Solvatochromic Parameters of Four Amines in Propane-1,3-diol at 298.15 K
Abstract
1. Introduction
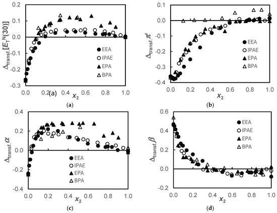
2. Results and Discussion
3. Experimental
3.1. Materials
3.2. Methods
4. Conclusions
Supplementary Materials
Author Contributions
Funding
Informed Consent Statement
Data Availability Statement
Conflicts of Interest
References
- Jamal, A.; Meisen, A.; Lim, C.J. Kinetics of carbon dioxide absorption and desorption in aqueous alkanolamine solutions using a novel hemispherical contactor—I. Experimental apparatus and mathematical modelling. Chem. Eng. Sci. 2006, 61, 6571–6589. [Google Scholar] [CrossRef]
- Zhu, B.; Liu, Q.; Zhou, Q.; Yang, J.; Ding, J.; Wen, J. Absorption of Carbon Dioxide from Flue Gas using Blended Amine Solutions. Chem. Eng. Technol. 2014, 37, 635–642. [Google Scholar] [CrossRef]
- Bui, T.Q.; Khokarale, S.G.; Shukla, S.K.; Mikkola, J.-P. Switchable aqueous Pentaethylenehexamine system for CO2 capture: An alternative technology with industrial potential. ACS Sustain. Chem. Eng. 2018, 6, 10395–10407. [Google Scholar] [CrossRef]
- Said, R.B.; Kolle, J.M.; Essalah, K.; Tangour, B.; Sayari, A. A unified approach to CO2-Amine reaction mechanisms. ACS Omega 2020, 5, 26125–26133. [Google Scholar] [CrossRef]
- Padurean, A.; Cormos, C.C.; Cormos, A.M.; Agachi, P.S. Multicriterial analysis of post-combustion carbon dioxide capture using alkanolamines. Int. J. Greenh. Gas Control 2011, 5, 676–685. [Google Scholar] [CrossRef]
- Barzagli, F.; Giorgi, C.; Mani, F.; Peruzzini, M. Reversible carbon dioxide capture by aqueous and non-aqueous amine-based absorbents: A comparative analysis carried out by 13C NMR spectroscopy. Appl. Energy 2018, 220, 208–219. [Google Scholar] [CrossRef]
- Soo, X.Y.D.; Lee, J.J.C.; Wu, W.-Y.; Tao, L.; Wang, C.; Zhu, Q.; Bu, J. Advancements in CO2 capture by absorption and adsorption: A comprehensive review. J. CO2 Util. 2024, 81, 102727. [Google Scholar] [CrossRef]
- Chowdhury, F.A.; Yamada, H.; Onoda, M.; Fujioka, Y. Synthesis and selection of hindered new amine absorbents for CO2 capture. Energy Procedia 2011, 4, 201–208. [Google Scholar] [CrossRef]
- Wanderley, R.R.; Pinto, D.D.D.; Knuutila, H.K. From hybrid solvents to water-lean solvents—A critical and historical review. Sep. Purif. Technol. 2021, 260, 118193. [Google Scholar] [CrossRef]
- Schulze-Hulbe, A.; Shaahmadi, F.; Burger, A.J.; Cripwell, J.T. Toward nonaqueous alkanolamine-based carbon capture systems: Parameterizing amines, secondary alcohols, and carbon dioxide-containing systems in s-SAFT-γ Mie. Ind. Eng. Chem. Res. 2023, 62, 14061–14083. [Google Scholar] [CrossRef]
- Gladich, I.; Abotaleb, A.; Sinopoli, A. Tuning CO2 capture at the Gas/amine solution interface by changing the solvent polarity. J. Phys. Chem. B 2020, 124, 10245–10256. [Google Scholar] [CrossRef] [PubMed]
- Reichardt, C.; Welton, T. Solvents and Solvent Effects in Organic Chemistry, 4th ed.; Wiley-VCH: Weinheim, Germany, 2011. [Google Scholar] [CrossRef]
- Langhals, H. Polarity of Binary Liquid Mixtures. Angew. Chem. Int. Ed. Engl. 1982, 21, 724–733. [Google Scholar] [CrossRef]
- Rosés, M.; Ràfols, C.; Ortega, J.; Bosch, E. Solute-solvent and solvent-solvent interactions in binary solvent mixtures. Part 1. A comparison of several preferential solvation models for describing ET(30) polarity of dipolar hydrogen bond acceptor-cosolvent mixtures. J. Chem. Soc. Perkin Trans. 2 1995, 8, 1607–1615. [Google Scholar] [CrossRef]
- Tada, E.B.; Novaki, L.P.; El Seoud, O.A. Solvatochromism in pure and binary solvent mixtures: Effects of the molecular structure of the zwitterionic probe. J. Phys. Org. Chem. 2000, 13, 679–687. [Google Scholar] [CrossRef]
- Testoni, F.M.; Ribeiro, E.A.; Giusti, L.A.; Machado, V.G. Merocyanine solvatochromic dyes in the study of synergistic effects in mixtures of chloroform with hydrogen-bond accepting solvents. Spectrochim. Acta Part A 2009, 71, 1704–1711. [Google Scholar] [CrossRef]
- Langhals, H. How the concept of solvent polarity investigated with solvatochromic probes helps studying intermolecular interactions. Liquids 2023, 3, 481–511. [Google Scholar] [CrossRef]
- Góralsk, P.; Tkaczyk, M. Heat Capacities of Some Liquid α,ω-Alkanediols within the Temperature Range between (293.15 and 353.15) K. J. Chem. Eng. Data 2008, 53, 1932–1934. [Google Scholar] [CrossRef]
- Moita, M.-L.C.J.; Santos, A.F.S.; Silva, J.F.C.C.; Lampreia, I.M.S. Polarity of Some [NR1R2R3R4]+[Tf2N]− Ionic Liquids in Ethanol: Preferential Solvation versus Solvent−Solvent Interactions. J. Chem. Eng. Data 2012, 57, 2702–2709. [Google Scholar] [CrossRef]
- Machado, V.G.; Stock, R.I.; Reichardt, C. Pyridinium N-phenolate betaine dyes. Chem. Rev. 2014, 114, 10429–10475. [Google Scholar] [CrossRef]
- Lagalante, A.F.; Spadi, M.; Bruno, T.J. Kamlet-Taft Solvatochromic parameters of eight alkanolamines. J. Chem. Eng. Data 2000, 45, 382–385. [Google Scholar] [CrossRef]
- Moita, M.-L.C.J.; Fialho, B.G.; Santos, A.F.S.; Lampreia, I.M.S. Exploring molecular interactions in two aqueous alkanolamines mixtures using refractive indices and molecular probes. J. Mol. Liq. 2023, 388, 122760. [Google Scholar] [CrossRef]
- Moita, M.-L.C.J.; Santos, Â.F.S.; Alves, M.A.S.; Nobre, L.C.S.; Lampreia, I.M.S. New insights on molecular interactions in the aqueous systems (3-ethoxy or 3-butoxy)propan-1-amine mixtures using refractive indices and molecular probes. J. Chem. Eng. Data 2024, 69, 2756–2763. [Google Scholar] [CrossRef]


| 1,3-PD (1) + EEA (2) b | 1,3-PD (1) + IPAE (2) c | ||||||||
|---|---|---|---|---|---|---|---|---|---|
| x2 | π* | α | β | x2 | π* | α | β | ||
| 0.0000 | 0.733 | 0.927 | 0.766 | 0.64 | 0.0000 | 0.733 | 0.927 | 0.766 | 0.64 |
| 0.0099 | 0.740 | 0.926 | 0.779 | 0.64 | 0.0388 | 0.730 | 0.903 | 0.779 | 0.66 |
| 0.0233 | 0.737 | 0.921 | 0.779 | 0.65 | 0.1037 | 0.724 | 0.875 | 0.790 | 0.67 |
| 0.0486 | 0.737 | 0.912 | 0.785 | 0.65 | 0.1447 | 0.721 | 0.861 | 0.796 | 0.68 |
| 0.0713 | 0.737 | 0.903 | 0.792 | 0.67 | 0.1975 | 0.710 | 0.841 | 0.790 | 0.70 |
| 0.0949 | 0.731 | 0.898 | 0.786 | 0.67 | 0.3007 | 0.700 | 0.814 | 0.794 | 0.72 |
| 0.1432 | 0.725 | 0.877 | 0.792 | 0.69 | 0.4026 | 0.679 | 0.791 | 0.769 | 0.72 |
| 0.1942 | 0.722 | 0.868 | 0.793 | 0.70 | 0.4875 | 0.666 | 0.777 | 0.753 | 0.73 |
| 0.2919 | 0.708 | 0.841 | 0.787 | 0.72 | 0.5389 | 0.658 | 0.763 | 0.749 | 0.73 |
| 0.3933 | 0.694 | 0.823 | 0.773 | 0.75 | 0.5917 | 0.651 | 0.753 | 0.743 | 0.73 |
| 0.4924 | 0.678 | 0.804 | 0.754 | 0.76 | 0.6424 | 0.637 | 0.740 | 0.726 | 0.73 |
| 0.5889 | 0.662 | 0.788 | 0.735 | 0.76 | 0.6912 | 0.631 | 0.731 | 0.720 | 0.73 |
| 0.6926 | 0.640 | 0.777 | 0.700 | 0.78 | 0.7913 | 0.609 | 0.712 | 0.690 | 0.73 |
| 0.7975 | 0.617 | 0.760 | 0.666 | 0.77 | 0.8457 | 0.597 | 0.698 | 0.677 | 0.74 |
| 0.8455 | 0.606 | 0.753 | 0.650 | 0.76 | 0.9483 | 0.569 | 0.674 | 0.639 | 0.74 |
| 0.8983 | 0.593 | 0.749 | 0.626 | 0.77 | 1.0000 | 0.549 | 0.665 | 0.605 | 0.74 |
| 0.9479 | 0.581 | 0.740 | 0.608 | 0.73 | |||||
| 1.0000 | 0.571 | 0.734 | 0.593 | 0.72 | |||||
| 1,3-PD (1) + EPA (2) d | 1,3-PD (1) + BPA (2) e | ||||||||
| x2 | π* | α | β | x2 | π* | α | β | ||
| 0.0000 | 0.733 | 0.927 | 0.766 | 0.64 | 0.0000 | 0.733 | 0.927 | 0.766 | 0.64 |
| 0.0533 | 0.723 | 0.906 | 0.762 | 0.65 | 0.0999 | 0.697 | 0.853 | 0.754 | 0.71 |
| 0.0993 | 0.709 | 0.892 | 0.746 | 0.66 | 0.2018 | 0.681 | 0.829 | 0.741 | 0.74 |
| 0.1466 | 0.700 | 0.877 | 0.739 | 0.68 | 0.3023 | 0.658 | 0.795 | 0.721 | 0.75 |
| 0.2031 | 0.684 | 0.859 | 0.722 | 0.70 | 0.3992 | 0.633 | 0.768 | 0.693 | 0.78 |
| 0.3000 | 0.661 | 0.832 | 0.696 | 0.75 | 0.4941 | 0.605 | 0.768 | 0.634 | 0.79 |
| 0.4033 | 0.625 | 0.795 | 0.653 | 0.78 | 0.5987 | 0.566 | 0.734 | 0.583 | 0.81 |
| 0.4998 | 0.587 | 0.777 | 0.591 | 0.83 | 0.6923 | 0.518 | 0.715 | 0.500 | 0.82 |
| 0.5965 | 0.549 | 0.771 | 0.516 | 0.84 | 0.7917 | 0.454 | 0.696 | 0.382 | 0.84 |
| 0.7015 | 0.509 | 0.740 | 0.461 | 0.86 | 0.8966 | 0.372 | 0.674 | 0.231 | 0.86 |
| 0.7899 | 0.454 | 0.749 | 0.338 | 0.85 | 1.0000 | 0.260 | 0.611 | 0.052 | 0.86 |
| 0.8962 | 0.375 | 0.712 | 0.207 | 0.86 | |||||
| 0.9503 | 0.315 | 0.699 | 0.091 | 0.85 | |||||
| 1.0000 | 0.252 | 0.684 | −0.025 | 0.84 | |||||
| EEA | IPAE | EPA | BPA | |||||
|---|---|---|---|---|---|---|---|---|
| This Work | Lit. a | This Work | Lit. a | This Work | Lit. b | This Work | Lit. b | |
| (30) | 0.571 | 0.565 | 0.549 | 0.551 | 0.252 | 0.253 | 0.26 | - |
| (0.005) | (0.008) | (0.005) | (0.005) | (0.005) | (0.005) | (0.005) | ||
| π* | 0.734 | 0.718 | 0.665 | 0.652 | 0.684 | 0.684 | 0.611 | 0.574 |
| (0.03) | (0.05) | (0.03) | (0.03) | (0.03) | (0.03) | (0.05) | (0.03) | |
| α | 0.593 | 0.595 | 0.605 | 0.621 | −0.025 | 0.000 | 0.052 | - |
| (0.03) | (0.05) | (0.03) | (0.03) | (0.03) | (0.03) | (0.03) | ||
| β | 0.72 | 0.80 | 0.74 | 0.76 | 0.84 | 0.82 | 0.86 | 0.84 |
| (0.08) | (0.08) | (0.06) | (0.06) | (0.06) | (0.06) | (0.06) | (0.06) | |
| Chemicals | Acronym | Molecular Structure | Chemical Formula Molar Mass/g·mol−1 CAS Number | Source Purity/Mass Fraction |
|---|---|---|---|---|
| 2-(ethylamino) ethanol | EEA | ![]() | C4H11NO 89.13624 110-73-6 | ACROS-ORGANICS (Geel, Belgium) >0.98 (value supplied by the manufacturer); used as received. |
| 2-(isoproylamino) ethanol | IPAE | ![]() | C5H13NO 103.1629 109-56-8 | TCI-Europe (Zwijndrecht, Belgium) >0.99 (value supplied by the manufacturer); used as received. |
| 3-ethoxy-1-propylamine | EPA | ![]() | C5H13NO 103.1629 6291-85-6 | Sigma-Aldrich (Saint Louis, MO, USA) >0.99 (value supplied by the manufacturer); used as received. |
| 3-butoxy-1-propylamine | BPA | ![]() | C7H17NO 131.2160 16499-88-0 | Sigma-Aldrich (Saint Louis, MO, USA) >0.99 (value supplied by the manufacturer); used as received. |
| propane-1,3-diol | 1,3-PD | ![]() | C3H8O2 76.09442 504-63-2 | Merck (San Jose, CA, USA) > 0.98 (value supplied by the manufacturer); used as received. |
| 2,6-diphenyl-4-(2,4,6-triphenylpyridinium-1-yl)phenolate Reichardt’s Betaine 30 | RB(30) | ![]() | C41H29NO 551.68 10081-39-7 | Sigma Aldrich (Saint Louis, MO, USA) >0.90 (used as received) |
| 4-amino-nitrobenzene | 4-NA | ![]() | C29H19Cl2N 138.12 100-01-6 | Sigma Aldrich (Saint Louis, MO, USA) >0.99 (used as received) |
| 4-(dimethylamino)-nitrobenzene | NN-4-NA | ![]() | C8H10N2O2 166.07 100-23-2 | TCI (Pleasant Prairie, WI, USA) >0.99 (used as received) |
Disclaimer/Publisher’s Note: The statements, opinions and data contained in all publications are solely those of the individual author(s) and contributor(s) and not of MDPI and/or the editor(s). MDPI and/or the editor(s) disclaim responsibility for any injury to people or property resulting from any ideas, methods, instructions or products referred to in the content. |
© 2025 by the authors. Licensee MDPI, Basel, Switzerland. This article is an open access article distributed under the terms and conditions of the Creative Commons Attribution (CC BY) license (https://creativecommons.org/licenses/by/4.0/).
Share and Cite
Moita, M.-L.C.J.; Santos, Â.F.S.; Correia, M.A.B.S.S.; Lampreia, I.M.S. Solvatochromic Parameters of Four Amines in Propane-1,3-diol at 298.15 K. Molecules 2025, 30, 1213. https://doi.org/10.3390/molecules30061213
Moita M-LCJ, Santos ÂFS, Correia MABSS, Lampreia IMS. Solvatochromic Parameters of Four Amines in Propane-1,3-diol at 298.15 K. Molecules. 2025; 30(6):1213. https://doi.org/10.3390/molecules30061213
Chicago/Turabian StyleMoita, Maria-Luísa C. J., Ângela F. S. Santos, Miguel A. B. S. S. Correia, and Isabel M. S. Lampreia. 2025. "Solvatochromic Parameters of Four Amines in Propane-1,3-diol at 298.15 K" Molecules 30, no. 6: 1213. https://doi.org/10.3390/molecules30061213
APA StyleMoita, M.-L. C. J., Santos, Â. F. S., Correia, M. A. B. S. S., & Lampreia, I. M. S. (2025). Solvatochromic Parameters of Four Amines in Propane-1,3-diol at 298.15 K. Molecules, 30(6), 1213. https://doi.org/10.3390/molecules30061213









