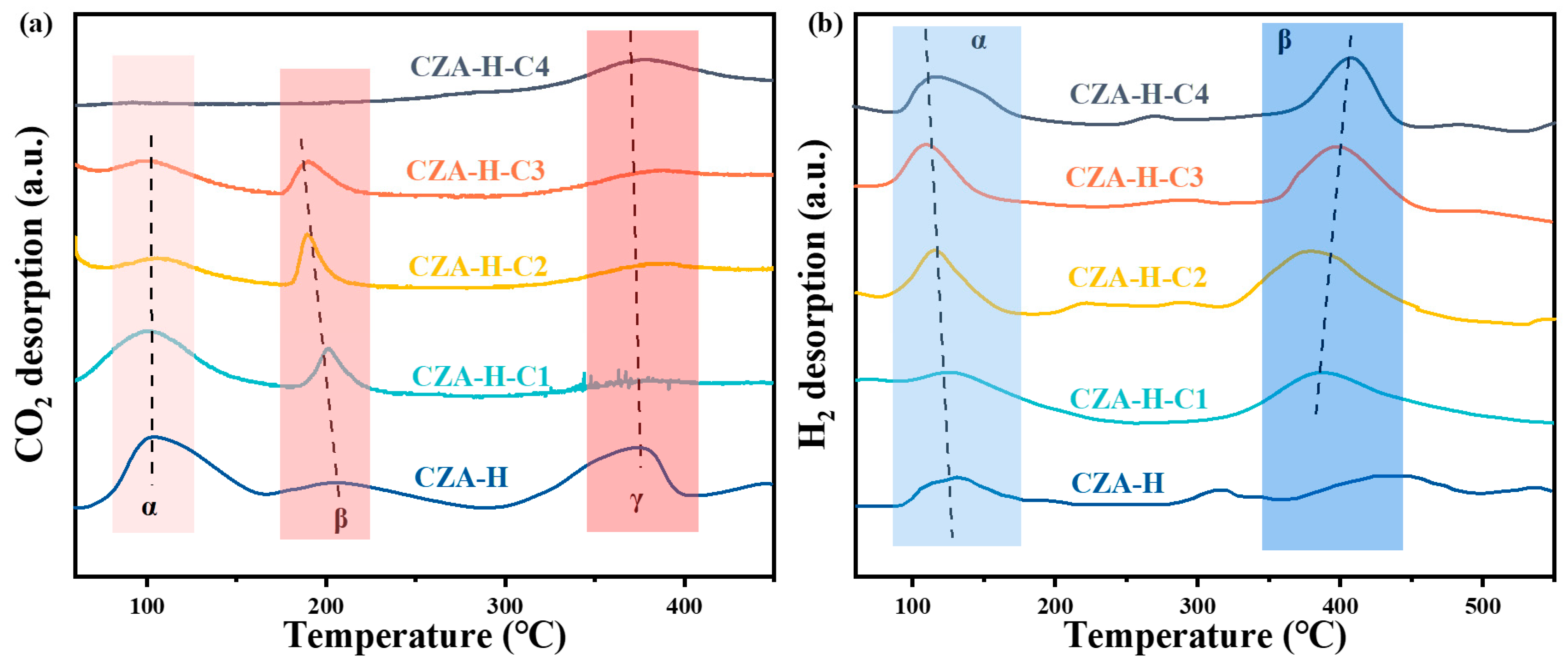
2.3. Analysis of the Adsorption Ability of the Cu-Based Catalyst
2.4. In Situ DRIFTS Analysis of Catalyst Surface Dynamics
2.5. Catalyst Performance
2.6. Effect of Carbonate
3. Experimental Section
3.1. Catalyst Preparation
3.2. Catalyst Pretreatment
3.3. Catalyst Characterization
3.4. Catalytic Testing
4. Conclusions
Supplementary Materials
Author Contributions
Funding
Data Availability Statement
Conflicts of Interest
References
- Mohammed, M.G.; Hashim, N.A.; Daud, W.M.A.W.; Hartley, U.W.; Aroua, M.K.; Wohlrab, S. Overview of the latest progress and prospects in the catalytic hydrogenation of carbon dioxide (CO2) to methanol in membrane reactors. Int. J. Hydrogen Energy 2024, 77, 936–957. [Google Scholar] [CrossRef]
- Kouzehli, A.; Kazemeini, M.; Moghaddam, A.A. A robust kinetic modeling of CO2 hydrogenation to methanol over an industrial copper–zinc oxide catalyst based on a single-active site mechanism. Int. J. Hydrogen Energy 2024, 60, 756–768. [Google Scholar] [CrossRef]
- Witoon, T.; Numpilai, T.; Dolsiririttigul, N.; Chanlek, N.; Poo-arporn, Y.; Cheng, C.K.; Ayodele, B.V.; Chareonpanich, M.; Limtrakul, J. Enhanced activity and stability of SO42−/ZrO2 by addition of Cu combined with CuZnOZrO2 for direct synthesis of dimethyl ether from CO2 hydrogenation. Int. J. Hydrogen Energy 2022, 47, 41374–41385. [Google Scholar] [CrossRef]
- Minyukova, T.P.; Dokuchits, E.V. Hydrogen for CO2 processing in heterogeneous catalytic reactions. Int. J. Hydrogen Energy 2023, 48, 22462–22483. [Google Scholar] [CrossRef]
- Ren, B.P.; Xu, Y.P.; Huang, Y.W.; She, C.; Sun, B. Methanol production from natural gas reforming and CO2 capturing process, simulation, design, and technical-economic analysis. Energy 2023, 263, 125879. [Google Scholar] [CrossRef]
- Chen, G.; Yu, J.; Li, G.; Zheng, X.; Mao, H.; Mao, D. Cu+-ZrO2 interfacial sites with highly dispersed copper nanoparticles derived from Cu@ UiO-67 hybrid for efficient CO2 hydrogenation to methanol. Int. J. Hydrogen Energy 2023, 48, 2605–2616. [Google Scholar] [CrossRef]
- Francis, A.; Ramyashree, M.S.; Priya, S.S.; Kumar, S.H.; Sudhakar, K.; Fan, W.K.; Tahir, M. Carbon dioxide hydrogenation to methanol: Process simulation and optimization studies. Int. J. Hydrogen Energy 2022, 47, 36418–36432. [Google Scholar] [CrossRef]
- Zhong, J.; Yang, X.; Wu, Z.; Liang, B.; Huang, Y.; Zhang, T. State of the art and perspectives in heterogeneous catalysis of CO2 hydrogenation to methanol. Chem. Soc. Rev. 2020, 49, 1385–1413. [Google Scholar] [CrossRef]
- Liang, B.; Ma, J.; Su, X.; Yang, C.; Duan, H.; Zhou, H.; Deng, S.; Li, L.; Huang, Y. Investigation on deactivation of Cu/ZnO/Al2O3 catalyst for CO2 hydrogenation to methanol. Ind. Eng. Chem. Res. 2019, 58, 9030–9037. [Google Scholar] [CrossRef]
- Higham, M.D.; Quesne, M.G.; Catlow, C.R.A. Mechanism of CO2 conversion to methanol over Cu (110) and Cu (100) surfaces. Dalton Trans. 2020, 49, 8478–8497. [Google Scholar] [CrossRef]
- Studt, F.; Behrens, M.; Kunkes, E.L.; Thomas, N.; Zander, S.; Tarasov, A.; Schumann, J.; Frei, E.; Varley, J.B.; Abild-Pedersen, F.; et al. The mechanism of CO and CO2 hydrogenation to methanol over Cu-based catalysts. ChemCatChem 2015, 7, 1105–1111. [Google Scholar] [CrossRef]
- Kim, Y.; Trung TS, B.; Yang, S.; Kim, S.; Lee, H. Mechanism of the surface hydrogen induced conversion of CO2 to methanol at Cu (111) step sites. ACS Catal. 2016, 6, 1037–1044. [Google Scholar] [CrossRef]
- Jung, K.D.; Bell, A.T. Role of hydrogen spillover in methanol synthesis over Cu/ZrO2. J. Catal. 2000, 193, 207–223. [Google Scholar] [CrossRef]
- Zhou, H.; Chen, Z.; López, A.V.; López, E.D.; Lam, E.; Tsoukalou, A.; Willinger, E.; Kuznetsov, D.A.; Mance, D.; Kierzkowska, A.; et al. Engineering the Cu/Mo2CTx (MXene) interface to drive CO2 hydrogenation to methanol. Nat. Catal. 2021, 4, 860–871. [Google Scholar] [CrossRef]
- Shao, Y.; Kosari, M.; Xi, S.; Zeng, H.C. Single solid precursor-derived three-dimensional nanowire networks of CuZn-silicate for CO2 hydrogenation to methanol. ACS Catal. 2022, 12, 5750–5765. [Google Scholar] [CrossRef]
- Zhang, J.; Sun, X.; Wu, C.; Hang, W.; Hu, X.; Qiao, D.; Yan, B. Engineering Cu+/CeZrOx interfaces to promote CO2 hydrogenation to methanol. J. Energy Chem. 2023, 77, 45–53. [Google Scholar] [CrossRef]
- Matter, P.H.; Ozkan, U.S. Effect of pretreatment conditions on Cu/Zn/Zr-based catalysts for the steam reforming of methanol to H2. J. Catal. 2005, 234, 463–475. [Google Scholar] [CrossRef]
- Shi, P.; Han, J.; Yan, Z.; Luo, P.; Wang, J.; Ban, H.; Zhang, X.; Li, C. Insight into the correlation between Cu species and methanol selectivity from CO2 hydrogenation over Cu-based catalyst. Mol. Catal. 2024, 563, 114278. [Google Scholar] [CrossRef]
- Li, D.; Xu, F.; Tang, X.; Dai, S.; Pu, T.; Liu, X.; Tian, P.; Xuan, F.; Xu, Z.; Wachs, I.E.; et al. Induced activation of the commercial Cu/ZnO/Al2O3 catalyst for the steam reforming of methanol. Nat. Catal. 2022, 5, 99–108. [Google Scholar] [CrossRef]
- Goodman, E.D.; Schwalbe, J.A.; Cargnello, M. Mechanistic understanding and the rational design of sinter-resistant heterogeneous catalysts. ACS Catal. 2017, 7, 7156–7173. [Google Scholar] [CrossRef]
- Kordus, D.; Jelic, J.; Lopez Luna, M.; Divins, N.J.; Timoshenko, J.; Chee, S.W.; Rettenmaier, C.; Kröhnert, J.; Kühl, S.; Trunschke, A.; et al. Shape-dependent CO2 hydrogenation to methanol over Cu2O nanocubes supported on ZnO. J. Am. Chem. Soc. 2023, 145, 3016–3030. [Google Scholar] [CrossRef]
- Zhao, D.; Zhang, G.; Yan, L.; Kong, L.; Zheng, H.; Mi, J.; Li, Z. Carbon nanotube-supported Cu-based catalysts for oxidative carbonylation of methanol to methyl carbonate: Effect of nanotube pore size. Catal. Sci. Technol. 2020, 10, 2615–2626. [Google Scholar] [CrossRef]
- Cheng, G.; Hight Walker, A.R. Transmission electron microscopy characterization of colloidal copper nanoparticles and their chemical reactivity. Anal. Bioanal. Chem. 2010, 396, 1057–1069. [Google Scholar] [CrossRef]
- L’vov, B.V. Mechanism and kinetics of thermal decomposition of carbonates. Thermochim. Acta 2002, 386, 1–16. [Google Scholar] [CrossRef]
- Zhang, J.; Kong, L.; Chen, Y.; Huang, H.; Zhang, H.; Yao, Y.; Xu, Y.; Xu, Y.; Wang, S.; Ma, X.; et al. Enhanced synergy between Cu0 and Cu+ on nickel doped copper catalyst for gaseous acetic acid hydrogenation. Front. Chem. Sci. Eng. 2021, 15, 666–678. [Google Scholar] [CrossRef]
- Yilmaz, M.; Handoko, A.D.; Parkin, I.P.; Sankar, G. Probing the electronic and geometric structures of photoactive electrodeposited Cu2O films by X-ray absorption spectroscopy. J. Catal. 2020, 389, 483–491. [Google Scholar] [CrossRef]
- Zhao, Y.; Li, S.; Wang, Y.; Shan, B.; Zhang, J.; Wang, S.; Ma, X. Efficient tuning of surface copper species of Cu/SiO2 catalyst for hydrogenation of dimethyl oxalate to ethylene glycol. Chem. Eng. J. 2017, 313, 759–768. [Google Scholar] [CrossRef]
- Konsolakis, M. The role of Copper–Ceria interactions in catalysis science: Recent theoretical and experimental advances. Appl. Catal. B 2016, 198, 49–66. [Google Scholar] [CrossRef]
- Orozco, I.; Huang, E.; Mahapatra, M.; Shi, R.; Kang, J.; Nemsak, S.; Senanayake, S.D.; Liu, P.; Rodriguez, J.A. In situ studies of methanol decomposition over Cu (111) and Cu2O/Cu (111): Effects of reactant pressure, surface morphology, and hot spots of active sites. J. Phys. Chem. C 2020, 125, 558–571. [Google Scholar] [CrossRef]
- Yang, C.; Bebensee, F.; Chen, J.; Yu, X.; Nefedov, A.; Wöll, C. Carbon dioxide adsorption on CeO2 (110): An XPS and NEXAFS study. ChemPhysChem 2017, 18, 1874–1880. [Google Scholar] [CrossRef]
- Ren, Y.; Xin, C.; Hao, Z.; Sun, H.; Bernasek, S.L.; Chen, W.; Xu, G.Q. Probing the reaction mechanism in CO2 hydrogenation on bimetallic Ni/Cu (100) with near-ambient pressure X-ray photoelectron spectroscopy. ACS Appl. Mater. Interfaces 2019, 12, 2548–2554. [Google Scholar] [CrossRef]
- Dong, X.; Li, F.; Zhao, N.; Xiao, F.; Wang, J.; Tan, Y. CO2 hydrogenation to methanol over Cu/ZnO/ZrO2 catalysts prepared by precipitation-reduction method. Appl. Catal. B 2016, 191, 8–17. [Google Scholar] [CrossRef]
- Hu, J.; Li, Y.; Zhen, Y.; Chen, M.; Wan, H. In situ FTIR and ex situ XPS/HS-LEIS study of supported Cu/Al2O3 and Cu/ZnO catalysts for CO2 hydrogenation. Chin. J. Catal. 2021, 42, 367–375. [Google Scholar] [CrossRef]
- Xaba, B.S.; Mahomed, A.S.; Friedrich, H.B. The effect of CO2 and H2 adsorption strength and capacity on the performance of Ga and Zr modified Cu-Zn catalysts for CO2 hydrogenation to methanol. J. Environ. Chem. Eng. 2021, 9, 104834. [Google Scholar] [CrossRef]
- Petrovic, B.; Gorbounov, M.; Soltani, S.M. Influence of surface modification on selective CO2 adsorption: A technical review on mechanisms and methods. Microporous Mesoporous Mater. 2021, 312, 110751. [Google Scholar] [CrossRef]
- Chen, C.; Li, B.; Zhou, L.; Xia, Z.; Feng, N.; Ding, J.; Wang, L.; Wan, H.; Guan, G. Synthesis of hierarchically structured hybrid materials by controlled self-assembly of metal–organic framework with mesoporous silica for CO2 adsorption. ACS Appl. Mater. Interfaces 2017, 9, 23060–23071. [Google Scholar] [CrossRef]
- Min LI, N.; Wei, N.A.; Ye, H.; Huo, H.H.; Gao, W.G. Effect of additive on CuO-ZnO/SBA-15 catalytic performance of CO2 hydrogenation to methanol. J. Fuel Chem. Technol. 2019, 47, 1214–1225. [Google Scholar] [CrossRef]
- Roberts, D.L.; Griffin, G.L. Temperature-programmed desorption and infrared study of CO and H2 adsorption on CuZnO catalysts. J. Catal. 1988, 110, 117–126. [Google Scholar] [CrossRef]
- Kattel, S.; Ramírez, P.J.; Chen, J.G.; Rodriguez, J.A.; Liu, P. Active sites for CO2 hydrogenation to methanol on Cu/ZnO catalysts. Science 2017, 355, 1296–1299. [Google Scholar] [CrossRef]
- Musab Ahmed, S.; Ren, J.; Ullah, I.; Lou, H.; Xu, N.; Abbasi, Z.; Wang, Z. Ni-Based Catalysts for CO2 Methanation: Exploring the Support Role in Structure-Activity Relationships. ChemSusChem 2024, 17, e202400310. [Google Scholar] [CrossRef]
- Fulham, G.J.; Wu, X.; Liu, W.; Marek, E.J. Mechanistic insights into the role of zinc oxide, zirconia and ceria supports in Cu-based catalysts for CO2 hydrogenation to methanol. Chem. Eng. J. 2024, 480, 147732. [Google Scholar] [CrossRef]
- Pacchioni, G. From CO2 to Methanol on Cu/ZnO/Al2O3 Industrial Catalyst. What Do We Know about the Active Phase and the Reaction Mechanism? ACS Catal. 2024, 14, 2730–2745. [Google Scholar] [CrossRef]
- Wang, X.; Yao, Z.; Guo, X.; Yan, Z.; Ban, H.; Wang, P.; Yao, R.; Li, L.; Li, C. Modulating electronic interaction over Zr–ZnO catalysts to enhance CO2 hydrogenation to methanol. ACS Catal. 2023, 14, 508–521. [Google Scholar] [CrossRef]
- Zou, R.; Liu, M.; Shen, C.; Sun, K.; Liu, C.J. In situ DRIFTS and DFT study of CO2 hydrogenation over the In2O3 catalyst. Chem. Commun. 2024, 60, 1872–1875. [Google Scholar] [CrossRef]
- Liang, H.; Zhang, G.; Li, Z.; Zhang, Y.; Fu, P. Catalytic hydrogenation of CO2 to methanol over Cu-based catalysts: Active sites profiling and regulation strategy as well as reaction pathway exploration. Fuel Process. Technol. 2023, 252, 107995. [Google Scholar] [CrossRef]
- Huš, M.; Kopač, D.; Štefančič, N.S.; Jurković, D.L.; Dasireddy, V.D.; Likozar, B. Unravelling the mechanisms of CO2 hydrogenation to methanol on Cu-based catalysts using first-principles multiscale modelling and experiments. Catal. Sci. Technol. 2017, 7, 5900–5913. [Google Scholar] [CrossRef]
- Kumar, P.; Srivastava, V.C.; Mishra, I.M. Dimethyl carbonate synthesis by transesterification of propylene carbonate with methanol: Comparative assessment of Ce-M (M = Co, Fe, Cu and Zn) catalysts. Renew. Energy 2016, 88, 457–464. [Google Scholar] [CrossRef]
- Jiang, X.; Yang, W.; Song, H.; Ke, J.; Li, P.; Li, R.; Ma, Q.; Sun, J.; Zhao, T.S.; Tsubaki, N. Effect of glucose pretreatment on Cu–ZnO–Al2O3 catalyzed CO2 hydrogenation to methanol. RSC Adv. 2023, 13, 22493–22502. [Google Scholar] [CrossRef]
- Huang, C.; Wen, J.; Sun, Y.; Zhang, M.; Bao, Y.; Zhang, Y.; Liang, L.; Fu, M.; Wu, J.; Ye, D.; et al. CO2 hydrogenation to methanol over Cu/ZnO plate model catalyst: Effects of reducing gas induced Cu nanoparticle morphology. Chem. Eng. J. 2019, 374, 221–230. [Google Scholar] [CrossRef]
- Zhang, H.; Chen, J.; Han, X.; Pan, Y.; Hao, Z.; Tang, S.; Zi, X.; Zhang, Z.; Gao, P.; Li, M.; et al. High-Performance Cu/ZnO/Al2O3 Catalysts for CO2 Hydrogenation to Methanol. Ind. Eng. Chem. Res. 2024, 63, 6210–6221. [Google Scholar] [CrossRef]
- Wei, X.; Su, W.; Shi, Y.; Wang, J.; Lv, P.; Song, X.; Bai, Y.; Xu, G.; Yu, G. Cu0 at the Cu/ZnO interface efficiently accelerate CO2 hydrogenation to methanol over Cu/ZnO/C–P catalysts. Int. J. Hydrogen Energy 2024, 58, 128–136. [Google Scholar] [CrossRef]
- Ye, R.; Ma, L.; Mao, J.; Wang, X.; Hong, X.; Gallo, A.; Ma, Y.; Luo, W.; Wang, B.; Zhnag, R.; et al. A Ce-CuZn catalyst with abundant Cu/Zn-OV-Ce active sites for CO2 hydrogenation to methanol. Nat. Commun. 2024, 15, 2159. [Google Scholar] [CrossRef]
- Gaikwad, R.; Bansode, A.; Urakawa, A. High-pressure advantages in stoichiometric hydrogenation of carbon dioxide to methanol. J. Catal. 2016, 343, 127–132. [Google Scholar] [CrossRef]
- Liu, Y.; Wang, X.; Wang, Z.; Chen, C.; Song, J.; Zhang, L.; Bao, W.; Sun, B.; Wang, L.; Liu, D. Hydrogenation of CO2 to CH3OH on the Cu–ZnO–SrTiO3 Catalysts: The Electronic Metal–Support Interaction Induces Oxygen Vacancy Generation. ACS Catal. 2024, 14, 12610–12622. [Google Scholar] [CrossRef]
- Guo, X.; Mao, D.; Lu, G.; Wang, S.; Wu, G. CO2 hydrogenation to methanol over Cu/ZnO/ZrO2 catalysts prepared via a route of solid-state reaction. Catal. Commun. 2011, 12, 1095–1098. [Google Scholar] [CrossRef]
- Li, H.; Wang, L.; Gao, X.; Xiao, F.S. Cu/ZnO/Al2O3 catalyst modulated by zirconia with enhanced performance in CO2 hydrogenation to methanol. Ind. Eng. Chem. Res. 2022, 61, 10446–10454. [Google Scholar] [CrossRef]
- Zhang, Y.C.; Zhang, X.L.; Wu, Z.Z.; Niu, Z.Z.; Chi, L.P.; Gao, F.Y.; Yang, P.P.; Wang, Y.H.; Yu, P.C.; Duanmu, J.W.; et al. Facet-switching of rate-determining step on copper in CO2-to-ethylene electroreduction. Proc. Natl. Acad. Sci. USA 2024, 121, e2400546121. [Google Scholar] [CrossRef]
- Shen, X.; Wang, Z.; Wang, Q.; Tumurbaatar, C.; Bold, T.; Liu, W.; Dai, Y.; Tang, Y.; Yang, Y. Modified Ni-carbonate interfaces for enhanced CO2 methanation activity: Tuned reaction pathway and reconstructed surface carbonates. J. Catal. 2022, 413, 48–58. [Google Scholar] [CrossRef]
- Ye, R.P.; Lin, L.; Li, Q.; Zhou, Z.; Wang, T.; Russell, C.K.; Adidharma, H.; Xu, Z.; Yao, Y.G.; Fan, M. Recent progress in improving the stability of copper-based catalysts for hydrogenation of carbon–oxygen bonds. Catal. Sci. Technol. 2018, 8, 3428–3449. [Google Scholar] [CrossRef]








| Sample | SBET (m2/gcat.) | Vtotal (cm3/g) | DBJH (nm) |
|---|---|---|---|
| CZA-H | 36.51 | 0.61 | 48.48 |
| CZA-H-C1 | 43.12 | 1.06 | 65.87 |
| CZA-H-C2 | 38.25 | 0.83 | 50.24 |
| CZA-H-C3 | 30.16 | 0.41 | 36.07 |
| CZA-H-C4 | 26.99 | 0.29 | 29.67 |
| Sample | dCu/nm (XRD) | dCu/nm (SEM) | dCu/nm (TEM) |
|---|---|---|---|
| CZA-H | 7.52 | 9.80 | 8.95 |
| CZA-H-C1 | 8.90 | 11.59 | 11.18 |
| CZA-H-C2 | 10.05 | 13.21 | 12.68 |
| CZA-H-C3 | 11.42 | 14.63 | 13.82 |
| CZA-H-C4 | 12.55 | 15.87 | 14.66 |
| Sample | T/°C | P/MPa | CO2 Conv./% | CH3OH Sel./% | Ref. |
|---|---|---|---|---|---|
| CZA | 250 | 3 | 19.0 | 50.0 | [48] |
| CZ-5H2 | 280 | 3 | 5.6 | 62.0 | [49] |
| CZA-CP | 250 | 3 | 17.5 | 44 | [50] |
| Cu/ZnO/C-P | 250 | 3 | 12.7 | 80.7 | [51] |
| Ce-CuZn-MOF | 260 | 2.8 | 8.0 | 71.1 | [52] |
| Si-Cu-Zn | 240 | 3 | 4.7 | 29 | [15] |
| Cu/ZnO/Al2O3 | 240 | 4.6 | 21.0 | 39.0 | [53] |
| Cu-ZnO-SrTiO3 | 250 | 3 | 18.9 | 38.0 | [54] |
| Cu/ZnO/ZrO2 | 240 | 3 | 15.7 | 58.0 | [55] |
| CZAZ | 250 | 3 | 14.2 | 57.2 | [56] |
| CZA-H-C2 | 250 | 3 | 18.9 | 62.1 | This work |
| Sample | T/°C | P/MPa | K 1 | Deact. 2/% |
|---|---|---|---|---|
| Standard | 250 | 3 | 1.55 × 10−3 | - |
| CZA-H | 250 | 3 | 5.43 × 10−4 | 14.20 |
| CZA-H-C1 | 250 | 3 | 1.08 × 10−3 | 9.57 |
| CZA-H-C2 | 250 | 3 | 1.24 × 10−3 | 13.83 |
Disclaimer/Publisher’s Note: The statements, opinions and data contained in all publications are solely those of the individual author(s) and contributor(s) and not of MDPI and/or the editor(s). MDPI and/or the editor(s) disclaim responsibility for any injury to people or property resulting from any ideas, methods, instructions or products referred to in the content. |
© 2025 by the authors. Licensee MDPI, Basel, Switzerland. This article is an open access article distributed under the terms and conditions of the Creative Commons Attribution (CC BY) license (https://creativecommons.org/licenses/by/4.0/).
Share and Cite
Shi, P.; Han, J.; Tian, Y.; Wang, J.; Lv, Y.; Li, Y.; Zhang, X.; Li, C. Engineering CuZnOAl2O3 Catalyst for Enhancing CO2 Hydrogenation to Methanol. Molecules 2025, 30, 1350. https://doi.org/10.3390/molecules30061350
Shi P, Han J, Tian Y, Wang J, Lv Y, Li Y, Zhang X, Li C. Engineering CuZnOAl2O3 Catalyst for Enhancing CO2 Hydrogenation to Methanol. Molecules. 2025; 30(6):1350. https://doi.org/10.3390/molecules30061350
Chicago/Turabian StyleShi, Peixiang, Jiahao Han, Yuhao Tian, Jingjing Wang, Yongkang Lv, Yanchun Li, Xinghua Zhang, and Congming Li. 2025. "Engineering CuZnOAl2O3 Catalyst for Enhancing CO2 Hydrogenation to Methanol" Molecules 30, no. 6: 1350. https://doi.org/10.3390/molecules30061350
APA StyleShi, P., Han, J., Tian, Y., Wang, J., Lv, Y., Li, Y., Zhang, X., & Li, C. (2025). Engineering CuZnOAl2O3 Catalyst for Enhancing CO2 Hydrogenation to Methanol. Molecules, 30(6), 1350. https://doi.org/10.3390/molecules30061350
