Evaluation of Antibacterial and Antibiofilm Properties of Phenolics with Coumarin, Naphthoquinone and Pyranone Moieties Against Foodborne Microorganisms
Abstract
1. Introduction
2. Results
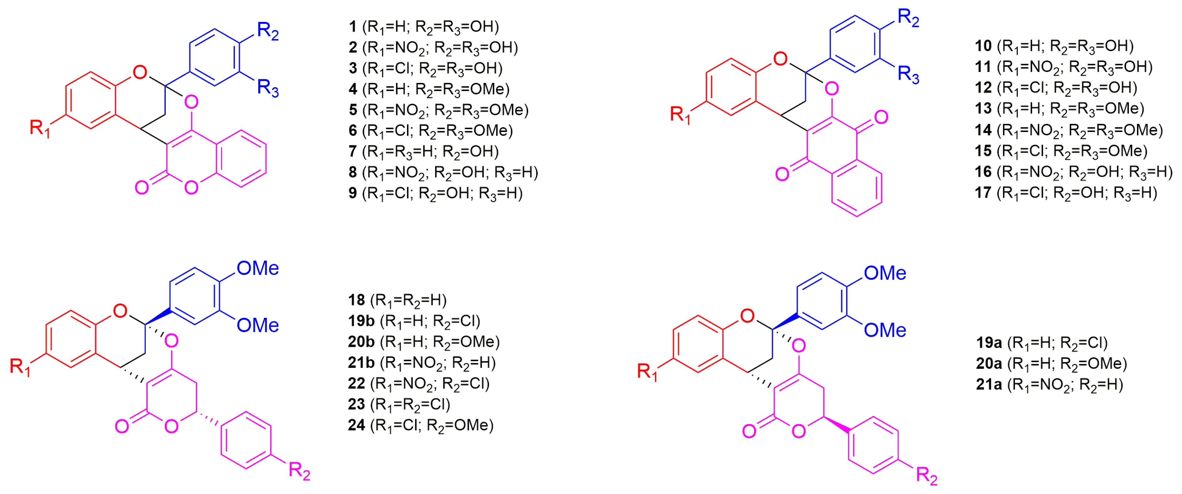
2.1. Chemistry
2.2. Antibacterial Activity
2.3. Antibiofilm Activity
2.3.1. Inhibition of Biofilm Formation
2.3.2. Disruption of Preformed Biofilms
3. Discussion
4. Materials and Methods
4.1. General Experimental Methods
4.1.1. General Procedure for the Synthesis of Flavylium Salts
4.1.2. General Procedure for the Synthesis of 2,8-Dioxabicyclo [3.3.1] Nonanes (1–24)
4.2. Antibacterial Activity
4.3. Biofilm Formation Inhibition Assay and Disruption of Preformed Biofilm
4.4. Statistical Analysis
5. Conclusions
Supplementary Materials
Author Contributions
Funding
Institutional Review Board Statement
Informed Consent Statement
Data Availability Statement
Conflicts of Interest
References
- Engström, M.T.; Pälijärvi, M.; Fryganas, C.; Grabber, J.H.; Mueller-Harvey, I.; Salminen, J. Rapid qualitative and quantitative analyses of proanthocyanidin oligomers and polymers by UPLC-MS/MS. J. Agric. Food Chem. 2014, 62, 3390–3399. [Google Scholar] [CrossRef] [PubMed]
- Constabel, C.P. Molecular controls of proanthocyanidin synthesis and structure: Prospects for genetic engineering in crop plants. J. Agric. Food Chem. 2018, 66, 9882–9888. [Google Scholar] [CrossRef]
- Zhong, H.; Xue, Y.; Lu, X.; Shao, Q.; Cao, Y.; Wu, Z.; Chen, G. The effects of different degrees of procyanidin polymerization on the nutrient absorption and digestive enzyme activity in mice. Molecules 2018, 23, 2916. [Google Scholar] [CrossRef]
- Jing, S.; Zeller, W.E.; Ferreira, D.; Zhou, B.; Nam, J.; Bedran-Russo, A.; Chen, S.; Pauli, G.F. Proanthocyanidin Block Arrays (PACBAR) for comprehensive capture and delineation of proanthocyanidin structures. J. Agric. Food Chem. 2020, 68, 13541–13549. [Google Scholar] [CrossRef] [PubMed]
- Biharee, A.; Sharma, A.; Kumar, A.; Jaitak, V. Antimicrobial flavonoids as a potential substitute for overcoming antimicrobial resistance. Fitoterapia 2020, 146, 104720. [Google Scholar] [CrossRef] [PubMed]
- Górniak, I.; Bartoszewski, R.; Króliczewski, J. Comprehensive review of antimicrobial activities of plant flavonoids. Phytochem. Rev. 2019, 18, 241–272. [Google Scholar] [CrossRef]
- Babar, A.; Moore, L.; Leblanc, V.; Dudonné, S.; Desjardins, Y.; Lemieux, S.; Bochard, V.; Guyonnet, D.; Dodin, S. High dose versus low dose standardized cranberry proanthocyanidin extract for the prevention of recurrent urinary tract infection in healthy women: A double-blind randomized controlled trial. BMC Urol. 2021, 21, 44. [Google Scholar] [CrossRef]
- Zeng, Y.; Zhao, L.; Wang, K.; Renard, C.M.G.C.; Le Bourvellec, C.; Hu, Z.; Liu, X. A-type proanthocyanidins: Sources, structure, bioactivity, processing, nutrition, and potential applications. Compr. Rev. Food Sci. Food Saf. 2024, 23, e13352. [Google Scholar] [CrossRef]
- Mattos, M.M.G.; Filho, S.A.; Martins, G.R.; Venturi, L.S.; Canetti, V.B.; Ferreira, F.A.; Foguel, D.; da Silva, A.S. Antimicrobial and antibiofilm properties of procyanidins: Potential for clinical and biotechnological applications. Crit. Rev. Microbiol. 2024, 1–24. [Google Scholar] [CrossRef]
- Gallique, M.; Wei, K.; Maisuria, V.B.; Okshevsky, M.; McKay, G.; Nguyen, D.; Tufenkji, N. Cranberry-derived proanthocyanidins potentiate β-lactam antibiotics against resistant bacteria. Appl. Environ. Microbiol. 2021, 87, e00127-21. [Google Scholar] [CrossRef] [PubMed]
- Li, M.; Andrew, M.A.; Wang, J.; Salinger, D.H.; Vicini, P.; Grady, R.W.; Phillips, B.; Shen, D.D.; Anderson, G.D. Effects of cranberry juice on pharmacokinetics of β-lactam antibiotics following oral administration. Antimicrob. Agents Chemother. 2009, 53, 2725–2732. [Google Scholar] [CrossRef]
- Alejo-Armijo, A.; Glibota, N.; Frías, M.P.; Altarejos, J.; Galvez, A.; Ortega-Morente, E.; Salido, S. Antimicrobial and antibiofilm activities of procyanidins extracted from laurel wood against a selection of foodborne microorganisms. Int. J. Food Sci.Technol. 2017, 52, 679–686. [Google Scholar] [CrossRef]
- Alejo-Armijo, A.; Glibota, N.; Frías, M.P.; Altarejos, J.; Galvez, A.; Salido, S.; Ortega-Morente, E. Synthesis and evaluation of antimicrobial and antibiofilm properties of A-type procyanidin analogues against resistant bacteria in food. J. Agric. Food Chem. 2018, 66, 2151–2158. [Google Scholar] [CrossRef] [PubMed]
- Cobo, A.; Alejo-Armijo, A.; Cruz, D.; Altarejos, J.; Salido, S.; Ortega-Morente, E. Synthesis of analogs to A-type proanthocyanidin natural products with enhanced antimicrobial properties against foodborne microorganisms. Molecules 2023, 28, 4844. [Google Scholar] [CrossRef]
- Cobo, A.; Alejo-Armijo, A.; Cruz, D.; Altarejos, J.; Salido, S.; Ortega-Morente, E. Halogenated analogs to natural A-type proanthocyanidins: Evaluation of their antioxidant and antimicrobial properties and possible application in food industries. Molecules 2024, 29, 3622. [Google Scholar] [CrossRef]
- Salido, S.; Alejo-Armijo, A.; Altarejos, J. Synthesis and hLDH inhibitory activity of analogues to natural products with 2,8-dioxabicyclo[3.3.1]nonane scaffold. Int. J. Mol. Sci. 2023, 24, 9925. [Google Scholar] [CrossRef] [PubMed]
- Alejo-Armijo, A.; Cuadrado, C.; Altarejos, J.; Fernandes, M.X.; Salido, E.; Diaz-Gavilan, M.; Salido, S. Lactate dehydrogenase A inhibitors with a 2,8-dioxabicyclo[3.3.1]nonane scaffold: A contribution to molecular therapies for primary hyperoxalurias. Bioorg. Chem. 2022, 129, 106127–106139. [Google Scholar] [CrossRef] [PubMed]
- Pinheiro, P.F.; Menini, L.A.P.; Bernardes, P.C.; Saraiva, S.H.; Carneiro, J.W.M.; Costa, A.V.; Arruda, T.R.; Lage, M.R.; Gonçalves, P.M.; Bernardes, C.O.; et al. Semisynthetic phenol derivatives obtained from natural phenols: Antimicrobial activity and molecular properties. J. Agric. Food Chem. 2018, 66, 323–330. [Google Scholar] [CrossRef]
- Xiao, X.-N.; Wang, F.; Yuan, Y.-T.; Liu, J.; Liu, Y.-Z.; Yi, X. Antibacterial activity and mode of action of dihydromyricetin from Ampelopsis grossedentata leaves against food-borne bacteria. Molecules 2019, 24, 2831. [Google Scholar] [CrossRef] [PubMed]
- Farha, A.K.; Yang, Q.-Q.; Kim, G.; Li, H.-B.; Zhu, F.; Liu, H.-Y.; Gan, R.-Y.; Corke, H. Tannins as an alternative to antibiotics. Food Biosci. 2020, 38, 100751. [Google Scholar] [CrossRef]
- Trentin, D.S.; Silva, D.B.; Amaral, M.W.; Zimmer, K.R.; Silva, M.V.; Lopes, N.P.; Giordani, R.B.; Macedo, A.J. Tannins possessing bacteriostatic effect impair Pseudomonas aeruginosa adhesion and biofilm formation. PLoS ONE 2013, 8, e66257. [Google Scholar] [CrossRef] [PubMed]
- Ulrey, R.K.; Barksdale, S.M.; Zhou, W.; van Hoek, M.L. Cranberry proanthocyanidins have anti-biofilm properties against Pseudomonas aeruginosa. BMC Complement. Altern. Med. 2014, 14, 499–511. [Google Scholar] [CrossRef]
- Tomiyama, K.; Mukai, Y.; Saito, M.; Watanabe, K.; Kumada, H.; Nihei, T.; Hamada, N.; Teranaka, T. Antibacterial action of a condensed tannin extracted from astringent persimmon as a component of food addictive pancil PS-M on oral polymicrobial biofilms. BioMed Res. Int. 2016, 2016, 5730748. [Google Scholar] [CrossRef]
- Lagha, A.B.; LeBel, G.; Grenier, D. Dual action of highbush blueberry proanthocyanidins on Aggregatibacter actinomycetemcomitans and the host inflammatory response. BMC Complement. Altern. Med. 2018, 18, 10. [Google Scholar]
- Ortega Vidal, J.; Cobo, A.; Ortega-Morente, E.; Gálvez, A.; Martínez-Bailén, M.; Salido, S.; Altarejos, J. Antimicrobial activity of phenolics isolated from the pruning wood residue of European plum (Prunus domestica L.). Ind. Crops Prod. 2022, 176, 114296. [Google Scholar] [CrossRef]
- Rane, H.S.; Bernardo, S.M.; Howell, A.B.; Lee, S.A. Cranberry-derived proanthocyanidins prevent formation of Candida albicans biofilms in artificial urine through biofilm- and adherence specific mechanisms. J. Antimicrob. Chemother. 2014, 69, 428–436. [Google Scholar] [CrossRef] [PubMed]
- Goto, T.; Yoshida, K.; Yoshikane, M.; Kondo, T. Chiral stacking of a natural flavone, flavocommelin, in aqueous solutions. Tetrahedron Lett. 1990, 31, 713–716. [Google Scholar] [CrossRef]
- Charlton, A.J.; Baxter, N.J.; Khan, M.L.; Moir, A.J.G.; Haslam, E.; Davies, A.P.; Williamson, M.P. Polyphenol/peptide binding and precipitation. J. Agric. Food Chem. 2002, 50, 1593–1601. [Google Scholar] [CrossRef] [PubMed]
- Roy, R.; Tiwari, M.; Donelli, G.; Tiwari, V. Strategies for combating bacterial biofilms: A focus on anti-biofilm agents and their mechanisms of action. Virulence 2018, 9, 522–554. [Google Scholar] [CrossRef]
- Tintino, S.R.; Morais-Tintino, C.D.; Campina, F.F.; Costa, M.D.S.; Menezes, I.R.; de Matos, Y.M.L.; Calixto-Júnior, J.T.; Pereira, P.S.; Siqueira-Junior, J.P.; Leal-Balbino, T.C.; et al. Tannic acid affects the phenotype of Staphylococcus aureus resistant to tetracycline and erythromycin by inhibition of efflux pumps. Bio. Chem. 2017, 74, 197–200. [Google Scholar] [CrossRef] [PubMed]
- Olchowik-Grabarek, E.; Sękowski, S.; Kwiatek, A.; Płaczkiewicz, J.; Abdulladjanova, N.; Shlyonsky, V.; Swiecicka, I.; Zamaraeva, M. The structural changes in the membranes of Staphylococcus aureus caused by hydrolysable tannins witness their antibacterial activity. Membranes 2022, 12, 1124. [Google Scholar] [CrossRef] [PubMed]
- Lobiuc, A.; Pavăl, N.-E.; Mangalagiu, I.I.; Gheorghiță, R.; Teliban, G.-C.; Amăriucăi-Mantu, D.; Stoleru, V. Future antimicrobials: Natural and functionalized phenolics. Molecules 2023, 28, 1114. [Google Scholar] [CrossRef] [PubMed]
- Kannappan, A.; Jothi, R.; Tian, X.; Pandian, S.K.; Gowrishankar, S.; Chunlei, S. Antibacterial activity of 2-hydroxy-4-methoxybenzaldehyde and its possible mechanism against Staphylococcus aureus. J. Appl. Microbiol. 2023, 134, lxad144. [Google Scholar] [CrossRef]
- Clinical and Laboratory Standards Institute (CLSI). Performance Standards for Antimicrobial Susceptibility Testing: Twenty-Fourth Informationals Supplement; Document M100eS24, No. 3; CLSI: Wayne, PA, USA, 2015; Volume 34. [Google Scholar]
- Fernández-Fuentes, M.A.; Ortega-Morente, E.; Abriouel, H.; Pérez-Pulido, R.; Gálvez, A. Isolation and identification of bacteria from organic foods: Sensitivity to biocides and antibiotics. Food Control 2012, 26, 73–78. [Google Scholar] [CrossRef]





| Compound | S. aureus CECT 976 | S. aureus CECT 828 | L. innocua CECT 910 | UJA27q | UJA27t | UJA11c | UJA40k | UJA34f |
|---|---|---|---|---|---|---|---|---|
| 1 | 100 | 1000 | 1000 | |||||
| 3 | 100 | 100 | 100 | |||||
| 6 | 100 | 1000 | 1000 | |||||
| 7 | 100 | 100 | 1000 | |||||
| 8 | 100 | 100 | 100 | |||||
| 9 | 10 | 100 | 100 | 100 | ||||
| 10 | 100 | 100 | 100 | 1000 | ||||
| 11 | 100 | 100 | 100 | 1000 | ||||
| 12 | 100 | 100 | 100 | 1000 | ||||
| 16 | 10 | 100 | 100 | 100 | 100 | 1000 | ||
| 17 | 10 | 100 | 100 | 100 | 1000 | 100 | 1000 |
| Compound | S. aureus CECT 976 | S. aureus CECT 828 | UJA27q |
|---|---|---|---|
| 1 | 25 | ||
| 3 | 25 | 25 | 25 |
| 6 | 25 | 50 | |
| 7 | 25 | 25 | |
| 8 | 25 | 50 | |
| 9 | 25 | 25 | |
| 10 | 25 | 50 | 25 |
| 11 | 50 | 25 | 25 |
| 12 | 50 | 50 |
| Compound | Concentration (µg/mL) | Inhibition of Biofilm (%) | Disruption of Preformed Biofilm (%) | ||||
|---|---|---|---|---|---|---|---|
| S. aureus CECT 976 | S. aureus CECT 828 | UJA27q | S. aureus CECT 976 | S. aureus CECT 828 | UJA27q | ||
| 1 | 0.1 | 96.85 ± 8.38 ** | |||||
| 0.01 | 61.22 ± 4.66 * | ||||||
| 3 | 10 | 85.71± 7.12 * | |||||
| 1 | 49.22 ± 3.36 | ||||||
| 0.1 | 71.29 ± 7.44 * | ||||||
| 0.01 | 97.22 ± 10.21 ** | 54.08 ± 6.58 | |||||
| 6 | 25 | 83.93 ± 8.87 * | |||||
| 10 | 51.87 ± 3.12 | ||||||
| 0.01 | 76.44 ± 6.98 * | 59.3 ± 6.45 | |||||
| 7 | 10 | 50.87 ± 4.79 | 77.1 ± 8.12 * | ||||
| 1 | 69.89 ± 5.79 * | ||||||
| 0.1 | 72.6 ± 6.95 * | ||||||
| 8 | 50 | 95.69 ± 9.45 ** | |||||
| 25 | 69.58 ± 7.01 * | ||||||
| 0.01 | 86.2 ± 7.69 * | 77.44 ± 6.13 * | |||||
| 9 | 10 | 88.9 ± 7.58 * | 66.23 ± 5.89 * | ||||
| 0.01 | 71.25 ± 6.36 * | ||||||
| 10 | 25 | 94.23 ± 10.12 ** | |||||
| 0.1 | 97.99 ± 9.87 ** | ||||||
| 0.01 | 68.19 ± 6.11 * | 76.5 ± 6.58 * | 77.55 ± 4.37 * | 72.96 ± 5.17 * | |||
| 11 | 25 | 77.57 ± 6.96 * | |||||
| 0.1 | 66.4 ± 7.85 | ||||||
| 0.01 | 81.17 ± 7.18 * | 93.94 ± 8.75 ** | 74.62 ± 6.58 * | 83.5 ± 6.12 * | |||
| 12 | 10 | 69.50 ± 5.22 * | |||||
| 0.01 | 68.46 ± 3.41 * | 65.39 ± 4.55 * | 75.84 ± 6.16 * | ||||
| Strains from Type-Culture Collections | Resistant Strains from Organic Foods |
|---|---|
| Salmonella enterica CECT 915 | Bacillus cereus UJA27q |
| Salmonella enterica CECT 4300 | Enterococcus casseliflavus UJA11e |
| Escherichia coli CCUG 47553 | Enterococcus faecium UJA11c |
| Escherichia coli CCUG 47557 | Staphylococcus aureus UJA34f |
| Staphylococcus aureus CECT 828 | Staphylococcus saprophyticus UJA27g |
| Staphylococcus aureus CECT 976 | Lactobacillus casei UJA35h |
| Staphylococcus aureus CECT 4465 | Enterobacter sp. UJA37p |
| Listeria monocytogenes CECT 4032 | Pantoea agglomerans UJA7m |
| Pantoea agglomerans UJA29o | |
| Klebsiella terrigena UJA32j | |
| Salmonella sp. UJA40k | |
| Salmonella sp. UJA40l |
Disclaimer/Publisher’s Note: The statements, opinions and data contained in all publications are solely those of the individual author(s) and contributor(s) and not of MDPI and/or the editor(s). MDPI and/or the editor(s) disclaim responsibility for any injury to people or property resulting from any ideas, methods, instructions or products referred to in the content. |
© 2025 by the authors. Licensee MDPI, Basel, Switzerland. This article is an open access article distributed under the terms and conditions of the Creative Commons Attribution (CC BY) license (https://creativecommons.org/licenses/by/4.0/).
Share and Cite
Alejo-Armijo, A.; Cobo, A.; Alejo-Armijo, A.; Altarejos, J.; Salido, S.; Ortega-Morente, E. Evaluation of Antibacterial and Antibiofilm Properties of Phenolics with Coumarin, Naphthoquinone and Pyranone Moieties Against Foodborne Microorganisms. Molecules 2025, 30, 944. https://doi.org/10.3390/molecules30040944
Alejo-Armijo A, Cobo A, Alejo-Armijo A, Altarejos J, Salido S, Ortega-Morente E. Evaluation of Antibacterial and Antibiofilm Properties of Phenolics with Coumarin, Naphthoquinone and Pyranone Moieties Against Foodborne Microorganisms. Molecules. 2025; 30(4):944. https://doi.org/10.3390/molecules30040944
Chicago/Turabian StyleAlejo-Armijo, Alejandra, Antonio Cobo, Alfonso Alejo-Armijo, Joaquín Altarejos, Sofía Salido, and Elena Ortega-Morente. 2025. "Evaluation of Antibacterial and Antibiofilm Properties of Phenolics with Coumarin, Naphthoquinone and Pyranone Moieties Against Foodborne Microorganisms" Molecules 30, no. 4: 944. https://doi.org/10.3390/molecules30040944
APA StyleAlejo-Armijo, A., Cobo, A., Alejo-Armijo, A., Altarejos, J., Salido, S., & Ortega-Morente, E. (2025). Evaluation of Antibacterial and Antibiofilm Properties of Phenolics with Coumarin, Naphthoquinone and Pyranone Moieties Against Foodborne Microorganisms. Molecules, 30(4), 944. https://doi.org/10.3390/molecules30040944

