Synthetic Approaches to Novel DPP-IV Inhibitors—A Literature Review
Abstract
1. Introduction
2. Five-Membered Heterocycles
2.1. Five-Membered Heterocycles with One Heteroatom and Their Benzo-Fused Derivatives
2.1.1. Cyanopyrrolidine
2.1.2. Indole and Isoindole
2.2. Five-Membered Heterocycles with Two Heteroatom and Their Benzo-Fused Derivatives
2.2.1. Pyrazole
2.2.2. Isoxazole
2.2.3. Imidazole
2.3. Five-Membered Heterocycles with Three Heteroatoms and Their Benzo-Fused Derivatives
2.3.1. Triazole
2.3.2. Oxadiazole
3. Six-Membered Heterocycles
3.1. Six-Membered Heterocycles with One Heteroatom and Their Benzo-Fused Derivatives
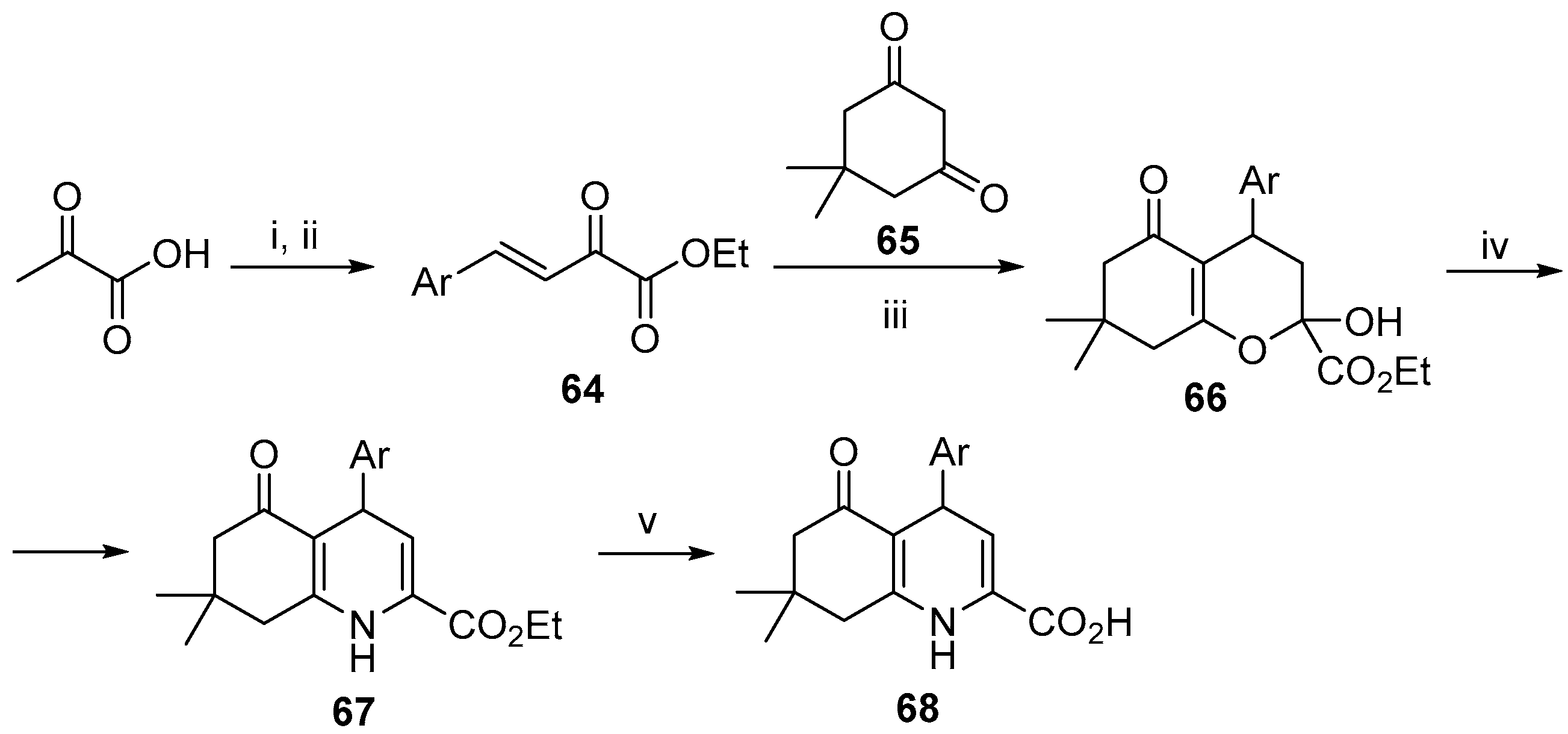
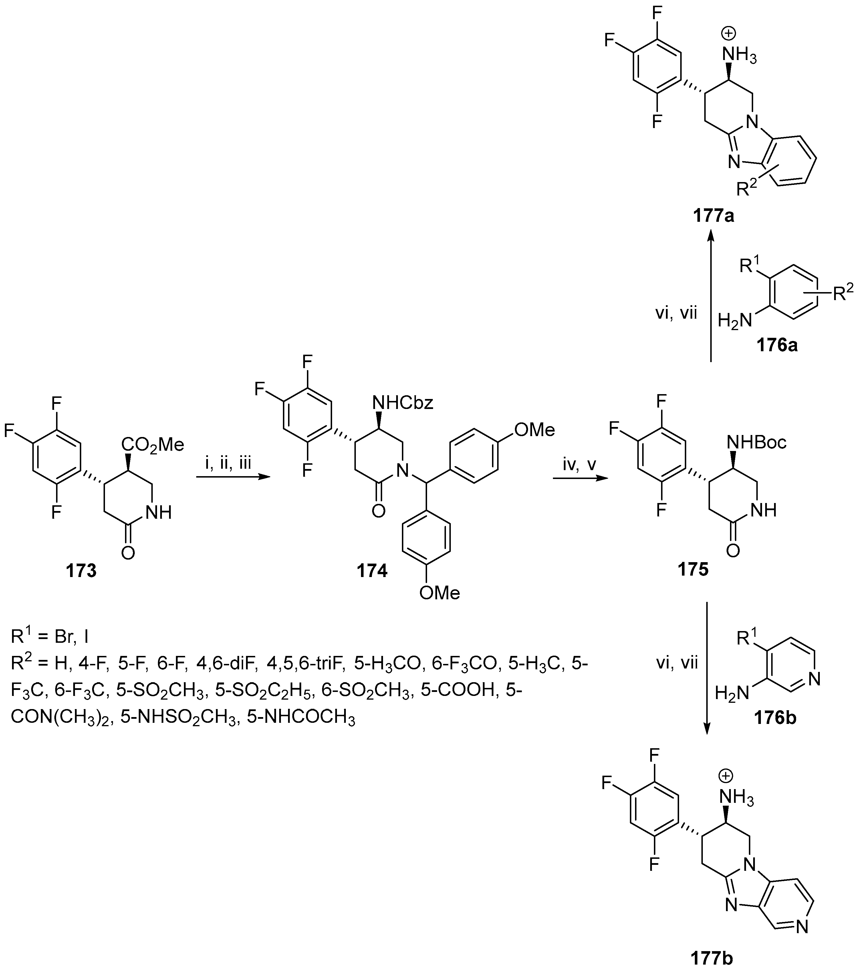
3.1.1. Pyridine, Piperidine, Quinoline, and Isoquinoline
3.1.2. Coumarin
3.2. Six-Membered Heterocycles with Two Heteroatoms and Their Benzo-Fused Derivatives
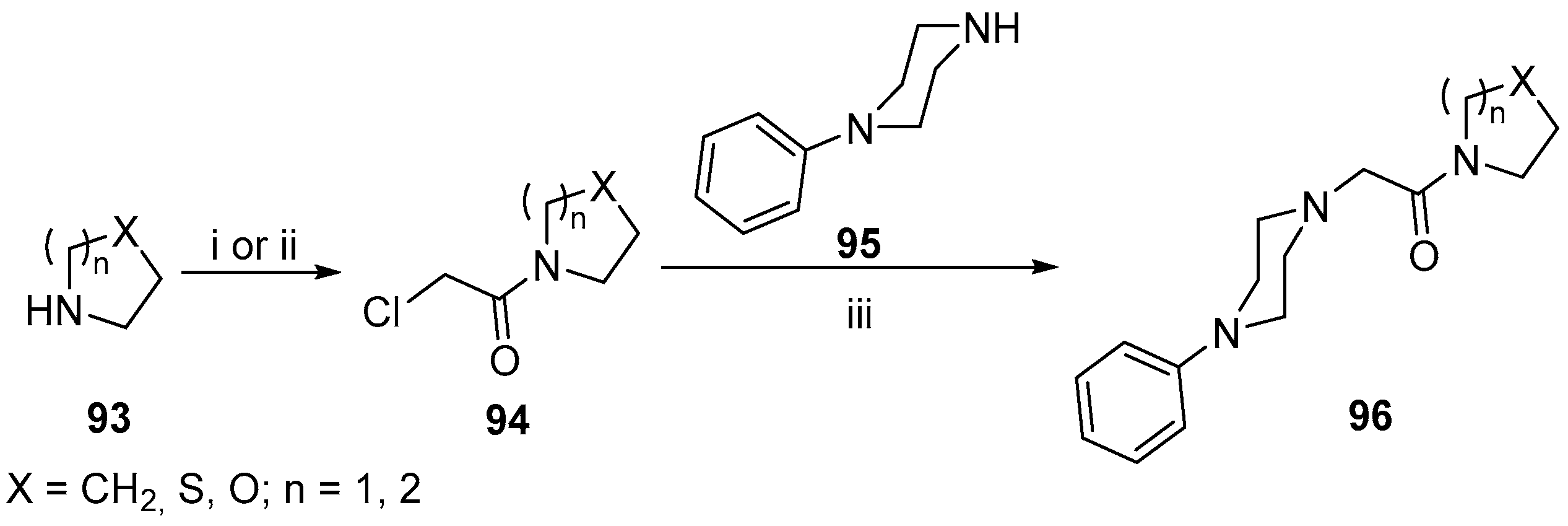
3.2.1. Piperazine
3.2.2. Pyridazine
3.2.3. Quinazoline and Quinoxaline
3.2.4. Pyrimidine
3.2.5. 1,4-Dioxane
3.3. Six-Membered Heterocycles with Three Heteroatoms and Their Benzo-Fused Derivatives
Triazine
4. Polycyclic Fused Heterocycles
4.1. Bicyclic 5-5 Systems
4.2. Bicyclic 5-6 Systems
4.3. Bicyclic 6-6 Systems
4.4. Tricyclic Systems
5. Conclusions
Author Contributions
Funding
Institutional Review Board Statement
Informed Consent Statement
Data Availability Statement
Acknowledgments
Conflicts of Interest
References
- Ahrén, B.; Simonsson, E.; Larsson, H.; Landin-Olsson, M.; Torgeirsson, H.; Jansson, P.-A.; Sandqvist, M.; Båvenholm, P.; Efendic, S.; Eriksson, J.W.; et al. Inhibition of Dipeptidyl Peptidase IV Improves Metabolic Control Over a 4-Week Study Period in Type 2 Diabetes. Diabetes Care 2002, 25, 869–875. [Google Scholar] [CrossRef] [PubMed]
- Augustyns, K.; Veken, P.V.d.; Senten, K.; Haemers, A. The Therapeutic Potential of Inhibitors of Dipeptidyl Peptidase IV (DPP IV) and Related Proline-Specific Dipeptidyl Aminopeptidases. Curr. Med. Chem. 2005, 12, 971–998. [Google Scholar] [CrossRef] [PubMed]
- Gorrell, M.D. Dipeptidyl Peptidase IV and Related Enzymes in Cell Biology and Liver Disorders. Clin. Sci. 2005, 108, 277–292. [Google Scholar] [CrossRef] [PubMed]
- Baggio, L.L.; Drucker, D.J. Biology of Incretins: GLP-1 and GIP. Gastroenterology 2007, 132, 2131–2157. [Google Scholar] [CrossRef]
- Penaforte-Saboia, J.G.; Couri, C.E.B.; Albuquerque, N.V.; Silva, V.L.L.; Olegario, N.B.D.C.; Fernandes, V.O.; Montenegro Junior, R.M. Emerging Roles of Dipeptidyl Peptidase-4 Inhibitors in Delaying the Progression of Type 1 Diabetes Mellitus. Diabetes Metab. Syndr. Obes. 2021, 14, 565–573. [Google Scholar] [CrossRef]
- Deacon, C.F. Dipeptidyl Peptidase 4 Inhibitors in The Treatment of Type 2 Diabetes Mellitus. Nat. Rev. Endocrinol. 2020, 16, 642–653. [Google Scholar] [CrossRef]
- Kerru, N.; Singh-Pillay, A.; Awolade, P.; Singh, P. Current Anti-Diabetic Agents and Their Molecular Targets: A Review. Eur. J. Med. Chem. 2018, 152, 436–488. [Google Scholar] [CrossRef]
- Nar, H.; Schnapp, G.; Hucke, O.; Hardman, T.C.; Klein, T. Action of Dipeptidyl Peptidase-4 Inhibitors on SARS-CoV-2 Main Protease. ChemMedChem 2021, 16, 1425–1426. [Google Scholar] [CrossRef]
- Solerte, S.B.; Di Sabatino, A.; Galli, M.; Fiorina, P. Dipeptidyl Peptidase-4 (DPP4) Inhibition in COVID-19. Acta Diabetol. 2020, 57, 779–783. [Google Scholar] [CrossRef]
- Strollo, R.; Pozzilli, P. DPP4 inhibition: Preventing SARS-CoV-2 infection and/or progression of COVID-19? Diabetes Metab. Res. Rev. 2020, 36, e3330. [Google Scholar] [CrossRef]
- Zein, A.F.M.Z.; Raffaello, W.M. Dipeptidyl Peptidase-4 (DPP-IV) Inhibitor was Associated with Mortality Reduction in COVID-19—A Systematic Review and Meta-Analysis. Prim. Care Diabetes 2022, 16, 162–167. [Google Scholar] [CrossRef] [PubMed]
- Nag, S.; Mandal, S.; Mukherjee, O.; Mukherjee, S.; Kundu, R. DPP-4 Inhibitors as a Savior for COVID-19 Patients with Diabetes. Future Virol. 2023, 18, 321–333. [Google Scholar] [CrossRef] [PubMed]
- Busek, P.; Duke-Cohan, J.S.; Sedo, A. Does DPP-IV Inhibition Offer New Avenues for Therapeutic Intervention in Malignant Disease? Cancers 2022, 14, 2072. [Google Scholar] [CrossRef] [PubMed]
- Sourav, D.; Subhasis, B.; Kumar, S.K.A.; Priyankar, P. Critical Role of Dipeptidyl Peptidase IV: A Therapeutic Target for Diabetes and Cancer. Mini-Rev. Med. Chem. 2019, 19, 88–97. [Google Scholar] [CrossRef]
- Kang, S.M.; Park, J.H. Pleiotropic Benefits of DPP-4 Inhibitors Beyond Glycemic Control. Clin. Med. Insights Endocrinol. Diabetes 2021, 14, 11795514211051698. [Google Scholar] [CrossRef]
- Ribeiro-Silva, J.C.; Marques, V.B.; dos Santos, L. Effects of Dipeptidyl Peptidase 4 Inhibition on The Endothelial Control of The Vascular Tone. Am. J. Physiol. Cell Physiol. 2023, 325, C972–C980. [Google Scholar] [CrossRef]
- Akoumianakis, I.; Antoniades, C. Dipeptidyl Peptidase IV Inhibitors as Novel Regulators of Vascular Disease. Vasc. Pharmacol. 2017, 96–98, 1–4. [Google Scholar] [CrossRef]
- Reinhold, D.; Kähne, T.; Steinbrecher, A.; Wrenger, S.; Neubert, K.; Ansorge, S.; Brocke, S. The Role of Dipeptidyl Peptidase IV (DP IV) Enzymatic Activity in T Cell Activation and Autoimmunity. Biol. Chem. 2002, 383, 1133–1138. [Google Scholar] [CrossRef]
- Al-Badri, G.; Leggio, G.M.; Musumeci, G.; Marzagalli, R.; Drago, F.; Castorina, A. Tackling Dipeptidyl Peptidase IV in Neurological Disorders. Neural Regen. Res. 2018, 13, 26–34. [Google Scholar] [CrossRef]
- Złotek, M.; Kurowska, A.; Herbet, M.; Piątkowska-Chmiel, I. GLP-1 Analogs, SGLT-2, and DPP-4 Inhibitors: A Triad of Hope for Alzheimer’s Disease Therapy. Biomedicines 2023, 11, 3035. [Google Scholar] [CrossRef]
- Layman, S.N.; Elliott, W.V.; Neu, D.W.; Howard, T.G.; Hamby, A. Alogliptin and Heart Failure Outcomes in Patients With Type 2 Diabetes. J. Pharm. Pract. 2024, 37, 410–414. [Google Scholar] [CrossRef] [PubMed]
- Doggrell, S.A.; Dimmitt, S.B. Gliptins-do they increase cardiovascular risk or benefit? Expert Opin. Drug Saf. 2014, 13, 675–680. [Google Scholar] [CrossRef] [PubMed]
- Bowes, C.D.; Lien, L.F.; Butler, J. Assessment of Heart Failure in Diabetes Cardiovascular Outcomes Trials: Is What We Are Currently Capturing Adequate? Curr. Diabetes Rep. 2019, 19, 39. [Google Scholar] [CrossRef] [PubMed]
- Vaduganathan, M.; Singh, A.; Sharma, A.; Januzzi, J.L.; Scirica, B.M.; Butler, J.; Zannad, F.; McGuire, D.K.; Cannon, C.P.; Bhatt, D.L. Contemporary Trends in Prescription of Dipeptidyl Peptidase-4 Inhibitors in the Context of US Food and Drug Administration Warnings of Heart Failure Risk. Am. J. Cardiol. 2020, 125, 1577–1581. [Google Scholar] [CrossRef]
- Juillerat-Jeanneret, L. Dipeptidyl Peptidase IV and Its Inhibitors: Therapeutics for Type 2 Diabetes and What Else? J. Med. Chem. 2014, 57, 2197–2212. [Google Scholar] [CrossRef]
- Kwok, A.J.; Mashar, M.; Khavandi, K.; Sabir, I. DPP-IV Inhibitors: Beyond Glycaemic Control? Trends Cardiovas Med. 2014, 24, 157–164. [Google Scholar] [CrossRef]
- Deacon, C.F. A Review of Dipeptidyl Peptidase-4 Inhibitors. Hot Topics from Randomized Controlled Trials. Diabetes Obes. Metab. 2018, 20, 34–46. [Google Scholar] [CrossRef]
- Lei, Y.; Hu, L.; Yang, G.; Piao, L.; Jin, M.; Cheng, X. Dipeptidyl Peptidase-IV Inhibition for the Treatment of Cardiovascular Disease-Recent Insights Focusing on Angiogenesis and Neovascularization. Circ. J. 2017, 81, 770–776. [Google Scholar] [CrossRef]
- Ambhore, J.P.; Laddha, P.R.; Nandedkar, A.; Ajmire, P.V.; Chumbhale, D.S.; Navghare, A.B.; Kuchake, V.G.; Chaudhari, P.J.; Adhao, V.S. Medicinal Chemistry of Non-Peptidomimetic Dipeptidyl Peptidase IV (DPP IV) Inhibitors for Treatment of Type-2 Diabetes Mellitus: Insights on Recent Development. J. Mol. Struct. 2023, 1284, 135249. [Google Scholar] [CrossRef]
- Mulakayala, N.; Reddy Ch, U.; Iqbal, J.; Pal, M. Synthesis of Dipeptidyl Peptidase-4 Inhibitors: A Brief Overview. Tetrahedron 2010, 66, 4919–4938. [Google Scholar] [CrossRef]
- Jens-Uwe, P. 11 Years of Cyanopyrrolidines as DPP-IV Inhibitors. Curr. Top Med. Chem. 2007, 7, 579–595. [Google Scholar] [CrossRef]
- Del Prato, S. Dipeptidyl Peptidase 4 Inhibition and Vildagliptin Therapy for Type 2 Diabetes. Int. J. Clin. Pract 2007, 61, 38–48. [Google Scholar] [CrossRef] [PubMed]
- Augeri, D.J.; Robl, J.A.; Betebenner, D.A.; Magnin, D.R.; Khanna, A.; Robertson, J.G.; Wang, A.; Simpkins, L.M.; Taunk, P.; Huang, Q.; et al. Discovery and Preclinical Profile of Saxagliptin (BMS-477118): A Highly Potent, Long-Acting, Orally Active Dipeptidyl Peptidase IV Inhibitor for the Treatment of Type 2 Diabetes. J. Med. Chem. 2005, 48, 5025–5037. [Google Scholar] [CrossRef] [PubMed]
- Hulin, B.; Cabral, S.; Lopaze, M.G.; Van Volkenburg, M.A.; Andrews, K.M.; Parker, J.C. New Fluorinated Pyrrolidine and Azetidine Amides as Dipeptidyl Peptidase IV Inhibitors. Bioorg. Med. Chem. Lett. 2005, 15, 4770–4773. [Google Scholar] [CrossRef]
- Kumar, S.; Mittal, A.; Mittal, A. A Review Upon Medicinal Perspective and Designing Rationale of DPP-4 Inhibitors. Bioorg. Med. Chem. 2021, 46, 116354. [Google Scholar] [CrossRef]
- Ashworth, D.M.; Atrash, B.; Baker, G.R.; Baxter, A.J.; Jenkins, P.D.; Jones, D.M.; Szelke, M. 2-Cyanopyrrolidides as Potent, Stable Inhibitors of Dipeptidyl Peptidase IV. Bioorg. Med. Chem. Lett. 1996, 6, 1163–1166. [Google Scholar] [CrossRef]
- Villhauer, E.B.; Brinkman, J.A.; Naderi, G.B.; Burkey, B.F.; Dunning, B.E.; Prasad, K.; Mangold, B.L.; Russell, M.E.; Hughes, T.E. 1-[[(3-Hydroxy-1-adamantyl)amino]acetyl]-2-cyano-(S)-pyrrolidine: A Potent, Selective, and Orally Bioavailable Dipeptidyl Peptidase IV Inhibitor with Antihyperglycemic Properties. J. Med. Chem. 2003, 46, 2774–2789. [Google Scholar] [CrossRef]
- Ji, X.; Su, M.; Wang, J.; Deng, G.; Deng, S.; Li, Z.; Tang, C.; Li, J.; Li, J.; Zhao, L.; et al. Design, Synthesis and Biological Evaluation of Hetero-Aromatic Moieties Substituted Pyrrole-2-Carbonitrile Derivatives as Dipeptidyl Peptidase IV Inhibitors. Eur. J. Med. Chem. 2014, 75, 111–122. [Google Scholar] [CrossRef]
- Jadav, P.; Bahekar, R.; Shah, S.R.; Patel, D.; Joharapurkar, A.; Kshirsagar, S.; Jain, M.; Shaikh, M.; Sairam, K.V.V.M. Long-Acting Peptidomimetics Based DPP-IV Inhibitors. Bioorg. Med. Chem. Lett. 2012, 22, 3516–3521. [Google Scholar] [CrossRef]
- Fukushima, H.; Hiratate, A.; Takahashi, M.; Saito-Hori, M.; Munetomo, E.; Kitano, K.; Saito, H.; Takaoka, Y.; Yamamoto, K. Synthesis and Structure-Activity Relationships of Potent 1-(2-Substituted-Aminoacetyl)-4-Fluoro-2-Cyanopyrrolidine Dipeptidyl Peptidase IV Inhibitors. Chem. Pharm. Bull 2008, 56, 1110–1117. [Google Scholar] [CrossRef][Green Version]
- Middleton, W.J. New Fluorinating Reagents. Dialkylaminosulfur Fluorides. J. Org. Chem. 1975, 40, 574–578. [Google Scholar] [CrossRef]
- Demange, L.; Ménez, A.; Dugave, C. Practical Synthesis of Boc and Fmoc Protected 4-Fluoro and 4-Difluoroprolines from Trans-4-Hydroxyproline. Tetrahedron Lett. 1998, 39, 1169–1172. [Google Scholar] [CrossRef]
- Fukushima, H.; Hiratate, A.; Takahashi, M.; Saito, M.; Munetomo, E.; Kitano, K.; Saito, H.; Takaoka, Y.; Yamamoto, K. Synthesis and Structure–Activity Relationships of Potent 3- or 4-Substituted-2-Cyanopyrrolidine Dipeptidyl Peptidase IV Inhibitors. Bioorg. Med. Chem. 2004, 12, 6053–6061. [Google Scholar] [CrossRef] [PubMed]
- Tsai, T.-Y.; Hsu, T.; Chen, C.-T.; Cheng, J.-H.; Chiou, M.-C.; Huang, C.-H.; Tseng, Y.-J.; Yeh, T.-K.; Huang, C.-Y.; Yeh, K.-C.; et al. Rational Design and Synthesis of Potent and Long-Lasting Glutamic Acid-Based Dipeptidyl Peptidase IV Inhibitors. Bioorg. Med. Chem. Lett. 2009, 19, 1908–1912. [Google Scholar] [CrossRef]
- Lu, I.L.; Lee, S.-J.; Tsu, H.; Wu, S.-Y.; Kao, K.-H.; Chien, C.-H.; Chang, Y.-Y.; Chen, Y.-S.; Cheng, J.-H.; Chang, C.-N.; et al. Glutamic Acid Analogues as Potent Dipeptidyl Peptidase IV and 8 Inhibitors. Bioorg. Med. Chem. Lett. 2005, 15, 3271–3275. [Google Scholar] [CrossRef]
- Sakashita, H.; Akahoshi, F.; Yoshida, T.; Kitajima, H.; Hayashi, Y.; Ishii, S.; Takashina, Y.; Tsutsumiuchi, R.; Ono, S. Lead Optimization of [(S)-γ-(arylamino)prolyl]thiazolidine Focused on γ-Substituent: Indoline Compounds As Potent DPP-IV Inhibitors. Bioorg. Med. Chem. 2007, 15, 641–655. [Google Scholar] [CrossRef]
- Xiao, P.-F.; Guo, R.; Huang, S.-Q.; Cui, H.-J.; Ye, S.; Zhang, Z. Discovery of Dipeptidyl Peptidase IV (DPP4) Inhibitors Based on a Novel Indole Scaffold. Chin. Chem. Lett. 2014, 25, 673–676. [Google Scholar] [CrossRef]
- Van Goethem, S.; Van der Veken, P.; Dubois, V.; Soroka, A.; Lambeir, A.-M.; Chen, X.; Haemers, A.; Scharpé, S.; De Meester, I.; Augustyns, K. Inhibitors of Dipeptidyl Peptidase 8 and Dipeptidyl Peptidase 9. Part 2: Isoindoline Containing Inhibitors. Bioorg. Med. Chem. Lett. 2008, 18, 4159–4162. [Google Scholar] [CrossRef]
- Van Goethem, S.; Matheeussen, V.; Joossens, J.; Lambeir, A.-M.; Chen, X.; De Meester, I.; Haemers, A.; Augustyns, K.; Van der Veken, P. Structure–Activity Relationship Studies on Isoindoline Inhibitors of Dipeptidyl Peptidases 8 and 9 (DPP8, DPP9): Is DPP8-Selectivity an Attainable Goal? J. Med. Chem. 2011, 54, 5737–5746. [Google Scholar] [CrossRef]
- Yoshida, T.; Akahoshi, F.; Sakashita, H.; Kitajima, H.; Nakamura, M.; Sonda, S.; Takeuchi, M.; Tanaka, Y.; Ueda, N.; Sekiguchi, S.; et al. Discovery and Preclinical Profile of Teneligliptin (3-[(2S,4S)-4-[4-(3-methyl-1-phenyl-1H-pyrazol-5-yl)piperazin-1-yl]pyrrolidin-2-ylcarbonyl]thiazolidine): A Highly Potent, Selective, Long-Lasting and Orally Active Dipeptidyl Peptidase IV Inhibitor for the Treatment of Type 2 Diabetes. Bioorg. Med. Chem. 2012, 20, 5705–5719. [Google Scholar] [CrossRef]
- Singhal, S.; Manikrao Patil, V.; Verma, S.; Masand, N. Recent Advances and Structure-Activity Relationship Studies Of DPP-4 Inhibitors as Anti-Diabetic Agents. Bioorg. Chem. 2024, 146, 107277. [Google Scholar] [CrossRef] [PubMed]
- Sever, B.; Soybir, H.; Görgülü, Ş.; Cantürk, Z.; Altıntop, M.D. Pyrazole Incorporated New Thiosemicarbazones: Design, Synthesis and Investigation of DPP-4 Inhibitory Effects. Molecules 2020, 25, 5003. [Google Scholar] [CrossRef] [PubMed]
- Altıntop, M.D.; Temel, H.E.; Sever, B.; Akalın Çiftçi, G.; Kaplancıklı, Z.A. Synthesis and Evaluation of New Benzodioxole- Based Thiosemicarbazone Derivatives as Potential Antitumor Agents. Molecules 2016, 21, 1598. [Google Scholar] [CrossRef] [PubMed]
- Nidhar, M.; Kumar, V.; Mahapatra, A.; Gupta, P.; Yadav, P.; Sonker, P.; Kumar, A.; Mishra, S.; Singh, R.K.; Tewari, A.K. Lead Modification via Computational Studies: Synthesis of Pyrazole-Containing Β-Amino Carbonyls for The Treatment of Type 2 Diabetes. Chem. Biol. Drug Des. 2023, 101, 638–649. [Google Scholar] [CrossRef] [PubMed]
- Nidhar, M.; Sonker, P.; Sharma, V.P.; Kumar, S.; Tewari, A.K. Design, Synthesis and In-Silico & In Vitro Enzymatic Inhibition Assays of Pyrazole-Chalcone Derivatives as Dual Inhibitors of α-Amylase & DPP-4 Enzyme. Chem. Pap. 2022, 76, 1707–1720. [Google Scholar] [CrossRef]
- Nidhar, M.; Khanam, S.; Sonker, P.; Gupta, P.; Mahapatra, A.; Patil, S.; Yadav, B.K.; Singh, R.K.; Kumar Tewari, A. Click Inspired Novel Pyrazole-Triazole-Persulfonimide & Pyrazole-Triazole-Aryl Derivatives; Design, Synthesis, DPP-4 Inhibitor with Potential Anti-Diabetic Agents. Bioorg. Chem. 2022, 120, 105586. [Google Scholar] [CrossRef]
- Temel, H.E.; Altıntop, M.D.; Sever, B.; Özdemir, A.; Çiftçi, G.A. In Vitro Evaluation of 2-Pyrazoline Derivatives as DPP-4 Inhibitors. Turk. J. Biochem. 2023, 48, 104–109. [Google Scholar] [CrossRef]
- Sharma, S.; Srivastav, S.; Singh, G.; Singh, S.; Malik, R.; Alam, M.M.; Shaqiquzamman, M.; Ali, S.; Akhter, M. In Silico Strategies for Probing Novel DPP-IV Inhibitors as Anti-Diabetic Agents. J. Biomol. Struct. Dyn. 2021, 39, 2118–2132. [Google Scholar] [CrossRef]
- Elguero, J.; Silva, A.M.S.; Tomé, A.C. Five-Membered Heterocycles: 1,2-Azoles. Part 1. Pyrazoles. In Modern Heterocyclic Chemistry; Alvarez-Builla, J., Vaquero, J.J., Barluenga, J., Eds.; Wiley-VCH Verlag GmbH & Co. KGaA: Weinheim, Germany, 2011; pp. 635–725. [Google Scholar]
- Hoz, A.d.l.; Alkorta, I.; Elguero, J. The mechanism of the reaction of hydrazines with α,β-unsaturated carbonyl compounds to afford hydrazones and 2-pyrazolines (4,5-dihydro-1H-pyrazoles): Experimental and theoretical results. Tetrahedron 2021, 97, 132413. [Google Scholar] [CrossRef]
- Cheon, H.G.; Kim, S.-S.; Kim, K.-R.; Rhee, S.-D.; Yang, S.-D.; Ahn, J.H.; Park, S.-D.; Lee, J.M.; Jung, W.H.; Lee, H.S.; et al. Inhibition of Dipeptidyl Peptidase IV by Novel Inhibitors with Pyrazolidine Scaffold. Biochem. Pharmacol. 2005, 70, 22–29. [Google Scholar] [CrossRef]
- Ahn, J.H.; Kim, H.-M.; Jung, S.H.; Kang, S.K.; Kim, K.R.; Rhee, S.D.; Yang, S.-D.; Cheon, H.G.; Kim, S.S. Synthesis and DPP-IV Inhibition of Cyano-Pyrazoline Derivatives as Potent Anti-Diabetic Agents. Bioorg. Med. Chem. Lett. 2004, 14, 4461–4465. [Google Scholar] [CrossRef] [PubMed]
- Kumar, A.; Maurya, R.A.; Sharma, S.; Ahmad, P.; Singh, A.B.; Tamrakar, A.K.; Srivastava, A.K. Design and Synthesis of 3,5-Diarylisoxazole Derivatives as Novel Class of Anti-Hyperglycemic and Lipid Lowering Agents. Bioorg. Med. Chem. 2009, 17, 5285–5292. [Google Scholar] [CrossRef] [PubMed]
- Silva, A.M.S.; Tomé, A.C.; Pinho e Melo, T.M.V.D.; Elguero, J. Five-Membered Heterocycles: 1,2-Azoles. Part 2. Isoxazoles and Isothiazoles. In Modern Heterocyclic Chemistry; Alvarez-Builla, J., Vaquero, J.J., Barluenga, J., Eds.; Wiley-VCH Verlag GmbH & Co. KGaA: Weinheim, Germany, 2011; pp. 727–808. [Google Scholar]
- Karandikar, S.; Soni, R.; Soman, S.S.; Umar, S.; Suresh, B. 1,2-Benzisoxazole-3-Acetamide Derivatives as Dual Agents For DPP-IV Inhibition and Anticancer Activity. Synth. Commun. 2018, 48, 2877–2887. [Google Scholar] [CrossRef]
- Wallace, M.B.; Feng, J.; Zhang, Z.; Skene, R.J.; Shi, L.; Caster, C.L.; Kassel, D.B.; Xu, R.; Gwaltney, S.L. Structure-Based Design and Synthesis of Benzimidazole Derivatives as Dipeptidyl Peptidase IV Inhibitors. Bioorg. Med. Chem. Lett. 2008, 18, 2362–2367. [Google Scholar] [CrossRef]
- Sreeja, S.; Arul, G.D.A.S.; Mathan, S. Design, Synthesis and Biological Evaluation of 2-Aminobenzimidazole Derivatives as DPP4 Inhibitors. Curr. Bioact. Compd. 2020, 16, 696–702. [Google Scholar] [CrossRef]
- Tomovic, K.; Ilic, B.S.; Smelcerovic, Z.; Miljkovic, M.; Yancheva, D.; Kojic, M.; Mavrova, A.T.; Kocic, G.; Smelcerovic, A. Benzimidazole-Based Dual Dipeptidyl Peptidase-4 and Xanthine Oxidase Inhibitors. Chem. Biol. Interact. 2020, 315, 108873. [Google Scholar] [CrossRef]
- Gundeti, S.; Lee, J.; Park, H. Novel 1,2,3-Triazole Analogs of Sitagliptin as DPP4 Inhibitors. B Korean Chem. Soc. 2016, 37, 1156–1158. [Google Scholar] [CrossRef]
- Vo, D.-V.; Hong, K.H.; Lee, J.; Park, H. Synthesis, In Vitro Evaluation, and Computational Simulations Studies of 1,2,3-Triazole Analogues as DPP-4 Inhibitors. Bioorg. Med. Chem. 2021, 29, 115861. [Google Scholar] [CrossRef]
- Vo, D.-V.; Lee, J.; Park, H. 1,2,3-Triazole Analogs with Bulky and Conformationally Rigid Substructures: Synthesis and In Vitro Evaluation as DPP-4 Inhibitors. B Korean. Chem. Soc. 2023, 44, 425–428. [Google Scholar] [CrossRef]
- Fuh, M.-T.; Tseng, C.-C.; Li, S.-M.; Tsai, S.-E.; Chuang, T.-J.; Lu, C.-H.; Yang, Y.-C.; Tsai, H.J.; Wong, F.F. Design, Synthesis and Biological Evaluation of Glycolamide, Glycinamide, and β-Amino carbonyl 1,2,4-Triazole Derivatives as DPP-4 Inhibitors. Bioorg. Chem. 2021, 114, 105049. [Google Scholar] [CrossRef]
- Tseng, W.-C.; Wang, L.-Y.; Wu, T.-S.; Wong, F.F. ‘One-Flask’ Synthesis to 3,5-Disubstituted 1,2,4-Triazoles from Aldehydes with Hydrazonoyl Hydrochlorides via 1,3-Dipolar Cycloaddition. Tetrahedron 2011, 67, 5339–5345. [Google Scholar] [CrossRef]
- Wang, L.-Y.; Tsai, H.J.; Lin, H.-Y.; Kaneko, K.; Cheng, F.-Y.; Shih, H.-S.; Wong, F.F.; Huang, J.-J. One-Flask Synthesis of 1,3,5-Trisubstituted 1,2,4-Triazoles from Nitriles and Hydrazonoyl Chlorides via 1,3-Dipolar Cycloaddition. RSC Adv. 2014, 4, 14215–14220. [Google Scholar] [CrossRef]
- Tsai, S.-E.; Chiang, K.-H.; Tseng, C.-C.; Chen, N.-W.; Chern, C.-Y.; Wong, F.F. Facile One-Pot Synthesis of Methyl 1-Aryl-1H-1,2,4-triazole-3-carboxylates from Nitrilimines with Vilsmeier Reagent. Eur. J. Med. Chem. 2019, 2019, 1754–1762. [Google Scholar] [CrossRef]
- Dastjerdi, H.F.; Naderi, N.; Nematpour, M.; Rezaee, E.; Mahboubi-Rabbani, M.; Ebrahimi, M.; Hosseinipoor, S.; Hosseini, O.; Tabatabai, S.A. Design, Synthesis and Anti-Diabetic Activity of Novel 1,2,3-Triazole-5-Carboximidamide Derivatives as Dipeptidyl Peptidase-4 Inhibitors. J. Mol. Struc. 2020, 1221, 128745. [Google Scholar] [CrossRef]
- Xu, J.; Wei, L.; Mathvink, R.J.; Edmondson, S.D.; Eiermann, G.J.; He, H.; Leone, J.F.; Leiting, B.; Lyons, K.A.; Marsilio, F.; et al. Discovery of Potent, Selective, and Orally Bioavailable Oxadiazole-Based Dipeptidyl Peptidase IV Inhibitors. Bioorg. Med. Chem. Lett. 2006, 16, 5373–5377. [Google Scholar] [CrossRef]
- Nordhoff, S.; Bulat, S.; Cerezo-Gálvez, S.; Hill, O.; Hoffmann-Enger, B.; López-Canet, M.; Rosenbaum, C.; Rummey, C.; Thiemann, M.; Matassa, V.G.; et al. The Design of Potent and Selective Inhibitors Of DPP-4: Optimization of ADME Properties by Amide Replacements. Bioorg. Med. Chem. Lett. 2009, 19, 6340–6345. [Google Scholar] [CrossRef]
- Kaczanowska, K.; Wiesmüller, K.-H.; Schaffner, A.-P. Design, Synthesis, and in Vitro Evaluation of Novel Aminomethyl-pyridines as DPP-4 Inhibitors. Med. Chem. Lett. 2010, 1, 530–535. [Google Scholar] [CrossRef]
- Kaczanowska, K.; Eickhoff, H.; Albert, K.; Wiesmüller, K.-H.; Schaffner, A.-P. A Simple, Diversity Oriented Synthesis of Highly Substituted Pyridines. J. Heterocycl. Chem. 2011, 48, 792–798. [Google Scholar] [CrossRef]
- Kumar, A.; Sharma, S.; Tripathi, V.D.; Maurya, R.A.; Srivastava, S.P.; Bhatia, G.; Tamrakar, A.K.; Srivastava, A.K. Design and Synthesis of 2,4-Disubstituted Polyhydroquinolines as Prospective Antihyperglycemic And Lipid Modulating Agents. Bioorg. Med. Chem. 2010, 18, 4138–4148. [Google Scholar] [CrossRef]
- Sogawa, S.; Nihro, Y.; Ueda, H.; Izumi, A.; Miki, T.; Matsumoto, H.; Satoh, T. 3,4-Dihydroxychalcones as Potent 5-Lipoxygenase and Cyclooxygenase Inhibitors. J. Med. Chem. 1993, 36, 3904–3909. [Google Scholar] [CrossRef]
- El Shehry, M.F.; Ghorab, M.M.; Abbas, S.Y.; Fayed, E.A.; Shedid, S.A.; Ammar, Y.A. Quinoline Derivatives Bearing Pyrazole Moiety: Synthesis and Biological Evaluation as Possible Antibacterial and Antifungal Agents. Eur. J. Med. Chem. 2018, 143, 1463–1473. [Google Scholar] [CrossRef] [PubMed]
- Soni, R.; Durgapal, S.D.; Soman, S.S.; Georrge, J.J. Design, Synthesis and Anti-Diabetic Activity of Chromen-2-One Derivatives. Arab. J. Chem. 2019, 12, 701–708. [Google Scholar] [CrossRef]
- Shah, D.N.; Shah, N.M. The Fries Isomerization of Acetyl and Benzoyl Esters of Umbelliferones. J. Org. Chem. 1954, 19, 1681–1685. [Google Scholar] [CrossRef]
- Bigi, F.; Chesini, L.; Maggi, R.; Sartori, G. Montmorillonite KSF as an Inorganic, Water Stable, and Reusable Catalyst for the Knoevenagel Synthesis of Coumarin-3-carboxylic Acids. J. Org. Chem. 1999, 64, 1033–1035. [Google Scholar] [CrossRef]
- Soni, R.; Soman, S.S. Design and Synthesis of Aminocoumarin Derivatives As DPP-IV Inhibitors and Anticancer Agents. Bioorg. Chem. 2018, 79, 277–284. [Google Scholar] [CrossRef]
- Dakin, H.D. The Condensation of Aromatic Aldehydes with Glycine and Acetylglycine. J. Biol. Chem. 1929, 82, 439–446. [Google Scholar] [CrossRef]
- Durgapal, S.D.; Soman, S.S. Evaluation of Novel Coumarin-Proline Sulfonamide Hybrids as Anticancer and Antidiabetic Agents. Synth. Commun. 2019, 49, 2869–2883. [Google Scholar] [CrossRef]
- Jasim, S.F.; Mustafa, Y.F. Synthesis and Antidiabetic Assessment of New Coumarin-Disubstituted Benzene Conjugates: An In Silico–In Virto Study. J. Med. Chem. Sci 2022, 5, 887–899. [Google Scholar] [CrossRef]
- Waheed, S.A.; Mustafa, Y.F. The In vitro Effects of New Albocarbon-based Coumarins on Blood Glucose-controlling Enzymes. J. Med. Chem. Sci 2022, 5, 954–967. [Google Scholar] [CrossRef]
- Brockunier, L.L.; He, J.; Colwell, L.F.; Habulihaz, B.; He, H.; Leiting, B.; Lyons, K.A.; Marsilio, F.; Patel, R.A.; Teffera, Y.; et al. Substituted Piperazines as Novel Dipeptidyl Peptidase IV Inhibitors. Bioorg. Med. Chem. Lett. 2004, 14, 4763–4766. [Google Scholar] [CrossRef]
- Kushwaha, R.N.; Srivastava, R.; Mishra, A.; Rawat, A.K.; Srivastava, A.K.; Haq, W.; Katti, S.B. Design, Synthesis, Biological Screening, and Molecular Docking Studies of Piperazine-Derived Constrained Inhibitors of DPP-IV for the Treatment of Type 2 Diabetes. Chem. Biol. Drug Des. 2015, 85, 439–446. [Google Scholar] [CrossRef] [PubMed]
- Khalaf, R.A.; Alwarafi, E.; Sabbah, D. Piperazine Sulfonamides as DPP-IV Inhibitors: Synthesis, Induced-Fit Docking and Biological Evaluation. Acta Pharm. 2021, 71, 631–643. [Google Scholar] [CrossRef] [PubMed]
- Nidhar, M.; Kumar, V.; Mahapatra, A.; Gupta, P.; Yadav, B.K.; Singh, R.K.; Tewari, A.K. Ligand-Based Designing of DPP-4 Inhibitors via Hybridization; Synthesis, Docking, and Biological Evaluation of Pyridazine-Acetohydrazides. Mol. Divers 2023, 27, 2729–2740. [Google Scholar] [CrossRef] [PubMed]
- Guo, Y.-Y.; Zhang, J.-Y.; Sun, J.-F.; Gao, H. A Comprehensive Review of Small-Molecule Drugs for the Treatment of Type 2 Diabetes Mellitus: Synthetic Approaches and Clinical Applications. Eur. J. Med. Chem. 2024, 267, 116185. [Google Scholar] [CrossRef]
- Ali, Z.; Akhtar, M.J.; Haider, M.R.; Khan, A.A.; Siddiqui, A.A.; Yar, M.S. Design and Synthesis of Quinazoline-3,4-(4H)-Diamine Endowed with Thiazoline Moiety as New Class For DPP-4 and DPPH Inhibitor. Bioorg. Chem. 2017, 71, 181–191. [Google Scholar] [CrossRef]
- Ali, Z.; Akhtar, M.J.; Siddiqui, A.A.; Khan, A.A.; Haider, M.R.; Yar, M.S. Design, Synthesis, and Biological Evaluation of Novel Quinazoline Clubbed Thiazoline Derivatives. Arch. Pharm. 2017, 350, 1600298. [Google Scholar] [CrossRef]
- Zayed, M.F.; Hassan, M.H. Synthesis and Biological Evaluation Studies of Novel Quinazolinone Derivatives as Antibacterial and Anti-Inflammatory Agents. Saudi Pharm. J. 2014, 22, 157–162. [Google Scholar] [CrossRef]
- Syam, Y.M.; Anwar, M.M.; Abd El-Karim, S.S.; Elseginy, S.A.; Essa, B.M.; Sakr, T.M. New Quinoxaline Compounds as DPP-4 Inhibitors and Hypoglycemics: Design, Synthesis, Computational and Bio-Distribution Studies. RSC Adv. 2021, 11, 36989–37010. [Google Scholar] [CrossRef]
- Liu, K.K.C.; Sakya, S.M.; O’Donnell, C.J.; Flick, A.C.; Ding, H.X. Synthetic Approaches to the 2010 New Drugs. Bioorg. Med. Chem. 2012, 20, 1155–1174. [Google Scholar] [CrossRef]
- Feng, J.; Zhang, Z.; Wallace, M.B.; Stafford, J.A.; Kaldor, S.W.; Kassel, D.B.; Navre, M.; Shi, L.; Skene, R.J.; Asakawa, T.; et al. Discovery of Alogliptin: A Potent, Selective, Bioavailable, and Efficacious Inhibitor of Dipeptidyl Peptidase IV. J. Med. Chem. 2007, 50, 2297–2300. [Google Scholar] [CrossRef]
- Zhang, Z.; Wallace, M.B.; Feng, J.; Stafford, J.A.; Skene, R.J.; Shi, L.; Lee, B.; Aertgeerts, K.; Jennings, A.; Xu, R.; et al. Design and Synthesis of Pyrimidinone and Pyrimidinedione Inhibitors of Dipeptidyl Peptidase IV. J. Med. Chem. 2011, 54, 510–524. [Google Scholar] [CrossRef] [PubMed]
- Li, N.; Wang, L.-J.; Jiang, B.; Guo, S.-J.; Li, X.-Q.; Chen, X.-C.; Luo, J.; Li, C.; Wang, Y.; Shi, D.-Y. Design, Synthesis and Biological Evaluation of Novel Pyrimidinedione Derivatives as DPP-4 Inhibitors. Bioorg. Med. Chem. Lett. 2018, 28, 2131–2135. [Google Scholar] [CrossRef] [PubMed]
- Jha, V.; Bhadoriya, K.S. Synthesis, Pharmacological Evaluation and Molecular Docking Studies of Pyrimidinedione Based DPP-4 Inhibitors as Antidiabetic Agents. J. Mol. Struct. 2018, 1158, 96–105. [Google Scholar] [CrossRef]
- Huang, J.; Deng, X.; Zhou, S.; Wang, N.; Qin, Y.; Meng, L.; Li, G.; Xiong, Y.; Fan, Y.; Guo, L.; et al. Identification of Novel Uracil Derivatives Incorporating Benzoic Acid Moieties as Highly Potent Dipeptidyl Peptidase-IV Inhibitors. Bioorg. Med. Chem. 2019, 27, 644–654. [Google Scholar] [CrossRef]
- Li, Q.; Deng, X.; Jiang, N.; Meng, L.; Xing, J.; Jiang, W.; Xu, Y. Identification and Structure–Activity Relationship Exploration of Uracil-Based Benzoic Acid and Ester Derivatives as Novel Dipeptidyl Peptidase-4 Inhibitors for The Treatment of Type 2 Diabetes Mellitus. Eur. J. Med. Chem. 2021, 225, 113765. [Google Scholar] [CrossRef]
- Mourad, A.A.E.; Khodir, A.E.; Saber, S.; Mourad, M.A.E. Novel Potent and Selective DPP-4 Inhibitors: Design, Synthesis and Molecular Docking Study of Dihydropyrimidine Phthalimide Hybrids. Pharmaceuticals 2021, 14, 144. [Google Scholar] [CrossRef]
- Artasensi, A.; Angeli, A.; Lammi, C.; Bollati, C.; Gervasoni, S.; Baron, G.; Matucci, R.; Supuran, C.T.; Vistoli, G.; Fumagalli, L. Discovery of a Potent and Highly Selective Dipeptidyl Peptidase IV and Carbonic Anhydrase Inhibitor as “Antidiabesity” Agents Based on Repurposing and Morphing of WB-4101. J. Med. Chem. 2022, 65, 13946–13966. [Google Scholar] [CrossRef]
- Srivastava, J.K.; Dubey, P.; Singh, S.; Bhat, H.R.; Kumawat, M.K.; Singh, U.P. Discovery of Novel 1,3,5-Triazine-Thiazolidine-2,4-Diones as Dipeptidyl Peptidase-4 Inhibitors with Antibacterial Activity Targeting the S1 Pocket for the Treatment of Type 2 Diabetes. RSC Adv. 2015, 5, 14095–14102. [Google Scholar] [CrossRef]
- Gao, H.-D.; Liu, P.; Yang, Y.; Gao, F. Sulfonamide-1,3,5-Triazine–Thiazoles: Discovery of A Novel Class of Antidiabetic Agents via Inhibition Of DPP-4. RSC Adv. 2016, 6, 83438–83447. [Google Scholar] [CrossRef]
- Wang, Y.; Tang, X.; Yi, L. Design and Discovery of Novel 1,3,5-Triazines as Dipeptidyl Peptidase-4 Inhibitor against Diabetes. Pharmacology 2019, 103, 273–281. [Google Scholar] [CrossRef]
- Gupta, A.; Bhat, H.R.; Singh, U.P. Discovery of Novel Hybrids of Morpholino-1,3,5-Triazine-Pyrimidine as An Anti-Diabetic Agent in High-Fat, Low-Dose Streptozotocin-Induced Diabetes in Wistar Rats: An In-Vitro, In-Silico and In-Vivo Study. J. Mol. Struct. 2023, 1294, 136478. [Google Scholar] [CrossRef]
- Gupta, A.; Bhat, H.R.; Singh, U.P. Discovery of Imeglimin-Inspired Novel 1,3,5-Triazine Derivatives as Antidiabetic Agents in Streptozotocin-Induced Diabetes in Wistar Rats Via Inhibition of DPP-4. RSC Med. Chem. 2023, 14, 1512–1536. [Google Scholar] [CrossRef] [PubMed]
- Gupta, A.; Bhat, H.R.; Singh, U.P. Discovery of Novel 1,3,5-triazine Derivatives As an Antidiabetic Agent in Wistar Rats via Inhibition of DPP-4. Future Med. Chem. 2023, 15, 829–852. [Google Scholar] [CrossRef] [PubMed]
- Biftu, T.; Sinha-Roy, R.; Chen, P.; Qian, X.; Feng, D.; Kuethe, J.T.; Scapin, G.; Gao, Y.D.; Yan, Y.; Krueger, D.; et al. Omarigliptin (MK-3102): A Novel Long-Acting DPP-4 Inhibitor for Once-Weekly Treatment of Type 2 Diabetes. J. Med. Chem. 2014, 57, 3205–3212. [Google Scholar] [CrossRef]
- Biftu, T.; Qian, X.; Chen, P.; Feng, D.; Scapin, G.; Gao, Y.-D.; Cox, J.; Sinha Roy, R.; Eiermann, G.; He, H.; et al. Novel Tetrahydropyran Analogs as Dipeptidyl Peptidase IV Inhibitors: Profile of Clinical Candidate (2R,3S,5R)-2-(2,5-difluorophenyl)-5-[2-(methylsulfonyl)-2,6-dihydropyrrolo[3,4-c]pyrazol-5(4H)-yl]tetrahydro-2H-pyran-3-amine (23). Bioorg. Med. Chem. Lett. 2013, 23, 5361–5366. [Google Scholar] [CrossRef]
- Betancort, J.M.; Winn, D.T.; Liu, R.; Xu, Q.; Liu, J.; Liao, W.; Chen, S.-H.; Carney, D.; Hanway, D.; Schmeits, J.; et al. Bicyclic Cyanothiazolidines as Novel Dipeptidyl Peptidase 4 Inhibitors. Bioorg. Med. Chem. Lett. 2009, 19, 4437–4440. [Google Scholar] [CrossRef]
- Zhang, C.; Ye, F.; Wang, J.; He, P.; Lei, M.; Huang, L.; Huang, A.; Tang, P.; Lin, H.; Liao, Y.; et al. Design, Synthesis, and Evaluation of a Series of Novel Super Long-Acting DPP-4 Inhibitors for the Treatment of Type 2 Diabetes. J. Med. Chem. 2020, 63, 7108–7126. [Google Scholar] [CrossRef]
- Li, Q.; Zhou, M.; Han, L.; Cao, Q.; Wang, X.; Zhao, L.; Zhou, J.; Zhang, H. Design, Synthesis and Biological Evaluation of Imidazo [1,2-a]pyridine Derivatives as Novel DPP-4 Inhibitors. Chem. Biol. Drug Des. 2015, 86, 849–856. [Google Scholar] [CrossRef]
- Sheng, Y.; Sun, B.; Guo, W.-T.; Liu, X.; Wang, Y.-C.; Xie, X.; Xiao, X.-L.; Li, N.; Dong, D.-L. (4-[6-(4-isopropoxyphenyl)pyrazolo [1,5-a]pyrimidin-3-yl] quinoline) Is a Novel Inhibitor of Autophagy. Br. J. Pharmacol. 2014, 171, 4970–4980. [Google Scholar] [CrossRef]
- Sheng, Y.; Sun, B.; Xie, X.; Li, N.; Dong, D. DMH1 (4-[6-(4-isopropoxyphenyl)pyrazolo [1,5-a]pyrimidin-3-yl]quinoline) Inhibits Chemotherapeutic Drug-Induced Autophagy. Acta Pharm. Sin. B 2015, 5, 330–336. [Google Scholar] [CrossRef]
- Guerrini, G.; Ciciani, G.; Daniele, S.; Di Cesare Mannelli, L.; Ghelardini, C.; Martini, C.; Selleri, S. Synthesis and Pharmacological Evaluation of Pyrazolo [1,5-a]pyrimidin-7(4H)-one Derivatives As Potential GABAA-R Ligands. Bioorg. Med. Chem. 2017, 25, 1901–1906. [Google Scholar] [CrossRef] [PubMed]
- Deng, X.; Shen, J.; Zhu, H.; Xiao, J.; Sun, R.; Xie, F.; Lam, C.; Wang, J.; Qiao, Y.; Tavallaie, M.S.; et al. Surrogating And Redirection of Pyrazolo [1,5-a]pyrimidin-7(4H)-one Core, a Novel Class of Potent and Selective DPP-4 Inhibitors. Bioorg. Med. Chem. 2018, 26, 903–912. [Google Scholar] [CrossRef] [PubMed]
- Shen, J.; Deng, X.; Sun, R.; Tavallaie, M.S.; Wang, J.; Cai, Q.; Lam, C.; Lei, S.; Fu, L.; Jiang, F. Structural Optimization of Pyrazolo [1,5-a]pyrimidine Derivatives as Potent and Highly Selective DPP-4 Inhibitors. Eur. J. Med. Chem. 2020, 208, 112850. [Google Scholar] [CrossRef] [PubMed]
- Patel, B.D.; Bhadada, S.V.; Ghate, M.D. Design, Synthesis and Anti-Diabetic Activity of Triazolotriazine Derivatives as Dipeptidyl Peptidase-4 (DPP-4) Inhibitors. Bioorg. Chem. 2017, 72, 345–358. [Google Scholar] [CrossRef]
- Rohilla, A.; Gupta, T.; Pathak, A.; Akhtar, M.J.; Haider, M.R.; Haider, K.; Shahar Yar, M. Emergence of Promising Novel DPP-4 Inhibitory Heterocycles as Anti-Diabetic Agents: A Review. Arch. Pharm. 2018, 351, 1800127. [Google Scholar] [CrossRef]
- Sharma, M.; Gupta, M.; Singh, D.; Kumar, M.; Kaur, P. Synthesis, Evaluation and Molecular Docking of Thiazolopyrimidine Derivatives as Dipeptidyl Peptidase IV Inhibitors. Chem. Biol. Drug Des. 2012, 80, 918–928. [Google Scholar] [CrossRef]
- Lam, B.; Zhang, Z.; Stafford, J.A.; Skene, R.J.; Shi, L.; Gwaltney, S.L. Structure-Based Design of Pyridopyrimidinediones as Dipeptidyl Peptidase IV Inhibitors. Bioorg. Med. Chem. Lett. 2012, 22, 6628–6631. [Google Scholar] [CrossRef]
- Fang, Y.; Zhang, S.; Wu, W.; Liu, Y.; Yang, J.; Li, Y.; Li, M.; Dong, H.; Jin, Y.; Liu, R.; et al. Design and Synthesis of Tetrahydropyridopyrimidine Derivatives as Dual GPR119 and DPP-4 Modulators. Bioorg. Chem. 2020, 94, 103390. [Google Scholar] [CrossRef]
- Gozalbes, R.; Simon, L.; Froloff, N.; Sartori, E.; Monteils, C.; Baudelle, R. Development and Experimental Validation of a Docking Strategy for the Generation of Kinase-Targeted Libraries. J. Med. Chem. 2008, 51, 3124–3132. [Google Scholar] [CrossRef]
- Edmondson, S.D.; Mastracchio, A.; Cox, J.M.; Eiermann, G.J.; He, H.; Lyons, K.A.; Patel, R.A.; Patel, S.B.; Petrov, A.; Scapin, G.; et al. Aminopiperidine-Fused Imidazoles as Dipeptidyl Peptidase-IV Inhibitors. Bioorg. Med. Chem. Lett. 2009, 19, 4097–4101. [Google Scholar] [CrossRef]
- Boehringer, M.; Fischer, H.; Hennig, M.; Hunziker, D.; Huwyler, J.; Kuhn, B.; Loeffler, B.M.; Luebbers, T.; Mattei, P.; Narquizian, R.; et al. Aryl- and Heteroaryl-Substituted Aminobenzo[a]quinolizines as Dipeptidyl Peptidase IV Inhibitors. Bioorg. Med. Chem. Lett. 2010, 20, 1106–1108. [Google Scholar] [CrossRef] [PubMed]
- Brossi, A.; Lindlar, H.; Walter, M.; Schnider, O. Syntheseversuche in der Emetin-Reihe. 1. Mitteilung. 2-Oxo-hydrobenzo[a]chinolizine. Helv. Chim. Acta 1958, 41, 119–139. [Google Scholar] [CrossRef]
- Mattei, P.; Boehringer, M.; Di Giorgio, P.; Fischer, H.; Hennig, M.; Huwyler, J.; Koçer, B.; Kuhn, B.; Loeffler, B.M.; MacDonald, A.; et al. Discovery of Carmegliptin: A Potent and Long-Acting Dipeptidyl Peptidase IV Inhibitor for The Treatment of Type 2 Diabetes. Bioorg. Med. Chem. Lett. 2010, 20, 1109–1113. [Google Scholar] [CrossRef] [PubMed]
- Pashev, A.; Burdzhiev, N.; Stanoeva, E. Novel Angularly Substituted [1,4]thiazino [3,4-a]isoquinoline Carboxylic Acids Prepared By Cyclic Imine-Cyclic Anhydride Reaction. J. Heterocycl. Chem. 2023, 60, 513–518. [Google Scholar] [CrossRef]
- Pashev, A.; Petrov, V.; Pesheva, A.; Petrova, L.; Ilieva, K.; Stavreva, G.; Atanasova, M.; Cheshmedzhieva, D.; Altankov, G.; Aleksandrova, T. Angular-Substituted [1,4]Thiazino [3,4-a]Isoquinolines: Biological Evaluation and In Silico Studies on DPP-IV Inhibition. Int. J. Mol. Sci. 2024, 25, 11753. [Google Scholar] [CrossRef]
- Wu, W.-L.; Hao, J.; Domalski, M.; Burnett, D.A.; Pissarnitski, D.; Zhao, Z.; Stamford, A.; Scapin, G.; Gao, Y.-D.; Soriano, A.; et al. Discovery of Novel Tricyclic Heterocycles as Potent and Selective DPP-4 Inhibitors for the Treatment of Type 2 Diabetes. Med. Chem. Lett. 2016, 7, 498–501. [Google Scholar] [CrossRef]



























































Disclaimer/Publisher’s Note: The statements, opinions and data contained in all publications are solely those of the individual author(s) and contributor(s) and not of MDPI and/or the editor(s). MDPI and/or the editor(s) disclaim responsibility for any injury to people or property resulting from any ideas, methods, instructions or products referred to in the content. |
© 2025 by the authors. Licensee MDPI, Basel, Switzerland. This article is an open access article distributed under the terms and conditions of the Creative Commons Attribution (CC BY) license (https://creativecommons.org/licenses/by/4.0/).
Share and Cite
Petrov, V.; Aleksandrova, T.; Pashev, A. Synthetic Approaches to Novel DPP-IV Inhibitors—A Literature Review. Molecules 2025, 30, 1043. https://doi.org/10.3390/molecules30051043
Petrov V, Aleksandrova T, Pashev A. Synthetic Approaches to Novel DPP-IV Inhibitors—A Literature Review. Molecules. 2025; 30(5):1043. https://doi.org/10.3390/molecules30051043
Chicago/Turabian StylePetrov, Valentin, Teodora Aleksandrova, and Aleksandar Pashev. 2025. "Synthetic Approaches to Novel DPP-IV Inhibitors—A Literature Review" Molecules 30, no. 5: 1043. https://doi.org/10.3390/molecules30051043
APA StylePetrov, V., Aleksandrova, T., & Pashev, A. (2025). Synthetic Approaches to Novel DPP-IV Inhibitors—A Literature Review. Molecules, 30(5), 1043. https://doi.org/10.3390/molecules30051043

