Abstract
A facile strategy to increase the chemoselectivity of domino reactions was proposed and successfully applied in the α-functionalization of ketones. The strategy involved widening the activation energy of the main reaction and side reaction through intermolecular interactions, thereby increasing the chemoselectivity of the domino reaction. In the proposed α-functionalization reaction, TMSCF3 acted as an excellent reagent which increased the nucleophilicity of DMF through the Van der Waals force and reduced the nucleophilicity of H2O through a hydrogen bond. We found that TMSCF3 can increase the activation energy difference between the main reaction and side reaction using DFT calculations, which greatly increased chemoselectivity and avoided the formation of by-products. TMSCF3 was recycled by rectification, and the average recovery rate was 87.2%. DFT calculations, XRD experiments, and control experiments were performed to support this mechanism. We are confident that this strategy has the potential to deliver significant practical advancements while simultaneously fostering broader innovation in the field of domino synthesis.
1. Introduction
Domino reactions incorporate two or more consecutive transformations in a single reaction vessel, in which the formed functionalities in the previous reaction steps are used in subsequent transformations without the addition of other materials [1,2,3,4,5]. Given that domino reactions proceed without the isolation of any intermediates, they have the advantages of atom-economy, reduced generation of waste, and the saving of materials, energy and time. Nevertheless, domino reactions often bring about side reactions [2,3,4,5,6,7]. The main reason for this is that domino reactions cannot guarantee that the product of the previous step will only be the next step without the inclusion of other steps within such complex reaction conditions. In order to solve the chemoselectivity problem of domino reactions, we conceived a facile strategy, as shown in Scheme 1. We added reagent M into the domino reaction system to expand the activation energy of the main reaction and side reaction through intermolecular interactions, thereby increasing chemoselectivity and yields (Scheme 1). Under the guidance of the proposed strategy, we carried out a series of explorations to prove the feasibility of the strategy. As a result, we successfully designed an α-functionalization method involving a carbonyl compound reaction via the bromination/nucleophilic substitution/hydrolysis sequence based on the above-mentioned strategy. We believe that this strategy has the potential to fundamentally reshape the landscape of multi-step synthetic operations, with the ability to convert reactions previously limited by low chemoselectivity into highly chemoselective domino transformations. Beyond simply enhancing chemoselectivity and improving main product yields, this strategy provides both a theoretical framework and practical case studies for conceiving and developing domino synthetic methodologies. In doing so, it not only delivers tangible advancements in application but also encourages broader innovation in domino synthesis.
Scheme 1.
A facile strategy to increase the chemoselectivity of domino reactions.
Many α-functionalization reactions of carbonyl compounds, which have been the subject of increasing interest in recent decades, are cascade reactions that require the reversal of the polarity of carbonyl compounds [8,9]. In conversion, functionalization at the α-position can be achieved with the help of various intermediates [10,11,12,13], such as halogens [14,15,16,17,18,19,20,21,22,23,24], hypervalent iodine [25,26,27,28,29], silyl enol ethers, ethers [30], α-diazo ketones [31,32,33,34], Lewis acids [35], and transition-metal catalysts (Scheme 2, (1)) [36,37]. These intermediates obtain the target compounds through the nucleophilic substitution process. Due to the presence of multiple nucleophiles in the domino reaction system, the nucleophilic substitution process may produce undesirable by-products, resulting in low chemoselectivity and yields (Scheme 2, (2)). In previous studies, many reactions needed to be achieved through the multi-step reaction process instead of the domino strategy in order to increase chemoselectivity [38,39,40,41,42,43]. Although many reactions were tolerated through the domino strategy, these studies required extreme measures to increase chemoselectivity, such as lowering the temperature [44,45], which can reduce reactivity and the reaction scope (Scheme 2, (3a)). Compared with these traditional strategies used to increase chemoselectivity, our proposed strategy does not sacrifice excellent reactivity and the reaction scope in exchange for relatively high chemoselectivity (Scheme 2, (3a)). Therefore, we applied the proposed strategy to the α-functionalization of ketones in order to increase chemoselectivity without affecting its reactivity and the reaction scope (Scheme 2, (3b)).
Scheme 2.
(1) Previous works on α-functionalization; (2) the challenge of two nucleophiles in a domino reaction; (3) (a) traditional methods; and (b) this work created to overcome the challenge.
As seen in the above-mentioned works regarding the α-functionalization of ketones, α-acyloxycarbonyl compounds are versatile synthons for the synthesis of various cyclic and heterocyclic natural products and pharmaceuticals [46]. A number of classic drugs, lead compounds, anti-inflammatory drugs [47], antitumor drugs, antihypertensive drugs, H2 receptor antagonists, and potential treatment drugs for COVID-19 [48,49,50] contain α-acyloxycarbonyl group (Figure 1). The development of a green and practical methodology using the domino strategy is needed for the preparation of α-acyloxy ketones.
Figure 1.
Drugs containing α-acyloxycarbonyl group.
2. Results and Discussion
In order to increase the chemoselectivity of the reaction and reduce the yield of by-products, the mechanism of the acyloxylation domino reaction was studied by DFT calculations (Scheme 3). Computational and experimental studies showed that nucleophilic substitution is the main process for the production of by-product 2a′ (Scheme 3, nucleophilic substitution). The reason for this is that the domino system contained both H2O and DMF nucleophiles, and the Gibbs free energy difference of TS3 and TS3s was 16.3 kcal/mol, which caused the side reaction to proceed under 80 °C. In order to improve the chemoselectivity of the reaction, we explored a suitable method to reduce the Gibbs free energy of TS3 or to increase the Gibbs free energy of TS3s, thereby making the barrier larger between the Gibbs free energy of TS3 and TS3s.
Scheme 3.
DFT calculations of domino strategy.
In our previous work, we found that DMF and TMSCF3 reagents interact together and to successfully activate trifluoromethyl [51,52]. The 1H NMR experiments were carried out to study the possible interaction between H2O and TMSCF3. Upfield shifts were observed for protons of H2O when H2O and TMSCF3 were mixed in CDCl3 (Table 1). Our previous work and 1H NMR experiments indicated that an interaction existed between TMSCF3, H2O, and DMF. When using the DFT calculation for the DMF and TMSCF3 complex, we found that the oxygen’s charge [53,54,55] of the DMF and TMSCF3 complex was increased compared with that of DMF (Figure 2, the DMF and TMSCF3 complex vs. DMF). The oxygen’s charge [53,54,55] of the H2O and TMSCF3 complex, which was formed through hydrogen bonding, was slightly reduced compared with that of H2O (Figure 2, the H2O and TMSCF3 complex vs. H2O). Similarly, the condensed Fukui functions and RDG proved that the results are consistent with the charge analysis method (the details of this are in the Supplementary Materials: Part 2. the condensed Fukui functions and RDG of DMF, H2O, and their complexes with TMSCF3). These results laterally showed that the addition of TMSCF3 increases the nucleophilicity of DMF and reduces the nucleophilicity of H2O.
Table 1.
1H NMR experiments with TMSCF3, H2O, and DMF a.
Figure 2.
The charge distribution of DMF, H2O, TMSCF3, and the complex.
In order to further prove the rationality of the strategy, we calculated the nucleophilic substitution of the domino reaction under TMSCF3 conditions, and the results are shown in Scheme 4. The results show that the activation energy decreased after adding TMSCF3 (Scheme 4, TS3TMSCF3 vs. TS3 and TS3sTMSCF3 vs. TS3s), and the Gibbs free energy increased to 22.9 kcal/mol (Scheme 4, TS3TMSCF3 vs. TS3sTMSCF3). In the process of the nucleophilic substitution reaction, DMF had a greater advantage and it was difficult or impossible to react H2O because of its excessively high activation energy (Scheme 4, TS3TMSCF3 vs. TS3sTMSCF3). Therefore, this strategy can prevent the formation of by-products and can increase chemoselectivity. The enhancement of the chemoselectivity of the nucleophilic substitution process was beneficial for the subsequent hydrolysis process, which required the participation of H2O (Scheme 3, hydrolysis).
Scheme 4.
The activation energy of TS3, TS3s, TS3TMSCF3, and TS3sTMSCF3.
On the basis of the DFT calculation results, we surveyed a variety of reaction conditions using 1a and DMF as a model system, as seen in Table 2. We found that CuBr2 effectively participates in the required reaction of 1a and DMF to provide 2a under TMSCF3 conditions, and the by-product 2a′ was not detected (Table 2, entry 1). An amount of 65% of the yield of 2a and 23% of the yield of by-product 2a′ was obtained without TMSCF3, which is consistent with the result of the DFT calculations (Table 2, entry 2). The results were unsatisfactory when other trimethylsilyl derivatives were used (Table S1 in Supplementary Materials). Other halogenated copper salts were used instead of CuBr2, and the result was not satisfactory (Table 2, entries 3–6). Reactions without CuBr2 were not successful (Table 2, entry 7). A further reduction in the amount of CuBr2 from 2.0 equiv to 1.0 equiv led to a drop in substrate conversions (Table 2, entries 1 vs. 8) and the increase in the amount of CuBr2 from 2.0 equiv to 3.0 equiv had little effect on the substrate conversions (Table 2, entries 1 vs. 9). The reaction was suppressed without H2O (Table 2, entry 10) and the reaction had little effect on the Ar protection condition compared with the air condition (Table 2, entry 11). Therefore, the α-formyloxylation reaction was finally carried out in the standard conditions.
Table 2.
Optimization of reaction conditions a.
Having identified the optimal reaction conditions, various substituted ketones were evaluated to determine their influence on the overall reactivity and to establish the reaction scope (Figure 3). In general, the α-formyloxylation methodology was amenable to a range of aryl-substituted α-formyloxy ketones that bear various electron-withdrawing and electron-donating substituents, furnishing the corresponding products in typically good-to-excellent yields (Figure 3, 2a–2g). The substrates of ortho-methyl (1n), meta-methyl (1o), and para-methyl (1p) substituents on the benzene rings did not significantly influence the reaction process. The steric effect of aromatic and aliphatic ketones was investigated and the results indicate that the small groups were slightly superior to the bulky groups in the reactions (Figure 3, 2h–2m). Other aromatic rings of the aromatic ketones, such as the furan ring and the thiophene ring, had little effect on the course of the reaction, and the resulting products were obtained in good isolated yields (Figure 3, 2q–2r). Cyclic ketones such as 1s and 1t obtained corresponding products in moderate yields. To prove the scalability of the reaction, substrate 1a was carried out on a gram scale, and the desired product 2a was obtained in a 63% isolated yield. By slowly adding CuBr2 without changing the amounts of other materials, the yield increased to 92%. After the α-formyloxylation of the ketones, the α-acyloxylation of the ketones was included within the reaction with N,N-dimethylamides (R4 = Me, Ph, and Et) instead of DMF (Figure 3, 3, 4 and 5). N,N-dimethylamides (R4 = Me, Ph, and Et) displayed good reactivity under standard conditions, and the results indicated that the size of the acyl group on the N,N-dimethylamides had little effect on the course of the reaction (Figure 3, 2, 3, 4, and 5). Compound 4a was subjected to an X-ray diffraction experiment to determine the skeleton, and the ORTEP drawing clearly confirmed the structure (Figure S2 in the Supplementary Materials).
Figure 3.
α-Formyloxylation and α-acyloxylation of ketone substrates.
Although DFT calculations had theoretically provided the domino reaction mechanism (Scheme 3), it was necessary to further verify the domino reaction process through experiments. The designed domino reaction had three reaction processes, namely bromination, nucleophilic substitution, and hydrolysis. We adopted a segmented method to verify the reaction process in Scheme 5. To ensure that the reaction first took place through the bromination reaction process, we added 1a, CuBr2, without any other substances to the reaction system. The brominated product D and a white solid powder were obtained after careful separation and purification (Scheme 5, (a)). Based on the designed reaction mechanism and the results of DFT calculations, we guessed that the white solid powder was CuBr. Further XRD studies of the white solid powder indicated that it was CuBr (Figure S1 in the Supplementary Materials). It was proven that the bromination reaction process was tolerated because of the designed mechanism. Then, we added D, DMF, TMSCF3, and H2O to the reaction system, which performed nucleophilic substitution and hydrolysis processes. We found that the reaction was achieved, but the yield of 2a was significantly lower than that in the domino reaction system (Scheme 5, (b)). We guessed that the product CuBr of the previous bromination process promoted the subsequent processes. CuBr was added to the reaction system of (b), and we found that it greatly promoted the processes of nucleophilic substitution and hydrolysis (Scheme 5, (b) vs. (c)). It was noteworthy that CuBr displayed good reactivity, and 10% CuBr was shown to be successful (Scheme 5, (d)).
Scheme 5.
Control experiments of domino reaction processes.
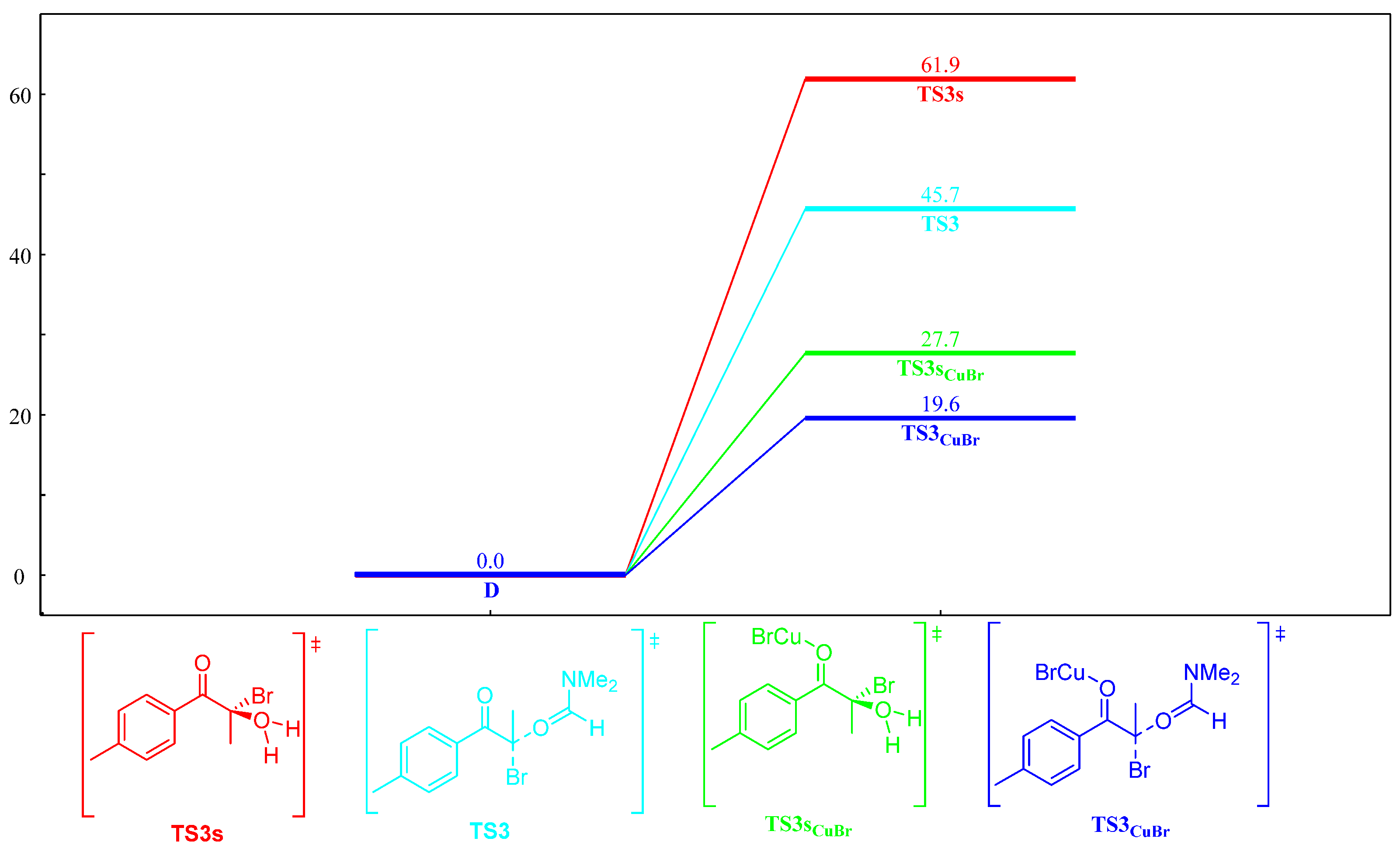
To obtain detailed insight into the role of CuBr in the domino reaction, control experiments and DFT calculations were carried out, as seen in Scheme 6. CuBr greatly reduced the activation energy of the nucleophilic substitution process (Scheme 6, TS3CuBr vs. TS3 and TS3sCuBr vs. TS3s). However, CuBr had little effect on the activation energy difference between the main reaction and the side reaction (Scheme 6, the difference between TS3 and TS3s vs. the difference between TS3CuBr and TS3sCuBr), which did not increase chemoselectivity.
Scheme 6.
The activation energy of TS3, TS3s, TS3CuBr, and TS3sCuBr.
TMSCF3 played a key role in increasing the chemoselectivity of the reaction. We successfully recovered TMSCF3 in the reaction system through rectification (Figure S3 in the Supplementary Materials). This showed that TMSCF3 could be recovered and reused, which embodies the concept of atomic economy.
3. Conclusions
In summary, a facile strategy was proposed to increase the chemoselectivity of domino reactions, and this strategy was used to design an α-formyloxylation and an α-acyloxylation domino reaction of ketones. The α-acyloxylation of ketones proved the feasibility of the strategy. TMSCF3, when added to the reaction system, enlarged the activation energy difference between the main reaction and side reaction through intermolecular interactions, thereby increasing chemoselectivity and avoiding the formation of by-products. TMSCF3 was recovered and reused, which embodies the concept of atomic economy. The chemoselectivity problem of other multi-step reactions or domino reactions solved by this strategy is under further study.
4. Materials and Methods
4.1. General Experimental Information
All reactions were carried out in sealed tube at 80 °C under air, unless stated otherwise. The purchased reagents were of the highest commercial quality and were used without further purification, unless otherwise stated. DMF and DMA were dried by CaCl2 and vigorously stirred with CaH2 overnight; then, this mixture was distilled out and sealed using 4 Å molecular sieves for storage under N2 protection. The reagents were weighed using a Sartorius analytical balance (BCE224-1CCN) with a precision of 0.0001 g. The 1H and 13C NMR spectra were recorded on a Bruker DRX 500 (or 400) spectrometer at 298 K using deuterated chloroform as the solvent and TMS as the internal reference. The 1H NMR were recorded as follows: chemical shift (δ, ppm), multiplicity (s = singlet, d = doublet, t = triplet, m = multiplet, coupling constant (s) in Hz, integration). The data for 13C NMR are reported in terms of chemical shift (δ, ppm). The reactions were monitored through thin layer chromatography (TLC) on silica gel plates (GF 254) using a mixture of iodine and silica gel as the visualizing agent, unless otherwise stated. Flash column chromatography was performed using silica gel (200–400 meshes). The infrared (IR) spectra were recorded with a KBr pellet, and the wavenumbers were given in cm−1. HRMS analyses were carried out with Varian FTICR-MS 7.0 T. The melting points were obtained on a Mettler Toledo MP50 apparatus.
4.2. General Procedure for Acyloxylation Reaction
Ketone (1.0 mmol), CuBr2 (2.0 mmol, 446.7 mg), TMSCF3 (2.0 mmol, 284.4 mg), and H2O (1.0 mmol, 18.0 mg) were added to a sealed tube (40 mL). Amide (3.0 mL) was added, and the mixture was stirred vigorously at 80 °C for 24 h. After completion, the reaction mixture was added into DCM (30 mL) and washed with NaCl solution (50 mL × 3). The organic mixture was dried with MgSO4, concentrated in vacuo, and separated with flash column chromatography.
4.3. Computational Details
All DFT [56] calculations were carried out using the Gaussian 16 ES64L-G16RevB.01 [57] suite of programs, and some calculated results were processed using Multiwfn [54,55]. The geometries of intermediates and transition states were optimized using the PBE0 [58,59,60] level of theory in combination with the DFT-D3 dispersion corrections with the Becke–Johnson damping scheme (D3BJ) [61,62]. The def2-SVP basis set [63,64] was used for all atoms and the solvent effects were computed with the SMD solvation model [65] (solvent = DMF). Vibrational frequency calculations were performed for all stationary points to confirm if each optimized structure was a local minimum or a transition state structure. All of the optimized transition state structures had only one imaginary (negative) frequency, and all minima (reactants, products, and intermediates) had no imaginary frequencies. The single-point energies and solvent effects were computed with the wB97XD [66]/def2-TZVPP [67,68] basis sets. The corrections of free energies [69] were applied for entropy calculations with a frequency cut-off of 100 cm−1 using the Shermo [70] program. The relative Gibbs free energies are given in kcal/mol, which were calculated by adding the gas-phase thermal and non-thermal corrections at 353.15 K to the single-point energies. The charge calculations were conducted at the B3LYP/6–31G + (d,p) level through becke charge [53]. The 3D images of the structures were prepared using VMD [71].
4.4. General Procedure for Control Experiments Processes
4.4.1. CuBr2 Without Other Substances Supported the Reaction
1a (1.0 mmol, 148.5 mg) and CuBr2 (2.0 mmol, 446.74 mg) were added to a sealed tube (40 mL). EtOH (3.0 mL) was added, and the mixture was stirred vigorously at 80 °C for 24 h. After completion, the reaction mixture was filtered. Then, the white powder and organic filtrate were obtained. XRD studies of the white powder indicated that it was CuBr (Figure S1). The organic filtrate was added into DCM (30 mL) and washed with NaCl solution (50 mL × 3). The organic mixture was dried with MgSO4, concentrated in vacuo, and separated with flash column chromatography (petroleum ether:ethyl acetate = 60:1) to obtain D. 1H NMR (500 MHz, CDCl3) δ 7.92 (d, J = 8.2 Hz, 2H), 7.28 (d, J = 8.0 Hz, 2H), 5.28 (q, J = 6.6 Hz, 1H), 2.42 (s, 3H), 1.89 (d, J = 6.6 Hz, 3H). 13C NMR (126 MHz, CDCl3) δ 193.0, 144.7, 131.5, 129.5, 129.1, 41.7, 21.7, 20.2.
4.4.2. The Reaction Was Supported Without CuBr
D (1.0 mmol), TMSCF3 (2.0 mmol, 284.4 mg), and H2O (1.0 mmol, 18.0 mg) were added to a sealed tube (40 mL). DMF (3.0 mL) was added, and the mixture was stirred vigorously at 80 °C for 24 h. After completion, the reaction mixture was added into DCM (30 mL) and washed with NaCl solution (50 mL × 3). The organic mixture was dried with MgSO4, concentrated in vacuo, and was separated with flash column chromatography to obtain 2a (41%).
4.4.3. CuBr Supported the Reaction
D (1.0 mmol), CuBr (1.0 mmol, 143.5 mg), TMSCF3 (2.0 mmol, 284.4 mg), and H2O (1.0 mmol, 18.0 mg) were added to a sealed tube (40 mL). DMF (3.0 mL) was added, and the mixture was stirred vigorously at 80 °C for 24 h. After completion, the reaction mixture was added into DCM (30 mL) and washed with NaCl solution (50 mL × 3). The organic mixture was dried with MgSO4, concentrated in vacuo, and separated with flash column chromatography to obtain 2a (94%).
4.4.4. A 10% Amount of CuBr Supported the Reaction
D (1.0 mmol), CuBr (1.0 mmol, 143.5 mg), TMSCF3 (2.0 mmol, 284.4 mg), and H2O (1.0 mmol, 18.0 mg) were added to a sealed tube (40 mL). DMF (3.0 mL) was added and the mixture was stirred vigorously at 80 °C for 24 h. After completion, the reaction mixture was added into DCM (30 mL) and washed with NaCl solution (50 mL × 3). The organic mixture was dried with MgSO4, concentrated in vacuo, and separated with flash column chromatography to obtain 2a (92%).
4.4.5. Scale-Up Experiments
1a (10.0 mmol, 1.4850 g), CuBr2 (20.0 mmol, 4.4670 g), TMSCF3 (20.0 mmol, 2.8440 g), and H2O (10.0 mmol, 0.1800 g) were added to a sealed tube (100 mL). DMF (30.0 mL) was added, and the mixture was stirred vigorously at 80 °C for 24 h. After completion, the reaction mixture was added into DCM (300 mL) and washed with NaCl solution (500 mL × 3). The organic mixture was dried with MgSO4, concentrated in vacuo, and separated with flash column chromatography to obtain 2a (63%). When the operation was changed by slowly adding CuBr, the yield of 2a increased to 92%.
4.5. General Procedure for Rectification
The α-Acyloxylation reaction of substrate 1a was carried out on a gram scale (20.2 g) under the optimized reaction conditions with TMSCF3 (28.4 g). After completion, the reaction mixture was added into a rectification tower, and then TMSCF3 was recovered (Figure S3).
4.6. Compounds Characterization
4.6.1. 1-Oxo-1-(p-tolyl)propan-2-yl Formate (2a)
According to the general procedure, 1a (1.0 mmol, 148.5 mg), CuBr2 (2.0 mmol, 446.7 mg), TMSCF3 (2.0 mmol, 284.4 mg), and H2O (1.0 mmol, 18.0 mg) were added to DMF (3.0 mL) with a reaction time of 24 h to produce 2a (183.6 mg, 95% yield) which was isolated as a white solid powder (m.p. = 74–75 °C) after purification through silica gel chromatography (petroleum ether:ethyl acetate = 50:1). 1H NMR (500 MHz, CDCl3) δ 8.12 (s, 1H), 7.85 (d, J = 7.8 Hz, 2H), 7.29 (d, J = 7.9 Hz, 2H), 6.10 (q, J = 7.0 Hz, 1H), 2.42 (s, 3H), 1.57 (d, J = 7.0 Hz, 3H). 13C NMR (126 MHz, CDCl3) δ 195.3, 160.0, 144.7, 131.6, 129.6, 129.0, 70.6, 21.7, 17.2. IR (KBr): 2987, 2961, 2360, 2331, 1719, 1680, 1605, 1568, 1447, 1177, 1129 cm−1. HRMS-ESI (m/z): [M + H]+ calcd for C11H12O3, 193.0865; found: 193.0868.
4.6.2. 1-(4-Ethylphenyl)-1-oxopropan-2-yl Formate (2b)
According to the general procedure, 1b (1.0 mmol, 162.1 mg), CuBr2 (2.0 mmol, 446.7 mg), TMSCF3 (2.0 mmol, 284.4 mg), and H2O (1.0 mmol, 18.0 mg) were added to DMF (3.0 mL) to produce 2b (165.4 mg, 80% yield), which was isolated as a colorless oil after purification through silica gel chromatography (petroleum ether:ethyl acetate = 90:1). 1H NMR (500 MHz, CDCl3) δ 8.12 (s, 1H), 7.88 (d, J = 8.3 Hz, 2H), 7.31 (d, J = 8.1 Hz, 2H), 6.11 (q, J = 7.0 Hz, 1H), 2.71 (q, J = 7.6 Hz, 2H), 1.57 (d, J = 7.0 Hz, 3H), 1.26 (t, J = 7.6 Hz, 3H). 13C NMR (126 MHz, CDCl3) δ 195.4, 160.1, 151.0, 131.8, 128.8, 128.4, 71.0, 29.0, 17.4, 15.1. IR (KBr): 3480, 3033, 2969, 2359, 1728, 1694, 1606, 1175, 971 cm−1. HRMS-ESI (m/z): [M + H]+ calcd for C12H14O3, 207.1021; found: 207.1024.
4.6.3. 1-(4-Bromophenyl)-1-oxopropan-2-yl Formate (2c)
According to the general procedure, 1c (1.0 mmol, 212.0 mg), CuBr2 (2.0 mmol, 446.7 mg), TMSCF3 (2.0 mmol, 284.4 mg), and H2O (1.0 mmol, 18.0 mg) were added to DMF (3.0 mL) to produce 2c (215.1 mg, 84% yield), which was isolated as a colorless oil after purification through silica gel chromatography (petroleum ether:ethyl acetate = 130:1). 1H NMR (500 MHz, CDCl3) δ 8.12 (s, 1H), 7.89 (d, J = 8.6 Hz, 2H), 7.47 (d, J = 8.6 Hz, 2H), 6.04 (q, J = 7.0 Hz, 1H), 1.57 (d, J = 7.0 Hz, 3H). 13C NMR (126 MHz, CDCl3) δ 194.8, 160.0, 140.3, 132.4, 129.9, 129.2, 70.9, 17.1. IR (KBr): 3486, 3091, 2988, 2937, 1725, 1696, 1585, 1567, 1446, 1170 cm−1. The NMR data were in agreement with the reported results [72].
4.6.4. 1-(4-Chlorophenyl)-1-oxopropan-2-yl Formate (2d)
According to the general procedure, 1d (1.0 mmol, 168.0 mg), CuBr2 (2.0 mmol, 446.7 mg), TMSCF3 (2.0 mmol, 284.4 mg), and H2O (1.0 mmol, 18.0 mg) were added to DMF (3.0 mL) to produce 2d (175.0 mg, 83% yield), which was isolated as a colorless oil after purification through silica gel chromatography (petroleum ether:ethyl acetate = 160:1). 1H NMR (500 MHz, CDCl3) δ 8.12 (s, 1H), 7.89 (d, J = 8.6 Hz, 2H), 7.47 (d, J = 8.6 Hz, 2H), 6.04 (q, J = 7.0 Hz, 1H), 1.57 (d, J = 7.0 Hz, 3H). 13C NMR (126 MHz, CDCl3) δ 193.9, 159.0, 131.8, 131.2, 128.9, 128.0, 69.8, 16.1. IR (KBr): 3093, 3067, 2992, 2939, 2362, 1723, 1696, 1588, 1165, 1091 cm−1. HRMS-ESI (m/z): [M + H]+ calcd for C10H9ClO3, 213.0318; found: 213.0318.
4.6.5. 1-(4-Fluorophenyl)-1-oxopropan-2-yl Formate (2e)
According to the general procedure, 1e (1.0 mmol,152.1 mg), CuBr2 (2.0 mmol, 446.7 mg), TMSCF3 (2.0 mmol, 284.4 mg), and H2O (1.0 mmol, 18.0 mg) were added to DMF (3.0 mL) to produce 2e (154.3 mg, 79% yield), which was isolated as a colorless oil after purification through silica gel chromatography (petroleum ether:ethyl acetate = 100:1). 1H NMR (500 MHz, CDCl3) δ 8.12 (s, 1H), 8.05–7.95 (m, 2H), 7.17 (t, J = 8.6 Hz, 2H), 6.06 (q, J = 7.0 Hz, 1H), 1.58 (d, J = 7.0 Hz, 3H). 13C NMR (126 MHz, CDCl3) δ 194.3, 166.1(d,1J(C,F) = 252.0 Hz), 160.0, 131.2 (d, 3J(C,F) = 12.6 Hz), 130.5 (d, 4J(C,F) = 3.0 Hz), 116.1 (d, 2J(C,F) = 25.2 Hz), 70.9, 17.2. IR (KBr): 3077, 2992, 2733, 2457, 1727, 1599, 1508, 1230, 1160, 971 cm−1. HRMS-ESI (m/z): [M + H]+ calcd for C10H9FO3, 197.0614; found: 197.0618.
4.6.6. 1-(4-(Trifluoromethyl)phenyl)-1-oxopropan-2-yl Formate (2f)
According to the general procedure, 1f (1.0 mmol, 202.1 mg), CuBr2 (2.0 mmol, 446.7 mg), TMSCF3 (2.0 mmol, 284.4 mg), and H2O (1.0 mmol, 18.0 mg) were added to DMF (3.0 mL) to produce 2f (190.5 mg, 77% yield), which was isolated as a colorless oil after purification through silica gel chromatography (petroleum ether:ethyl acetate = 100:1). 1H NMR (500 MHz, CDCl3) δ 8.12 (s, 1H), 8.05 (d, J = 8.1 Hz, 2H), 7.77 (d, J = 8.1 Hz, 2H), 6.07 (q, J = 7.0 Hz, 1H), 1.59 (d, J = 7.0 Hz, 3H). 13C NMR (126 MHz, CDCl3) δ 195.2, 160.0, 137.0, 135.0 (q, 2J(C,F) = 25.2 Hz), 128.8, 125.9 (q, 3J(C,F) = 12.6 Hz), 123.4 (q, 1J(C,F) = 277.2 Hz), 71.1, 16.9. IR (KBr): 3503, 2994, 2943, 2360, 1730, 1619, 1580, 1412, 1325, 1169 cm−1. HRMS-ESI (m/z): [M + H]+ calcd for C11H9F3O3, 247.0582; found: 247.0584.
4.6.7. 1-(4-Hydroxyphenyl)-1-oxopropan-2-yl Formate (2g)
According to the general procedure, 1g (1.0 mmol, 150.2 mg), CuBr2 (2.0 mmol, 446.7 mg), TMSCF3 (2.0 mmol, 284.4 mg), and H2O (1.0 mmol, 18.0 mg) were added to DMF (3.0 mL) to produce 2g (136.5 mg, 70% yield), which was isolated as a white solid powder (m.p. = 66–67 °C) after purification through silica gel chromatography (petroleum ether:ethyl acetate = 190:1). 1H NMR (400 MHz, CDCl3) δ 8.15 (s, 1H), 8.03 (s, 1H), 7.75 (d, J = 8.8 Hz, 2H), 6.80 (d, J = 8.8 Hz, 2H), 5.99 (q, J = 7.0 Hz, 1H), 1.48 (d, J = 7.1 Hz, 3H). 13C NMR (101 MHz, CDCl3) δ 194.6, 161.1, 159.8, 130.4, 124.8, 114.9, 70.1, 16.6. IR (KBr): 3336, 2917, 2360, 2342, 1683, 1606, 1203, 1017, 853 cm−1. HRMS-ESI (m/z): [M + H]+ calcd for C10H10O4, 195.0657; found: 195.0655.
4.6.8. 1-Oxo-1-phenylbutan-2-yl Formate (2h)
According to the general procedure, 1h (1.0 mmol, 148.1 mg), CuBr2 (2.0 mmol, 446.7 mg), TMSCF3 (2.0 mmol, 284.4 mg), and H2O (1.0 mmol, 18.0 mg) were added to DMF (3.0 mL) to produce 2h (147.5 mg, 77% yield), which was isolated as a colorless oil after purification through silica gel chromatography (petroleum ether:ethyl acetate = 60:1). 1H NMR (500 MHz, CDCl3) δ 8.17 (s, 1H), 7.94 (d, J = 7.3 Hz, 2H), 7.60 (t, J = 7.4 Hz, 1H), 7.48 (t, J = 7.7 Hz, 2H), 5.98 (dd, J = 7.9, 4.2 Hz, 1H), 2.07–1.84 (m, 2H), 1.03 (t, J = 7.4 Hz, 3H). 13C NMR (126 MHz, CDCl3) δ 195.5, 160.3, 134.6, 133.7, 128.9, 128.4, 75.9, 24.8, 9.7. IR (KBr): 3064, 2975, 2939, 2359, 2342, 1730, 1697, 1597, 1580, 1449, 1223, 1174 cm−1. HRMS-ESI (m/z): [M + H]+ calcd for C11H12O3, 193.0865; found: 193.0865.
4.6.9. 1-Oxo-1-phenylpentan-2-yl Formate (2i)
According to the general procedure, 1i (1.0 mmol, 162.1 mg), CuBr2 (2.0 mmol, 446.7 mg), TMSCF3 (2.0 mmol, 284.4 mg), and H2O (1.0 mmol, 18.0 mg) were added to DMF (3.0 mL) to produce 2i (156.4 mg, 76% yield), which was isolated as a colorless oil after purification through silica gel chromatography (petroleum ether:ethyl acetate = 65:1). 1H NMR (500 MHz, CDCl3) δ 8.16 (s, 1H), 7.95 (d, J = 7.3 Hz, 2H), 7.60 (t, J = 7.4 Hz, 1H), 7.49 (t, J = 7.7 Hz, 2H), 6.03 (dd, J = 7.5, 5.3 Hz, 1H), 1.91–1.84 (m, 2H), 1.57–1.43 (m, 2H), 0.95 (t, J = 7.4 Hz, 3H). 13C NMR (126 MHz, CDCl3) δ 195.7, 160.3, 134.5, 133.7, 128.9, 128.4, 74.7, 33.4, 18.7, 13.6. IR (KBr): 3063, 2963, 2936, 2341, 1730, 1696, 1597, 1580, 1449, 1173 cm−1. HRMS-ESI (m/z): [M + H]+ calcd for C12H14O3, 207.1021; found: 207.1022.
4.6.10. 3-Methyl-1-oxo-1-phenylbutan-2-yl Formate (2j)
According to the general procedure, 1j (1.0 mmol, 162.1 mg), CuBr2 (2.0 mmol, 446.7 mg), TMSCF3 (2.0 mmol, 284.4 mg), and H2O (1.0 mmol, 18.0 mg) were added to DMF (3.0 mL) to produce 2j (136.0 mg, 66% yield), which was isolated as a colorless oil after purification through silica gel chromatography (petroleum ether:ethyl acetate = 90:1). 1H NMR (500 MHz, CDCl3) δ 8.20 (s, 1H), 7.95 (d, J = 7.4 Hz, 2H), 7.60 (t, J = 7.4 Hz, 1H), 7.49 (t, J = 7.7 Hz, 2H), 5.90 (d, J = 4.3 Hz, 1H), 2.39–2.29 (m, 1H), 1.07 (d, J = 6.8 Hz, 3H), 0.94 (d, J = 6.8 Hz, 3H). 13C NMR (126 MHz, CDCl3) δ 195.7, 160.5, 135.3, 133.6, 128.9, 128.4, 78.9, 30.2, 19.5, 16.7. IR (KBr): 2963, 2360, 2341, 1730, 1696, 1260, 1094, 1019, 799 cm−1. HRMS-ESI (m/z): [M + H]+ calcd for C12H14O3, 207.1021; found: 207.1023.
4.6.11. 1-Oxo-1-phenylhexan-2-yl Formate (2k)
According to the general procedure, 1k (1.0 mmol, 176.1 mg), CuBr2 (2.0 mmol, 446.7 mg), TMSCF3 (2.0 mmol, 284.4 mg), and H2O (1.0 mmol, 18.0 mg) were added to DMF (3.0 mL) to produce 2k (165.8 mg, 75% yield), which was isolated as a colorless oil after purification through silica gel chromatography (petroleum ether:ethyl acetate = 85:1). 1H NMR (500 MHz, CDCl3) δ 8.16 (s, 1H), 7.95 (d, J = 7.8 Hz, 2H), 7.60 (t, J = 7.4 Hz, 1H), 7.49 (t, J = 7.6 Hz, 2H), 6.01 (dd, J = 8.6, 4.1 Hz, 1H), 1.97–1.79 (m, 2H), 1.47–1.42 (m, 2H), 1.40–1.33 (m, 2H), 0.89 (t, J = 7.2 Hz, 3H). 13C NMR (126 MHz, CDCl3) δ 195.6, 160.3, 134.5, 133.7, 128.8, 128.4, 74.8, 31.1, 27.4, 22.2, 13.8. IR (KBr): 3064, 2959, 2932, 2872, 1728, 1697, 1598, 1581, 1449, 1171 cm−1. HRMS-ESI (m/z): [M + H]+ calcd for C13H16O3, 221.1178; found: 221.1176.
4.6.12. 2-Methyl-1-oxo-1-phenylpropan-2-yl Formate (2l)
According to the general procedure, 1l (1.0 mmol, 148.1 mg), CuBr2 (2.0 mmol, 446.7 mg), TMSCF3 (2.0 mmol, 284.4 mg), and H2O (1.0 mmol, 18.0 mg) were added to DMF (3.0 mL) to produce 2l (134.6 mg, 70% yield), which was isolated as a colorless oil after purification through silica gel chromatography (petroleum ether:ethyl acetate = 110:1). 1H NMR (500 MHz, CDCl3) δ 8.01 (d, J = 7.1 Hz, 2H), 7.86 (s, 1H), 7.51 (t, J = 7.4 Hz, 1H), 7.41 (t, J = 7.8 Hz, 2H), 1.76 (s, 6H). 13C NMR (126 MHz, CDCl3) δ 198.5, 160.0, 134.1, 132.7, 128.8, 128.4, 84.9, 25.4. IR (KBr): 3063, 2995, 2943, 2353, 1970, 1722, 1685, 1598, 1467, 1385, 1280, 1137, 713 cm−1. HRMS-ESI (m/z): [M + H]+ calcd for C11H12O3, 193.0865; found: 193.0864.
4.6.13. 2-Oxo-1,2-diphenylethyl Formate (2m)
According to the general procedure, 1m (1.0 mmol, 196.1 mg), CuBr2 (2.0 mmol, 446.7 mg), TMSCF3 (2.0 mmol, 284.4 mg), and H2O (1.0 mmol, 18.0 mg) were added to DMF (3.0 mL) to produce 2m (170.9 mg, 71% yield), which was isolated as a colorless oil after purification through silica gel chromatography (petroleum ether:ethyl acetate = 95:1). 1H NMR (500 MHz, CDCl3) δ 8.21 (s, 1H), 7.93 (d, J = 7.3 Hz, 2H), 7.52–7.45 (m, 3H), 7.42–7.33 (m, 5H), 7.00 (s, 1H). 13C NMR (126 MHz, CDCl3) δ 192.7, 160.0, 134.3, 133.7, 133.1, 129. 6, 129.2, 128.8, 128.7, 77.1. IR (KBr): 2917, 2849, 2360, 1733, 1697, 1472, 1261, 1151, 803 cm−1. The NMR data were in agreement with the reported results [73].
4.6.14. 2-Oxo-2-(o-tolyl)ethyl Formate (2n)
According to the general procedure, 1n (1.0 mmol, 134.1 mg), CuBr2 (2.0 mmol, 446.7 mg), TMSCF3 (2.0 mmol, 284.4 mg), and H2O (1.0 mmol, 18.0 mg) were added to DMF (3.0 mL) to produce 2n (89.7 mg, 50% yield), which was isolated as a colorless oil after purification through silica gel chromatography (petroleum ether:ethyl acetate = 100:1). 1H NMR (400 MHz, CDCl3) δ 8.16 (s, 1H), 7.57–7.50 (m, 1H), 7.41–7.32 (m, 1H), 7.23 (d, J = 7.5 Hz, 2H), 5.21 (s, 2H), 2.45 (s, 3H). 13C NMR (101 MHz, CDCl3) δ 193.4, 159.0, 138.2, 133.1, 131.3, 127.0, 124.7, 65.5, 28.7, 20.1. IR (KBr): 2934, 2361, 2341, 1733, 1699, 1457, 1161, 934, 823 cm−1. HRMS-ESI (m/z): [M + H]+ calcd for C10H10O3, 179.0708; found: 179.0708.
4.6.15. 2-Oxo-2-(m-tolyl)ethyl Formate (2o)
According to the general procedure, 1o (1.0 mmol, 134.1 mg), CuBr2 (2.0 mmol, 446.7 mg), TMSCF3 (2.0 mmol, 284.4 mg), and H2O (1.0 mmol, 18.0 mg) were added to DMF (3.0 mL) to produce 2o (93.1 mg, 52% yield), which was isolated as a colorless oil after purification through silica gel chromatography (petroleum ether:ethyl acetate = 90:1). 1H NMR (400 MHz, CDCl3) δ 8.15 (s, 1H), 7.63 (s, 1H), 7.61 (d, J = 8.0 Hz, 1H), 7.33 (d, J = 8.0 Hz, 1H), 7.28 (d, J = 8.0 Hz, 1H), 5.33 (s, 2H), 2.31 (s, 3H). 13C NMR (101 MHz, CDCl3) δ 190.3, 159.0, 137.8, 133.8, 132.9, 127.7, 127.2, 123.9, 64.4, 20.3. IR (KBr): 3439, 3005, 2363, 1726, 1694, 1607, 1427, 1190, 795 cm−1. HRMS-ESI (m/z): [M + H]+ calcd for C10H10O3, 179.0708; found: 179.0708.
4.6.16. 2-Oxo-2-(p-tolyl)ethyl Formate (2p)
According to the general procedure, 1p (1.0 mmol, 134.1 mg), CuBr2 (2.0 mmol, 446.7 mg), TMSCF3 (2.0 mmol, 284.4 mg), and H2O (1.0 mmol, 18.0 mg) were added to DMF (3.0 mL) to produce 2p (98.1 mg, 55% yield), which was isolated as a colorless oil after purification through silica gel chromatography (petroleum ether:ethyl acetate = 110:1). 1H NMR (400 MHz, CDCl3) δ 8.18 (s, 1H), 7.75 (d, J = 8.3 Hz, 2H), 7.22 (d, J = 8.0 Hz, 2H), 5.35 (s, 2H), 2.36 (s, 3H). 13C NMR (101 MHz, CDCl3) δ 189.6, 159.1, 144.1, 130.4, 128.6, 126.9, 64.2, 20.8. IR (KBr): 3440, 2918, 2360, 1727, 1607, 1422, 1282, 1158, 815 cm−1. The NMR data were in agreement with the reported results [74].
4.6.17. 1-(5-Methylfuran-2-yl)-1-oxopropan-2-yl Formate (2q)
According to the general procedure, 1q (1.0 mmol, 138.1 mg), CuBr2 (2.0 mmol, 446.7 mg), TMSCF3 (2.0 mmol, 284.4 mg), and H2O (1.0 mmol, 18.0 mg) were added to DMF (3.0 mL) to produce 2q (119.4 mg, 66% yield), which was isolated as a colorless oil after purification through silica gel chromatography (petroleum ether:ethyl acetate = 100:1).1H NMR (500 MHz, CDCl3) δ 8.12 (s, 1H), 7.25 (d, J = 3.6 Hz, 1H), 6.22 (d, J = 3.5 Hz, 1H), 5.86 (q, J = 6.9 Hz, 1H), 2.42 (s, 3H), 1.58 (d, J = 7.0 Hz, 3H). 13C NMR (126 MHz, CDCl3) δ 183.8, 160.0, 158.8, 148.9, 120.9, 109.4, 71.0, 17.4, 14.1. IR (KBr): 3734, 2939, 2360, 2341, 1716, 1669, 1514, 1209, 1168, 1129 cm−1. HRMS-ESI (m/z): [M + H]+ calcd for C9H10O4, 183.0657; found: 183.0655.
4.6.18. 1-Oxo-1-(thiophen-2-yl)propan-2-yl Formate (2r)
According to the general procedure, 1r (1.0 mmol, 140.3 mg), CuBr2 (2.0 mmol, 446.7 mg), TMSCF3 (2.0 mmol, 284.4 mg), and H2O (1.0 mmol, 18.0 mg) were added to DMF (3.0 mL) to produce 2r (121.1 mg, 66% yield), which was isolated as a colorless oil after purification through silica gel chromatography (petroleum ether:ethyl acetate = 110:1). 1H NMR (500 MHz, CDCl3) δ 8.13 (s, 1H), 7.82 (d, J = 3.0 Hz, 1H), 7.72 (d, J = 4.9 Hz, 1H), 7.19–7.16 (m, 1H), 5.90 (q, J = 6.9 Hz, 1H), 1.63 (d, J = 7.1 Hz, 3H). 13C NMR (126 MHz, CDCl3) δ 188.7, 159.9, 140.3, 134.8, 132.8, 128.3, 71.8, 17.8. IR (KBr): 3101, 2992, 2359, 1726, 1675, 1517, 1414, 1242, 1175 cm−1. HRMS-ESI (m/z): [M + H]+ calcd for C8H8O3S, 185.0272; found: 185.0273.
4.6.19. 1-Oxo-2,3-dihydro-1H-inden-2-yl Formate (2s)
According to the general procedure, 1s (1.0 mmol, 132.1 mg), CuBr2 (2.0 mmol, 446.7 mg), TMSCF3 (2.0 mmol, 284.4 mg), and H2O (1.0 mmol, 18.0 mg) were added to DMF (3.0 mL) to produce 2s (97.2 mg, 55% yield), which was isolated as a colorless oil after purification through silica gel chromatography (petroleum ether:ethyl acetate = 150:1). 1H NMR (400 MHz, CDCl3) δ 8.15 (s, 1H), 7.72 (d, J = 7.7 Hz, 1H), 7.58 (t, J = 7.3 Hz, 1H), 7.42–7.32 (m, 2H), 5.51–5.43 (m, 1H), 3.62 (dd, J = 17.0, 8.1 Hz, 1H), 3.01 (dd, J = 17.0, 4.9 Hz, 1H). 13C NMR (101 MHz, CDCl3) δ 198.7, 159.1, 149.2, 135.1, 133.2, 127.3, 125.6, 123.5, 72.4, 32.2. IR (KBr): 3431, 2931, 2360, 1715, 1608, 1466, 1155, 997, 885 cm−1. The NMR data were in agreement with the reported results [75].
4.6.20. 1-Oxo-1,2,3,4-tetrahydronaphthalen-2-yl Formate (2t)
According to the general procedure, 1t (1.0 mmol, 146.1 mg), CuBr2 (2.0 mmol, 446.7 mg), TMSCF3 (2.0 mmol, 284.4 mg), and H2O (1.0 mmol, 18.0 mg) were added to DMF (3.0 mL) to produce 2t (95.2 mg, 50% yield), which was isolated as a colorless oil after purification through silica gel chromatography (petroleum ether:ethyl acetate = 110:1). 1H NMR (400 MHz, CDCl3) δ 8.18 (s, 1H), 7.94 (d, J = 7.8 Hz, 1H), 7.43 (t, J = 7.5 Hz, 1H), 7.28–7.17 (m, 2H), 5.56 (dd, J = 13.4, 5.2 Hz, 1H), 3.20–2.97 (m, 2H), 2.40–2.16 (m, 2H). 13C NMR (101 MHz, CDCl3) δ 191.1, 158.9, 142.0, 133.1, 130.3, 127.7, 126.8, 126.0, 73.1, 28.0, 26.8. The NMR data were in agreement with the reported results [75].
4.6.21. 1-Oxo-1-(p-tolyl)propan-2-yl Acetate (3a)
According to the general procedure, 1a (1.0 mmol, 148.5 mg), CuBr2 (2.0 mmol, 446.7 mg), TMSCF3 (2.0 mmol, 284.4 mg), and H2O (1.0 mmol, 18.0 mg) were added to DMA (3.0 mL) to produce 3a (182.0 mg, 88% yield), which was isolated as a colorless oil after purification through silica gel chromatography (petroleum ether:ethyl acetate = 65:1). 1H NMR (500 MHz, CDCl3) δ 7.84 (d, J = 8.2 Hz, 2H), 7.27 (d, J = 8.0 Hz, 2H), 5.95 (q, J = 7.0 Hz, 1H), 2.41 (s, 3H), 2.14 (s, 3H), 1.52 (d, J = 7.1 Hz, 3H).13C NMR (126 MHz, CDCl3) δ 196.4, 170.4, 144.5, 131.8, 129.5, 128.6, 71.4, 21.7, 20.7, 17.3. The NMR data were in agreement with the reported results [76].
4.6.22. 1-(4-Bromophenyl)-1-oxopropan-2-yl Benzoate (3c)
According to the general procedure, 1c (1.0 mmol, 212.0 mg), CuBr2 (2.0 mmol, 446.7 mg), TMSCF3 (2.0 mmol, 284.4 mg), and H2O (1.0 mmol, 18.0 mg) were added to DMA (3.0 mL) to produce 3c (215.2 mg, 80% yield), which was isolated as a colorless oil after purification through silica gel chromatography (petroleum ether:ethyl acetate = 160:1). 1H NMR (500 MHz, CDCl3) δ 7.80 (d, J = 8.6 Hz, 2H), 7.62 (d, J = 8.6 Hz, 2H), 5.88 (q, J = 7.0 Hz, 1H), 2.14 (s, 3H), 1.51 (d, J = 7.0 Hz, 3H). 13C NMR (126 MHz, CDCl3) δ 196.0, 170.4, 133.2, 132.1, 129.9, 128.8, 71.3, 20.7, 17.0. The NMR data were in agreement with the reported results [76].
4.6.23. 1-Oxo-1-phenylpentan-2-yl Acetate (3i)
According to the general procedure, 1i (1.0 mmol, 162.1 mg), CuBr2 (2.0 mmol, 446.7 mg), TMSCF3 (2.0 mmol, 284.4 mg), and H2O (1.0 mmol, 18.0 mg) were added to DMA (3.0 mL) to produce 3i (164.5 mg, 75% yield), which was isolated as a colorless oil after purification through silica gel chromatography (petroleum ether:ethyl acetate = 35:1). 1H NMR (500 MHz, CDCl3) δ 7.94 (d, J = 7.2 Hz, 2H), 7.59 (t, J = 7.4 Hz, 1H), 7.48 (t, J = 7.8 Hz, 2H), 5.88 (dd, J = 7.7, 5.1 Hz, 1H), 2.16 (s, 3H), 1.89–1.79 (m, 2H), 1.55–1.39 (m, 2H), 0.95 (t, J = 7.4 Hz, 3H). 13C NMR (126 MHz, CDCl3) δ 196.7, 170.7, 134.9, 133.5, 128.8, 128.4, 75.2, 33.4, 20.7, 18.9, 13.7. The NMR data were in agreement with the reported results [76].
4.6.24. 1-Oxo-1-phenylhexan-2-yl Acetate (3k)
According to the general procedure, 1k (1.0 mmol, 176.1 mg), CuBr2 (2.0 mmol, 446.7 mg), TMSCF3 (2.0 mmol, 284.4 mg), and H2O (1.0 mmol, 18.0 mg) were added to DMA (3.0 mL) to produce 3k (174.1 mg, 74% yield), which was isolated as a colorless oil after purification through silica gel chromatography (petroleum ether:ethyl acetate = 85:1). 1H NMR (500 MHz, CDCl3) δ 7.94 (d, J = 7.0 Hz, 2H), 7.59 (t, J = 7.4 Hz, 1H), 7.48 (t, J = 7.8 Hz, 2H), 5.86 (dd, J = 8.6, 4.2 Hz, 1H), 2.16 (s, 3H), 2.03–1.62 (m, 2H), 1.50–1.20 (m, 4H), 0.89 (t, J = 7.2 Hz, 3H). 13C NMR (126 MHz, CDCl3) δ 196.7, 170.7, 134.9, 133.5, 128.8, 128.4, 75.4, 31.1, 27.7, 22.3, 20.7, 13.8. IR (KBr): 2962, 2933, 2874, 2364, 1740, 1696, 1597, 1448, 1375, 1230, 697 cm−1. The NMR data were in agreement with the reported results [77].
4.6.25. 2-Oxo-1,2-diphenylethyl Acetate (3m)
According to the general procedure, 1m (1.0 mmol, 196.1 mg), CuBr2 (2.0 mmol, 446.7 mg), TMSCF3 (2.0 mmol, 284.4 mg), and H2O (1.0 mmol, 18.0 mg) were added to DMA (3.0 mL) to produce 3m (178.2 mg, 70% yield), which was isolated as a white solid powder (m.p. = 72–73 °C) after purification through silica gel chromatography (petroleum ether:ethyl acetate = 110:1). 1H NMR (500 MHz, CDCl3) δ 7.95–7.91 (m, 2H), 7.52–7.46 (m, 3H), 7.41–7.33 (m, 5H), 6.86 (s, 1H), 2.20 (s, 3H). 13C NMR (126 MHz, CDCl3) δ 193.8, 170.5, 134.7, 133.7, 133.5, 129.3, 129.2, 128.8, 128.7, 128.7, 77.7, 20.8. The NMR data were in agreement with the reported results [77].
4.6.26. 1-(5-Methylfuran-2-yl)-1-oxopropan-2-yl Acetate (3q)
According to the general procedure, 1q (1.0 mmol, 138.1 mg), CuBr2 (2.0 mmol, 446.7 mg), TMSCF3 (2.0 mmol, 284.4 mg), and H2O (1.0 mmol, 18.0 mg) were added to DMA (3.0 mL) to produce 3q (116.9 mg, 60% yield), which was isolated as a colorless oil after purification through silica gel chromatography (petroleum ether:ethyl acetate = 150:1). 1H NMR (500 MHz, CDCl3) δ 7.22 (d, J = 3.5 Hz, 1H), 6.19 (d, J = 3.4 Hz, 1H), 5.70 (q, J = 7.0 Hz, 1H), 2.41 (s, 3H), 2.14 (s, 3H), 1.53 (d, J = 7.0 Hz, 3H). 13C NMR (126 MHz, CDCl3) δ 184.8, 170.3, 158.5, 149.1, 120.6, 109.3, 71.4, 20.7, 17.3, 14.1. IR (KBr): 3122, 2992, 2360, 2341, 1742, 1682, 1515, 1372, 1238, 1040 cm−1. HRMS-ESI (m/z): [M + H]+ calcd for C10H12O4, 197.0814; found: 197.0812.
4.6.27. 1-Oxo-1-(thiophen-2-yl)propan-2-yl Acetate (3r)
According to the general procedure, 1r (1.0 mmol, 140.1 mg), CuBr2 (2.0 mmol, 446.7 mg), TMSCF3 (2.0 mmol, 284.4 mg), and H2O (1.0 mmol, 18.0 mg) were added to DMA (3.0 mL) to produce 3r (119.6 mg, 60% yield), which was isolated as a colorless oil after purification through silica gel chromatography (petroleum ether:ethyl acetate = 100:1). 1H NMR (500 MHz, CDCl3) δ 7.81 (d, J = 4.6 Hz, 1H), 7.70 (d, J = 5.7 Hz, 1H), 7.19–7.13 (m, 1H), 5.74 (q, J = 7.0 Hz, 1H), 2.16 (s, 3H), 1.58 (d, J = 7.1 Hz, 3H). 13C NMR (126 MHz, CDCl3) δ 189.7, 170.3, 140.5, 134.4, 132.6, 128.2, 72.4, 20.8, 17.7. IR (KBr): 3091, 2964, 2928, 2328, 1741, 1669, 1517, 1448, 1413, 1235, 1080, 798 cm−1. The NMR data were in agreement with the reported results [76].
4.6.28. 2-Oxo-2-phenylethyl Acetate (3u)
According to the general procedure, 1u (1.0 mmol, 120.2 mg), CuBr2 (2.0 mmol, 446.7 mg), TMSCF3 (2.0 mmol, 284.4 mg), and H2O (1.0 mmol, 18.0 mg) were added to DMA (3.0 mL) to produce 3u (137.6 mg, 77% yield), which was isolated as a colorless oil after purification through silica gel chromatography (petroleum ether:ethyl acetate = 90:1). 1H NMR (500 MHz, CDCl3) δ 7.91 (d, J = 7.3 Hz, 2H), 7.60 (t, J = 7.4 Hz, 1H), 7.48 (t, J = 7.7 Hz, 2H), 5.34 (s, 2H), 2.22 (s, 3H). 13C NMR (126 MHz, CDCl3) δ 192.2, 170.4, 134.2, 133.9, 128.9, 127.8, 66.0, 20.5. The NMR data were in agreement with the reported results [78].
4.6.29. 1-Oxo-1-(p-tolyl)propan-2-yl Benzoate (4a)
According to the general procedure, the combination of 1a (1.0 mmol, 148.1 mg), CuBr2 (2.0 mmol, 446.7 mg), TMSCF3 (2.0 mmol, 284.4 mg), H2O (1.0 mmol, 18.0 mg), and N,N-dimethylbenzamide (3 g) produced 4a (185.5 mg, 70% yield), which was isolated as a white solid powder (m.p. = 67–68 °C) after purification through silica gel chromatography (petroleum ether:ethyl acetate = 190:1). 1H NMR (400 MHz, CDCl3) δ 7.98 (d, J = 7.0 Hz, 2H), 7.79 (d, J = 8.3 Hz, 2H), 7.43 (t, J = 7.5 Hz, 1H), 7.30 (t, J = 7.8 Hz, 2H), 7.14 (d, J = 8.0 Hz, 2H), 6.07 (q, J = 7.0 Hz, 1H), 2.26 (s, 3H), 1.54 (d, J = 7.0 Hz, 3H). 13C NMR (101 MHz, CDCl3) δ 195.1, 164.9, 143.4, 132.2, 130.8, 128.8, 128.5, 128.4, 127.6, 127.3, 70.8, 20.6, 16.2. The NMR data were in agreement with the reported results [79].
Crystal Data for C17H16O3 (M =268.30 g/mol): monoclinic, space group P21/c (no. 14), a = 20.4570(9) Å, b = 9.1734(4) Å, c = 16.0710(7) Å, β = 109.656(5)°, V = 2840.1(2) Å3, Z = 8, T = 123.15 K, μ (MoKα) = 0.085 mm−1, Dcalc = 1.255 g/cm3, 29584 reflections measured (4.228° ≤ 2Θ ≤ 52.744°), with 5809 unique (Rint = 0.0506, Rsigma = 0.0337) which were used in all of the calculations. The final R1 was 0.0443 (I > 2σ(I)) and the wR2 was 0.1143 (all data).
4.6.30. 2-Oxopentan-3-yl Benzoate (4v)
According to the general procedure, the combination of 1v (1.0 mmol, 86.1 mg), CuBr2 (2.0 mmol, 446.7 mg), TMSCF3 (2.0 mmol, 284.4 mg), H2O (1.0 mmol, 18.0 mg), and N,N-dimethylbenzamide (3 g) produced 4v (113.0 mg, 55% yield), which was isolated as a colorless oil after purification through silica gel chromatography (petroleum ether:ethyl acetate = 200:1). 1H NMR (400 MHz, CDCl3) δ 8.02 (d, J = 7.0 Hz, 2H), 7.52 (t, J = 7.5 Hz, 1H), 7.39 (t, J = 7.7 Hz, 2H), 5.11 (dd, J = 7.7, 4.8 Hz, 1H), 2.14 (s, 3H), 1.99–1.78 (m, 2H), 0.99 (t, J = 7.4 Hz, 3H). 13C NMR (101 MHz, CDCl3) δ 204.5, 165.1, 132.4, 128.7, 128.4, 127.5, 79.1, 25.3, 22.9, 8.6. IR (KBr): 3065, 2973, 2361, 1717, 1602, 1452, 1271, 1177, 1110, 711 cm−1. HRMS-ESI (m/z): [M + H]+ calcd for C12H14O3, 207.1021; found: 207.1022.
4.6.31. 2-Oxohexan-3-yl Benzoate (4w)
According to the general procedure, the combination of 1w (1.0 mmol, 100.1 mg), CuBr2 (2.0 mmol, 446.7 mg), TMSCF3 (2.0 mmol, 284.4 mg), H2O (1.0 mmol, 18.0 mg), and N,N-dimethylbenzamide (3 g) produced 4w (102.8 mg, 50% yield) which was isolated as a colorless oil after purification through silica gel chromatography (petroleum ether:ethyl acetate = 200:1).1H NMR (400 MHz, CDCl3) δ 7.99 (d, J = 7.1 Hz, 2H), 7.48 (t, J = 7.4 Hz, 1H), 7.36 (t, J = 7.7 Hz, 2H), 5.14 (t, J = 6.4 Hz, 1H), 2.11 (s, 3H), 1.82–1.73 (m, 2H), 1.48–1.35 (m, 2H), 0.88 (t, J = 7.4 Hz, 3H). 13C NMR (101 MHz, CDCl3) δ 204.5, 165.0, 132.4, 128.7, 128.4, 127.5, 78.0, 31.5, 25.1, 17.6, 12.7. IR (KBr): 2962, 2875, 2361, 1719, 1602, 1452, 1277, 1113, 1071, 1027, 713 cm−1. HRMS-ESI (m/z): [M + H]+ calcd for C13H16O3, 221.1178; found: 221.1176.
4.6.32. 1-Oxo-1-(p-tolyl)propan-2-yl Propionate (5a)
According to the general procedure, the combination of 1a (1.0 mmol, 148.5 mg), CuBr2 (2.0 mmol, 446.7 mg), TMSCF3 (2.0 mmol, 284.4 mg), and H2O (1.0 mmol, 18.0 mg) N,N-dimethylpropionamide (3.0 mL) produced 5a (175.7 mg, 80% yield), which was isolated as a colorless oil after purification through silica gel chromatography (petroleum ether:ethyl acetate = 50:1). 1H NMR (400 MHz, CDCl3) δ 7.75 (d, J = 8.2 Hz, 2H), 7.17 (d, J = 8.0 Hz, 2H), 5.87 (q, J = 7.0 Hz, 1H), 2.38–2.33 (m, 2H), 2.31 (s, 3H), 1.42 (d, J = 7.1 Hz, 3H), 1.06 (t, J = 7.6 Hz, 3H). 13C NMR (101 MHz, CDCl3) δ 195.5, 172.8, 143.4, 130.8, 128.4, 127.5, 70.1, 26.3, 20.6, 16.2, 7.9. IR (KBr): 3034, 2985, 2940, 2359, 2330, 1738, 1694, 1606, 1572, 1183 cm−1. HRMS-ESI (m/z): [M + H]+ calcd for C13H16O3, 221.1178; found: 221.1176.
Supplementary Materials
The following supporting information can be downloaded at https://www.mdpi.com/article/10.3390/molecules30051114/s1, Screening of reaction conditions, DFT calculation results, characterization data for the products. CCDC 2082077 contains the supplementary crystallographic data for this paper. The data can be obtained free of charge via www.ccdc.cam.ac.uk/data_request/cif (accessed on 20 January 2025), by emailing data_request@ccdc.cam.ac.uk, or by contacting The Cam-bridge Crystallographic Data Centre, 12 Union Road, Cam-bridge CB2 1EZ, UK; Fax: +44-1223-336033. References [80,81] are cited in the Supplementary Materials.
Author Contributions
Conceptualization, H.S. and B.C.; methodology, B.C.; investigation, L.-H.Y. and M.-Y.F.; resources, H.S.; data curation, H.S. and B.C.; writing—original draft preparation, H.S. and L.-H.Y.; writing—review and editing, H.S., L.-H.Y. and M.-Y.F.; supervision, H.S. and B.C.; project administration, H.S.; funding acquisition, H.S. and B.C. All authors have read and agreed to the published version of the manuscript.
Funding
This research was funded by the National Natural Science Foundation of China (22401072) and the Natural Science Foundation of Hebei Province (B2022208024, B2023208015).
Institutional Review Board Statement
Not applicable.
Informed Consent Statement
Not applicable.
Data Availability Statement
Data supporting the findings of this study are included in the Article and its Supplementary Information. Data are also available upon request.
Acknowledgments
We acknowledge Manganese Catalysis and Asymmetric Synthesis Laboratory (Bin Cui team) for the infrared detector, the melting point apparatus, the ultraviolet detector, the computational services, and the experimental site.
Conflicts of Interest
The authors declare no conflicts of interest.
References
- Tietze, L.F. Domino reactions in organic synthesis. Chem. Rev. 1996, 96, 115–136. [Google Scholar] [CrossRef] [PubMed]
- Nicolaou, K.C.; Edmonds, D.J.; Bulger, P.G. Cascade reactions in total synthesis. Angew. Chem. Int. Ed. 2006, 45, 7134–7186. [Google Scholar] [CrossRef] [PubMed]
- Grondal, C.; Jeanty, M.; Enders, D. Organocatalytic cascade reactions as a new tool in total synthesis. Nat. Chem. 2010, 2, 167–178. [Google Scholar] [CrossRef]
- Volla, C.M.R.; Atodiresei, I.; Rueping, M. Catalytic C–C bond-forming multi-component cascade or domino reactions: Pushing the boundaries of complexity in asymmetric organocatalysis. Chem. Rev. 2014, 114, 2390–2431. [Google Scholar] [CrossRef]
- Ardkhean, R.; Caputo, D.F.J.; Morrow, S.M.; Shi, H.; Xiong, Y.; Anderson, E.A. Cascade polycyclizations in natural product synthesis. Chem. Soc. Rev. 2016, 45, 1557–1569. [Google Scholar] [CrossRef] [PubMed]
- Chauhan, P.; Mahajan, S.; Enders, D. Achieving Molecular Complexity via Stereoselective Multiple Domino Reactions Promoted by a Secondary Amine Organocatalyst. Acc. Chem. Res. 2017, 50, 2809–2821. [Google Scholar] [CrossRef]
- Zhang, M.; Gong, Y.; Zhou, W.; Zhou, Y.; Liu, X.-L. Recent advances of chromone-based reactants in the catalytic asymmetric domino annulation reaction. Org. Chem. Front. 2021, 8, 3968–3989. [Google Scholar] [CrossRef]
- Okiko Miyata, T.M. Masafumi Ueda, Umpolung reactions at the α-carbon position of carbonyl compounds. ARKIVOC 2013, 2013, 60–81. [Google Scholar] [CrossRef]
- Zhu, L.; Wang, D.; Jia, Z.; Lin, Q.; Huang, M.; Luo, S. Catalytic asymmetric oxidative enamine transformations. ACS Catal. 2018, 8, 5466–5484. [Google Scholar] [CrossRef]
- Paul, A.; Seidel, D. α-Functionalization of cyclic secondary amines: Lewis acid promoted addition of organometallics to transient imines. J. Am. Chem. Soc. 2019, 141, 8778–8782. [Google Scholar] [CrossRef] [PubMed]
- Shen, J.; Yue, X.; Xu, J.; Li, W. α-Amino radical-mediated difunctionalization of alkenes with polyhaloalkanes and N-heteroarenes. Org. Lett. 2023, 25, 1994–1998. [Google Scholar] [CrossRef]
- Jia, H.; Tan, Z.; Zhang, M. Reductive functionalization of pyridine-fused N-heteroarenes. Acc. Chem. Res. 2024, 57, 795–813. [Google Scholar] [CrossRef] [PubMed]
- Wang, F.; Frankowski, K.J. Electrochemical α-functionalization of N-aryl-activated tertiary amines. Adv. Synth. Catal. 2024, 366, 3653–3663. [Google Scholar] [CrossRef]
- Erian, A.W.; Sherif, S.M.; Gaber, H.M. The chemistry of α-haloketones and their utility in heterocyclic synthesis. Molecules 2003, 8, 793–865. [Google Scholar] [CrossRef]
- Evans, R.W.; Zbieg, J.R.; Zhu, S.; Li, W.; MacMillan, D.W.C. Simple catalytic mechanism for the direct coupling of α-carbonyls with functionalized amines: A one-step synthesis of plavix. J. Am. Chem. Soc. 2013, 135, 16074–16077. [Google Scholar] [CrossRef] [PubMed]
- Du, J.; Zhang, X.; Sun, X.; Wang, L. Copper-catalyzed direct α-ketoesterification of propiophenones with acetophenones via C(sp3)–H oxidative cross-coupling. Chem. Commun. 2015, 51, 4372–4375. [Google Scholar] [CrossRef] [PubMed]
- Guha, S.; Rajeshkumar, V.; Kotha, S.S.; Sekar, G. A versatile and one-pot strategy to synthesize α-amino ketones from benzylic secondary alcohols using N-bromosuccinimide. Org. Lett. 2015, 17, 406–409. [Google Scholar] [CrossRef]
- Liang, S.; Zeng, C.-C.; Tian, H.-Y.; Sun, B.-G.; Luo, X.-G.; Ren, F.-z. Electrochemically oxidative α-C–H functionalization of ketones: A cascade synthesis of α-amino ketones mediated by NH4I. J. Org. Chem. 2016, 81, 11565–11573. [Google Scholar] [CrossRef] [PubMed]
- Liu, L.; Feng, S.; Li, C. Practical approach for quantitative green esterifications. ACS Sust. Chem. Eng. 2016, 4, 6754–6762. [Google Scholar] [CrossRef]
- Chen, C.; Liu, W.; Zhou, P.; Liu, H. I2/TBHP-mediated oxidative coupling of ketones and toluene derivatives: A facile method for the preparation of α-benzoyloxy ketones. RSC Adv. 2017, 7, 20394–20397. [Google Scholar] [CrossRef]
- Tan, L.; Chen, C.; Liu, W. α-Acetoxyarone synthesis via iodine-catalyzed and tert-butyl hydroperoxide-mediateded self-intermolecular oxidative coupling of aryl ketones. Beilstein J. Org. Chem. 2017, 13, 1079–1084. [Google Scholar] [CrossRef]
- Rossi, L.I.; Krapacher, C.R.; Granados, A.M. α-Amination reaction of different ketones mediated by carbohydrate Cu2+ complexes. Mol. Catal. 2020, 493, 111058. [Google Scholar] [CrossRef]
- Pogaku, N.; Krishna, P.R.; Prapurna, Y.L. Iodine-mediated nucleophilic direct oxidative α-acetoxylation and α-alkoxylation of ketones. ChemistrySelect 2019, 4, 12333–12336. [Google Scholar] [CrossRef]
- Shibatomi, K. Organocatalytic Synthesis of chiral halogenated compounds. Chem. Rec. 2023, 23, e202300061. [Google Scholar] [CrossRef] [PubMed]
- Merritt, E.A.; Olofsson, B. α-Functionalization of carbonyl compounds using hypervalent iodine reagents. Synthesis 2011, 2011, 517–538. [Google Scholar]
- Dong, D.-Q.; Hao, S.-H.; Wang, Z.-L.; Chen, C. Hypervalent iodine: A powerful electrophile for asymmetric α-functionalization of carbonyl compounds. Org. Biomol. Chem. 2014, 12, 4278–4289. [Google Scholar] [CrossRef] [PubMed]
- Yoshimura, A.; Zhdankin, V.V. Advances in synthetic applications of hypervalent iodine compounds. Chem. Rev. 2016, 116, 3328–3435. [Google Scholar] [CrossRef] [PubMed]
- Arava, S.; Kumar, J.N.; Maksymenko, S.; Iron, M.A.; Parida, K.N.; Fristrup, P.; Szpilman, A.M. Enolonium species—Umpoled enolates. Angew. Chem. Int. Ed. 2017, 56, 2599–2603. [Google Scholar] [CrossRef] [PubMed]
- Hari, D.P.; Caramenti, P.; Waser, J. Cyclic hypervalent iodine reagents: Enabling tools for bond disconnection via reactivity umpolung. Acc. Chem. Res. 2018, 51, 3212–3225. [Google Scholar] [CrossRef]
- Blom, J.; Reyes-Rodríguez, G.J.; Tobiesen, H.N.; Lamhauge, J.N.; Iversen, M.V.; Barløse, C.L.; Hammer, N.; Rusbjerg, M.; Jørgensen, K.A. Umpolung strategy for α-functionalization of aldehydes for the addition of thiols and other nucleophiles. Angew. Chem. Int. Ed. 2019, 58, 17856–17862. [Google Scholar] [CrossRef] [PubMed]
- Wang, Z.; Bi, X.; Liang, Y.; Liao, P.; Dong, D. A copper-catalyzed formal O–H insertion reaction of α-diazo-1,3-dicarbonyl compounds to carboxylic acids with the assistance of isocyanide. Chem. Commun. 2014, 50, 3976–3978. [Google Scholar] [CrossRef] [PubMed]
- Tan, F.; Liu, X.; Hao, X.; Tang, Y.; Lin, L.; Feng, X. Asymmetric catalytic insertion of α-diazo carbonyl compounds into O–H bonds of carboxylic acids. ACS Catal. 2016, 6, 6930–6934. [Google Scholar] [CrossRef]
- Yuan, W.; Eriksson, L.; Szabó, K.J. Rhodium-catalyzed geminal oxyfluorination and oxytrifluoro-methylation of diazocarbonyl compounds. Angew. Chem. Int. Ed. 2016, 55, 8410–8415. [Google Scholar] [CrossRef] [PubMed]
- Zhang, T.-S.; Hao, W.-J.; Wang, N.-N.; Li, G.; Jiang, D.-F.; Tu, S.-J.; Jiang, B. Catalytic oxidative carbene coupling of α-diazo carbonyls for the synthesis of β-amino ketones via C(sp3)–H functionalization. Org. Lett. 2016, 18, 3078–3081. [Google Scholar] [CrossRef] [PubMed]
- Miyoshi, T.; Miyakawa, T.; Ueda, M.; Miyata, O. Nucleophilic α-arylation and α-alkylation of ketones by polarity inversion of N-alkoxyenamines: Entry to the umpolung reaction at the α-carbon position of carbonyl compounds. Angew. Chem. Int. Ed. 2011, 50, 928–931. [Google Scholar] [CrossRef] [PubMed]
- Ren, S.; Song, S.; Ye, L.; Feng, C.; Loh, T.-P. Copper-catalyzed oxyamination of electron-deficient alkenes with N-acyloxyamines. Chem. Commun. 2016, 52, 10373–10376. [Google Scholar] [CrossRef]
- Xu, Z.; Chen, H.; Wang, Z.; Ying, A.; Zhang, L. One-pot synthesis of benzene-fused medium-ring ketones: Gold catalysis-enabled enolate umpolung reactivity. J. Am. Chem. Soc. 2016, 138, 5515–5518. [Google Scholar] [CrossRef] [PubMed]
- Carroll, F.I.; Blough, B.E.; Abraham, P.; Mills, A.C.; Holleman, J.A.; Wolckenhauer, S.A.; Decker, A.M.; Landavazo, A.; McElroy, K.T.; Navarro, H.A.; et al. Synthesis and biological evaluation of bupropion analogues as potential pharmacotherapies for cocaine addiction. J. Med. Chem. 2009, 52, 6768–6781. [Google Scholar] [CrossRef] [PubMed]
- Lukas, R.J.; Muresan, A.Z.; Damaj, M.I.; Blough, B.E.; Huang, X.; Navarro, H.A.; Mascarella, S.W.; Eaton, J.B.; Marxer-Miller, S.K.; Carroll, F.I. Synthesis and characterization of in vitro and in vivo profiles of hydroxybupropion analogues: Aids to smoking cessation. J. Med. Chem. 2010, 53, 4731–4748. [Google Scholar] [CrossRef] [PubMed]
- Chagnon, F.; Guay, I.; Bonin, M.-A.; Mitchell, G.; Bouarab, K.; Malouin, F.; Marsault, É. Unraveling the structure–activity relationship of tomatidine, a steroid alkaloid with unique antibiotic properties against persistent forms of Staphylococcus aureus. Eur. J. Med. Chem. 2014, 80, 605–620. [Google Scholar] [CrossRef]
- Talamas, F.X.; Abbot, S.C.; Anand, S.; Brameld, K.A.; Carter, D.S.; Chen, J.; Davis, D.; de Vicente, J.; Fung, A.D.; Gong, L.; et al. Discovery of N-[4-[6-tert-butyl-5-methoxy-8-(6-methoxy-2-oxo-1H-pyridin-3-yl)-3-quinolyl]phenyl]methanesulfonamide (RG7109), a potent inhibitor of the hepatitis C virus NS5B polymerase. J. Med. Chem. 2014, 57, 1914–1931. [Google Scholar] [CrossRef] [PubMed]
- Venkatesh, Y.; Rajesh, Y.; Karthik, S.; Chetan, A.C.; Mandal, M.; Jana, A.; Singh, N.D.P. Photocaging of single and dual (similar or different) carboxylic and amino acids by acetyl carbazole and its application as dual drug delivery in cancer therapy. J. Org. Chem. 2016, 81, 11168–11175. [Google Scholar] [CrossRef]
- Kanda, Y.; Nakamura, H.; Umemiya, S.; Puthukanoori, R.K.; Murthy Appala, V.R.; Gaddamanugu, G.K.; Paraselli, B.R.; Baran, P.S. Two-phase synthesis of taxol. J. Am. Chem. Soc. 2020, 142, 10526–10533. [Google Scholar] [CrossRef] [PubMed]
- Moriarty, R.M.; Prakash, O.; Duncan, M.P.; Vaid, R.K.; Musallam, H.A. Hypervalent iodine oxidation of silyl enol ethers under Lewis-acid conditions in methanol. A general route to alpha.-methoxy ketones. J. Org. Chem. 1987, 52, 150–153. [Google Scholar] [CrossRef]
- Valgimigli, L.; Brigati, G.; Pedulli, G.F.; DiLabio, G.A.; Mastragostino, M.; Arbizzani, C.; Pratt, D.A. The effect of ring nitrogen atoms on the homolytic reactivity of phenolic compounds: Understanding the radical-scavenging ability of 5-pyrimidinols. Chem.—Eur. J. 2003, 9, 4997–5010. [Google Scholar] [CrossRef] [PubMed]
- Shindo, M.; Yoshimura, Y.; Hayashi, M.; Soejima, H.; Yoshikawa, T.; Matsumoto, K.; Shishido, K. Synthesis of multisubstituted furans, pyrroles, and thiophenes via ynolates. Org. Lett. 2007, 9, 1963–1966. [Google Scholar] [CrossRef] [PubMed]
- Khade, V.V.; Bhowmick, A.; Thube, A.S.; Bhat, R.G. Direct access to strained fused dihalo-aziridino quinoxalinones via C3-alkylation followed by tandem cyclization. J. Org. Chem. 2023, 88, 8010–8023. [Google Scholar] [CrossRef] [PubMed]
- Zhao, H.; To, K.K.W.; Lam, H.; Zhou, X.; Chan, J.F.-W.; Peng, Z.; Lee, A.C.Y.; Cai, J.; Chan, W.-M.; Ip, J.D.; et al. Cross-linking peptide and repurposed drugs inhibit both entry pathways of SARS-CoV-2. Nat. Commun. 2021, 12, 1517. [Google Scholar] [CrossRef] [PubMed]
- Zeng, Z.; Liao, C.; Yu, L. Molecules for COVID-19 treatment. Chin. Chem. Lett. 2024, 35, 109349. [Google Scholar] [CrossRef]
- Tripathi, N.; Tripathi, N.; Goshisht, M.K. COVID-19: Inflammatory responses, structure-based drug design and potential therapeutics. Mol. Divers. 2022, 26, 629–645. [Google Scholar] [CrossRef] [PubMed]
- Prakash, G.K.S.; Panja, C.; Vaghoo, H.; Surampudi, V.; Kultyshev, R.; Mandal, M.; Rasul, G.; Mathew, T.; Olah, G.A. Facile synthesis of TMS-protected trifluoromethylated alcohols using trifluoromethyltrimethylsilane (TMSCF3) and various nucleophilic catalysts in DMF. J. Org. Chem. 2006, 71, 6806–6813. [Google Scholar] [CrossRef] [PubMed]
- Cui, B.; Sun, H.; Xu, Y.; Duan, L.; Li, Y.-M. MgCl2-catalyzed trifluoromethylation of carbonyl compounds using (trifluoromethyl)trimethylsilane as the trifluoromethylating agent. Tetrahedron 2017, 73, 6754–6762. [Google Scholar] [CrossRef]
- Becke, A.D. A multicenter numerical integration scheme for polyatomic molecules. J. Chem. Phys. 1988, 88, 2547–2553. [Google Scholar] [CrossRef]
- Lu, T.; Chen, F. Multiwfn: A multifunctional wavefunction analyzer. J. Comput. Chem. 2012, 33, 580–592. [Google Scholar] [CrossRef] [PubMed]
- Lu, T. A comprehensive electron wavefunction analysis toolbox for chemists, Multiwfn. J. Chem. Phys. 2024, 161, 082503. [Google Scholar] [CrossRef] [PubMed]
- Parr, R.G. Density Functional Theory of Atoms and Molecules; Springer: Dordrecht, The Netherlands, 1980; pp. 5–15. [Google Scholar]
- Cui, B.; Zheng, Y.; Sun, H.; Shang, H.; Du, M.; Shang, Y.; Yavuz, C.T. Catalytic enantioselective intramolecular hydroamination of alkenes using chiral aprotic cyclic urea ligand on manganese (II). Nat. Commun. 2024, 15, 6647. [Google Scholar] [CrossRef]
- Lee, C.; Yang, W.; Parr, R.G. Development of the colle-salvetti correlation-energy formula into a functional of the electron density. Phys. Rev. B 1988, 37, 785–789. [Google Scholar] [CrossRef]
- Becke, A.D. Density-functional thermochemistry. III. The role of exact exchange. J. Chem. Phys. 1993, 98, 5648–5652. [Google Scholar] [CrossRef]
- Becke, A.D. Density-functional exchange-energy approximation with correct asymptotic behavior. Phys. Rev. A 1988, 38, 3098–3100. [Google Scholar] [CrossRef]
- Grimme, S.; Antony, J.; Ehrlich, S.; Krieg, H. A consistent and accurate ab initio parametrization of density functional dispersion correction (DFT-D) for the 94 elements H-Pu. J. Chem. Phys. 2010, 132, 154104. [Google Scholar] [CrossRef] [PubMed]
- Grimme, S.; Ehrlich, S.; Goerigk, L. Effect of the damping function in dispersion corrected density functional theory. J. Comput. Chem. 2011, 32, 1456–1465. [Google Scholar] [CrossRef] [PubMed]
- Hariharan, P.C.; Pople, J.A. The influence of polarization functions on molecular orbital hydrogenation energies. Theoret. Chim. Acta. 1973, 28, 213–222. [Google Scholar] [CrossRef]
- Ditchfield, R.; Hehre, W.J.; Pople, J.A. Self-consistent molecular-orbital methods. IX. An extended gaussian-type basis for molecular-orbital studies of organic molecules. J. Chem. Phys. 1971, 54, 724–728. [Google Scholar] [CrossRef]
- Marenich, A.V.; Cramer, C.J.; Truhlar, D.G. Universal solvation model based on solute electron density and on a continuum model of the solvent defined by the bulk dielectric constant and atomic surface tensions. J. Phys. Chem. B 2009, 113, 6378–6396. [Google Scholar] [CrossRef] [PubMed]
- Chai, J.-D.; Head-Gordon, M. Long-range corrected hybrid density functionals with damped atom–atom dispersion corrections. Phys. Chem. Chem. Phys. 2008, 10, 6615–6620. [Google Scholar] [CrossRef]
- Weigend, F.; Ahlrichs, R. Balanced basis sets of split valence, triple zeta valence and quadruple zeta valence quality for H to Rn: Design and assessment of accuracy. Phys. Chem. Chem. Phys. 2005, 7, 3297–3305. [Google Scholar] [CrossRef] [PubMed]
- Weigend, F. Accurate coulomb-fitting basis sets for H to Rn. Phys. Chem. Chem. Phys. 2006, 8, 1057–1065. [Google Scholar] [CrossRef] [PubMed]
- Merrick, J.P.; Moran, D.; Radom, L. An evaluation of harmonic vibrational frequency scale factors. J. Phys. Chem. A 2007, 111, 11683–11700. [Google Scholar] [CrossRef]
- Lu, T.; Chen, Q. Shermo: A general code for calculating molecular thermochemistry properties. Comput. Theor. Chem. 2021, 1200, 113249–113256. [Google Scholar] [CrossRef]
- Humphrey, W.; Dalke, A.; Schulten, K. VMD: Visual molecular dynamics. J. Mol. Graph. 1996, 14, 33–38. [Google Scholar] [CrossRef] [PubMed]
- Houghton, T.J.; Tanaka, K.S.E.; Kang, T.; Dietrich, E.; Lafontaine, Y.; Delorme, D.; Ferreira, S.S.; Viens, F.; Arhin, F.F.; Sarmiento, I.; et al. Linking bisphosphonates to the free amino groups in fluoroquinolones: Preparation of osteotropic prodrugs for the prevention of osteomyelitis. J. Med. Chem. 2008, 51, 6955–6969. [Google Scholar] [CrossRef]
- Ramanjaneyulu, B.T.; Vidyacharan, S.; Yim, S.J.; Kim, D.P. Fast-synthesis of α-phosphonyloxy ketones as drug scaffolds in a capillary microreactor. Eur. J. Org. Chem. 2019, 2019, 7730–7734. [Google Scholar] [CrossRef]
- Zhu, Y.-P.; Gao, Q.-H.; Lian, M.; Yuan, J.-J.; Liu, M.-C.; Zhao, Q.; Yang, Y.; Wu, A.-X. A sustainable byproduct catalyzed domino strategy: Facile synthesis of α-formyloxy and acetoxy ketones via iodination/nucleophilic substitution/hydrolyzation/oxidation sequences. Chem. Commun. 2011, 47, 12700–12702. [Google Scholar] [CrossRef] [PubMed]
- Lee, J.C.; Jin, Y.S.; Choi, J.-H. Synthesis of α-acetoxy and formyloxy ketones by thallium (III) promoted α-oxidation. Chem. Commun. 2001, 956–957. [Google Scholar] [CrossRef]
- Hokamp, T.; Wirth, T. Hypervalent iodine(III)-catalysed enantioselective α-acetoxylation of ketones. Chem.—Eur. J. 2020, 26, 10417–10421. [Google Scholar] [CrossRef] [PubMed]
- Zhang, Z.; Li, P. Sulfur-mediated difunctionalization of internal and terminal alkynes for the synthesis of α-acetoxy ketones. Tetrahedron Lett. 2020, 61, 151707. [Google Scholar] [CrossRef]
- Chen, M.; Zhang, W.; Ren, Z.-H.; Gao, W.-Y.; Wang, Y.-Y.; Guan, Z.-H. PhI(OAc)2-promoted umpolung acetoxylation of enamides for the synthesis of α-acetoxy ketones. Sci. China. Chem. 2017, 60, 761–768. [Google Scholar] [CrossRef]
- Zhu, M.; Wei, W.; Yang, D.; Cui, H.; Cui, H.; Sun, X.; Wang, H. NBS/DBU mediated one-pot synthesis of α-acyloxyketones from benzylic secondary alcohols and carboxylic acids. Org. Biomol. Chem. 2016, 14, 10998–11001. [Google Scholar] [CrossRef]
- Dolomanov, O.V.; Bourhis, L.J.; Gildea, R.J.; Howard, J.A.K.; Puschmann, H. OLEX2: A complete structure solution, refinement and analysis program. J. Appl. Crystallogr. 2009, 42, 339–341. [Google Scholar] [CrossRef]
- Sheldrick, G. Crystal structure refinement with SHELXL. Acta Crystallogr. Sect. C 2015, 71, 3–8. [Google Scholar] [CrossRef]
Disclaimer/Publisher’s Note: The statements, opinions and data contained in all publications are solely those of the individual author(s) and contributor(s) and not of MDPI and/or the editor(s). MDPI and/or the editor(s) disclaim responsibility for any injury to people or property resulting from any ideas, methods, instructions or products referred to in the content. |
© 2025 by the authors. Licensee MDPI, Basel, Switzerland. This article is an open access article distributed under the terms and conditions of the Creative Commons Attribution (CC BY) license (https://creativecommons.org/licenses/by/4.0/).










