Electrokinetics of CO2 Reduction in Imidazole Medium Using RuO2.SnO2-Immobilized Glassy Carbon Electrode
Abstract
1. Introduction
2. Results and Discussion
2.1. Surface Characterization
2.2. Electrochemical Characterization
2.3. Cyclic Voltammetry
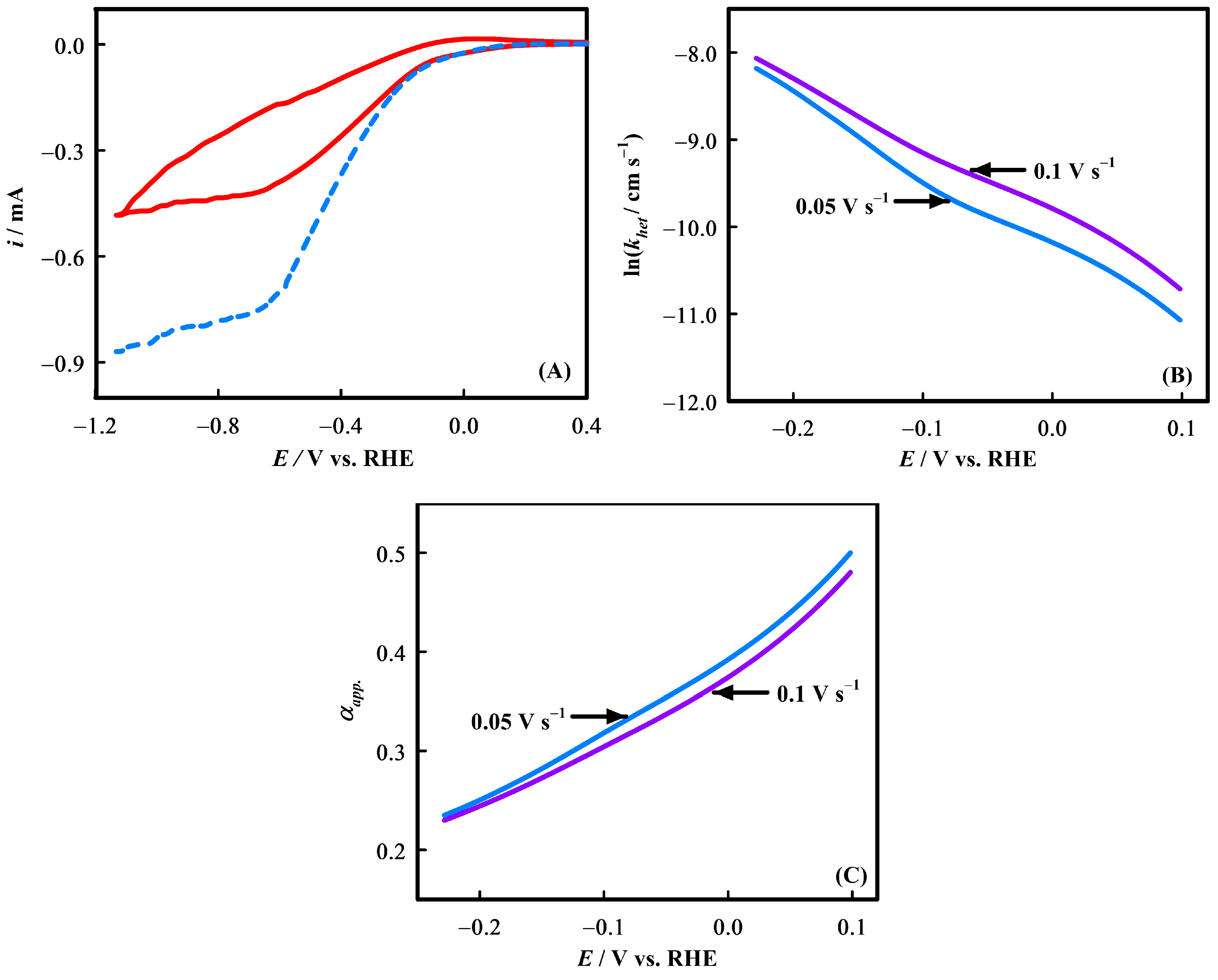
2.4. Kinetics
2.4.1. Tafel Analysis
2.4.2. Scan Rate Effect
2.4.3. Convolution Study

3. Experimental
3.1. Chemicals and Instruments
3.2. Synthetic Method of RuO2.SnO2 Catalyst
3.3. Morphological and Chemical Characterization
3.4. Electrode Preparation
3.5. Electrochemical Measurements
4. Conclusions
Supplementary Materials
Author Contributions
Funding
Institutional Review Board Statement
Informed Consent Statement
Data Availability Statement
Acknowledgments
Conflicts of Interest
References
- Ochonma, P.; Gao, X.; Gadikota, G. Tuning Reactive Crystallization Pathways for Integrated CO2 Capture, Conversion, and Storage via Mineralization. Acc. Chem. Res. 2024, 57, 267–274. [Google Scholar] [CrossRef] [PubMed]
- Li, X.; Peachey, B.; Maeda, N. Global Warming and Anthropogenic Emissions of Water Vapor. Langmuir 2024, 40, 7701–7709. [Google Scholar] [CrossRef] [PubMed]
- Yoro, K.O.; Daramola, M.O. CO2 emission sources, greenhouse gases, and the global warming effect. In Advances in Carbon Capture; Elsevier: Amsterdam, The Netherlands, 2020; pp. 3–28. [Google Scholar]
- Hussain, A.; Arif, S.M.; Aslam, M. Emerging renewable and sustainable energy technologies: State of the art. Renew. Sustain. Energy Rev. 2017, 71, 12–28. [Google Scholar] [CrossRef]
- Han, G.H.; Bang, J.; Park, G.; Choe, S.; Jang, Y.J.; Jang, H.W.; Kim, S.Y.; Ahn, S.H. Recent advances in electrochemical, photochemical, and photoelectrochemical reduction of CO2 to C2+ products. Small 2023, 19, 2205765. [Google Scholar] [CrossRef] [PubMed]
- Elouarzaki, K.; Kannan, V.; Jose, V.; Sabharwal, H.S.; Lee, J. Recent trends, benchmarking, and challenges of electrochemical reduction of CO2 by molecular catalysts. Adv. Energy Mater. 2019, 9, 1900090. [Google Scholar] [CrossRef]
- Fan, Q.; Zhang, M.; Jia, M.; Liu, S.; Qiu, J.; Sun, Z. Electrochemical CO2 reduction to C2+ species: Heterogeneous electrocatalysts, reaction pathways, and optimization strategies. Mater. Today Energy 2018, 10, 280–301. [Google Scholar] [CrossRef]
- Onajah, S.; Sarkar, R.; Islam, M.S.; Lalley, M.; Khan, K.; Demir, M.; Abdelhamid, H.N.; Farghaly, A.A. Silica-Derived Nanostructured Electrode Materials for ORR, OER, HER, CO2RR Electrocatalysis, and Energy Storage Applications: A Review. Chem. Rec. 2024, 24, e202300234. [Google Scholar] [CrossRef] [PubMed]
- Irabien, A.; Alvarez-Guerra, M.; Albo, J.; Dominguez-Ramos, A. Electrochemical conversion of CO2 to value-added products. In Electrochemical Water and Wastewater Treatment; Elsevier: Amsterdam, The Netherlands, 2018; pp. 29–59. [Google Scholar]
- Yaashikaa, P.R.; Kumar, P.S.; Varjani, S.J.; Saravanan, A. A review on photochemical, biochemical and electrochemical transformation of CO2 into value-added products. J. CO2 Util. 2019, 33, 131–147. [Google Scholar] [CrossRef]
- Wang, J.; Huang, Y.-C.; Wang, Y.; Deng, H.; Shi, Y.; Wei, D.; Li, M.; Dong, C.-L.; Jin, H.; Mao, S.S.; et al. Atomically dispersed metal–nitrogen–carbon catalysts with d-orbital electronic configuration-dependent selectivity for electrochemical CO2-to-CO reduction. ACS Catal. 2023, 13, 2374–2385. [Google Scholar] [CrossRef]
- Islam, M.T.; Hossain, M.I.; Aoki, K.; Nagao, Y.; Hasan, M.M.; Rahaman, M.; Aldalbahi, A.; Hasnat, M.A. Electrochemical Reduction of CO2 by the SnS| PTFE| Pt Surface in an Aqueous Imidazole Medium: Catalysis and Kinetics. ACS Appl. Energy Mater. 2024, 7, 3125–3136. [Google Scholar] [CrossRef]
- Boutin, E.; Wang, M.; Lin, J.C.; Mesnage, M.; Mendoza, D.; Lassalle-Kaiser, B.; Hahn, C.; Jaramillo, T.F.; Robert, M. Aqueous electrochemical reduction of carbon dioxide and carbon monoxide into methanol with cobalt phthalocyanine. Angew. Chem. Int. Ed. 2019, 58, 16172–16176. [Google Scholar] [CrossRef] [PubMed]
- Russell, P.G.; Kovac, N.; Srinivasan, S.; Steinberg, M. The electrochemical reduction of carbon dioxide, formic acid, and formaldehyde. J. Electrochem. Soc. 1977, 124, 1329. [Google Scholar] [CrossRef]
- Zhang, X.; Zhao, Y.; Hu, S.; Gliege, M.E.; Liu, Y.; Liu, R.; Scudiero, L.; Hu, Y.; Ha, S. Electrochemical reduction of carbon dioxide to formic acid in ionic liquid [Emim][N (CN) 2]/water system. Electrochim. Acta 2017, 247, 281–287. [Google Scholar] [CrossRef]
- Li, J.; Kuang, Y.; Meng, Y.; Tian, X.; Hung, W.-H.; Zhang, X.; Li, A.; Xu, M.; Zhou, W.; Ku, C.-S. Electroreduction of CO2 to formate on a copper-based electrocatalyst at high pressures with high energy conversion efficiency. J. Am. Chem. Soc. 2020, 142, 7276–7282. [Google Scholar] [CrossRef] [PubMed]
- Liang, S.; Huang, L.; Gao, Y.; Wang, Q.; Liu, B. Electrochemical reduction of CO2 to CO over transition metal/N-doped carbon catalysts: The active sites and reaction mechanism. Adv. Sci. 2021, 8, 2102886. [Google Scholar]
- Benson, E.E.; Kubiak, C.P.; Sathrum, A.J.; Smieja, J.M. Electrocatalytic and homogeneous approaches to conversion of CO2 to liquid fuels. Chem. Soc. Rev. 2009, 38, 89–99. [Google Scholar] [CrossRef]
- Al-Tamreh, S.A.; Ibrahim, M.H.; El-Naas, M.H.; Vaes, J.; Pant, D.; Benamor, A.; Amhamed, A. Electroreduction of carbon dioxide into formate: A comprehensive review. ChemElectroChem 2021, 8, 3207–3220. [Google Scholar]
- Grubel, K.; Jeong, H.; Yoon, C.W.; Autrey, T. Challenges and opportunities for using formate to store, transport, and use hydrogen. J. Energy Chem. 2020, 41, 216–224. [Google Scholar]
- Vo, T.; Purohit, K.; Nguyen, C.; Biggs, B.; Mayoral, S.; Haan, J.L. Formate: An energy storage and transport bridge between carbon dioxide and a formate fuel cell in a single device. ChemSusChem 2015, 8, 3853–3858. [Google Scholar] [PubMed]
- Chaplin, R.P.S.; Wragg, A.A. Effects of process conditions and electrode material on reaction pathways for carbon dioxide electroreduction with particular reference to formate formation. J. Appl. Electrochem. 2003, 33, 1107–1123. [Google Scholar]
- Jiang, C.; Nichols, A.W.; Walzer, J.F.; Machan, C.W. Electrochemical CO2 reduction in a continuous non-aqueous flow cell with [Ni (cyclam)]2+. Inorg. Chem. 2020, 59, 1883–1892. [Google Scholar] [CrossRef]
- Indrakanti, V.P.; Kubicki, J.D.; Schobert, H.H. Photoinduced activation of CO2 on Ti-based heterogeneous catalysts: Current state, chemical physics-based insights and outlook. Energy Environ. Sci. 2009, 2, 745–758. [Google Scholar] [CrossRef]
- Monteiro, M.C.O.; Philips, M.F.; Schouten, K.J.P.; Koper, M.T.M. Efficiency and selectivity of CO2 reduction to CO on gold gas diffusion electrodes in acidic media. Nat. Commun. 2021, 12, 4943. [Google Scholar] [CrossRef] [PubMed]
- Mustafa, A.; Lougou, B.G.; Shuai, Y.; Wang, Z.; Razzaq, S.; Zhao, J.; Tan, H. Theoretical insights into the factors affecting the electrochemical reduction of CO2. Sustain. Energy Fuels 2020, 4, 4352–4369. [Google Scholar] [CrossRef]
- Marcandalli, G.; Monteiro, M.C.O.; Goyal, A.; Koper, M.T.M. Electrolyte effects on CO2 electrochemical reduction to CO. Acc. Chem. Res. 2022, 55, 1900–1911. [Google Scholar] [CrossRef] [PubMed]
- Chen, J.; Wang, L. Effects of the catalyst dynamic changes and influence of the reaction environment on the performance of electrochemical CO2 reduction. Adv. Mater. 2022, 34, 2103900. [Google Scholar] [CrossRef] [PubMed]
- Berto, T.C.; Zhang, L.; Hamers, R.J.; Berry, J.F. Electrolyte dependence of CO2 electroreduction: Tetraalkylammonium ions are not electrocatalysts. ACS Catal. 2015, 5, 703–707. [Google Scholar] [CrossRef]
- Hao, J.; Shi, W. Transition metal (Mo, Fe, Co, and Ni)-based catalysts for electrochemical CO2 reduction. Chin. J. Catal. 2018, 39, 1157–1166. [Google Scholar] [CrossRef]
- Yang, Z.; Oropeza, F.E.; Zhang, K.H.L. P-block metal-based (Sn, In, Bi, Pb) electrocatalysts for selective reduction of CO2 to formate. APL Mater. 2020, 8, 060901. [Google Scholar] [CrossRef]
- Li, M.; Garg, S.; Chang, X.; Ge, L.; Li, L.; Konarova, M.; Rufford, T.E.; Rudolph, V.; Wang, G. Toward excellence of transition metal-based catalysts for CO2 electrochemical reduction: An overview of strategies and rationales. Small Methods 2020, 4, 2000033. [Google Scholar]
- Saravanan, G. Electrochemical CO2 reduction on metal electrodes. Int. J. Renew. Energy Its Commer. 2017, 3, 14–15. [Google Scholar]
- Hansen, H.A.; Varley, J.B.; Peterson, A.A.; Nørskov, J.K. Understanding trends in the electrocatalytic activity of metals and enzymes for CO2 reduction to CO. J. Phys. Chem. Lett. 2013, 4, 388–392. [Google Scholar] [CrossRef] [PubMed]
- Nitopi, S.; Bertheussen, E.; Scott, S.B.; Liu, X.; Engstfeld, A.K.; Horch, S.; Seger, B.; Stephens, I.E.L.; Chan, K.; Hahn, C.; et al. Progress and perspectives of electrochemical CO2 reduction on copper in aqueous electrolyte. Chem. Rev. 2019, 119, 7610–7672. [Google Scholar] [CrossRef] [PubMed]
- Chen, Z.; Fan, T.; Zhang, Y.-Q.; Xiao, J.; Gao, M.; Duan, N.; Zhang, J.; Li, J.; Liu, Q.; Yi, X. Wavy SnO2 catalyzed simultaneous reinforcement of carbon dioxide adsorption and activation towards electrochemical conversion of CO2 to HCOOH. Appl. Catal. B 2020, 261, 118243. [Google Scholar] [CrossRef]
- Chen, Y.; Kanan, M.W. Tin oxide dependence of the CO2 reduction efficiency on tin electrodes and enhanced activity for tin/tin oxide thin-film catalysts. J. Am. Chem. Soc. 2012, 134, 1986–1989. [Google Scholar] [CrossRef]
- Rende, K.; Kayan, D.B.; Arslan, L.Ç.; Ergenekon, P. Facile fabrication of Sn/SnOx electrode as an efficient electrocatalyst for CO2 reduction to formate. Mater. Today Commun. 2023, 35, 105819. [Google Scholar] [CrossRef]
- Karamad, M.; Hansen, H.A.; Rossmeisl, J.; Nørskov, J.K. Mechanistic pathway in the electrochemical reduction of CO2 on RuO2. ACS Catal. 2015, 5, 4075–4081. [Google Scholar] [CrossRef]
- Zhang, Y.; Zhang, S.; Ma, J.; Huang, A.; Yuan, M.; Li, Y.; Sun, G.; Chen, C.; Nan, C. Oxygen vacancy-rich RuO2–Co3O4 nanohybrids as improved electrocatalysts for Li–O2 batteries. ACS Appl. Mater. Interfaces 2021, 13, 39239–39247. [Google Scholar] [CrossRef] [PubMed]
- Peng, L.; Wang, Y.; Masood, I.; Zhou, B.; Wang, Y.; Lin, J.; Qiao, J.; Zhang, F.-Y. Self-growing Cu/Sn bimetallic electrocatalysts on nitrogen-doped porous carbon cloth with 3D-hierarchical honeycomb structure for highly active carbon dioxide reduction. Appl. Catal. B 2020, 264, 118447. [Google Scholar] [CrossRef]
- Atrak, N.; Tayyebi, E.; Skulason, E. Insight into catalytic active sites on TiO2/RuO2 and SnO2/RuO2 alloys for electrochemical CO2 reduction to CO and formic acid. ACS Catal. 2023, 13, 5491–5501. [Google Scholar] [CrossRef]
- Rochelle, G.T. Amine scrubbing for CO2 capture. Science 2009, 325, 1652–1654. [Google Scholar] [CrossRef]
- Qiu, Y.; Zhong, H.; Xu, W.; Zhang, T.; Li, X.; Zhang, H. Tuning the electrocatalytic properties of a Cu electrode with organic additives containing amine group for CO2 reduction. J. Mater. Chem. A Mater. 2019, 7, 5453–5462. [Google Scholar] [CrossRef]
- Abdinejad, M.; Mirza, Z.; Zhang, X.; Kraatz, H.-B. Enhanced electrocatalytic activity of primary amines for CO2 reduction using copper electrodes in aqueous solution. ACS Sustain. Chem. Eng. 2020, 8, 1715–1720. [Google Scholar] [CrossRef]
- Xu, X.; Liu, F.; Huang, J.; Luo, W.; Yu, J.; Fang, X.; Lebedeva, O.E.; Wang, X. The Influence of RuO2 Distribution and Dispersion on the Reactivity of RuO2−SnO2 Composite Oxide Catalysts Probed by CO Oxidation. ChemCatChem 2019, 11, 2473–2483. [Google Scholar] [CrossRef]
- Gaudet, J.; Tavares, A.C.; Trasatti, S.; Guay, D. Physicochemical Characterization of Mixed RuO2-SnO2 Solid Solutions. Chem. Mater. 2005, 17, 1570–1579. [Google Scholar] [CrossRef]
- You, T.H.; Hu, C.C. Designing Binary Ru-Sn Oxides with Optimized Performances for the Air Electrode of Rechargeable Zinc-Air Batteries. ACS Appl. Mater. Interfaces 2018, 10, 10064–10075. [Google Scholar] [CrossRef] [PubMed]
- Islam, M.N.; Moushumy, Z.M.; Islam, M.R.; Hossain, M.I.; Rahman, M.A.; Rahaman, M.; Aldalbahi, A.; Uddin, M.T.; Singha, N.R.; Hasnat, M.A. Activation of stannic oxide by the incorporation of ruthenium oxide nanoparticles for efficient hydrogen evolution reaction. Electrochim. Acta 2024, 507, 145114. [Google Scholar] [CrossRef]
- Rumyantseva, M.N.; Safonova, O.V.; Boulova, M.N.; Ryabova, L.I.; Gas’kov, A.M. Dopants in nanocrystalline tin dioxide. Russ. Chem. Bull. 2003, 52, 1217–1238. [Google Scholar] [CrossRef]
- Fu, J.; Yang, K.; Ma, C.; Zhang, N.; Gai, H.; Zheng, J.; Chen, B.H. Bimetallic Ru–Cu as a highly active, selective and stable catalyst for catalytic wet oxidation of aqueous ammonia to nitrogen. Appl. Catal. B 2016, 184, 216–222. [Google Scholar] [CrossRef]
- Singh, P.; Hegde, M.S. Ce1−x Rux O2−δ (x = 0.05, 0.10): A New High Oxygen Storage Material and Pt, Pd-Free Three-Way Catalyst. Chem. Mater. 2009, 21, 3337–3345. [Google Scholar] [CrossRef]
- Xu, X.; Liu, F.; Han, X.; Wu, Y.; Liu, W.; Zhang, R.; Zhang, N.; Wang, X. Elucidating the promotional effects of niobia on SnO2 for CO oxidation: Developing an XRD extrapolation method to measure the lattice capacity of solid solutions. Catal. Sci. Technol. 2016, 6, 5280–5291. [Google Scholar] [CrossRef]
- Sun, Q.; Xu, X.; Peng, H.; Fang, X.; Liu, W.; Ying, J.; Yu, F.; Wang, X. SnO2-based solid solutions for CH4 deep oxidation: Quantifying the lattice capacity of SnO2 using an X-ray diffraction extrapolation method. Chin. J. Catal. 2016, 37, 1293–1302. [Google Scholar] [CrossRef]
- Wang, Q.; Zhao, B.; Li, G.; Zhou, R. Application of rare earth modified Zr-based ceria-zirconia solid solution in three-way catalyst for automotive emission control. Environ. Sci. Technol. 2010, 44, 3870–3875. [Google Scholar] [CrossRef] [PubMed]
- Ahmed, J.; Islam, M.N.; Faisal, M.; Algethami, J.S.; Hasan, M.M.; Siddiquey, I.A.; Hasnat, M.A.; Harraz, F.A. Electrocatalytic investigation of H2O2 reduction and sensing performance using sulfide modified Au/Pt electrode in alkaline medium. Colloids Surf. A Physicochem. Eng. Asp. 2024, 682, 132926. [Google Scholar] [CrossRef]
- Islam, M.N.; Ahsan, M.; Aoki, K.; Nagao, Y.; Alsafrani, A.E.; Marwani, H.M.; Almahri, A.; Rahman, M.M.; Hasnat, M.A. Development of CuNi immobilized Pt surface to minimize nitrite evolution during electrocatalytic nitrate reduction in neutral medium. J. Environ. Chem. Eng. 2023, 11, 111149. [Google Scholar] [CrossRef]
- Islam, M.N.; Abir, A.Y.; Ahmed, J.; Faisal, M.; Algethami, J.S.; Harraz, F.A.; Hasnat, M.A. Electrocatalytic oxygen reduction reaction at FeS2-CNT/GCE surface in alkaline medium. J. Electroanal. Chem. 2023, 941, 117568. [Google Scholar] [CrossRef]
- Nicholson, R.S. Theory and application of cyclic voltammetry for measurement of electrode reaction kinetics. Anal. Chem. 1965, 37, 1351–1355. [Google Scholar] [CrossRef]
- Jin, S.; Hao, Z.; Zhang, K.; Yan, Z.; Chen, J. Advances and challenges for the electrochemical reduction of CO2 to CO: From fundamentals to industrialization. Angew. Chem. 2021, 133, 20795–20816. [Google Scholar] [CrossRef]
- Singh, P.; Rheinhardt, J.H.; Olson, J.Z.; Tarakeshwar, P.; Mujica, V.; Buttry, D.A. Electrochemical capture and release of carbon dioxide using a disulfide–thiocarbonate redox cycle. J. Am. Chem. Soc. 2017, 139, 1033–1036. [Google Scholar] [CrossRef]
- Mena, S.; Bernad, J.; Guirado, G. Electrochemical incorporation of carbon dioxide into fluorotoluene derivatives under mild conditions. Catalysts 2021, 11, 880. [Google Scholar] [CrossRef]
- Reche, I.; Gallardo, I.; Guirado, G. Cyclic voltammetry using silver as cathode material: A simple method for determining electro and chemical features and solubility values of CO2 in ionic liquids. Phys. Chem. Chem. Phys. 2015, 17, 2339–2343. [Google Scholar] [CrossRef] [PubMed]
- Rebolledo-Chávez, J.P.F.; Toral, G.T.; Ramirez-Delgado, V.; Reyes-Vidal, Y.; Jiménez-González, M.L.; Cruz-Ramirez, M.; Mendoza, A.; Ortiz-Frade, L. The role of redox potential and molecular structure of Co (II)-Polypyridine complexes on the molecular catalysis of CO2 Reduction. Catalysts 2021, 11, 948. [Google Scholar] [CrossRef]
- Alenezi, K.M. Mn (III) Catalyzed Electrochemical Reduction of CO2 on Carbon Electrodes. Croat. Chem. Acta 2020, 93, 41–47. [Google Scholar] [CrossRef]
- Portenkirchner, E.; Oppelt, K.; Ulbricht, C.; Egbe, D.A.M.; Neugebauer, H.; Knör, G.; Sariciftci, N.S. Electrocatalytic and photocatalytic reduction of carbon dioxide to carbon monoxide using the alkynyl-substituted rhenium (I) complex (5, 5′-bisphenylethynyl-2, 2′-bipyridyl)Re(CO)3Cl. J. Organomet. Chem. 2012, 716, 19–25. [Google Scholar] [CrossRef]
- Alenezi, K. Electrocatalytic study of carbon dioxide reduction by Co (TPP) Cl complex. J. Chem. 2016, 2016, 1501728. [Google Scholar] [CrossRef]
- Bard, A.J.; Faulkner, L.R.; White, H.S. Electrochemical Methods: Fundamentals and Applications; John Wiley & Sons: Hoboken, NJ, USA, 2022. [Google Scholar]
- Begum, H.; Islam, M.N.; Aoun, S.B.; Safwan, J.A.; Shah, S.S.; Aziz, M.A.; Hasnat, M.A. Electrocatalytic reduction of nitrate ions in neutral medium at coinage metal-modified platinum electrodes. Environ. Sci. Pollut. Res. 2023, 30, 34904–34914. [Google Scholar] [CrossRef] [PubMed]
- Kairy, P.; Islam, M.N.; Ahsan, M.; Rashed, M.A.; Alsafrani, A.E.; Marwani, H.M.; Almahri, A.; Rahman, M.M.; Hasnat, M.A. Electrocatalytic reduction of Cr (VI) on gold-based electrodes in acidic medium: A systematic approach to chromium detection. Electrochim. Acta 2023, 467, 142938. [Google Scholar] [CrossRef]
- Saxena, A.; Liyanage, W.; Masud, J.; Kapila, S.; Nath, M. Selective electroreduction of CO2 to carbon-rich products with a simple binary copper selenide electrocatalyst. J. Mater. Chem. A Mater. 2021, 9, 7150–7161. [Google Scholar] [CrossRef]
- Ryu, J.; Andersen, T.N.; Eyring, H. Electrode reduction kinetics of carbon dioxide in aqueous solution. J. Phys. Chem. 1972, 76, 3278–3286. [Google Scholar] [CrossRef]
- Katoh, A.; Uchida, H.; Shibata, M.; Watanabe, M. Design of Electrocatalyst for CO2 Reduction: V. Effect of the Microcrystalline Structures of Cu-Sn and Cu-Zn Alloys on the Electrocatalysis of Reduction. J. Electrochem. Soc. 1994, 141, 2054. [Google Scholar] [CrossRef]
- Ahmed, J.; Islam, M.N.; Faisal, M.; Algethami, J.S.; Rahman, M.M.; Maiyalagan, T.; Hasnat, M.A.; Harraz, F.A. Efficient oxidation of hydrazine over electrochemically activated glassy carbon electrode surface: Kinetics and sensing performance. Diam. Relat. Mater. 2024, 145, 111115. [Google Scholar] [CrossRef]
- Alam, M.S.; Rahman, M.M.; Marwani, H.M.; Hasnat, M.A. Insights of temperature dependent catalysis and kinetics of electro-oxidation of nitrite ions on a glassy carbon electrode. Electrochim. Acta 2020, 362, 137102. [Google Scholar] [CrossRef]
- Leaist, D.G. Ternary diffusion of carbon dioxide in alkaline solutions of aqueous sodium hydroxide and aqueous sodium carbonate. Berichte Der Bunsenges. Für Phys. Chem. 1985, 89, 786–793. [Google Scholar] [CrossRef]
- Zhao, S.; Li, S.; Guo, T.; Zhang, S.; Wang, J.; Wu, Y.; Chen, Y. Advances in Sn-based catalysts for electrochemical CO2 reduction. Nanomicro Lett. 2019, 11, 1–19. [Google Scholar] [CrossRef]
- Donkers, R.L.; Maran, F.; Wayner, D.D.M.; Workentin, M.S. Kinetics of the reduction of dialkyl peroxides. New insights into the dynamics of dissociative electron transfer. J. Am. Chem. Soc. 1999, 121, 7239–7248. [Google Scholar] [CrossRef]
- Hasnat, M.A.; Mumtarin, Z.; Rahman, M.M. Electrocatalytic reduction of hydroxylamine on copper immobilized platinum surface: Heterogeneous kinetics and sensing performance. Electrochim. Acta 2019, 318, 486–495. [Google Scholar] [CrossRef]
- Guidelli, R.; Compton, R.G.; Feliu, J.M.; Gileadi, E.; Lipkowski, J.; Schmickler, W.; Trasatti, S. Defining the transfer coefficient in electrochemistry: An assessment (IUPAC Technical Report). Pure Appl. Chem. 2014, 86, 245–258. [Google Scholar] [CrossRef]
- de Tacconi, N.R.; Chanmanee, W.; Dennis, B.H.; MacDonnell, F.M.; Boston, D.J.; Rajeshwar, K. Electrocatalytic reduction of carbon dioxide using Pt/C-TiO2 nanocomposite cathode. Electrochem. Solid-State Lett. 2011, 15, B5. [Google Scholar] [CrossRef][Green Version]
- Kortlever, R.; Shen, J.; Schouten, K.J.P.; Calle-Vallejo, F.; Koper, M.T.M. Catalysts and reaction pathways for the electrochemical reduction of carbon dioxide. J. Phys. Chem. Lett. 2015, 6, 4073–4082. [Google Scholar] [CrossRef] [PubMed]
- Jiang, Z.; Zhang, Z.; Li, H.; Tang, Y.; Yuan, Y.; Zao, J.; Zheng, H.; Liang, Y. Molecular catalyst with near 100% selectivity for CO2 reduction in acidic electrolytes. Adv. Energy Mater. 2023, 13, 2203603. [Google Scholar] [CrossRef]













| Catalyst | Sn 3d5/2 (Sn2+)/eV | Sn 3d3/2 (Sn2+)/eV | Sn 3d5/2 (Sn4+)/eV | Sn 3d3/2 (Sn4+)/eV | Ru 3d5/2 (Ru4+)/eV | Ru 3d3/2 (Ru4+)/eV | Ru 3p3/2 (Ru4+)/eV |
|---|---|---|---|---|---|---|---|
| SnO2 | 485.05 | 493.67 | 487.19 | 495.62 | - | - | - |
| RuO2 | - | - | - | - | 280.61 | 284.83 | 462.56 |
| RuO2.SnO2 | 484.84 | 493.57 | 486.97 | 495.39 | 280.86 | 285.06 | 462.75 |
| Electrode | Rs (Ω) | Rct (kΩ) | CPE (µMho) |
|---|---|---|---|
| GCE | 669 | 20.9 | 64.9 |
| GCE-RuO2.SnO2 | 790 | 3.19 | 3.36 |
| Electrodes | −Ep/V vs. RHE | jp/mA cm−2 | υ/Vs−1 | [CO2]/ mM | Solvent | Ref. |
|---|---|---|---|---|---|---|
| GCE | 1.60 | 0.25 | 0.01 | 5 | BMP TFSI | [61] |
| Cu | 1.93 | 0.1 | 454 | BMP TFSI | [62] | |
| Ag | 1.38 | 0.1 | 0.5 | 45 | [BMIM] [TFSI] | [63] |
| [CoII(bipy)3](BF4)2/GCE | 1.31 | 0.38 | 0.1 | TBAPF6 + acetonitrile | [64] | |
| SnS|PTFE|Pt | 0.43 | 1.52 | 0.05 | 18 | imidazole | [12] |
| [(Mn(TPP)Cl)]/VCE | 0.73 | 6.0 | 0.1 | 230 | acetonitrile | [65] |
| [Re(BPEBP)(CO)3Cl]/Pt | 1.03 | 2.6 | 0.1 | 280 | acetonitrile | [66] |
| Co(TPP)Cl/VCE | 0.83 | 0.0176 | 0.1 | [Bu4N][BF4]-acetonitrile + DMF | [67] | |
| GCE-RuO2.SnO2 | 0.58 | 10.49 | 0.1 | 18 | imidazole | This work |
Disclaimer/Publisher’s Note: The statements, opinions and data contained in all publications are solely those of the individual author(s) and contributor(s) and not of MDPI and/or the editor(s). MDPI and/or the editor(s) disclaim responsibility for any injury to people or property resulting from any ideas, methods, instructions or products referred to in the content. |
© 2025 by the authors. Licensee MDPI, Basel, Switzerland. This article is an open access article distributed under the terms and conditions of the Creative Commons Attribution (CC BY) license (https://creativecommons.org/licenses/by/4.0/).
Share and Cite
Rahaman, M.; Islam, M.F.; Moushumy, Z.M.; Hossain, M.M.; Islam, M.N.; Hasan, M.; Rahman, M.A.; Tanjila, N.A.; Hasnat, M.A. Electrokinetics of CO2 Reduction in Imidazole Medium Using RuO2.SnO2-Immobilized Glassy Carbon Electrode. Molecules 2025, 30, 575. https://doi.org/10.3390/molecules30030575
Rahaman M, Islam MF, Moushumy ZM, Hossain MM, Islam MN, Hasan M, Rahman MA, Tanjila NA, Hasnat MA. Electrokinetics of CO2 Reduction in Imidazole Medium Using RuO2.SnO2-Immobilized Glassy Carbon Electrode. Molecules. 2025; 30(3):575. https://doi.org/10.3390/molecules30030575
Chicago/Turabian StyleRahaman, Mostafizur, Md. Fahamidul Islam, Zannatul Mumtarin Moushumy, Md Mosaraf Hossain, Md. Nurnobi Islam, Mahmudul Hasan, Mohammad Atiqur Rahman, Nahida Akter Tanjila, and Mohammad A. Hasnat. 2025. "Electrokinetics of CO2 Reduction in Imidazole Medium Using RuO2.SnO2-Immobilized Glassy Carbon Electrode" Molecules 30, no. 3: 575. https://doi.org/10.3390/molecules30030575
APA StyleRahaman, M., Islam, M. F., Moushumy, Z. M., Hossain, M. M., Islam, M. N., Hasan, M., Rahman, M. A., Tanjila, N. A., & Hasnat, M. A. (2025). Electrokinetics of CO2 Reduction in Imidazole Medium Using RuO2.SnO2-Immobilized Glassy Carbon Electrode. Molecules, 30(3), 575. https://doi.org/10.3390/molecules30030575

