Di-Cyclohexene Oxide Bridged by DDSQ: Preparation, Characterization, and Application as Fillers for Cyanate Ester Resin
Abstract
1. Introduction
2. Results and Discussion
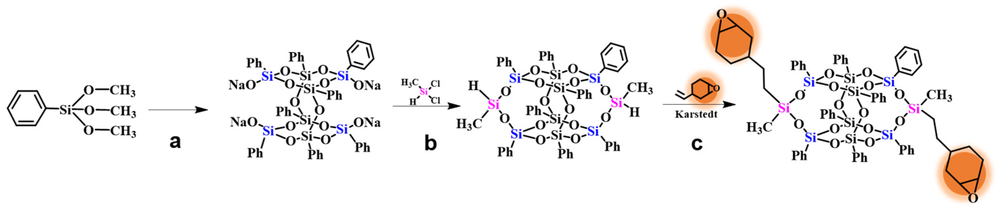
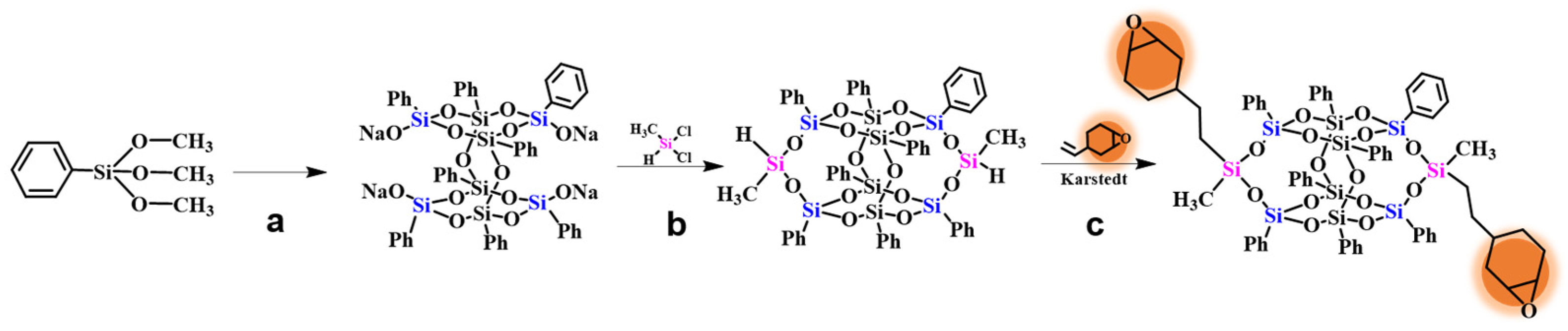
2.1. Characterizations of DEDDSQ
2.2. Curing Mechanism of CE/E51/DEDDSQ Resin
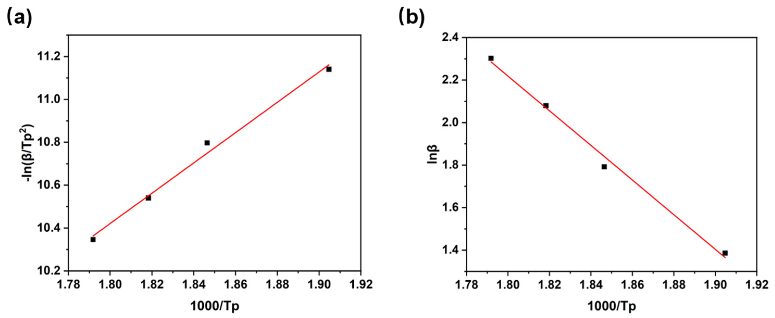
2.3. Curing Behavior and Curing Kinetics of CE/E51/DEDDSQ Resin
2.4. Surface Topography Analysis
2.5. Thermal Performance Analysis
2.6. Dielectric Properties Analysis
2.7. Moisture Resistance Analysis
3. Materials and Methods
3.1. Materials
3.2. Characterization
3.3. Synthesis of DEDDSQ
3.4. Synthesis of Nanocomposites
4. Conclusions
Author Contributions
Funding
Institutional Review Board Statement
Informed Consent Statement
Data Availability Statement
Acknowledgments
Conflicts of Interest
References
- Liu, Z.; Zhang, J.; Tang, L.; Zhou, Y.; Lin, Y.; Wang, R.; Kong, J.; Tang, Y.; Gu, J. Improved wave-transparent performances and enhanced mechanical properties for fluoride-containing PBO precursor modified cyanate ester resins and their PBO fibers/cyanate ester composites. Compos. Part B-Eng. 2019, 178, 107466. [Google Scholar] [CrossRef]
- Sreehari, H.; Sethulekshmi, A.S.; Saritha, A. Bio epoxy coatings: An emergent green anticorrosive coating for the future. Macromol. Mater. Eng. 2022, 307, 2200004. [Google Scholar] [CrossRef]
- Kumar, D.; Choudhary, V. Curing kinetics and thermal properties of imide containing phthalonitrile resin using aromatic amines. Thermochim. Acta 2020, 693, 178749. [Google Scholar] [CrossRef]
- Zhang, J.; Liu, Z.; Han, M.; Zhang, J.; Tang, Y.; Gu, J. Block copolymer functionalized quartz fibers/cyanate ester wave-transparent laminated composites. J. Mater. Sci. Technol. 2023, 139, 189–197. [Google Scholar] [CrossRef]
- Salunke, A.; Sasidharan, S.; Cherukattu Gopinathapanicker, J.; Kandasubramanian, B.; Anand, A. Cyanate ester—Epoxy blends for structural and functional composites. Ind. Eng. Chem. Res. 2021, 60, 3260–3277. [Google Scholar] [CrossRef]
- Tang, L.; Zhang, J.; Tang, Y.; Kong, J.; Liu, T.; Gu, J. Polymer matrix wave-transparent composites: A review. J. Mater. Sci. Technol. 2021, 75, 225–251. [Google Scholar] [CrossRef]
- Lin, T.; Zhang, J.; Junwei, G. Random copolymer membrane coated PBO fibers with significantly improved interfacial adhesion for PBO fibers/cyanate ester composites. Chin. J. Aeronaut. 2021, 34, 659–668. [Google Scholar]
- Zhai, L.; Liu, Z.; Li, C.; Qu, X.; Zhang, Q.; Li, G.; Zhang, X.; Abdel-Magid, B. Cyanate ester resin based composites with high toughness and thermal conductivity. RSC Adv. 2019, 9, 5722–5730. [Google Scholar] [CrossRef] [PubMed]
- Jiang, W.; Zhang, X.; Chen, D.; Ma, Y.; Yang, W. High performance low-k and wave-transparent cyanate ester resins modified with a novel bismaleimide hollow polymer microsphere. Compos. Part B-Eng. 2021, 222, 109041. [Google Scholar] [CrossRef]
- Fang, L.; Zhou, J.; He, C.; Tao, Y.; Wang, C.; Dai, M.; Wang, H.; Sun, J.; Fang, Q. Understanding how intrinsic micro-pores affect the dielectric properties of polymers: An approach to synthesize ultra-low dielectric polymers with bulky tetrahedral units as cores. Polym. Chem. 2020, 11, 2674–2680. [Google Scholar] [CrossRef]
- Li, W.; Huang, W.; Kang, Y.; Gong, Y.; Ying, Y.; Yu, J.; Zheng, J.; Qiao, L.; Che, S. Fabrication and investigations of G-POSS/cyanate ester resin composites reinforced by silane-treated silica fibers. Compos. Sci. Technol. 2019, 173, 7–14. [Google Scholar] [CrossRef]
- Yang, H.; He, C.; Russell, T.P.; Wang, D. Epoxy-polyhedral oligomeric silsesquioxanes (POSS) nanocomposite vitrimers with high strength, toughness, and efficient relaxation. Giant 2020, 4, 100035. [Google Scholar] [CrossRef]
- Sun, D.; Zhou, Z.; Chen, G.-X.; Li, Q. Regulated dielectric loss of polymer composites from coating carbon nanotubes with a cross-linked silsesquioxane shell through free-radical polymerization. ACS Appl. Mater. Interfaces 2014, 6, 18635–18643. [Google Scholar] [CrossRef]
- Laird, M.; Van der Lee, A.; Dumitrescu, D.G.; Carcel, C.; Ouali, A.; Bartlett, J.R.; Unno, M.; Wong Chi Man, M. Styryl-functionalized cage silsesquioxanes as nanoblocks for 3-D assembly. Organometallics 2020, 39, 1896–1906. [Google Scholar] [CrossRef]
- Xu, Z.; Zhao, Y.; Wang, X.; Lin, T. A thermally healable polyhedral oligomeric silsesquioxane (POSS) nanocomposite based on Diels–Alder chemistry. Chem. Commun. 2013, 49, 6755–6757. [Google Scholar] [CrossRef] [PubMed]
- Miao, L.; Zhan, L.; Liao, S.; Li, Y.; He, T.; Yin, S.; Wu, L.; Qiu, H. The Recent Advances of Polymer–POSS Nanocomposites With Low Dielectric Constant. Macromol. Rapid Comm. 2024, 45, 2300601. [Google Scholar] [CrossRef]
- Zhao, X.; Liu, H. Hybrid porous polymers based on double-decker and cage-ype silsesquioxanes for the high-efficiency removal of neonicotinoid insecticides and dyes. J. Polym. Sci. 2024, 62, 1639–1646. [Google Scholar] [CrossRef]
- Chen, C.-Y.; Mohamed, M.G.; Chen, W.C.; Kuo, S.-W. Construction of Ultrastable porous carbons materials derived from organic/inorganic double decker silsesquioxane (DDSQ) hybrid as a high-performance electrode for supercapacitor. Mater. Today Chem. 2023, 34, 101773. [Google Scholar] [CrossRef]
- Hirosawa, Y.; Imoto, H.; Naka, K. Polymers with double-decker and side-opened cage silsesquioxanes: Effects of cage structures on materials properties. J. Polym. Sci. 2024, 62, 564–571. [Google Scholar] [CrossRef]
- John, Ł.; Ejfler, J. A brief review on selected applications of hybrid materials based on functionalized cage-like silsesquioxanes. Polymers 2023, 15, 1452. [Google Scholar] [CrossRef]
- Qiu, J.; Xu, S.; Liu, N.; Wei, K.; Li, L.; Zheng, S. Organic–inorganic polyimide nanocomposites containing a tetrafunctional polyhedral oligomeric silsesquioxane amine: Synthesis, morphology and thermomechanical properties. Polym. Int. 2018, 67, 301–312. [Google Scholar] [CrossRef]
- Liu, N.; Li, L.; Wang, L.; Zheng, S. Organic-inorganic polybenzoxazine copolymers with double decker silsesquioxanes in the main chains: Synthesis and thermally activated ring-opening polymerization behavior. Polymer 2017, 109, 254–265. [Google Scholar] [CrossRef]
- Zhao, H.; Zhao, S.-Q.; Li, Q.; Khan, M.R.; Liu, Y.; Lu, P.; Huang, C.-X.; Huang, L.-J.; Jiang, T. Fabrication and properties of waterborne thermoplastic polyurethane nanocomposite enhanced by the POSS with low dielectric constants. Polymer 2020, 209, 122992. [Google Scholar] [CrossRef]
- Xu, R.; Liu, K.; Zhang, Y.; Feng, X.; Yu, D. Recent Progress in Polybenzoxazine/POSS Hybrid Materials. In Advanced and Emerging Polybenzoxazine Science and Technology; Ishida, H., Froimowicz, P., Eds.; Elsevier: Amsterdam, The Netherlands, 2017; pp. 739–765. [Google Scholar]
- Kurinchyselvan, S.; Hariharan, A.; Prabunathan, P.; Gomathipriya, P.; Alagar, M. Fluorinated polyimide nanocomposites for low K dielectric applications. J. Polym. Res. 2019, 26, 207. [Google Scholar] [CrossRef]
- Luo, K.; Song, G.; Wang, Y.; Yu, J.; Zhu, J.; Hu, Z. Low-k and recyclable high-performance POSS/polyamide composites based on Diels–Alder reaction. ACS Appl. Polym. Mater. 2019, 1, 944–952. [Google Scholar] [CrossRef]
- Chen, W.-C.; Tsao, Y.-H.; Wang, C.-F.; Huang, C.-F.; Dai, L.; Chen, T.; Kuo, S.-W. Main chain–type block copolymers through atom transfer radical polymerization from double-decker–shaped polyhedral oligomeric silsesquioxane hybrids. Polymers 2020, 12, 465. [Google Scholar] [CrossRef]
- Mohamed, M.G.; Kuo, S.W. Functional silica and carbon nanocomposites based on polybenzoxazines. Macromol. Chem. Phys. 2019, 220, 1800306. [Google Scholar] [CrossRef]
- Chen, W.-C.; Kuo, S.-W. Ortho-imide and allyl groups effect on highly thermally stable polybenzoxazine/double-decker-shaped polyhedral silsesquioxane hybrids. Macromolecules 2018, 51, 9602–9612. [Google Scholar] [CrossRef]
- Joseph, A.M.; Nagendra, B.; Surendran, K.; Gowd, E.B. Sustainable in situ approach to covalently functionalize graphene oxide with POSS molecules possessing extremely low dielectric behavior. Langmuir 2019, 35, 4672–4681. [Google Scholar] [CrossRef] [PubMed]
- Ma, Y.; He, Z.; Liao, Z.; Xie, J.; Yue, H.; Gao, X. Facile strategy for low dielectric constant polyimide/silsesquioxane composite films: Structural design inspired from nature. J. Mater. Ssi. 2021, 56, 7397–7408. [Google Scholar] [CrossRef]
- Guo, M.; David, É.; Fréchette, M.; Demarquette, N.R. Polyethylene/polyhedral oligomeric silsesquioxanes composites: Dielectric, thermal and rheological properties. Polymer 2017, 115, 60–69. [Google Scholar] [CrossRef]
- Zhang, X.; Liu, M.; Chen, Y.; He, J.; Wang, X.; Xie, J.; Li, Z.; Chen, Z.; Fu, Y.; Xiong, C. Epoxy resin/hollow glass microspheres composite materials with low dielectric constant and excellent mechanical performance. J. Appl. Polym. Sci. 2022, 139, e52787. [Google Scholar] [CrossRef]
- Li, X.; Liu, X.; Feng, J.; He, R.; Liu, H.; Hu, X.; Liu, X. A research on benzoxazine/cyanate ester/epoxy POSS nanocomposite with low dielectric constant and improved toughness. Polym. Bull. 2023, 80, 12989–13004. [Google Scholar] [CrossRef]
- Liu, X.; Zhou, J.; Zhou, Y.; Wu, M.; Zhu, Y.; Zhao, J.; Liu, S.; Xiao, H. Chemically crosslinked polyimide-POSS hybrid: A dielectric material with improved dimensional stability and dielectric properties. Eur. Polym. J. 2022, 173, 111315. [Google Scholar] [CrossRef]
- Zhang, Z.; Zhou, Y.; Cai, L.; Xuan, L.; Wu, X.; Ma, X. Synthesis of eugenol-functionalized polyhedral oligomer silsesquioxane for low-k bismaleimide resin combined with excellent mechanical and thermal properties as well as its composite reinforced by silicon fiber. Chem. Eng. J. 2022, 439, 135740. [Google Scholar] [CrossRef]
- Periyasamy, T.; Asrafali, S.P.; Muthusamy, S. New benzoxazines containing polyhedral oligomeric silsesquioxane from eugenol, guaiacol and vanillin. New J. Chem. 2015, 39, 1691–1702. [Google Scholar] [CrossRef]
- Li, X.; Liu, X.; Liu, H.; He, R.; Wang, F.; Meng, S.; Li, Z. The low-k epoxy/cyanate nanocomposite modified with epoxy-based POSS: The effect of microstructure on dielectric properties. React. Funct. Polym. 2023, 184, 105522. [Google Scholar] [CrossRef]
- Wang, C.; Feng, Y.; Zhang, C.; Zhang, T.; Chi, Q.; Chen, Q.; Lei, Q. High heat-resistant (250 °C) epoxy resin composites with excellent dielectric properties. J. Appl. Polym. Sci. 2022, 139, e52963. [Google Scholar] [CrossRef]
- Zhang, C.; Liu, N.; Li, L.; Wang, L.; Zheng, S. Polybenzoxazine nanocomposites containing 3, 13-Diglycidyl double-decker silsesquioxane. Polym. Compos. 2017, 38, 827–836. [Google Scholar] [CrossRef]
- Sun, X.; Wang, J.; Fu, Q.; Zhang, Q.; Xu, R. Synthesis of a novel bifunctional epoxy double-decker silsesquioxane: Improvement of the thermal stability and dielectric properties of polybenzoxazine. Polymers 2022, 14, 5154. [Google Scholar] [CrossRef] [PubMed]
- Zhang, P.; Zhang, K.; Chen, X.; Dou, S.; Zhao, J.; Li, Y. Mechanical, dielectric and thermal properties of polyimide films with sandwich structure. Compos. Struct. 2021, 261, 113305. [Google Scholar] [CrossRef]
- ISO 62:2008; Plastics—Determination of Water Absorption. International Organization for Standardization: Geneva, Switzerland, 2008.














| β/°C/min | Ti/°C | Tp/°C | Tf/°C | ΔT/°C | −ΔH/J/g |
|---|---|---|---|---|---|
| 4 | 159.2 | 251.9 | 287.3 | 128.1 | 258.7 |
| 6 | 163.9 | 268.4 | 296.8 | 132.9 | 274.6 |
| 8 | 174.3 | 276.8 | 304.3 | 123.0 | 286.4 |
| 10 | 183.3 | 284.9 | 310.4 | 127.1 | 295.8 |
| Samples | β (k/min) | Tp (k) | 1000/Tp | −ln(β/Tp2) | lnβ |
|---|---|---|---|---|---|
| CE/E51/8.0DEDDSQ | 4 | 525.0 | 1.90 | 11.14 | 1.39 |
| 6 | 541.5 | 1.85 | 10.79 | 1.79 | |
| 8 | 549.9 | 1.82 | 10.54 | 2.08 | |
| 10 | 558.0 | 1.79 | 10.35 | 2.30 |
| Kissinger Activation /kJ/mol | Ozawa Activation /kJ/mol | Average Activation Energy/kJ/mol | Crane Reaction Level n |
|---|---|---|---|
| 58.77 | 67.75 | 63.26 | 1.07 |
| β | A | Average Value of A |
|---|---|---|
| 4 | 2.19 × 105 | 2.06 × 105 |
| 6 | 1.97 × 105 | |
| 8 | 2.05 × 105 | |
| 10 | 2.04 × 105 |
| Sample | Td,max | Char Yield (%) |
|---|---|---|
| CE/E51 | 390.2 | 24.3 |
| CE/E51/1.0DEDDSQ | 394.1 | 26.1 |
| CE/E51/1.5DEDDSQ | 394.2 | 27.8 |
| CE/E51/2.0DEDDSQ | 394.7 | 28.3 |
| CE/E51/5.0DEDDSQ | 398.2 | 28.5 |
| CE/E51/8.0DEDDSQ | 402.6 | 29.1 |
Disclaimer/Publisher’s Note: The statements, opinions and data contained in all publications are solely those of the individual author(s) and contributor(s) and not of MDPI and/or the editor(s). MDPI and/or the editor(s) disclaim responsibility for any injury to people or property resulting from any ideas, methods, instructions or products referred to in the content. |
© 2025 by the authors. Licensee MDPI, Basel, Switzerland. This article is an open access article distributed under the terms and conditions of the Creative Commons Attribution (CC BY) license (https://creativecommons.org/licenses/by/4.0/).
Share and Cite
Gao, X.; Gao, W.; Lu, D.; Xu, R. Di-Cyclohexene Oxide Bridged by DDSQ: Preparation, Characterization, and Application as Fillers for Cyanate Ester Resin. Molecules 2025, 30, 1113. https://doi.org/10.3390/molecules30051113
Gao X, Gao W, Lu D, Xu R. Di-Cyclohexene Oxide Bridged by DDSQ: Preparation, Characterization, and Application as Fillers for Cyanate Ester Resin. Molecules. 2025; 30(5):1113. https://doi.org/10.3390/molecules30051113
Chicago/Turabian StyleGao, Xiaoye, Wencheng Gao, Dingyi Lu, and Riwei Xu. 2025. "Di-Cyclohexene Oxide Bridged by DDSQ: Preparation, Characterization, and Application as Fillers for Cyanate Ester Resin" Molecules 30, no. 5: 1113. https://doi.org/10.3390/molecules30051113
APA StyleGao, X., Gao, W., Lu, D., & Xu, R. (2025). Di-Cyclohexene Oxide Bridged by DDSQ: Preparation, Characterization, and Application as Fillers for Cyanate Ester Resin. Molecules, 30(5), 1113. https://doi.org/10.3390/molecules30051113

