Degradation of Organic Matter in Sauce-Flavored Liquor Wastewater by Catalytic Oxidation Performance of Mn2Cu2Ox/Al2O3 Catalysts in Treatment and Mechanism Research
Abstract
1. Introduction
2. Results and Discussion
2.1. Catalyst Characterization
2.2. Kinetic Analysis of Catalytic Oxidation Reactions
2.3. Reaction Mechanism Study
2.3.1. GC-MS Water Sample Detection
2.3.2. •OH Quenching Experiments
2.3.3. Analysis of Reaction Mechanisms
3. Materials and Methods
3.1. Oxidation Performance Test of Commercially Available Catalysts
3.2. Catalyst Preparation
3.2.1. Raw Material Selection
3.2.2. Preparation Methods
3.3. Oxidation Performance Test of Homemade Catalysts
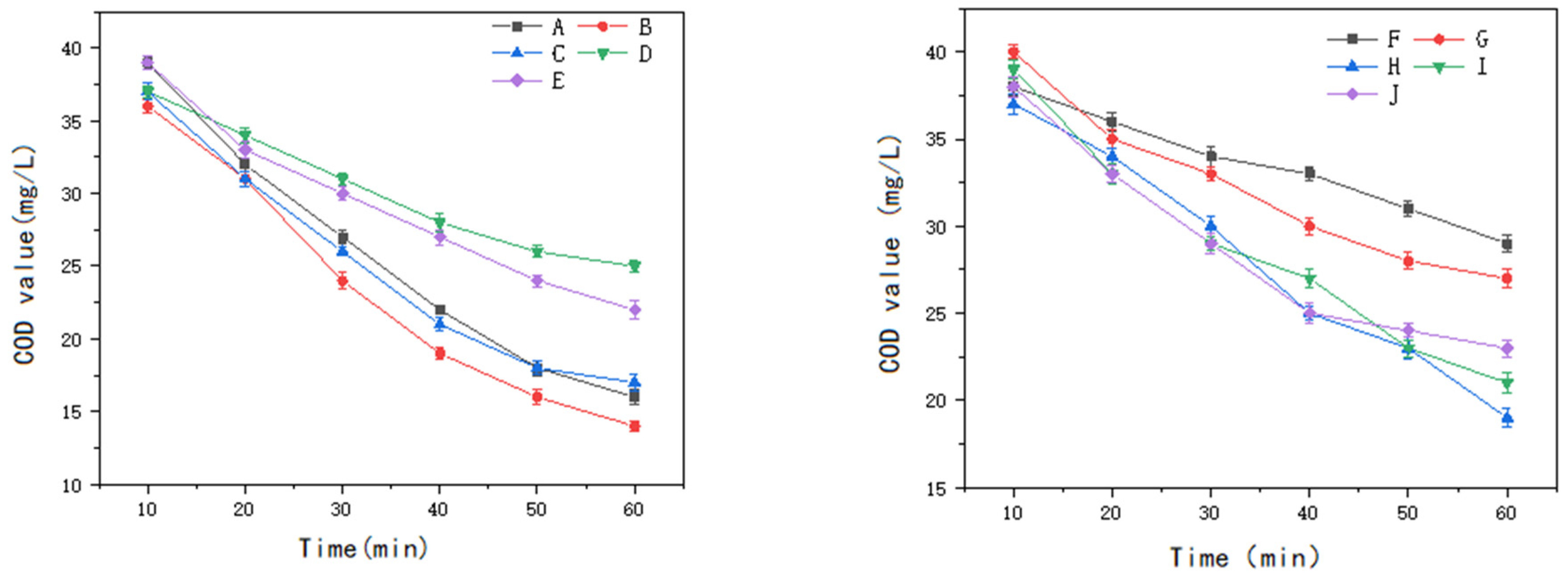
3.3.1. Effect of Type of Homemade Catalyst on Treatment Effectiveness
3.3.2. Influence of Catalyst Dosage on Treatment Effect
3.3.3. Catalyst Stability Tests
4. Conclusions
Author Contributions
Funding
Institutional Review Board Statement
Informed Consent Statement
Data Availability Statement
Acknowledgments
Conflicts of Interest
References
- Johnson, M.B.; Mehrvar, M. Treatment of Actual Winery Wastewater by Fenton-like Process: Optimization to Improve Organic Removal, Reduce Inorganic Sludge Production and Enhance Co-Treatment at Municipal Wastewater Treatment Facilities. Water 2022, 14, 19. [Google Scholar] [CrossRef]
- Conradie, A.; Sigge, G.O.; Cloete, T.E. Influence of Winemaking Practices on the Characteristics of Winery Wastewater and Water Usage of Wineries. S. Afr. J. Enol. Vitic. 2014, 35, 10–19. [Google Scholar]
- Deschamps, L.; Merlet, D.; Lemaire, J.; Imatoukene, N.; Filali, R.; Clement, T.; Lopez, M.; Theoleyre, M.A. Excellent performance of anaerobic membrane bioreactor in treatment of distillery wastewater at pilot scale. J. Water Process Eng. 2021, 41, 102061. [Google Scholar] [CrossRef]
- Yong, E.L.; Lin, Y.P. Incorporation of initiation, promotion and inhibition in the Rct concept and its application in determining the initiation and inhibition capacities of natural water in ozonation. Water Res. 2012, 46, 1990–1998. [Google Scholar] [CrossRef] [PubMed]
- Staehelin, J.; Holgné, J. Decomposition of Ozone in Water: Rate of Initiation by Hydroxide Ions and Hydrogen Peroxide. Environ. Sci. Technol. 1982, 16, 676–681. [Google Scholar] [CrossRef]
- Barber, V.P.; Pandit, S.; Green, A.M.; Trongsiriwat, N.; Walsh, P.J.; Klippenstein, S.J.; Lester, M.I. Four Carbon Criegee Intermediate from Isoprene Ozonolysis: Methyl Vinyl Ketone Oxide Synthesis, Infrared Spectrum, and OH Production. J. Am. Chem. Soc. 2018, 140, 10866–10880. [Google Scholar] [CrossRef]
- Jiang, Y.; Cheng, S.; Su, C.; Jiang, Y.; Sun, X.; Zhang, G.; Liu, Y.; Dou, X.; Yang, Z. Bimetallic Mn-Cu oxide catalysts for toluene oxidation: Synergistic effect and catalytic mechanism. Appl. Surf. Sci. 2024, 670, 160629. [Google Scholar] [CrossRef]
- Yin, M.; Yun, Z.; Fan, F.; Suresh, C.; Zhihao, P.; Zheng, W.Y.; Zhao, L.; Wang, W.; Hou, H. Insights into the mechanism of low-temperature H2S oxidation over Zn–Cu/Al2O3 catalyst. Chemosphere 2022, 291, 33105. [Google Scholar] [CrossRef]
- Li, Z.; Jing, J.; Gao, K.; Ren, G.; Zhang, J.; Jiao, W.; Liu, Y. Degradation of nitrobenzene by high-gravity intensified heterogeneous catalytic ozonation with Mn-Fe/ZSM-5 catalysts. Chem. Eng. Process. Process Intensif. 2021, 169, 108642. [Google Scholar] [CrossRef]
- Giesbers, M.; Marcelis, A.T.M.; Zuilhof, H. Simulation of XPS C1s Spectra of Organic Monolayers by Quantum Chemical Methods. Langmuir 2013, 29, 4782–4788. [Google Scholar] [CrossRef]
- Jarosz, M.; Socha, R.P.; Jóźwik, P.; Sulka, G.D. Amperometric glucose sensor based on the Ni(OH)2/Al(OH)4− electrode obtained from a thin Ni3Al foil. Appl. Surf. Sci. 2017, 408, 96–102. [Google Scholar] [CrossRef]
- Li, W.; Li, F.; Yang, H.; Wu, X.; Zhang, P.; Shan, Y.; Sun, L. A bio-inspired coordination polymer as outstanding water oxidation catalyst via second coordination sphere engineering. Nat. Commun. 2019, 10, 5074. [Google Scholar] [CrossRef] [PubMed]
- Huang, G.X.; Wang, C.Y.; Yang, C.W.; Guo, P.C.; Yu, H.Q. Degradation of Bisphenol A by peroxymonosulfate catalytically activated with Mn1.8Fe1.2O4 nanospheres: Synergism between Mn and Fe. Environ. Sci. Technol. 2017, 51, 12611–12618. [Google Scholar] [CrossRef] [PubMed]
- Rosal, R.; Gonzalo, M.S.; Rodríguez, A.; Perdugon-Melon, J.A.; Garcia-Calvo, E. Catalytic ozonation of atrazine and linuron on MnOx/Al2O3 and MnOx/SBA-15 in a fixed bed reactor. Chem. Eng. J. 2010, 165, 806–812. [Google Scholar] [CrossRef]
- Tong, S.P.; Liu, W.P.; Leng, W.H.; Zhang, Q.Q. Characteristics of MnO2 catalytic ozonation of sulfosalicylic acid and propionic acid in water. Chemosphere 2003, 50, 1359–1364. [Google Scholar] [CrossRef]
- He, Z.; Lin, H.; He, P.; Yuan, Y. Effect of boric oxide doping on the stability and activity of a Cu–SiO2 catalyst for vapor-phase hydrogenation of dimethyl oxalate to ethylene glycol. J. Catal. 2011, 277, 54–63. [Google Scholar] [CrossRef]
- Xu, J.; Zhao, J.; Zhang, T.; Di, X.; Gu, S.; Ni, J.; Li, X. Ultra-low Ru-promoted CuCl2 as highly active catalyst for the hydrochlorination of acetylene. RSC Adv. 2015, 5, 38159–38163. [Google Scholar] [CrossRef]
- Wei, K.; Cao, X.; Gu, W.; Liang, P.; Huang, X.; Zhang, X. Ni-Induced C-AI2O3-Framework Supported CoreMultishell Catalysts for Efficient Catalytic Ozonation: A Structure-to-Performance Study. Environ. Sci. Technol. 2019, 53, 6917–6926. [Google Scholar] [CrossRef]
- Ma, J.; Sui, M.; Zhang, T.; Guan, C. Effect of pH on MnOx/GAC catalyzed ozonation for degradation of nitrobenzene. Water Res. 2005, 39, 779–786. [Google Scholar] [CrossRef]
- Zhao, L.; Sun, Z.; Ma, J. Novel relationship between hydroxyl radical Initiation and surface group of ceramic honeycomb supported metals for the catalytic ozonation of nitrobenzene in aqueous solution. Environ. Sci. Technol. 2009, 43, 4157–4163. [Google Scholar] [CrossRef]
- Tao, L.G.; Zhang, Z.Q.; Chen, P.J.; Zhao, G.F.; Liu, Y.; Lu, Y. Thin-felt Al-fiber-structured Pd-Co-MnOx/Al2O3 catalyst with high moisture resistance for high-throughput O3 decomposition. Appl. Surf. Sci. 2019, 481, 802–808. [Google Scholar] [CrossRef]
- Xiao, J.C.; Ji, H.H.; Ma, B.; Shen, Z.Q.; Wang, S.J.; Ling, F.X. Preparation and Characterization of Macroporous γ-alumina. Petrochemical 2015, 44, 339–344. [Google Scholar]















| Performances | Specific Surface Area (m2/g) | Pore Volume (cm3/g) | Pore Size (nm) | |
|---|---|---|---|---|
| Catalysts | ||||
| γ-Al2O3 (no treatment) | 201.50 | 0.40 | 8.30 | |
| γ-Al2O3 (600 °C, 4 h) | 236.10 | 0.68 | 12.80 | |
| Mn-Cu/Al (Mn: Cu = 2:2) | 145.03 | 0.43 | 11.84 | |
| Mn-Cu-Ce/Al (Mn: Cu: Ce = 2:2:2) | 140.56 | 0.42 | 11.46 | |
| Response Order | Reaction Rate Constant k | Correlation Coefficient R2 | Deviation | Deviation Squared |
|---|---|---|---|---|
| First order | 0.02667 | 0.97839 | 0.017286 | 0.0002988 |
| Second order | 0.0014 | 0.93797 | −0.007983 | 0.0000637 |
| Third order | 0.00008132 | 0.86955 | −0.009302 | 0.00008653 |
| Organic Substance | Percentage (%) | Estimated Concentration (mg/L) | Molecular Formula | C | H | O | N | P | Si | Molecular Mass | COD Conversion Factor |
|---|---|---|---|---|---|---|---|---|---|---|---|
| 2-([1,1′-Biphenyl]-2-aryloxy)ethanol | 44.93 | 19.41 | C14H14O2 | 14 | 14 | 2 | 214 | 2.46 | |||
| Dodecamethylcyclohexasiloxane | 1.62 | 0.7 | C12H36O6Si6 | 12 | 36 | 6 | 6 | 445 | 1.29 | ||
| Cycloheptasiloxane, tetramethyl | 1.53 | 0.67 | C14H42O7Si7 | 14 | 42 | 7 | 7 | 519 | 1.29 | ||
| 5-Hydroxy-2,4-di-tert-butylphenyl valerate | 2.01 | 0.8 | C19H30O3 | 19 | 30 | 3 | 306 | 2.61 | |||
| o-Hydroxybiphenyl | 5.2 | 2.24 | C12H10O | 12 | 10 | 1 | 170 | 2.63 | |||
| Hexadecamethylcyclooctasiloxane | 1.08 | 0.47 | C16H48O8Si8 | 16 | 48 | 8 | 8 | 593 | 1.29 | ||
| N-Tetrahydro-2-furanylmethyl-1-naphthamide | 1.64 | 0.7 | C19H27NOSi | 19 | 27 | 1 | 1 | 1 | 255 | 3.16 | |
| 1 Acenaphthenol | 24.01 | 10.37 | C12H10O | 12 | 10 | 1 | 170 | 2.63 | |||
| Oximethoxyphenyl | 2.77 | 1.19 | C8H9NO2 | 8 | 9 | 2 | 1 | 151 | 1.96 | ||
| Triphenylphosphine oxide | 0.9 | 38.8 | C18H15OP | 18 | 15 | 1 | 1 | 278 | 2.44 | ||
| Ethyl 2.4.5-trimethoxyphenylpropionate | 3.4 | 1.47 | C14H20O5 | 14 | 20 | 5 | 268 | 1.97 | |||
| N-(1-[1,1′-Biphenyl]-2-ethylidenemethyl) | 4.71 | 2.03 | C15H15N | 15 | 15 | 1 | 209 | 2.87 | |||
| look for a draw (chess) | 93.8 | 43.20 |
| Organic Substance | Percentage (%) | Estimated Concentration (mg/L) | Molecular Formula | C | H | O | N | P | Si | Molecular Mass | COD Conversion Factor |
|---|---|---|---|---|---|---|---|---|---|---|---|
| 2-([1,1′-Biphenyl]-2-yloxy)ethanol | 46.96 | 5.07 | C14H14O2 | 14 | 14 | 2 | 214 | 2.46 | |||
| Oximethoxyphenyl | 2.04 | 0.22 | C8H9NO2 | 8 | 9 | 2 | 1 | 151 | 1.96 | ||
| Dodecamethylcyclohexasiloxane | 0.49 | 0.05 | C12H36O6Si6 | 12 | 36 | 6 | 6 | 445 | 1.29 | ||
| Cycloheptasiloxane, tetramethyl | 2.52 | 0.27 | C14H42O7Si7 | 14 | 42 | 7 | 7 | 519 | 1.29 | ||
| 5-Hydroxy-2,4-di-tert-butylphenyl valerate | 0.63 | 0.07 | C19H30O3 | 19 | 30 | 3 | 306 | 2.61 | |||
| o-Hydroxybiphenyl | 4.6 | 0.5 | C12H10O | 12 | 10 | 1 | 170 | 2.63 | |||
| Hexadecamethylcyclooctasiloxane | 1.28 | 0.14 | C16H48O8Si8 | 16 | 48 | 8 | 8 | 593 | 1.29 | ||
| N-Tetrahydro-2-furanylmethyl-1-naphthamide | 1.19 | 0.13 | C19H27NOSi | 19 | 27 | 1 | 1 | 1 | 255 | 3.16 | |
| 1 Acenaphthenol | 23.97 | 2.59 | C12H10O | 12 | 10 | 1 | 170 | 2.63 | |||
| Triphenylphosphine oxide | 0.7 | 0.08 | C18H15OP | 18 | 15 | 1 | 1 | 278 | 2.44 | ||
| Ethyl 2.4.5-trimethoxyphenylpropionate | 4.02 | 0.43 | C14H20O5 | 14 | 20 | 5 | 268 | 1.97 | |||
| N-(1-[1,1′-Biphenyl]-2-ethylidenemethyl) | 3.3 | 0.36 | C15H15N | 15 | 15 | 1 | 209 | 2.87 | |||
| look for a draw (chess) | 91.7 | 10.8 |
| Serial Number | Mn(NO3)2 | Fe(NO3)3)-9H2O | Cu(NO3)2)-3 H2O | Ce(NO3)3)-6H2O |
|---|---|---|---|---|
| 1 | 4wt% | |||
| 2 | 4 wt% | |||
| 3 | 4 wt% | |||
| 4 | 4 wt% | |||
| 5 | 2 wt% | 1 wt% | ||
| 6 | 2 wt% | 2 wt% | ||
| 7 | 2 wt% 2 wt% | 1 wt% | ||
| 8 | 2 wt% | 2 wt% | ||
| 9 | 2 wt% | 1 wt% | ||
| 10 | 2 wt% | 2 wt% | ||
| 11 | 1 wt% | 1 wt% | 1 wt% | |
| 12 | 1 wt% | 2 wt% | 1 wt% | |
| 13 | 1 wt% | 1 wt% | 2 wt% | |
| 14 | 2 wt% | 1 wt% | 2 wt% | |
| 15 | 2 wt% | 2 wt% | 1 wt% | |
| 16 | 2 wt% | 2 wt% | 2 wt% | |
| 17 | 1 wt% | 2 wt% | 2 wt% |
Disclaimer/Publisher’s Note: The statements, opinions and data contained in all publications are solely those of the individual author(s) and contributor(s) and not of MDPI and/or the editor(s). MDPI and/or the editor(s) disclaim responsibility for any injury to people or property resulting from any ideas, methods, instructions or products referred to in the content. |
© 2025 by the authors. Licensee MDPI, Basel, Switzerland. This article is an open access article distributed under the terms and conditions of the Creative Commons Attribution (CC BY) license (https://creativecommons.org/licenses/by/4.0/).
Share and Cite
Luo, B.; Yu, J.; Huang, W.; Zhou, X.; Li, J.; Liu, Y.; Yang, X.; Zhou, X.; Ning, H.; Yan, Y.; et al. Degradation of Organic Matter in Sauce-Flavored Liquor Wastewater by Catalytic Oxidation Performance of Mn2Cu2Ox/Al2O3 Catalysts in Treatment and Mechanism Research. Molecules 2025, 30, 1242. https://doi.org/10.3390/molecules30061242
Luo B, Yu J, Huang W, Zhou X, Li J, Liu Y, Yang X, Zhou X, Ning H, Yan Y, et al. Degradation of Organic Matter in Sauce-Flavored Liquor Wastewater by Catalytic Oxidation Performance of Mn2Cu2Ox/Al2O3 Catalysts in Treatment and Mechanism Research. Molecules. 2025; 30(6):1242. https://doi.org/10.3390/molecules30061242
Chicago/Turabian StyleLuo, Benfu, Jie Yu, Weiwei Huang, Xuanyu Zhou, Jinyin Li, Yuhang Liu, Xi Yang, Xiang Zhou, Haiyan Ning, Yujing Yan, and et al. 2025. "Degradation of Organic Matter in Sauce-Flavored Liquor Wastewater by Catalytic Oxidation Performance of Mn2Cu2Ox/Al2O3 Catalysts in Treatment and Mechanism Research" Molecules 30, no. 6: 1242. https://doi.org/10.3390/molecules30061242
APA StyleLuo, B., Yu, J., Huang, W., Zhou, X., Li, J., Liu, Y., Yang, X., Zhou, X., Ning, H., Yan, Y., & He, H. (2025). Degradation of Organic Matter in Sauce-Flavored Liquor Wastewater by Catalytic Oxidation Performance of Mn2Cu2Ox/Al2O3 Catalysts in Treatment and Mechanism Research. Molecules, 30(6), 1242. https://doi.org/10.3390/molecules30061242

