Prediction of Gadolinium Polynitrides at High Pressures as High-Energy-Density Materials
Abstract
1. Introduction
2. Results and Discussion
2.1. Structure Prediction and Stability Analysis
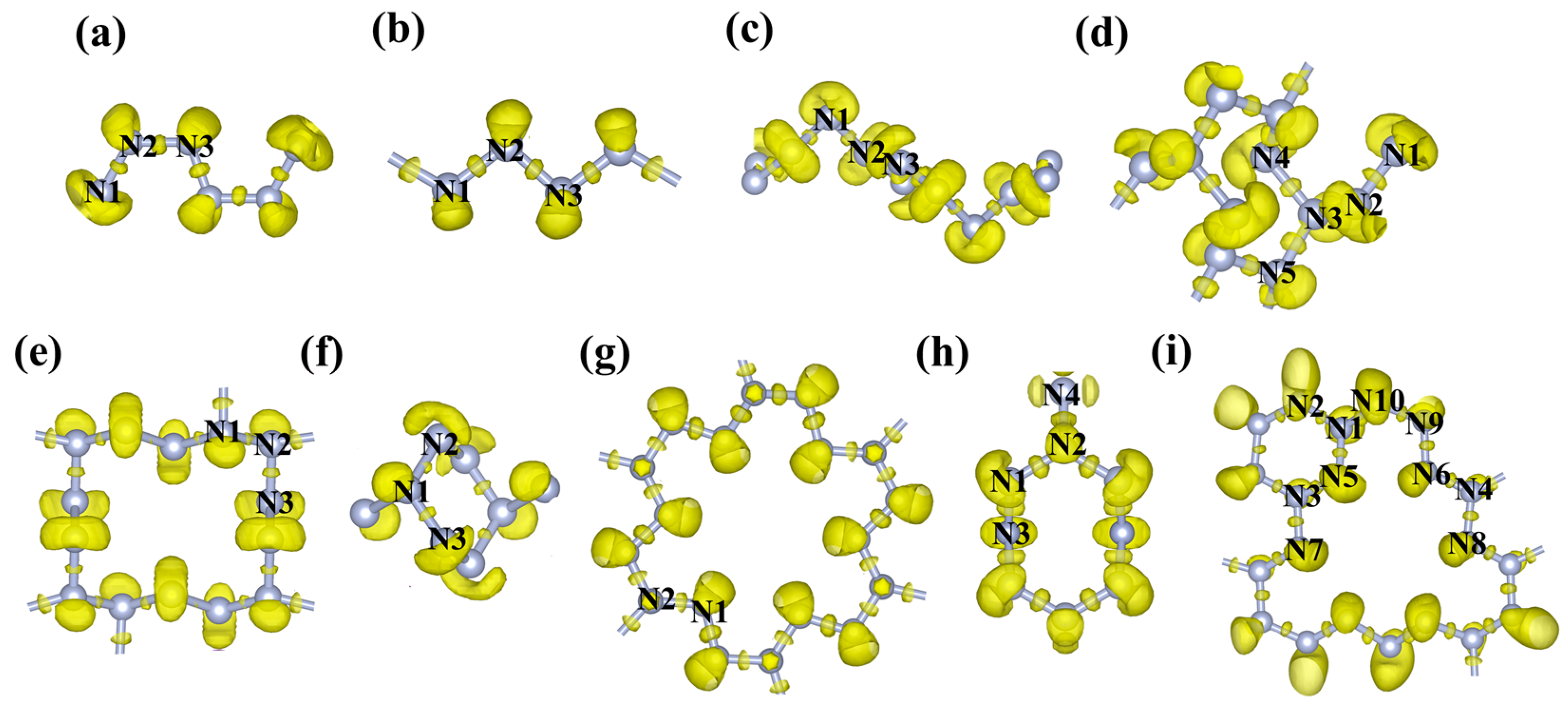
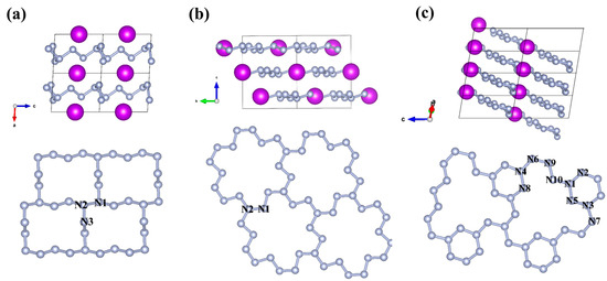
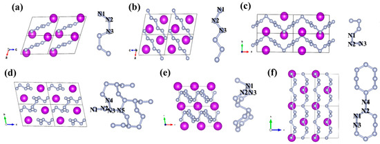
2.2. Crystal Structure
2.3. Magnetic Properties
2.4. Electronic Structures
2.5. Energy Density
3. Conclusions
4. Computational Details
Supplementary Materials
Author Contributions
Funding
Institutional Review Board Statement
Informed Consent Statement
Data Availability Statement
Conflicts of Interest
References
- Christe, K.O. Recent Advances in the Chemistry of N5+, N5− and High-Oxygen Compounds. Propellants Explos. Pyrotech. 2007, 32, 194–204. [Google Scholar] [CrossRef]
- Zhang, J.; Oganov, A.R.; Li, X.; Niu, H. Pressure-stabilized hafnium nitrides and their properties. Phys. Rev. B 2017, 95, 020103. [Google Scholar] [CrossRef]
- Chen, X.-Q.; Fu, C.L.; Podloucky, R. Bonding and strength of solid nitrogen in the cubic gauche (cg-N) structure. Phys. Rev. B 2008, 77, 064103. [Google Scholar] [CrossRef]
- Wang, X.; Tian, F.; Wang, L.; Jin, X.; Duan, D.; Huang, X.; Liu, B.; Cui, T. Predicted novel metallic metastable phases of polymeric nitrogen at high pressures. N. J. Phys. 2013, 15, 013010. [Google Scholar] [CrossRef]
- Sun, M.; Yin, Y.; Pang, Z. Predicted new structures of polymeric nitrogen under 100–600 GPa. Comput. Mater. Sci. 2015, 98, 399–404. [Google Scholar] [CrossRef]
- Wang, X.; Tian, F.; Wang, L.; Cui, T.; Liu, B.; Zou, G. Structural stability of polymeric nitrogen: A first-principles investigation. J. Chem. Phys. 2010, 132, 024502. [Google Scholar] [CrossRef] [PubMed]
- Bondarchuk, S.V.; Minaev, B.F. Two-dimensional honeycomb (A7) and zigzag sheet (ZS) type nitrogen monolayers. A first principles study of structural, electronic, spectral, and mechanical properties. Comput. Mater. Sci. 2017, 133, 122–129. [Google Scholar] [CrossRef]
- Kotakoski, J.; Albe, K. First-principles calculations on solid nitrogen: A comparative study of high-pressure phases. Phys. Rev. B 2008, 77, 144109. [Google Scholar] [CrossRef]
- Zahariev, F.; Hu, A.; Hooper, J.; Zhang, F.; Woo, T. Layered single-bonded nonmolecular phase of nitrogen from first-principles simulation. Phys. Rev. B 2005, 72, 21418. [Google Scholar] [CrossRef]
- Wang, X.L.; He, Z.; Ma, Y.M.; Cui, T.; Liu, Z.M.; Liu, B.B.; Li, J.F.; Zou, G.T. Prediction of a new layered phase of nitrogen from first-principles simulations. J. Phys. Condens. Matter 2007, 19, 425226. [Google Scholar] [CrossRef]
- Ma, Y.; Oganov, A.R.; Li, Z.; Xie, Y.; Kotakoski, J. Novel high pressure structures of polymeric nitrogen. Phys. Rev. Lett. 2009, 102, 065501. [Google Scholar] [CrossRef]
- Mattson, W.D.; Sanchez-Portal, D.; Chiesa, S.; Martin, R.M. Prediction of new phases of nitrogen at high pressure from first-principles simulations. Phys. Rev. Lett. 2004, 93, 125501. [Google Scholar] [CrossRef]
- Wang, X.; Wang, Y.; Miao, M.; Zhong, X.; Lv, J.; Cui, T.; Li, J.; Chen, L.; Pickard, C.J.; Ma, Y. Cagelike diamondoid nitrogen at high pressures. Phys. Rev. Lett. 2012, 109, 175502. [Google Scholar] [CrossRef] [PubMed]
- Eremets, M.I.; Gavriliuk, A.G.; Trojan, I.A.; Dzivenko, D.A.; Boehler, R. Single-bonded cubic form of nitrogen. Nat. Mater. 2004, 3, 558–563. [Google Scholar] [CrossRef] [PubMed]
- Tomasino, D.; Kim, M.; Smith, J.; Yoo, C.-S. Pressure-induced symmetry-lowering transition in dense nitrogen to layered polymeric nitrogen (LP-N) with colossal Raman intensity. Phys. Rev. Lett. 2014, 113, 205502. [Google Scholar] [CrossRef]
- Laniel, D.; Geneste, G.; Weck, G.; Mezouar, M.; Loubeyre, P. Hexagonal Layered Polymeric Nitrogen Phase Synthesized near 250 GPa. Phys. Rev. Lett. 2019, 122, 066001. [Google Scholar] [CrossRef]
- Laniel, D.; Winkler, B.; Fedotenko, T.; Pakhomova, A.; Chariton, S.; Milman, V.; Prakapenka, V.; Dubrovinsky, L.; Dubrovinskaia, N. High-Pressure Polymeric Nitrogen Allotrope with the Black Phosphorus Structure. Phys. Rev. Lett. 2020, 124, 216001. [Google Scholar] [CrossRef] [PubMed]
- Laniel, D.; Weck, G.; Gaiffe, G.; Garbarino, G.; Loubeyre, P. High-Pressure Synthesized Lithium Pentazolate Compound Metastable under Ambient Conditions. J. Phys. Chem. Lett. 2018, 9, 1600–1604. [Google Scholar] [CrossRef]
- Wang, Y.; Bykov, M.; Chepkasov, I.; Samtsevich, A.; Bykova, E.; Zhang, X.; Jiang, S.-Q.; Greenberg, E.; Chariton, S.; Prakapenka, V.B.; et al. Stabilization of hexazine rings in potassium polynitride at high pressure. Nat. Chem. 2022, 14, 794–800. [Google Scholar] [CrossRef] [PubMed]
- Steele, B.A.; Oleynik, I.I. Novel Potassium Polynitrides at High Pressures. J. Phys. Chem. A 2017, 121, 8955–8961. [Google Scholar] [CrossRef] [PubMed]
- Bykov, M.; Fedotenko, T.; Chariton, S.; Laniel, D.; Glazyrin, K.; Hanfland, M.; Smith, J.S.; Prakapenka, V.B.; Mahmood, M.F.; Goncharov, A.F.; et al. High-Pressure Synthesis of Dirac Materials: Layered van der Waals Bonded BeN4 Polymorph. Phys. Rev. Lett. 2021, 126, 175501. [Google Scholar] [CrossRef]
- Laniel, D.; Winkler, B.; Koemets, E.; Fedotenko, T.; Bykov, M.; Bykova, E.; Dubrovinsky, L.; Dubrovinskaia, N. Synthesis of magnesium-nitrogen salts of polynitrogen anions. Nat. Commun. 2019, 10, 4515. [Google Scholar] [CrossRef] [PubMed]
- Zhang, M.; Yin, K.; Zhang, X.; Wang, H.; Li, Q.; Wu, Z. Structural and electronic properties of sodium azide at high pressure: A first principles study. Solid State Commun. 2013, 161, 13–18. [Google Scholar] [CrossRef]
- Wang, X.; Li, J.; Zhu, H.; Chen, L.; Lin, H. Polymerization of nitrogen in cesium azide under modest pressure. J. Chem. Phys. 2014, 141, 044717. [Google Scholar] [CrossRef]
- Prasad, D.L.V.K.; Ashcroft, N.W.; Hoffmann, R. Evolving Structural Diversity and Metallicity in Compressed Lithium Azide. J. Phys. Chem. C 2013, 117, 20838–20846. [Google Scholar] [CrossRef]
- Yu, S.; Huang, B.; Zeng, Q.; Oganov, A.R.; Zhang, L.; Frapper, G. Emergence of Novel Polynitrogen Molecule-like Species, Covalent Chains, and Layers in Magnesium-Nitrogen MgxNy Phases under High Pressure. J. Phys. Chem. C 2017, 121, 11037–11046. [Google Scholar] [CrossRef]
- Guo, Y.; Wei, S.; Gao, X.; Liu, Z.; Yin, G.; Chen, S.; Yu, Z.; Chang, Q.; Sun, Y. A First-principles Study: Three Novel N-Rich Barium-Nitrogen Compounds at High Pressures. Results Phys. 2022, 42, 106030. [Google Scholar] [CrossRef]
- Lin, J.; Wang, F.; Rui, Q.; Li, J.; Wang, Q.; Wang, X. A novel square planar N42− ring with aromaticity in BeN4. Matter Radiat. Extrem. 2022, 7, 038401. [Google Scholar] [CrossRef]
- Li, Q.; Sha, L.; Zhu, C.; Yao, Y. New multifunctional tungsten nitride with energetic N6 and extreme hardness predicted from first principles. Europhys. Lett. 2017, 118, 46001. [Google Scholar] [CrossRef]
- Liu, R.; Wang, D.; Xu, D.; Jin, B.; Liu, M.; Wang, Y.; Li, Y.; Liu, S.; Yao, Z.; Niu, S.; et al. High nitrogen polymer in silver polynitrides. J. Phys. Condens. Matter 2023, 35, 355701. [Google Scholar] [CrossRef] [PubMed]
- Wu, L.; Tian, R.; Wan, B.; Liu, H.; Gong, N.; Chen, P.; Tongde, S.; Yansun, Y.; Huiyang, G.; Faming, G. Prediction of Stable Iron Nitrides at Ambient and High Pressures with Progressive Formation of New Polynitrogen Species. Chem. Mater. 2018, 30, 8476–8485. [Google Scholar] [CrossRef]
- Bykov, M.; Khandarkhaeva, S.; Fedotenko, T.; Sedmak, P.; Dubrovinskaia, N.; Dubrovinsky, L. Synthesis of FeN(4) at 180 GPa and its crystal structure from a submicron-sized grain. Acta Crystallogr. E 2018, 74, 1392–1395. [Google Scholar] [CrossRef] [PubMed]
- Niu, S.L.; Li, Z.; Li, H.; Shi, X.; Yao, Z.; Liu, B. New Cadmium-Nitrogen Compounds at High Pressures. Inorg. Chem. 2021, 60, 6772–6781. [Google Scholar] [CrossRef] [PubMed]
- Lin, J.; Peng, D.; Wang, Q.; Li, J.; Zhu, H.; Wang, X. Stable nitrogen-rich scandium nitrides and their bonding features under ambient conditions. Phys. Chem. Chem. Phys. 2021, 23, 6863–6870. [Google Scholar] [CrossRef] [PubMed]
- Jin, B.; Liu, Y.; Yao, Z.; Liu, S.; Wang, P. Novel nitrogen-rich lanthanum nitrides induced by the ligand effect under pressure. Dalton Trans. 2023, 52, 14142–14150. [Google Scholar] [CrossRef]
- Niu, S.; Liu, Y.; Zhang, W.; Mao, Y.; Yang, Z.; Liu, S.; Wang, H.; Yao, Z. Novel phase of the Na-N system in the N-rich region under high pressure. Vaccum 2024, 227, 113404. [Google Scholar] [CrossRef]
- Wang, Y.; Li, Z.; Li, R.; Li, Y.; Liu, S.; Yao, Z.; Liu, B. Two Ultrahigh-Energy-Density Layered Cerium Polynitrides with Molecular Sieve Channel. Inorg. Chem. 2023, 62, 11674–11681. [Google Scholar] [CrossRef]
- Pickard, C.J.; Needs, R.J. High-pressure phases of nitrogen. Phys. Rev. Lett. 2009, 102, 125702. [Google Scholar] [CrossRef]
- Bini, R.; Ulivi, L.; Kreutz, J.; Jodl, H.J. High-pressure phases of solid nitrogen by Raman and infrared spectroscopy. J. Chem. Phys. 2000, 112, 8522–8529. [Google Scholar] [CrossRef]
- Reckeweg, O.; DiSalvo, F.J. About Binary and Ternary Alkaline Earth Metal Nitrides. Allg. J. Chem. 2001, 627, 371–377. [Google Scholar]
- Liu, L.; Wang, D.; Zhang, S.; Zhang, H. Pressure-stabilized GdN6 with an armchair-antiarmchair structure as a high energy density material. J. Mater. Chem. A 2021, 9, 16751–16758. [Google Scholar] [CrossRef]
- Wang, Y.; Li, Z.; Niu, S.; Yi, W.; Liu, S.; Yao, Z.; Liu, B. Cerium-promoted conversion of dinitrogen into high-energy-density material CeN6 under moderate pressure. Matter Radiat. Extremes 2023, 8, 038401. [Google Scholar] [CrossRef]
- Ding, C.; Yuan, J.; Wang, X.; Huang, T.; Wang, Y.; Sun, J. Single-bonded nitrogen chain and porous nitrogen layer via Ce-N compounds. Mater. Adv. 2023, 4, 2162–2173. [Google Scholar] [CrossRef]
- Wang, Y.; Liu, Y.; Song, S.; Yang, Z.; Qi, X.; Wang, K.; Liu, Y.; Zhang, Q.; Tian, Y. Accelerating the discovery of insensitive high-energy-density materials by a materials genome approach. Nat. Commun. 2018, 9, 2444. [Google Scholar] [CrossRef] [PubMed]
- Wang, Y.; Lv, J.; Zhu, L.; Ma, Y. CALYPSO: A method for crystal structure prediction. Comput. Phys. Commun. 2012, 183, 2063–2070. [Google Scholar] [CrossRef]
- Wang, Y.; Lv, J.; Zhu, L.; Ma, Y. Crystal structure prediction via particle-swarm optimization. Phys. Rev. B 2010, 82, 094116. [Google Scholar] [CrossRef]
- Gao, B.; Gao, P.; Lu, S.; Lv, J.; Wang, Y.; Ma, Y. Interface structure prediction via CALYPSO method. Sci. Bull. 2019, 64, 301–309. [Google Scholar] [CrossRef] [PubMed]
- Kresse, G.; Furthmüller, J. Efficient iterative schemes for ab initio total-energy calculations using a plane-wave basis set. Phys. Rev. B 1996, 54, 11169–11186. [Google Scholar] [CrossRef]
- Kresse, G.; Joubert, D. From ultrasoft pseudopotentials to the projector augmented-wave method. Phys. Rev. B 1999, 59, 1759–1775. [Google Scholar] [CrossRef]
- Perdew, J.P.; Burke, K.; Ernzerhof, M. Generalized Gradient Approximation Made Simple. Phys. Rev. Lett. 1996, 77, 3865–3868. [Google Scholar] [CrossRef] [PubMed]
- Huda, M.N.; Kleinman, L. DFT+Usearch for the energy minimum among eight collinear and noncollinear magnetic structures of GdB4. Phys. Rev. B 2008, 78, 094424. [Google Scholar] [CrossRef]
- Petersen, M.; Hafner, J.; Marsman, M. Structural, electronic and magnetic properties of Gd investigated by DFT+U methods: Bulk, clean and H-covered (0001) surfaces. J. Phys. Condens. Matter 2006, 18, 7021–7043. [Google Scholar] [CrossRef]
- Monkhorst, H.J.; Pack, J.D. Special points for Brillouin-zone integrations. Phys. Rev. B 1976, 13, 5188–5192. [Google Scholar] [CrossRef]
- Ceperley, D.M.; Alder, B.J. Ground State of the Electron Gas by a Stochastic Method. Phys. Rev. Lett. 1980, 45, 566–569. [Google Scholar] [CrossRef]
- Becke, A.D.; Edgecombe, K.E. A simple measure of electron localization in atomic and molecular systems. J. Chem. Phys. 1990, 92, 5397–5403. [Google Scholar] [CrossRef]
- Maintz, S.; Deringer, V.L.; Tchougréeff, A.L.; Dronskowski, R. LOBSTER: A tool to extract chemical bonding from plane-wave based DFT. J. Comput. Chem. 2016, 37, 1030–1035. [Google Scholar] [CrossRef] [PubMed]






| Structures | ρ (g/cm3) | Ed (kJ/g) | Ev (kJ/cm3) |
|---|---|---|---|
| P-1(I)-GdN3 | 7.29 | 0.36 | 2.62 |
| P-1(II)-GdN3 | 7.15 | 0.35 | 2.52 |
| P2/c-GdN5 | 6.10 | 1.15 | 9.53 |
| P-1-GdN5 | 5.86 | 1.18 | 7.64 |
| P-1(I)-GdN6 | 5.95 | 1.77 | 11.58 |
| P-1(II)-GdN6 | 5.38 | 1.45 | 7.94 |
| R-3-GdN8 | 5.07 | 2.21 | 11.95 |
| C2mm-GdN9 | 4.84 | 3.33 | 16.31 |
| P1-GdN10 | 4.76 | 3.41 | 17.79 |
| TNT | 1.64 | 4.30 | 7.05 |
Disclaimer/Publisher’s Note: The statements, opinions and data contained in all publications are solely those of the individual author(s) and contributor(s) and not of MDPI and/or the editor(s). MDPI and/or the editor(s) disclaim responsibility for any injury to people or property resulting from any ideas, methods, instructions or products referred to in the content. |
© 2025 by the authors. Licensee MDPI, Basel, Switzerland. This article is an open access article distributed under the terms and conditions of the Creative Commons Attribution (CC BY) license (https://creativecommons.org/licenses/by/4.0/).
Share and Cite
Yang, Y.; Song, J.; Zhang, H.; Li, Z.; Liu, S.; Wang, Y.; Su, X. Prediction of Gadolinium Polynitrides at High Pressures as High-Energy-Density Materials. Molecules 2025, 30, 733. https://doi.org/10.3390/molecules30030733
Yang Y, Song J, Zhang H, Li Z, Liu S, Wang Y, Su X. Prediction of Gadolinium Polynitrides at High Pressures as High-Energy-Density Materials. Molecules. 2025; 30(3):733. https://doi.org/10.3390/molecules30030733
Chicago/Turabian StyleYang, Ye, Jiamei Song, Haodi Zhang, Zhihui Li, Shuang Liu, Yuanyuan Wang, and Xiaomin Su. 2025. "Prediction of Gadolinium Polynitrides at High Pressures as High-Energy-Density Materials" Molecules 30, no. 3: 733. https://doi.org/10.3390/molecules30030733
APA StyleYang, Y., Song, J., Zhang, H., Li, Z., Liu, S., Wang, Y., & Su, X. (2025). Prediction of Gadolinium Polynitrides at High Pressures as High-Energy-Density Materials. Molecules, 30(3), 733. https://doi.org/10.3390/molecules30030733
