Carbonation and Phase Evolution in MgO-SiO2 Cements: Impact on Strength
Abstract
1. Introduction
2. Results and Discussion
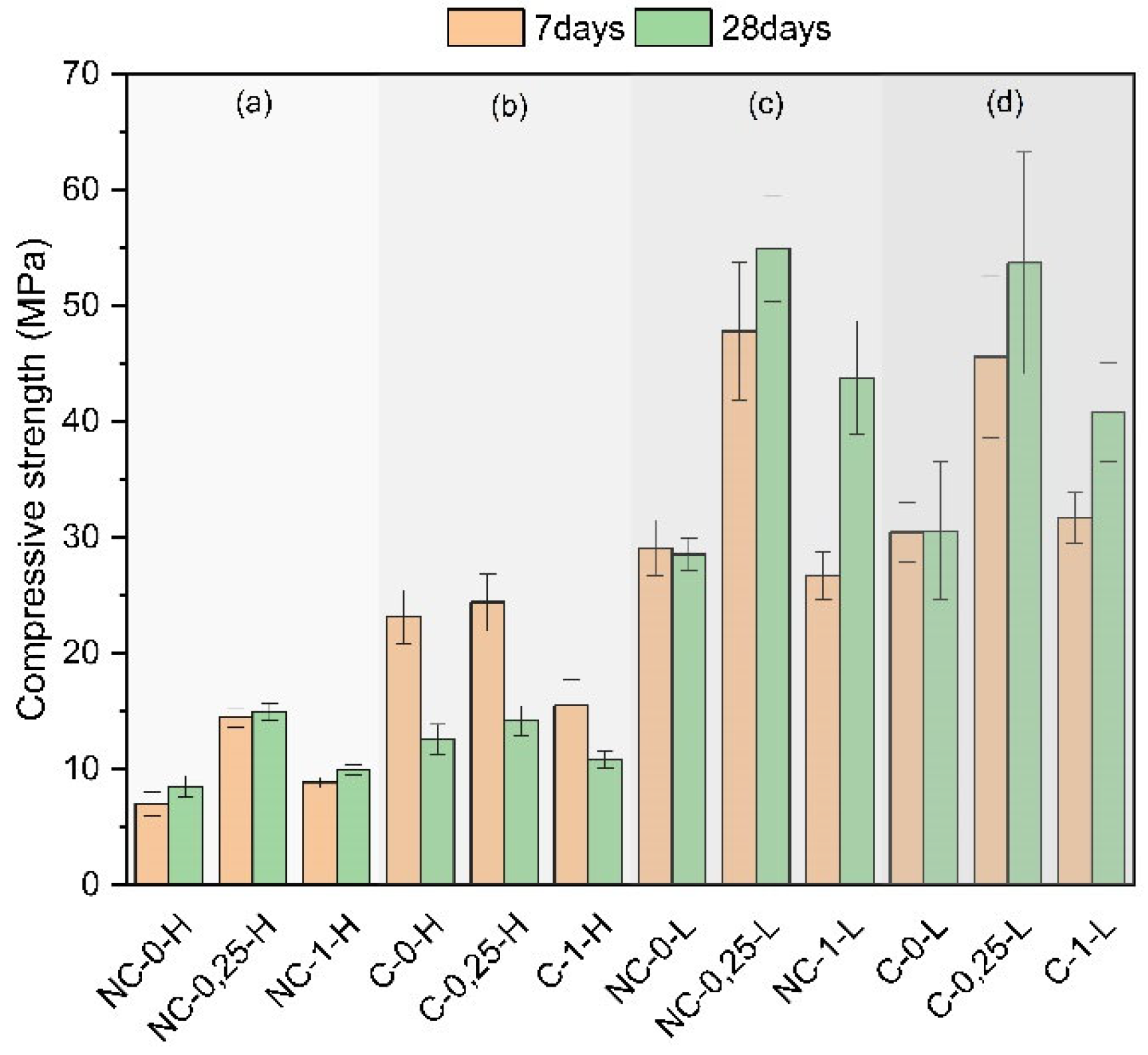
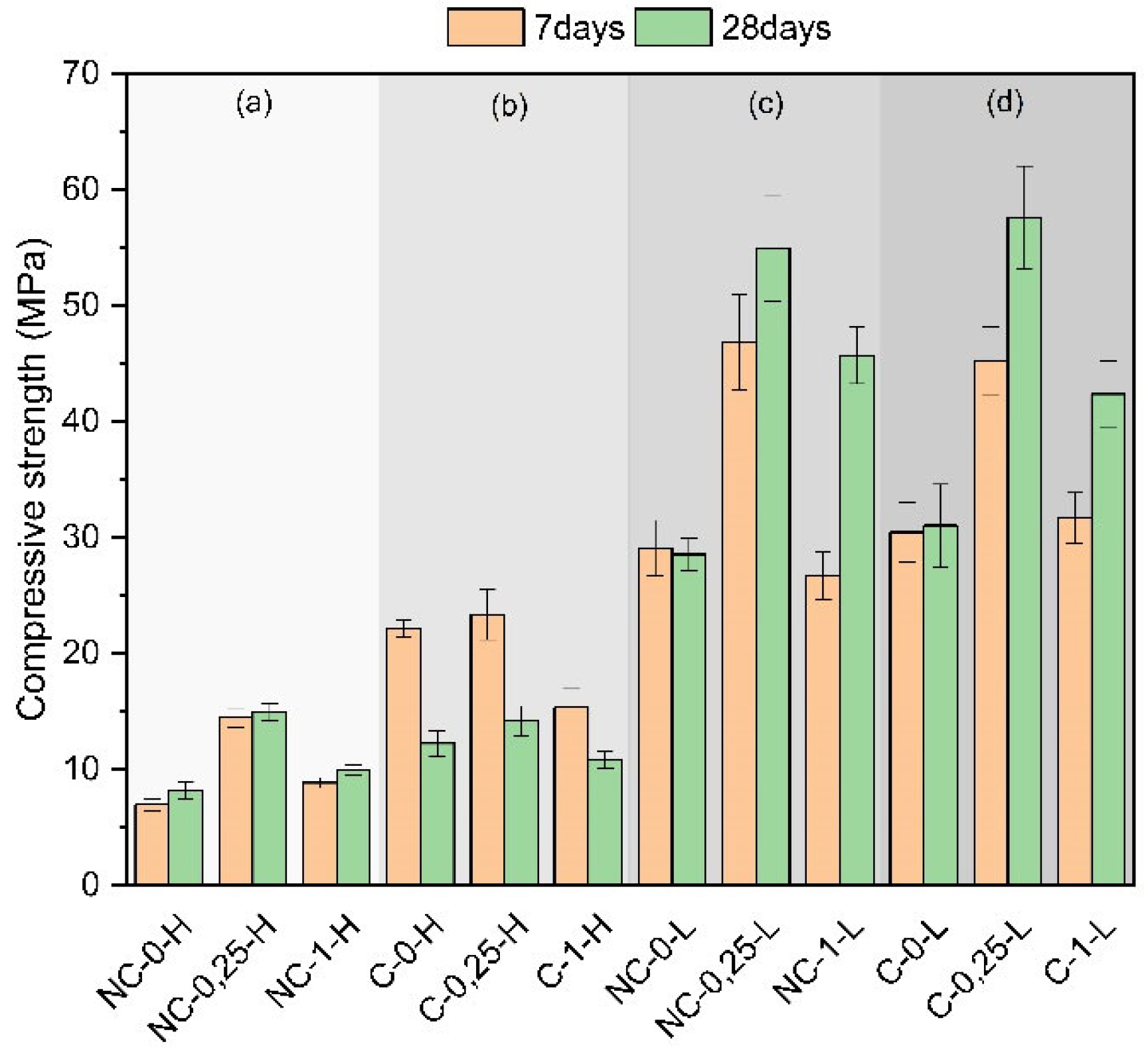
2.1. Compressive Strength
2.2. Hg-Intrusion Porosimetry
2.3. XRD
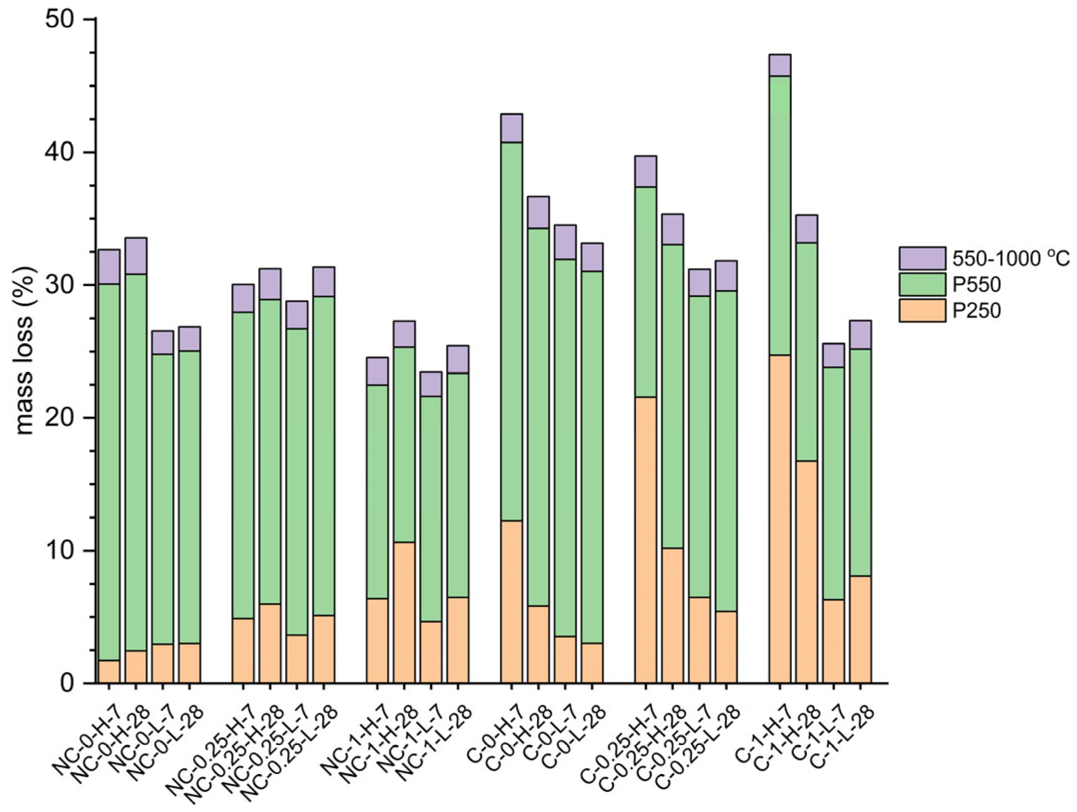
2.4. TG Analysis
2.5. FTIR Analysis
2.6. SEM-EDS
3. Materials and Methods
3.1. Materials
3.2. Sample Preparation and Curing
3.3. Methods
- The diffractogram of the amorphous phases to be calibrated is collected (in this case, silica fume and synthetically precipitated M-S-H gel). M-S-H gel with an approximate Mg/Si ratio of 1.2 was targeted, as it resembles the ratio of the gel detected by EDX and is precipitated following the method described by [14].
- Each diffractogram is fitted to an hkl-phase adjusted with Topas Software (Version 5) to determine all planes (hkl), initially assigning P41212 and P1m1 space groups to silica fume and M-S-H gel, respectively. These space groups correspond to cristobalite (SiO2) and antigorite [Mg3Si2O5(OH)4], identified by COD-IDs 1010938 and 9004514, respectively. Both are crystalline materials with a chemical composition similar to that of the phases with an unknown structure. Once the diffractogram is adjusted, the hkl planes and all lattice parameters are fixed, and the cell volume (V) is calculated for each adjusted hkl phase.
- The ZMV (molar volume constant) of each amorphous phase is calibrated using a mixture with a known quantity of the unknown amorphous phase (α) and a reference material (s). This allows the determination of the cell mass (M) for our amorphous phases using the following equation (Equation (3)):where Z is the number of units per cell, S is the scale factor, and W is the mass fraction for each phase.
4. Conclusions
Supplementary Materials
Author Contributions
Funding
Institutional Review Board Statement
Informed Consent Statement
Data Availability Statement
Acknowledgments
Conflicts of Interest
Appendix A
| NC- 0- H | NC-0.25-H | NC- 1- H | C- 0- H | C-0.25-H | C- 1- H | NC- 0- L | NC-0.25- L | NC- 1- L | C- 0- L | C-0.25-L | C- 1- L | |
|---|---|---|---|---|---|---|---|---|---|---|---|---|
| 1 | 5.52 | 13.86 | 8.75 | 21.10 | 21.80 | 12.74 | 31.74 | 41.42 | 28.34 | 27.21 | 35.05 | 28.19 |
| 2 | 6.52 | 13.55 | 8.54 | 21.69 | 22.98 | 13.46 | 32.08 | 42.98 | 28.36 | 33.93 | 41.66 | 30.17 |
| 3 | 6.78 | 16.11 | 8.88 | 22.02 | 25.44 | 14.60 | 29.77 | 45.04 | 25.39 | 28.55 | 43.58 | 33.73 |
| 4 | 6.79 | 14.71 | 9.80 | 22.88 | 26.10 | 15.42 | 28.70 | 45.72 | 23.31 | 32.52 | 46.02 | 30.76 |
| 5 | 7.86 | 14.09 | 8.78 | 23.09 | 23.96 | 18.02 | 25.86 | 53.73 | 29.05 | 28.26 | 49.64 | 34.45 |
| 6 | 8.76 | 14.56 | 8.47 | 28.11 | 19.74 | 18.76 | 26.45 | 57.91 | 25.81 | 32.29 | 57.77 | 32.84 |
| 7.04 | 14.48 | 8.87 | 23.15 | 23.34 | 15.50 | 29.10 | 47.80 | 26.71 | 30.46 | 45.62 | 31.69 | |
| σ | 1.03 | 0.83 | 0.44 | 2.32 | 2.15 | 2.22 | 2.38 | 5.96 | 2.04 | 2.54 | 7.02 | 2.18 |
| CV(%) | 14.63 | 5.73 | 4.96 | 10.02 | 9.23 | 14.32 | 8.18 | 12.47 | 7.64 | 8.34 | 15.39 | 6.88 |
| NC- 0- H | NC-0.25-H | NC- 1- H | C- 0- H | C-0.25-H | C- 1- H | NC- 0- L | NC-0.25- L | NC- 1- L | C- 0- L | C-0.25-L | C- 1- L | |
| 1 | 7.06 | 16.32 | 10.14 | 11.07 | 13.53 | 9.88 | 28.07 | 62.58 | 34.03 | 20.80 | 34.36 | 33.21 |
| 2 | 7.87 | 14.31 | 10.37 | 11.15 | 16.19 | 12.17 | 28.96 | 56.17 | 42.81 | 27.89 | 49.46 | 38.71 |
| 3 | 8.32 | 15.31 | 9.24 | 12.02 | 13.35 | 10.14 | 26.93 | 51.34 | 43.97 | 28.05 | 56.44 | 40.35 |
| 4 | 8.64 | 14.20 | 9.58 | 13.18 | 12.59 | 10.89 | 26.78 | 54.34 | 44.75 | 31.56 | 59.55 | 42.04 |
| 5 | 9.19 | 14.95 | 10.41 | 13.81 | 15.71 | 11.03 | 30.22 | 57.26 | 47.74 | 36.65 | 60.37 | 43.97 |
| 6 | 9.98 | 14.48 | 10.20 | 14.37 | 13.64 | 10.81 | 30.28 | 48.07 | 49.38 | 38.58 | 62.09 | 46.82 |
| 8.51 | 14.93 | 9.99 | 12.6 | 14.17 | 10.82 | 28.54 | 54.96 | 43.78 | 30.59 | 53.71 | 40.85 | |
| σ | 0.93 | 0.73 | 0.43 | 1.27 | 1.31 | 0.73 | 1.41 | 4.58 | 4.90 | 5.93 | 9.56 | 4.28 |
| CV(%) | 10.93 | 4.89 | 4.30 | 10.08 | 9.24 | 6.75 | 4.94 | 8.33 | 11.19 | 19.39 | 17.80 | 10.48 |


| NC- 0- H | NC-0.25-H | NC- 1- H | C- 0- H | C-0.25-H | C- 1- H | NC- 0- L | NC-0.25- L | NC- 1- L | C- 0- L | C-0.25- L | C- 1- L | |
|---|---|---|---|---|---|---|---|---|---|---|---|---|
| 1 | 5.52 | 13.86 | 8.75 | 21.10 | 21.80 | 13.46 | 31.74 | 42.98 | 28.34 | 27.21 | 41.66 | 28.19 |
| 2 | 6.52 | 13.55 | 8.54 | 21.69 | 22.98 | 14.60 | 32.08 | 45.04 | 28.36 | 33.93 | 43.58 | 30.17 |
| 3 | 6.78 | 16.11 | 8.88 | 22.02 | 25.44 | 15.42 | 29.77 | 45.72 | 25.39 | 28.55 | 46.02 | 33.73 |
| 4 | 6.79 | 14.71 | 9.80 | 22.88 | 26.10 | 18.02 | 28.70 | 53.73 | 23.31 | 32.52 | 49.64 | 30.76 |
| 5 | 7.86 | 14.09 | 8.78 | 23.09 | 23.96 | 18.76 | 25.86 | 57.91 | 29.05 | 28.26 | 57.77 | 34.45 |
| 6 | 14.56 | 8.47 | 19.74 | 26.45 | 25.81 | 32.29 | 32.84 | |||||
| 6.70 | 14.48 | 8.87 | 22.16 | 23.34 | 16.05 | 29.10 | 49.08 | 26.71 | 30.46 | 47.73 | 31.69 | |
| σ | 0.75 | 0.83 | 0.44 | 0.74 | 2.15 | 1.74 | 2.38 | 5.73 | 2.04 | 2.54 | 5.68 | 2.18 |
| CV(%) | 11.17 | 5.73 | 4.96 | 3.35 | 9.23 | 10.81 | 8.18 | 11.68 | 7.64 | 8.34 | 11.91 | 6.88 |
| NC- 0- H | NC-0.25-H | NC- 1- H | C- 0- H | C-0.25-H | C- 1- H | NC- 0- L | NC-0.25- L | NC- 1- L | C- 0- L | C-0.25- L | C- 1- L | |
| 1 | 7.06 | 16.32 | 10.14 | 11.07 | 13.53 | 9.88 | 28.07 | 62.58 | 42.81 | 27.89 | 49.46 | 38.71 |
| 2 | 7.87 | 14.31 | 10.37 | 11.15 | 16.19 | 12.17 | 28.96 | 56.17 | 43.97 | 28.05 | 56.44 | 40.35 |
| 3 | 8.32 | 15.31 | 9.24 | 12.02 | 13.35 | 10.14 | 26.93 | 51.34 | 44.75 | 31.56 | 59.55 | 42.04 |
| 4 | 8.64 | 14.20 | 9.58 | 13.18 | 12.59 | 10.89 | 26.78 | 54.34 | 47.74 | 36.65 | 60.37 | 43.97 |
| 5 | 9.19 | 14.95 | 10.41 | 13.81 | 15.71 | 11.03 | 30.22 | 57.26 | 49.38 | 38.58 | 62.09 | 46.82 |
| 6 | 14.48 | 10.20 | 13.64 | 10.81 | 30.28 | 48.07 | ||||||
| 8.2158 | 14.93 | 9.99 | 12.25 | 14.17 | 10.82 | 28.54 | 54.96 | 45.73 | 32.55 | 57.58 | 42.38 | |
| σ | 0.7202 | 0.73 | 0.43 | 1.089 | 1.31 | 0.73 | 1.41 | 4.58 | 2.45 | 4.38 | 4.46 | 2.83 |
| CV(%) | 8.77 | 4.89 | 4.30 | 8.89 | 9.24 | 6.75 | 4.94 | 8.33 | 5.35 | 13.47 | 7.74 | 6.67 |
| NC- 0- H | NC-0.25-H | NC- 1- H | C- 0- H | C-0.25-H | C- 1- H | NC- 0- L | NC-0.25- L | NC- 1- L | C- 0- L | C-0.25- L | C- 1- L | |
|---|---|---|---|---|---|---|---|---|---|---|---|---|
| 1 | 6.52 | 13.86 | 8.75 | 21.10 | 21.80 | 13.46 | 31.74 | 42.98 | 28.34 | 27.21 | 41.66 | 28.19 |
| 2 | 6.78 | 13.55 | 8.54 | 21.69 | 22.98 | 14.60 | 32.08 | 45.04 | 28.36 | 33.93 | 43.58 | 30.17 |
| 3 | 6.79 | 16.11 | 8.88 | 22.02 | 25.44 | 15.42 | 29.77 | 45.72 | 25.39 | 28.55 | 46.02 | 33.73 |
| 4 | 7.86 | 14.71 | 9.80 | 22.88 | 26.10 | 18.02 | 28.70 | 53.73 | 23.31 | 32.52 | 49.64 | 30.76 |
| 5 | 14.09 | 8.78 | 23.09 | 23.96 | 25.86 | 29.05 | 28.26 | 34.45 | ||||
| 6 | 14.56 | 8.47 | 19.74 | 26.45 | 25.81 | 32.29 | 32.84 | |||||
| 6.99 | 14.48 | 8.87 | 22.16 | 23.34 | 15.38 | 29.10 | 46.87 | 26.71 | 30.46 | 45.23 | 31.69 | |
| σ | 0.52 | 0.83 | 0.44 | 0.74 | 2.15 | 1.68 | 2.38 | 4.09 | 2.04 | 2.54 | 2.98 | 2.18 |
| CV(%) | 7.39 | 5.73 | 4.96 | 3.35 | 9.23 | 10.92 | 8.18 | 8.72 | 7.64 | 8.34 | 6.60 | 6.88 |
| NC- 0- H | NC-0.25-H | NC- 1- H | C- 0- H | C-0.25-H | C- 1- H | NC- 0- L | NC-0.25- L | NC- 1- L | C- 0- L | C-0.25- L | C- 1- L | |
| 1 | 7.06 | 16.32 | 10.14 | 11.07 | 13.53 | 9.88 | 28.07 | 62.58 | 42.81 | 27.89 | 49.46 | 38.71 |
| 2 | 7.87 | 14.31 | 10.37 | 11.15 | 16.19 | 12.17 | 28.96 | 56.17 | 43.97 | 28.05 | 56.44 | 40.35 |
| 3 | 8.32 | 15.31 | 9.24 | 12.02 | 13.35 | 10.14 | 26.93 | 51.34 | 44.75 | 31.56 | 59.55 | 42.04 |
| 4 | 8.64 | 14.20 | 9.58 | 13.18 | 12.59 | 10.89 | 26.78 | 54.34 | 47.74 | 36.65 | 60.37 | 43.97 |
| 5 | 9.19 | 14.95 | 10.41 | 13.81 | 15.71 | 11.03 | 30.22 | 57.26 | 49.38 | 62.09 | 46.82 | |
| 6 | 14.48 | 10.20 | 13.64 | 10.81 | 30.28 | 48.07 | ||||||
| 8.2158 | 14.93 | 9.99 | 12.25 | 14.17 | 10.82 | 28.54 | 54.96 | 45.73 | 31.04 | 57.58 | 42.38 | |
| σ | 0.7202 | 0.73 | 0.43 | 1.089 | 1.31 | 0.73 | 1.41 | 4.58 | 2.45 | 3.56 | 4.46 | 2.83 |
| CV(%) | 8.77 | 4.89 | 4.30 | 8.89 | 9.24 | 6.75 | 4.94 | 8.33 | 5.35 | 11.46 | 7.74 | 6.67 |
References
- Bernard, E.; Lothenbach, B.; Chlique, C.; Wyrzykowski, M.; Dauzères, A.; Pochard, I.; Cau-Dit-Coumes, C. Characterization of magnesium silicate hydrate (M-S-H). Cem. Concr. Res. 2019, 116, 309–330. [Google Scholar] [CrossRef]
- Sreenivasan, H.; Bernard, E.; Santos, H.S.; Nguyen, H.; Moukannaa, S.; Adediran, A.; Provis, J.L.; Kinnunen, P. A critical review of magnesium silicate hydrate (M-S-H) phases for binder applications. Cem. Concr. Res. 2024, 178, 107462. [Google Scholar] [CrossRef]
- Bernard, E.; Lothenbach, B.; Rentsch, D.; German, A.; Winnefeld, F. Effect of carbonates on the formation of magnesium silicate hydrates. Mater. Struct. 2022, 55, 183. [Google Scholar] [CrossRef]
- Raza, N.; Raza, W.; Madeddu, S.; Agbe, H.; Kumar, R.V.; Kim, K.-H. Synthesis and characterization of amorphous precipitated silica from alkaline dissolution of olivine. RSC Adv. 2018, 8, 32651–32658, Correction in RSC Adv. 2018, 8, 36200. [Google Scholar] [CrossRef]
- Sorte, E.G.; Rimsza, J.M.; Alam, T.M. Computational and Experimental 1H-NMR Study of Hydrated Mg-Based Minerals. Molecules 2020, 25, 933. [Google Scholar] [CrossRef] [PubMed]
- Vollpracht, A.; Lothenbach, B.; Snellings, R.; Haufe, J. The pore solution of blended cements: A review. Mater. Struct. 2015, 49, 3341–3367. [Google Scholar] [CrossRef]
- Nied, D.; Enemark-Rasmussen, K.; L’Hopital, E.; Skibsted, J.; Lothenbach, B. Properties of magnesium silicate hydrates (M-S-H). Cem. Concr. Res. 2016, 79, 323–332. [Google Scholar] [CrossRef]
- Zhang, T.; Vandeperre, L.J.; Cheeseman, C.R. Formation of magnesium silicate hydrate (M-S-H) cement pastes using sodium hexametaphosphate. Cem. Concr. Res. 2014, 65, 8–14. [Google Scholar] [CrossRef]
- Mármol, G.; Savastano, H.; Tashima, M.M.; Provis, J.L. Optimization of the MgO SiO2 binding system for fiber-cement production with cellulosic reinforcing elements. Mater. Des. 2016, 105, 251–261. [Google Scholar] [CrossRef]
- Mármol, G.; Savastano, H. Study of the degradation of non-conventional MgO-SiO2 cement reinforced with lignocellulosic fibers. Cem. Concr. Compos. 2017, 80, 258–267. [Google Scholar] [CrossRef]
- Szczerba, J.; Prorok, R.; Śnieżek, E.; Madej, D.; Maślona, K. Influence of time and temperature on ageing and phases synthesis in the MgO–SiO2–H2O system. Thermochim. Acta 2013, 567, 57–64. [Google Scholar] [CrossRef]
- Jin, F.; Al-Tabbaa, A. Strength and hydration products of reactive MgO–silica pastes. Cem. Concr. Compos. 2014, 52, 27–33. [Google Scholar] [CrossRef]
- Li, Z.; Zhang, T.; Hu, J.; Tang, Y.; Niu, Y.; Wei, J.; Yu, Q. Characterization of reaction products and reaction process of MgO–SiO2–H2O system at room temperature. Constr. Build. Mater. 2014, 61, 252–259. [Google Scholar] [CrossRef]
- Brew, D.; Glasser, F. Synthesis and characterisation of magnesium silicate hydrate gels. Cem. Concr. Res. 2005, 35, 85–98. [Google Scholar] [CrossRef]
- Tang, Y.; Zhao, L.; Li, B.; Chen, W. Controlling the soundness of Portland cement clinker synthesized with solid wastes based on phase transition of MgNiO2. Cem. Concr. Res. 2022, 157, 106832. [Google Scholar] [CrossRef]
- Singh, G.B.; Sonat, C.; Yang, E.; Unluer, C. Performance of MgO and MgO–SiO2 systems containing seeds under different curing conditions. Cem. Concr. Compos. 2020, 108, 103543. [Google Scholar] [CrossRef]
- Zhang, W.; Li, J. The intrinsic mechanical properties of hydromagnesite, Mg5(CO3)4(OH)2·4H2O, a key phase of reactive MgO carbonate cement. Cem. Concr. Res. 2024, 177, 107410. [Google Scholar] [CrossRef]
- Zhao, H.; Hanein, T.; Kinoshita, H. The Effect of Sodium Carbonate on the Formation of Magnesium Silicate Hydrate. In Proceedings of the 40th Cement and Concrete Science Conference and 74th RILEM Annual Week 2020, Virtual, 31 August–4 September 2020. [Google Scholar]
- Zhao, H.; Hanein, T.; Li, N.; Alotaibi, A.; Li, A.; Walling, S.; Kinoshita, H. Acceleration of M-S-H Gel Formation through the Addition of Alkali Carbonates. In Proceedings of the 15th International Congress on the Chemistry of Cement 2019, Prague, Czech Republic, 16–20 September 2019. [Google Scholar]
- Costafreda, J.L.; Martín, D.A. New Deposit of Mordenite–Clinoptilolite in the Eastern Region of Cuba: Uses as Pozzolans. Molecules 2021, 26, 4676. [Google Scholar] [CrossRef] [PubMed]
- Puertas, F.; Torres-Carrasco, M. Use of glass waste as an activator in the preparation of alkali-activated slag. Mechanical strength and paste characterisation. Cem. Concr. Res. 2014, 57, 95–104. [Google Scholar] [CrossRef]
- Dewitte, C.; Bertron, A.; Neji, M.; Lacarrière, L.; Dauzères, A. Chemical and Microstructural Properties of Designed Cohesive M-S-H Pastes. Materials 2022, 15, 547. [Google Scholar] [CrossRef]
- Jiangxiong, W.; Yimin, C.; Yongxin, L. The reaction mechanism between MgO and microsilica at room temperature. J. Wuhan Univ. Technol. Sci. Ed. 2006, 21, 88–91. [Google Scholar] [CrossRef]
- Dung, N.; Unluer, C. Development of MgO concrete with enhanced hydration and carbonation mechanisms. Cem. Concr. Res. 2018, 103, 160–169. [Google Scholar] [CrossRef]
- Dung, N.T.; Unluer, C. Sequestration of CO2 in reactive MgO cement-based mixes with enhanced hydration mechanisms. Constr. Build. Mater. 2017, 143, 71–82. [Google Scholar] [CrossRef]
- Hill, R.J.; Canterford, J.H.; Moyle, F.J. New data for lansfordite. Miner. Mag. 1982, 46, 453–457. [Google Scholar] [CrossRef]
- Walling, S.A.; Provis, J.L. Magnesia-Based Cements: A Journey of 150 Years, and Cements for the Future? Chem. Rev. 2016, 116, 4170–4204. [Google Scholar] [CrossRef] [PubMed]
- Tran, H.; Scott, A. Strength and workability of magnesium silicate hydrate binder systems. Constr. Build. Mater. 2017, 131, 526–535. [Google Scholar] [CrossRef]
- Jauffret, G.; Morrison, J.; Glasser, F.P. On the thermal decomposition of nesquehonite. J. Therm. Anal. Calorim. 2015, 122, 601–609. [Google Scholar] [CrossRef]
- Vágvölgyi, V.; Frost, R.L.; Hales, M.; Locke, A.; Kristóf, J.; Horváth, E. Controlled rate thermal analysis of hydromagnesite. J. Therm. Anal. Calorim. 2008, 92, 893–897. [Google Scholar] [CrossRef]
- Ren, H.; Chen, Z.; Wu, Y.; Yang, M.; Chen, J.; Hu, H.; Liu, J. Thermal characterization and kinetic analysis of nesquehonite, hydromagnesite, and brucite, using TG–DTG and DSC techniques. J. Therm. Anal. Calorim. 2013, 115, 1949–1960. [Google Scholar] [CrossRef]
- Frost, R.L.; Kloprogge, J. Infrared emission spectroscopic study of brucite. Spectrochim. Acta Part A Mol. Biomol. Spectrosc. 1999, 55, 2195–2205. [Google Scholar] [CrossRef]
- Zhang, Y.; Li, Y.; Xu, Y.; Sang, S.; Jin, S. Enhanced formation of magnesium silica hydrates (M-S-H) using sodium metasilicate and caustic magnesia in magnesia castables. Ceram. Int. 2017, 43, 9110–9116. [Google Scholar] [CrossRef]
- Frost, R.L.; Palmer, S.J. Infrared and infrared emission spectroscopy of nesquehonite Mg(OH)(HCO3)·2H2O—Implications for the formula of nesquehonite. Spectrochim. Acta Part A Mol. Biomol. Spectrosc. 2010, 78, 1255–1260. [Google Scholar] [CrossRef] [PubMed]
- Morgan, B.; Wilson, S.A.; Madsen, I.C.; Gozukara, Y.M.; Habsuda, J. Increased thermal stability of nesquehonite (MgCO3·3H2O) in the presence of humidity and CO2: Implications for low-temperature CO2 storage. Int. J. Greenh. Gas Control 2015, 39, 366–376. [Google Scholar] [CrossRef]
- Carlin, W.; Malvoisin, B.; Lanson, B.; Brunet, F.; Findling, N.; Lanson, M.; Magnin, V.; Fargetton, T.; Jeannin, L.; Lhote, O. FeIII-substituted brucite: Hydrothermal synthesis from (Mg0.8FeII0.2)-brucite, crystal chemistry and relevance to the alteration of ultramafic rocks. Appl. Clay Sci. 2023, 234, 106845. [Google Scholar] [CrossRef]
- Chen, B.; Deng, M.; Huang, X.; Mo, L.; Huang, B.; Lan, X. Siliceous and dolomitic-bearing aggregates reaction in Tetramethylammonium hydroxide. Constr. Build. Mater. 2021, 299, 123948. [Google Scholar] [CrossRef]
- Natsi, P.D.; Goudas, K.-A.; Koutsoukos, P.G. Phosphorus Recovery from Municipal Wastewater: Brucite from MgO Hydrothermal Treatment as Magnesium Source. Crystals 2023, 13, 208. [Google Scholar] [CrossRef]
- Rausis, K.; Ćwik, A.; Casanova, I. Phase evolution during accelerated CO2 mineralization of brucite under concentrated CO2 and simulated flue gas conditions. J. CO2 Util. 2019, 37, 122–133. [Google Scholar] [CrossRef]
- Gautier, Q.; Bénézeth, P.; Mavromatis, V.; Schott, J. Hydromagnesite solubility product and growth kinetics in aqueous solution from 25 to 75 °C. Geochim. Cosmochim. Acta 2014, 138, 1–20. [Google Scholar] [CrossRef]
- Soares, E.G.; Castro-Gomes, J. Carbonation curing influencing factors of Carbonated Reactive Magnesia Cements (CRMC)—A review. J. Clean. Prod. 2021, 305, 127210. [Google Scholar] [CrossRef]
- Li, Z.; Zhang, Z.; Qin, J.; Yue, Y.; Qian, J. Influence of nesquehonite seeds on hydration and carbonation of reactive magnesia cement. Constr. Build. Mater. 2023, 409, 134034. [Google Scholar] [CrossRef]
- German, A.; Winnefeld, F.; Lura, P.; Rentsch, D.; Lothenbach, B. Hydrous carbonate-containing brucite (HCB) in MgO/hydromagnesite blends. Cem. Concr. Res. 2023, 173, 107304. [Google Scholar] [CrossRef]
- Wang, Y.; Liu, J.; Shi, T.; Li, C.; Wang, Q.; Zhang, J.; Zhu, Y.; Li, X.; Yuan, Z.; Yin, W. Synthesis and pore structure construction mechanism of porous nesquehonite. Powder Technol. 2022, 398, 117154. [Google Scholar] [CrossRef]
- Cheng, W.; Fang, L.; Cheng, H.; Li, E.; Zhang, C.; Cheng, F. Formation of MgCO3·3H2O in the CO2 mineralization system using Mg(OH)2 as an intermediate at 20 °C. J. Ind. Eng. Chem. 2019, 76, 215–222. [Google Scholar] [CrossRef]
- Wu, X.; Cao, H.; Yin, G.; Yin, J.; Lu, Y.; Li, B. MgCO3·3H2O and MgO complex nanostructures: Controllable biomimetic fabrication and physical chemical properties. Phys. Chem. Chem. Phys. 2010, 13, 5047–5052. [Google Scholar] [CrossRef]
- Scarlett, N.V.Y.; Madsen, I.C. Quantification of Phases with Partial or No Known Crystal Structures. Powder Diffr. 2006, 21, 278–284. [Google Scholar] [CrossRef]
- Adu-Amankwah, S.; Black, L.; Zajac, M. Application of the Rietveld-PONKCS Technique for Quantitative Analysis of Cements and Pitfalls of Hydration Stopping Methods. Adv. Civ. Eng. Mater. 2022, 11, 20210164. [Google Scholar] [CrossRef]










| Mg/Si | ||||
|---|---|---|---|---|
| C-1-H | NC-1-H | C-1-L | NC-1-L | |
| Mean | 0.85 | 1.35 | 1.27 | 1.18 |
| Std. Dvtn | 0.12 | 0.16 | 0.17 | 0.13 |
| Coef. Var.(%) | 14.72 | 12.22 | 13.08 | 10.60 |
| Composition (Weight %) |
Bulk Density | Surface Area | Particle Size | ||||||||||
|---|---|---|---|---|---|---|---|---|---|---|---|---|---|
| D10 | D50 | D90 | |||||||||||
| MgO | SiO2 | CaO | Fe2O3 | Al2O3 | Cl− | SO3− | LOI | (g/cm3) | (m2/g) | (µm) | (µm) | (µm) | |
| MgO | 97.5 | 0.22 | 0.6 | 0.08 | 0.1 | 0.34 | 0.04 | 1.1 | 0.35 | 21 | 1.69 | 6.25 | 15.7 |
| SiO2 | 0.3 | 95.7 | 0.35 | 0.25 | 0.65 | *** | *** | 1.9 | 0.55 | 26 | 0.1 | 0.7 | 12.01 |
|
Mix Denotation |
SiO2/MgO (By Weight) |
Water/solid (By Weight) |
CO2 * Exposure |
|---|---|---|---|
| NC-0-L | 0 | 0.42 | No |
| C-0-L | 0 | 0.42 | Yes |
| NC-0-H | 0 | 0.8 | No |
| C-0-H | 0 | 0.8 | Yes |
| NC-0.25-L | 0.25 | 0.42 | No |
| C-0.25-L | 0.25 | 0.42 | Yes |
| NC-0.25-H | 0.25 | 0.8 | No |
| C-0.25-H | 0.25 | 0.8 | Yes |
| NC-1-L | 1 | 0.42 | No |
| C-1-L | 1 | 0.42 | Yes |
| NC-1-H | 1 | 0.8 | No |
| C-1-H | 1 | 0.8 | Yes |
Disclaimer/Publisher’s Note: The statements, opinions and data contained in all publications are solely those of the individual author(s) and contributor(s) and not of MDPI and/or the editor(s). MDPI and/or the editor(s) disclaim responsibility for any injury to people or property resulting from any ideas, methods, instructions or products referred to in the content. |
© 2025 by the authors. Licensee MDPI, Basel, Switzerland. This article is an open access article distributed under the terms and conditions of the Creative Commons Attribution (CC BY) license (https://creativecommons.org/licenses/by/4.0/).
Share and Cite
Mármol, G.; Fernández-Jiménez, A.; Blanco-Varela, M.-T.; García-Lodeiro, I. Carbonation and Phase Evolution in MgO-SiO2 Cements: Impact on Strength. Molecules 2025, 30, 1072. https://doi.org/10.3390/molecules30051072
Mármol G, Fernández-Jiménez A, Blanco-Varela M-T, García-Lodeiro I. Carbonation and Phase Evolution in MgO-SiO2 Cements: Impact on Strength. Molecules. 2025; 30(5):1072. https://doi.org/10.3390/molecules30051072
Chicago/Turabian StyleMármol, Gonzalo, Ana Fernández-Jiménez, María-Teresa Blanco-Varela, and Inés García-Lodeiro. 2025. "Carbonation and Phase Evolution in MgO-SiO2 Cements: Impact on Strength" Molecules 30, no. 5: 1072. https://doi.org/10.3390/molecules30051072
APA StyleMármol, G., Fernández-Jiménez, A., Blanco-Varela, M.-T., & García-Lodeiro, I. (2025). Carbonation and Phase Evolution in MgO-SiO2 Cements: Impact on Strength. Molecules, 30(5), 1072. https://doi.org/10.3390/molecules30051072

