Elicited Production of Essential Oil with Immunomodulatory Activity in Salvia apiana Microshoot Culture
Abstract
1. Introduction
2. Results
2.1. The Influcence of Elicitation on Microshoots’ Growth, Morphology, and Essential Oil Content
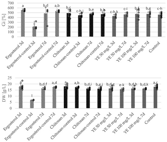
2.1.1. The Influence of Elicitation on Microshoots’ Growth and Morphology
2.1.2. The Influence of Elicitation on Microshoots’ Essential Oil Content
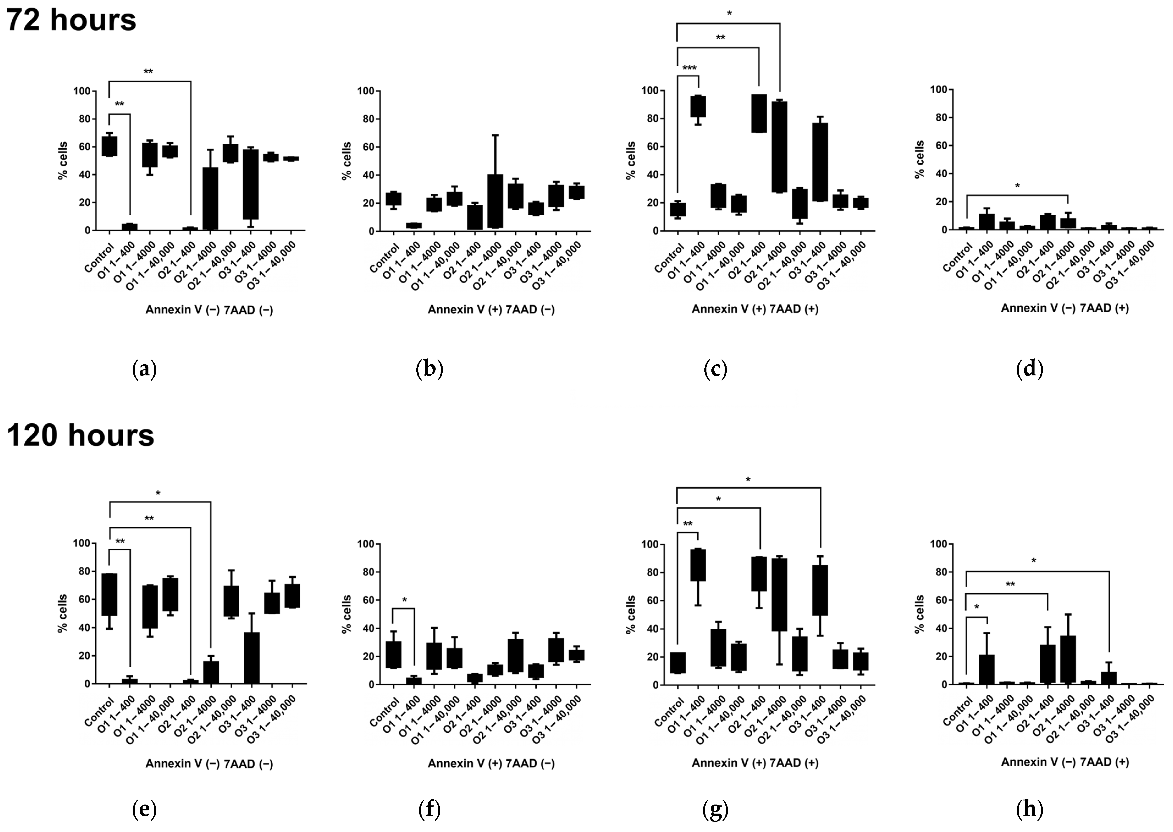
2.2. Influence of S. apiana Essential Oil and 1,8-Cineole on T Cell Proliferation and Apoptosis
2.2.1. Isolation and GC Analysis of Volatile Fraction of S. apiana Used in Biological Study
2.2.2. Influence of S. apiana Essential Oils and 1,8-Cineole on Cell Proliferation
2.2.3. Influence of S. apiana Essential Oils and 1,8-Cineole on Cell Death
3. Discussion
4. Materials and Methods
4.1. Plant Materials
4.2. Elicitors Preparation
4.3. Elicitation Experiments in Bioreactors
4.4. Determination of Growth Parameters
4.5. Determination of Essential Oil Content
4.6. Analysis of Essential Oils Using GC/FID and GC/MS
4.7. Lymphocyte Proliferation and Survival/Death Study
4.8. Flow Cytometry Analysis of Lymphocyte Proliferation and Survival/Death
4.9. Statistical Analysis
5. Conclusions
Supplementary Materials
Author Contributions
Funding
Institutional Review Board Statement
Informed Consent Statement
Data Availability Statement
Acknowledgments
Conflicts of Interest
References
- Vieira, S.F.; Reis, R.L.; Ferreira, H.; Neves, N.M. Plant-Derived Bioactive Compounds as Key Players in the Modulation of Immune-Related Conditions. Phytochem. Rev. 2024. [Google Scholar] [CrossRef]
- Walker, J.B.; Drew, B.T.; Sytsma, K.J. Unravelling Species Relationships and Diversification within the Iconic California Floristic Province Sages (Salvia Subgenus Audibertia, Lamiaceae). Syst. Bot. 2015, 40, 826–844. [Google Scholar] [CrossRef]
- Krol, A.; Kokotkiewicz, A.; Luczkiewicz, M. White Sage (Salvia apiana)—A Ritual and Medicinal Plant of the Chaparral: Plant Characteristics in Comparison with Other Salvia Species. Planta Med. 2022, 88, 604–627. [Google Scholar] [CrossRef] [PubMed]
- Krol, A.; Kokotkiewicz, A.; Gorniak, M.; Naczk, A.M.; Zabiegala, B.; Gebalski, J.; Graczyk, F.; Zaluski, D.; Bucinski, A.; Luczkiewicz, M. Evaluation of the Yield, Chemical Composition and Biological Properties of Essential Oil from Bioreactor-Grown Cultures of Salvia apiana Microshoots. Sci. Rep. 2023, 13, 7141. [Google Scholar] [CrossRef]
- Hu, J.; Wang, F.; Liang, F.; Wu, Z.; Jiang, R.; Li, J.; Chen, J.; Qiu, S.; Wang, J.; Zhang, Y.; et al. Identification of Abietane-Type Diterpenoids and Phenolic Acids Biosynthesis Genes in Salvia apiana Jepson Through Full-Length Transcriptomic and Metabolomic Profiling. Front. Plant Sci. 2022, 13, 919025. [Google Scholar] [CrossRef]
- Leopold, S. What Is Going on with White Sage? J. Med. Plant Conserv. 2019, 3–5. [Google Scholar]
- Selwal, N.; Goutam, U.; Akhtar, N.; Sood, M.; Kukreja, S. Elicitation: “A Trump Card” for Enhancing Secondary Metabolites in Plants. J. Plant Growth Regul. 2024, 43, 3027–3047. [Google Scholar] [CrossRef]
- Jesionek, A.; Kokotkiewicz, A.; Krolicka, A.; Zabiegala, B.; Luczkiewicz, M. Elicitation Strategies for the Improvement of Essential Oil Content in Rhododendron tomentosum (Ledum palustre) Bioreactor-Grown Microshoots. Ind. Crops Prod. 2018, 123, 461–469. [Google Scholar] [CrossRef]
- Calgaro, L.C.; dos Santos Melisinas, V.A.P.; Gonçalves, J.E.; Magalhães, H.M. Biochemical Responses and Volatile Compounds in a Peppermint Chemotype Grown in a Controlled Environment. Res. Sq. 2023. [Google Scholar] [CrossRef]
- Chang, J.H.; Shin, J.H.; Chung, I.S.; Lee, H.J. Improved Menthol Production from Chitosan-Elicited Suspension Culture of Mentha piperita. Biotechnol. Lett. 1998, 20, 1097–1099. [Google Scholar] [CrossRef]
- Coskun, Y.; Taslidere, F. Influence of Biotic and Abiotic Elicitors on Artemisinin, Quercetin, Caffeic Acid and Essential Oil Production in Artemisia dracunculus L. Flavour Fragr. J. 2022, 37, 322–330. [Google Scholar] [CrossRef]
- Trettel, J.R.; Gazim, Z.C.; Gonçalves, J.E.; Stracieri, J.; Magalhães, H.M. Volatile Essential Oil Chemical Composition of Basil (Ocimum basilicum L. ‘Green’) Cultivated in a Greenhouse and Micropropagated on a Culture Medium Containing Copper Sulfate. In Vitr. Cell. Dev. Biol.—Plant 2017, 53, 631–640. [Google Scholar] [CrossRef]
- Bahabadi, S.E.; Rezaei, A. Nitric Oxide Increased the Rosmarinic Acid and Essential Oil Production in In Vitro-Cultured Melissa officinalis. J. Med. Plants 2018, 17, 61–72. [Google Scholar]
- Shenavaie Zare, A.; Ganjeali, A.; Vaezi Kakhki, M.R.; Cheniany, M.; Mashreghi, M. Plant Elicitation and TiO2 Nanoparticles Application as an Effective Strategy for Improving the Growth, Biochemical Properties, and Essential Oil of Peppermint. Physiol. Mol. Biol. Plants 2022, 28, 1391–1406. [Google Scholar] [CrossRef]
- Marchev, A.; Haas, C.; Schulz, S.; Georgiev, V.; Steingroewer, J.; Bley, T.; Pavlov, A. Sage In Vitro Cultures: A Promising Tool for the Production of Bioactive Terpenes and Phenolic Substances. Biotechnol. Lett. 2014, 36, 211–221. [Google Scholar] [CrossRef] [PubMed]
- Wang, J.W.; Wu, J.Y. Tanshinone Biosynthesis in Salvia Miltiorrhiza and Production in Plant Tissue Cultures. Appl. Microbiol. Biotechnol. 2010, 88, 437–449. [Google Scholar] [CrossRef]
- Tugizimana, F.; Steenkamp, P.A.; Piater, L.A.; Dubery, I.A. Ergosterol-Induced Sesquiterpenoid Synthesis in Tobacco Cells. Molecules 2012, 17, 1698–1715. [Google Scholar] [CrossRef]
- Silipo, A.; Erbs, G.; Shinya, T.; Maxwell Dow, J.M.; Parrilli, M.; Lanzetta, R.; Shibuya, N.; Newman, M.A.; Molinaro, A. Glycoconjugates as Elicitors or Suppressors of Plant Innate Immunity. Glycobiology 2009, 20, 406–419. [Google Scholar] [CrossRef]
- Riseh, R.S.; Vazvani, M.G.; Kennedy, J.F. β–Glucan-Induced Disease Resistance in Plants: A Review. Int. J. Biol. Macromol. 2023, 253, 127043. [Google Scholar] [CrossRef]
- el Jaber-Vazdekis, N.; Barres, M.L.; Ravelo, Á.G.; Zárate, R. Effects of Elicitors on Tropane Alkaloids and Gene Expression in Atropa baetica Transgenic Hairy Roots. J. Nat. Prod. 2008, 71, 2026–2031. [Google Scholar] [CrossRef]
- Gai, Q.-Y.; Jiao, J.; Wang, X.; Zang, Y.-P.; Niu, L.-L.; Fu, Y.-J. Elicitation of Isatis tinctoria L. Hairy Root Cultures by Salicylic Acid and Methyl Jasmonate for the Enhanced Production of Pharmacologically Active Alkaloids and Flavonoids. Plant Cell Tissue Organ Cult. (PCTOC) 2019, 137, 77–86. [Google Scholar] [CrossRef]
- Venugopalan, A.; Srivastava, S. Enhanced Camptothecin Production by Ethanol Addition in the Suspension Culture of the Endophyte, Fusarium solani. Bioresour. Technol. 2015, 188, 251–257. [Google Scholar] [CrossRef] [PubMed]
- Rostami, F.; Radjabian, T.; Abrishamchi, P. Enhancement of Phenolic Acids Accumulation in Salvia abrotanoides (Kar.) Sytsma Shoot Cultures Under Elicitation with Nitric Oxide. Plant Cell Tissue Organ Cult. (PCTOC) 2022, 149, 441–453. [Google Scholar] [CrossRef]
- Contreras, A.; Leroy, B.; Mariage, P.A.; Wattiez, R. Proteomic Analysis Reveals Novel Insights into Tanshinones Biosynthesis in Salvia miltiorrhiza Hairy Roots. Sci. Rep. 2019, 9, 5768. [Google Scholar] [CrossRef] [PubMed]
- Hubai, K.; Kováts, N. Interaction Between Heavy Metals Posed Chemical Stress and Essential Oil Production of Medicinal Plants. Plants 2024, 13, 2938. [Google Scholar] [CrossRef]
- Vosoughi, N.; Gomarian, M.; Ghasemi Pirbalouti, A.; Khaghani, S.; Malekpoor, F. Essential Oil Composition and Total Phenolic, Flavonoid Contents, and Antioxidant Activity of Sage (Salvia officinalis L.) Extract Under Chitosan Application and Irrigation Frequencies. Ind. Crops Prod. 2018, 117, 366–374. [Google Scholar] [CrossRef]
- Deschamps, C.; Simon, J.E. Terpenoid Essential Oil Metabolism in Basil (Ocimum basilicum L.) Following Elicitation. J. Essent. Oil Res. 2006, 18, 618–621. [Google Scholar] [CrossRef]
- Khodadadi, F.; Ahmadi, F.S.; Talebi, M.; Moshtaghi, N.; Matkowski, A.; Szumny, A.; Rahimmalek, M. Essential Oil Composition, Physiological and Morphological Variation in Salvia abrotanoides and S. yangii Under Drought Stress and Chitosan Treatments. Ind. Crops Prod. 2022, 187, 115429. [Google Scholar] [CrossRef]
- Wu, Y.B.; Ni, Z.Y.; Shi, Q.W.; Dong, M.; Kiyota, H.; Gu, Y.C.; Cong, B. Constituents from Salvia Species and Their Biological Activities. Chem. Rev. 2012, 112, 5967–6026. [Google Scholar] [CrossRef]
- Bernotiene, G.; Nivinskiene, O.; Butkiene, R.; Mockute, D. Essential Oil Composition Variability in Sage (Salvia officinalis L.). Chemija 2007, 18, 38–43. [Google Scholar]
- Perry, N.B.; Anderson, R.E.; Brennan, N.J.; Douglas, M.H.; Heaney, A.J.; McGimpsey, J.A.; Smallfield, B.M. Essential Oils from Dalmatian Sage (Salvia officinalis L.): Variations among Individuals, Plant Parts, Seasons, and Sites. J. Agric. Food Chem. 1999, 47, 2048–2054. [Google Scholar] [CrossRef] [PubMed]
- Jesionek, A.; Kokotkiewicz, A.; Mikosik-Roczynska, A.; Ciesielska-Figlon, K.; Luczkiewicz, P.; Bucinski, A.; Daca, A.; Witkowski, J.M.; Bryl, E.; Zabiegala, B.; et al. Chemical Variability of Rhododendron tomentosum (Ledum palustre) Essential Oils and Their Pro-Apoptotic Effect on Lymphocytes and Rheumatoid Arthritis Synoviocytes. Fitoterapia 2019, 139, 104402. [Google Scholar] [CrossRef]
- Ciesielska-Figlon, K.; Daca, A.; Kokotkiewicz, A.; Łuczkiewicz, M.; Zabiegała, B.; Witkowski, J.M.; Lisowska, K.A. The Influence of Nigella Sativa Essential Oil on Proliferation, Activation, and Apoptosis of Human T Lymphocytes In Vitro. Biomed. Pharmacother. 2022, 153, 113349. [Google Scholar] [CrossRef] [PubMed]
- Abe, M.; Asada, N.; Kimura, M.; Fukui, C.; Yamada, D.; Wang, Z.; Miyake, M.; Takarada, T.; Ono, M.; Aoe, M.; et al. Antitumor Activity of α-Pinene in T-Cell Tumors. Cancer Sci. 2024, 115, 1317–1332. [Google Scholar] [CrossRef]
- Wang, Y.-P.; Pan, F.; Wang, Y.-D.; Khan, A.; Liu, Y.-P.; Yang, M.-L.; Cao, J.-X.; Zhao, T.-R.; Cheng, G.-G. Anti-Leukemic Effect and Molecular Mechanism of 11-Methoxytabersonine from Melodinus Cochinchinensis via Network Pharmacology, ROS-Mediated Mitochondrial Dysfunction and PI3K/Akt Signaling Pathway. Bioorg. Chem. 2022, 120, 105607. [Google Scholar] [CrossRef]
- Ciesielska-Figlon, K.; Wojciechowicz, K.; Daca, A.; Kokotkiewicz, A.; Łuczkiewicz, M.; Witkowski, J.M.; Lisowska, K.A. The Impact of Nigella sativa Essential Oil on T Cells in Women with Hashimoto’s Thyroiditis. Antioxidants 2023, 12, 1246. [Google Scholar] [CrossRef] [PubMed]
- Barão Paixão, V.L.; Freire de Carvalho, J. Essential Oil Therapy in Rheumatic Diseases: A Systematic Review: Essential Oils in Rheumatic Diseases. Complement. Ther. Clin. Pract. 2021, 43, 101391. [Google Scholar] [CrossRef]
- Abd Rashed, A.; Abd Rahman, A.Z.; Rathi, D.N.G. Essential Oils as a Potential Neuroprotective Remedy for Age-Related Neurodegenerative Diseases: A Review. Molecules 2021, 26, 1107. [Google Scholar] [CrossRef]
- Brown, S.K.; Garver, W.S.; Orlando, R.A. 1,8-Cineole: An Underappreciated Anti-Inflammatory Therapeutic. J. Biomol. Res. Ther. 2017, 6, 1000154. [Google Scholar] [CrossRef]
- Cai, Z.-M.; Peng, J.-Q.; Chen, Y.; Tao, L.; Zhang, Y.-Y.; Fu, L.-Y.; Long, Q.-D.; Shen, X.-C. 1,8-Cineole: A Review of Source, Biological Activities, and Application. J. Asian Nat. Prod. Res. 2021, 23, 938–954. [Google Scholar] [CrossRef]
- Hoch, C.C.; Petry, J.; Griesbaum, L.; Weiser, T.; Werner, K.; Ploch, M.; Verschoor, A.; Multhoff, G.; Bashiri Dezfouli, A.; Wollenberg, B. 1,8-Cineole (Eucalyptol): A Versatile Phytochemical with Therapeutic Applications across Multiple Diseases. Biomed. Pharmacother. 2023, 167, 115467. [Google Scholar] [CrossRef] [PubMed]
- Juergens, U.R.; Stöber, M.; Vetter, H. Inhibition of Cytokine Production and Arachidonic Acid Metabolism by Eucalyptol (1.8-Cineole) in Human Blood Monocytes In Vitro. Eur. J. Med. Res. 1998, 3, 508–510. [Google Scholar] [PubMed]
- Juergens, U.R.; Engelen, T.; Racké, K.; Stöber, M.; Gillissen, A.; Vetter, H. Inhibitory Activity of 1,8-Cineol (Eucalyptol) on Cytokine Production in Cultured Human Lymphocytes and Monocytes. Pulm. Pharmacol. Ther. 2004, 17, 281–287. [Google Scholar] [CrossRef]
- Abdalla, A.N.; Shaheen, U.; Abdallah, Q.M.A.; Flamini, G.; Bkhaitan, M.M.; Abdelhady, M.I.S.; Ascrizzi, R.; Bader, A. Proapoptotic Activity of Achillea membranacea Essential Oil and Its Major Constituent 1,8-Cineole Against A2780 Ovarian Cancer Cells. Molecules 2020, 25, 1582. [Google Scholar] [CrossRef] [PubMed]
- Murata, S.; Shiragami, R.; Kosugi, C.; Tezuka, T.; Yamazaki, M.; Hirano, A.; Yoshimura, Y.; Suzuki, M.; Shuto, K.; Ohkohchi, N.; et al. Antitumor Effect of 1, 8-Cineole against Colon Cancer. Oncol. Rep. 2013, 30, 2647–2652. [Google Scholar] [CrossRef] [PubMed]
- Schenk, R.U.; Hildebrandt, A.C. Medium and Techniques for Induction and Growth of Monocotyledonous and Dicotyledonous Plant Cell Cultures. Can. J. Bot. 1972, 50, 199–204. [Google Scholar] [CrossRef]
- Witkowski, J.M. Advanced Application of CFSE for Cellular Tracking. Curr. Protoc. Cytom. 2008, 44, 9.25.1–9.25.8. [Google Scholar] [CrossRef]






| Compound * | Rt [min] | Leaves of Field-Grown Plant | Agar-Grown Culture | RITA®-Grown Microshoots | ||||||||||||
|---|---|---|---|---|---|---|---|---|---|---|---|---|---|---|---|---|
| Control (Non-Elicited Culture) | Elicitation with Ergosterol (10 µM) | Elicitation with Chitosan (200 mg/L) | Elicitation with Yeast Extract (YE) | |||||||||||||
| 3 Days Exposure | Control (EtOH) 3 Days Exposure | 7 Days Exposure | Control (EtOH) 7 Days Exposure | 3 Days Exposure | Control (HCl) 3 Days Exposure | 7 Days Exposure | Control (HCl) 7 Days Exposure | YE 50 mg/L 3 Days Exposure | YE 50 mg/L 7 Days Exposure | YE 100 mg/L 3 Days Exposure | YE 100 mg/L 7 Days Exposure | |||||
| 3-thujene | 5.589 | ND | ND | 0.403 | 0.397 | 0.345 | 0.402 | 0.438 | 0.379 | 0.396 | 0.424 | 0.402 | 0.425 | 0.391 | 0.418 | 0.372 |
| α-pinene | 5.701 | 6.701 | 9.649 | 9.152 | 10.006 | 9.781 | 11.374 | 10.281 | 9.102 | 9.286 | 9.164 | 8.519 | 9.798 | 9.150 | 9.400 | 10.454 |
| camphene | 5.945 | 0.394 | 0.402 | 0.332 | 0.366 | 0.364 | 0.504 | 0.380 | 0.334 | 0.341 | 0.314 | 0.307 | 0.322 | 0.303 | 0.350 | 0.333 |
| β-phellandrene | 6.107 | ND | ND | 0.408 | 0.513 | 0.533 | 0.513 | 0.491 | 0.503 | 0.487 | 0.448 | 0.440 | 0.566 | 0.597 | ND | 0.544 |
| β-pinene | 6.408 | 5.550 | 13.062 | 12.413 | 14.673 | 15.150 | 15.837 | 15.152 | 13.018 | 13.473 | 12.590 | 12.171 | 14.216 | 14.756 | 14.361 | 14.641 |
| β-myrcene | 6.523 | 2.191 | 1.890 | 1.683 | 1.352 | 1.144 | 1.344 | 1.508 | 1.464 | 1.474 | 1.827 | 1.628 | 1.667 | 1.678 | 1.716 | 1.522 |
| α-phellandrene | 6.864 | ND | ND | 0.150 | 0.115 | 0.087 | 0.110 | 0.125 | 0.124 | 0.126 | 0.159 | 0.144 | 0.159 | 0.146 | 0.165 | 0.140 |
| δ-3-carene | 6.936 | 2.653 | 1.034 | 1.178 | 1.042 | 0.933 | 1.112 | 1.185 | 1.159 | 1.330 | 1.282 | 0.224 | 1.500 | 1.353 | 1.374 | 1.315 |
| α-terpinene | 7.037 | ND | 0.451 | 0.239 | 0.224 | 0.202 | 0.201 | 0.251 | 0.234 | 0.247 | 0.260 | 0.248 | 0.269 | 0.271 | 0.270 | 0.244 |
| limonene | 7.255 | 0.715 | 0.613 | 0.217 | 0.196 | 0.163 | 0.175 | 0.220 | 0.178 | 0.150 | 0.248 | 0.213 | 0.075 | 0.096 | 0.128 | 0.117 |
| 1,8-cineole | 7.384 | 72.744 | 50.125 | 52.065 | 35.471 | 28.759 | 37.410 | 38.265 | 40.711 | 42.023 | 48.396 | 47.548 | 44.124 | 44.320 | 44.354 | 38.521 |
| γ-terpinene | 7.785 | 0.561 | 0.848 | 0.683 | 0.597 | 0.572 | 0.589 | 0.630 | 0.627 | 0.639 | 0.725 | 0.669 | 0.687 | 0.686 | 0.709 | 0.636 |
| β-cis-terpineol | 8.344 | ND | ND | 0.169 | 0.123 | 0.109 | 0.131 | 0.127 | 0.148 | 0.137 | 0.162 | 0.169 | 0.148 | 0.164 | 0.155 | 0.127 |
| camphor | 9.481 | 1.112 | 1.634 | 1.723 | 1.427 | 1.452 | 1.697 | 1.572 | 1.567 | 1.551 | 1.483 | 1.591 | 1.433 | 1.396 | 1.427 | 1.396 |
| terpinen-4-ol | 10.063 | 0.595 | 0.223 | 0.306 | 0.164 | 0.131 | 0.145 | 0.180 | 0.183 | 0.212 | 0.254 | 0.235 | 0.218 | 0.204 | 0.218 | 0.249 |
| α-terpineol | 10.294 | 0.361 | ND | 0.371 | 0.294 | 0.255 | 0.290 | 0.310 | 0.317 | 0.296 | 0.388 | 0.343 | 0.346 | 0.329 | 0.370 | 0.317 |
| γ-elemene | 14.799 | 0.025 | 0.253 | 0.144 | 0.505 | 0.697 | 0.342 | 0.355 | 0.416 | 0.381 | 0.211 | 0.242 | 0.376 | 0.473 | 0.415 | 0.559 |
| caryophyllene | 16.644 | 0.479 | 3.921 | 3.625 | 9.070 | 11.007 | 7.373 | 7.303 | 7.522 | 6.455 | 3.955 | 4.831 | 4.762 | 4.519 | 4.304 | 6.287 |
| aristolene | 15.001 | 0.103 | 3.200 | 2.905 | 5.479 | 6.420 | 4.587 | 4.887 | 4.924 | 4.506 | 3.426 | 3.850 | 4.030 | 4.285 | 4.157 | 4.987 |
| β-guaine | 15.112 | 0.025 | 0.461 | 0.387 | 0.747 | 1.001 | 0.635 | 0.694 | 0.677 | 0.619 | 0.310 | 0.511 | 0.511 | 0.577 | 0.535 | 0.660 |
| α-humullene | 15.228 | 0.035 | 0.246 | 0.345 | 0.774 | 1.013 | 0.623 | 0.678 | 0.682 | 0.593 | 0.382 | 0.454 | 0.452 | 0.455 | 0.428 | 0.576 |
| α-muurolen | 15.598 | 0.040 | 0.245 | 0.534 | 1.034 | 1.299 | 0.825 | 0.964 | 0.919 | 0.830 | 0.629 | 0.712 | 0.705 | 0.724 | 0.691 | 0.829 |
| cadinane | 16.038 | 0.182 | 1.031 | 0.123 | 0.255 | 0.284 | 0.113 | 0.189 | 0.211 | 0.211 | 0.146 | 0.159 | 0.219 | 0.228 | 0.238 | 0.292 |
| eudesmene | 16.056 | ND | ND | 0.111 | 0.210 | 0.246 | 0.175 | 0.194 | 0.183 | 0.164 | 0.129 | 0.148 | 0.145 | 0.150 | 0.169 | 0.163 |
| β-bisabolene | 16.087 | 0.099 | 0.260 | 0.698 | 2.517 | 2.871 | 1.969 | 2.226 | 2.296 | 1.883 | 1.353 | 0.771 | 1.526 | 1.700 | 1.770 | 1.901 |
| γ-selinene | 16.593 | 0.034 | 0.243 | 0.136 | 0.217 | 0.290 | 0.183 | 0.220 | 0.226 | 0.187 | 0.151 | 0.169 | 0.153 | 0.152 | 0.143 | 0.171 |
| 4-epi-cubebol | 16.709 | 0.087 | 0.165 | 0.134 | 0.184 | 0.245 | 0.167 | 0.178 | 0.194 | 0.157 | 0.149 | 0.166 | 0.140 | 0.120 | 0.122 | 0.159 |
| cubedol | 17.185 | 0.106 | 0.084 | 0.156 | 0.245 | 0.238 | 0.246 | 0.192 | 0.224 | 0.173 | 0.184 | 0.189 | 0.160 | 0.146 | 0.159 | 0.183 |
| caryophyllene oxide | 17.423 | 0.174 | 0.258 | 0.464 | 0.750 | 0.494 | 0.661 | 0.674 | 0.590 | 0.465 | 0.467 | 0.559 | 0.279 | 0.191 | 0.225 | 0.353 |
| α-bisabolol | 18.886 | 0.498 | 2.132 | 2.060 | 3.486 | 3.931 | 2.867 | 3.073 | 3.492 | 2.978 | 2.501 | 2.713 | 2.713 | 2.606 | 2.833 | 3.260 |
| ferruginol | 27.557 | 0.087 | 1.914 | 1.302 | 1.546 | 2.179 | 2.322 | 2.185 | 2.223 | 2.225 | 2.247 | 2.189 | 2.553 | 2.720 | 2.763 | 2.219 |
| TOTAL | 95.551 | 94.344 | 94.616 | 93.979 | 92.195 | 94.922 | 95.127 | 94.827 | 93.995 | 94.364 | 92.506 | 94.676 | 94.885 | 94.368 | 92.525 | |
| Monoterpene hydrocarbons | 18.765 | 27.949 | 26.858 | 29.481 | 29.274 | 32.161 | 30.661 | 27.122 | 27.949 | 27.441 | 24.965 | 29.684 | 29.426 | 28.892 | 30.316 | |
| Oxygenated monoterpenes | 74.812 | 51.982 | 54.634 | 37.479 | 30.706 | 39.673 | 40.454 | 42.926 | 44.219 | 50.683 | 49.878 | 46.268 | 46.413 | 46.524 | 40.609 | |
| Sesquiterpene hydrocarbons | 1.022 | 9.860 | 9.008 | 20.808 | 25.128 | 16.825 | 17.710 | 18.056 | 15.829 | 10.692 | 11.847 | 12.879 | 13.263 | 12.850 | 16.427 | |
| Oxygenated sesquiterpenes | 0.952 | 4.553 | 2.814 | 4.665 | 4.908 | 3.941 | 4.117 | 4.500 | 3.773 | 3.301 | 3.627 | 3.292 | 3.064 | 3.339 | 3.955 | |
Disclaimer/Publisher’s Note: The statements, opinions and data contained in all publications are solely those of the individual author(s) and contributor(s) and not of MDPI and/or the editor(s). MDPI and/or the editor(s) disclaim responsibility for any injury to people or property resulting from any ideas, methods, instructions or products referred to in the content. |
© 2025 by the authors. Licensee MDPI, Basel, Switzerland. This article is an open access article distributed under the terms and conditions of the Creative Commons Attribution (CC BY) license (https://creativecommons.org/licenses/by/4.0/).
Share and Cite
Krol, A.; Kokotkiewicz, A.; Zabiegala, B.; Ciesielska-Figlon, K.; Bryl, E.; Witkowski, J.M.; Bucinski, A.; Luczkiewicz, M. Elicited Production of Essential Oil with Immunomodulatory Activity in Salvia apiana Microshoot Culture. Molecules 2025, 30, 815. https://doi.org/10.3390/molecules30040815
Krol A, Kokotkiewicz A, Zabiegala B, Ciesielska-Figlon K, Bryl E, Witkowski JM, Bucinski A, Luczkiewicz M. Elicited Production of Essential Oil with Immunomodulatory Activity in Salvia apiana Microshoot Culture. Molecules. 2025; 30(4):815. https://doi.org/10.3390/molecules30040815
Chicago/Turabian StyleKrol, Agata, Adam Kokotkiewicz, Bozena Zabiegala, Klaudia Ciesielska-Figlon, Ewa Bryl, Jacek Maciej Witkowski, Adam Bucinski, and Maria Luczkiewicz. 2025. "Elicited Production of Essential Oil with Immunomodulatory Activity in Salvia apiana Microshoot Culture" Molecules 30, no. 4: 815. https://doi.org/10.3390/molecules30040815
APA StyleKrol, A., Kokotkiewicz, A., Zabiegala, B., Ciesielska-Figlon, K., Bryl, E., Witkowski, J. M., Bucinski, A., & Luczkiewicz, M. (2025). Elicited Production of Essential Oil with Immunomodulatory Activity in Salvia apiana Microshoot Culture. Molecules, 30(4), 815. https://doi.org/10.3390/molecules30040815

