The “Irradiance Effect” Plays a Crucial Role in the Photosensitization of Escherichia coli by Blue Light
Abstract
1. Introduction
2. Results
2.1. Effect of Irradiance in Photoinactivation of Escherichia coli
2.2. Effect of Fluence on Photoinactivation of Escherichia coli
2.3. Comparison of Irradiation Effects at 30 and 200 mW/cm2 on E. coli
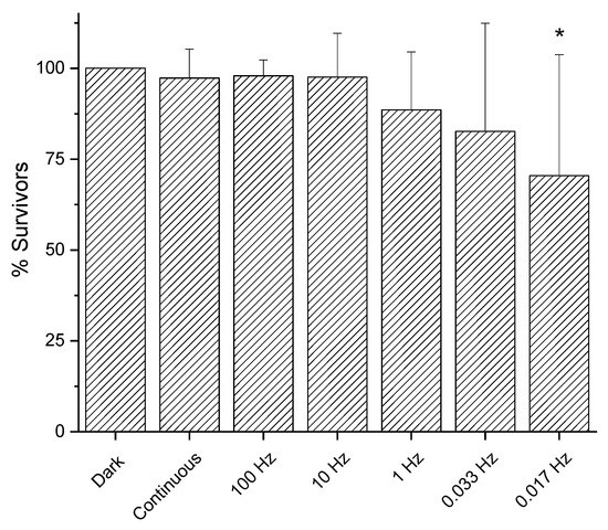
2.4. Effect of Pulsed Light on Photoinactivation of E. coli
2.5. Irradiance Effect in Different E. coli Strains
3. Materials and Methods
3.1. Bacterial Strains and Growth Conditions
3.2. LED Set-Up
3.3. Photo-Spot Test
3.3.1. Fixed Fluence Rate and Increasing Irradiance Values
3.3.2. Fixed Irradiance Values and Increasing Fluence Values
3.3.3. Effect of Bacterial Strain
3.4. Spread Test
3.5. Opencfu Processing
3.6. Statistical Analysis
4. Conclusions
Author Contributions
Funding
Institutional Review Board Statement
Informed Consent Statement
Data Availability Statement
Acknowledgments
Conflicts of Interest
Abbreviations
| aBL | Antimicrobial Blue Light |
| ANOVA | Analysis of Variance |
| CFU | Colony-Forming Unit |
| cm2 | Centimeter square |
| DC | Duty Cycle |
| E | Energy |
| h | Hour |
| Hz | Hertz |
| J | Joule |
| LB | Lysogeny Broth |
| LED | Light-Emitting Diode |
| min | Minute |
| mW | Milli Watt |
| PS | Photosensitizer |
| UV | Ultraviolet |
References
- McDonagh, A.F. Phototherapy: From Ancient Egypt to the New Millennium. J. Perinatol. 2002, 21, S7–S12. [Google Scholar] [CrossRef]
- Enwemeka, C.S.; Baker, T.L.; Bumah, V.V. The role of UV and blue light in photo-eradication of microorganisms. J. Photochem. Photobiol. 2021, 8, 100064. [Google Scholar] [CrossRef]
- Dai, T.; Kharkwal, G.B.; Zhao, J.; Denis, T.G.S.; Wu, Q.; Xia, Y.; Huang, L.; Sharma, S.K.; D’Enfert, C.; Hamblin, M.R. Ultraviolet-C light for treatment of Candida albicans burn infection in mice. Photochem. Photobiol. 2011, 87, 342–349. [Google Scholar] [CrossRef]
- Leanse, L.G.; dos Anjos, C.; Mushtaq, S.; Dai, T. Antimicrobial blue light: A ‘Magic Bullet’ for the 21st century and beyond? Adv. Drug Deliv. Rev. 2022, 180, 114057. [Google Scholar] [CrossRef] [PubMed]
- Kwiatkowski, S.; Knap, B.; Przystupski, D.; Saczko, J.; Kędzierska, E.; Knap-Czop, K.; Kotlińska, J.; Michel, O.; Kotowski, K.; Kulbacka, J. Photodynamic therapy-mechanisms, photosensitizers and combinations. Biomed. Pharmacother. 2018, 106, 1098–1107. [Google Scholar] [CrossRef] [PubMed]
- Aebisher, D.; Przygórzewska, A.; Bartusik-Aebisher, D. Natural Photosensitizers in Clinical Trials. Appl. Sci. 2024, 14, 8436. [Google Scholar] [CrossRef]
- Jusuf, S.; Dong, P.T. Chromophore-Targeting Precision Antimicrobial Phototherapy. Cells 2023, 12, 2664. [Google Scholar] [CrossRef]
- Wang, Y.; Wang, Y.; Wang, Y.; Murray, C.K.; Hamblin, M.R.; Hooper, D.C.; Dai, T.; Dai, T. Antimicrobial blue light inactivation of pathogenic microbes: State of the art HHS Public Access. Drug Resist. Updat. 2017, 33–35, 1–12. [Google Scholar] [CrossRef]
- Choby, J.E.; Skaar, E.P. Heme Synthesis and Acquisition in Bacterial Pathogens. J. Mol. Biol. 2016, 428, 3408–3428. [Google Scholar] [CrossRef]
- Dailey, H.A.; Dailey, T.A.; Gerdes, S.; Jahn, D.; Jahn, M.; O’Brian, M.R.; Warren, M.J. Prokaryotic Heme Biosynthesis: Multiple–Pathways to a Common Essential Product. Microbiol. Mol. Biol. Rev. 2017, 81, e00048-16. [Google Scholar] [CrossRef]
- Porphyrin-Based, M.; Ayala, J.D.; Schroeter, E.R.; Schweitzer, M.H. Citation: Minerals Porphyrin-Based Molecules in the Fossil Record Shed Light on the Evolution of Life. Minerals 2024, 14, 201. [Google Scholar] [CrossRef]
- Ferrer-Espada, R.; Wang, Y.; Goh, X.S.; Dai, T. Antimicrobial Blue Light Inactivation of Microbial Isolates in Biofilms. Lasers Surg. Med. 2019, 52, 472–478. [Google Scholar] [CrossRef]
- Orlandi, V.T.; Martegani, E.; Giaroni, C.; Baj, A.; Bolognese, F. Bacterial pigments: A colorful palette reservoir for biotechnological applications. Biotechnol. Appl. Biochem. 2021, 69, 981–1001. [Google Scholar] [CrossRef] [PubMed]
- Braatsch, S.; Klug, G. Blue light perception in bacteria. Photosynth. Res. 2004, 79, 45–57. [Google Scholar] [CrossRef] [PubMed]
- Maclean, M.; MacGregor, S.J.; Anderson, J.G.; Woolsey, G. Inactivation of Bacterial Pathogens following Exposure to Light from a 405-Nanometer Light-Emitting Diode Array. Appl. Environ. Microbiol. 2009, 75, 1932. [Google Scholar] [CrossRef]
- Halstead, F.D.; Thwaite, J.E.; Burt, R.; Laws, T.R.; Raguse, M.; Moeller, R.; Webber, M.A.; Oppenheim, B.A. Antibacterial Activity of Blue Light against Nosocomial Wound Pathogens Growing Planktonically and as Mature Biofilms. Appl. Environ. Microbiol. 2016, 82, 4006–4016. [Google Scholar] [CrossRef]
- dos Anjos, C.; Sabino, C.P.; Bueris, V.; Fernandes, M.R.; Pogliani, F.C.; Lincopan, N.; Sellera, F.P. Antimicrobial blue light inactivation of international clones of multidrug-resistant Escherichia coli ST10, ST131 and ST648. Photodiagnosis Photodyn. Ther. 2019, 27, 51–53. [Google Scholar] [CrossRef]
- Lawrence, C.; Waechter, S.; Alsanius, B.W. Blue Light Inhibits, E. coli, but Decisive Parameters Remain Hidden in the Dark: Systematic Review and Meta-Analysis. Front. Microbiol. 2022, 13, 1162. [Google Scholar] [CrossRef]
- Huang, S.; Lin, S.; Qin, H.; Jiang, H.; Liu, M. The Parameters Affecting Antimicrobial Efficiency of Antimicrobial Blue Light Therapy: A Review and Prospect. Biomedicines 2023, 11, 1197. [Google Scholar] [CrossRef]
- Mckenzie, K.; Maclean, M.; Timoshkin, I.V.; Macgregor, S.J.; Anderson, J.G. Enhanced inactivation of Escherichia coli and Listeria monocytogenes by exposure to 405 nm light under sub-lethal temperature, salt and acid stress conditions. Int. J. Food Microbiol. 2013, 170, 91–98. [Google Scholar] [CrossRef]
- Lena, A.; Marino, M.; Manzano, M.; Comuzzi, C.; Maifreni, M. An Overview of the Application of Blue Light-Emitting Diodes as a Non-Thermic Green Technology for Microbial Inactivation in the Food Sector. Food Eng. Rev. 2023, 16, 59–84. [Google Scholar] [CrossRef]
- Martegani, E.; Bolognese, F.; Trivellin, N.; Orlandi, V.T. Effect of blue light at 410 and 455 nm on Pseudomonas aeruginosa biofilm. J. Photochem. Photobiol. B Biol. 2020, 204, 111790. [Google Scholar] [CrossRef]
- Matsumoto, N.; Hisatomi, O. Impact of low-intensity 463 nm blue light on proliferation and adaptive mutation of Escherichia coli DH5α cells. Sci. Reports 2025, 15, 20848. [Google Scholar] [CrossRef]
- Baral, R.; Ho, K.; Kumar, R.P.; Hopkins, J.B.; Watkins, M.B.; Larussa, S.; Caban-Penix, S.; Calderone, L.A.; Bradshaw, N. A General Mechanism for Initiating the General Stress Response in Bacteria. eLife 2025, 13, RP100376. [Google Scholar] [CrossRef]
- Battesti, A.; Majdalani, N.; Gottesman, S. The RpoS-mediated general stress response in Escherichia coli. Annu. Rev. Microbiol. 2011, 65, 189–213. [Google Scholar] [CrossRef]
- Foster, P.L. Stress-Induced Mutagenesis in Bacteria. Crit. Rev. Biochem. Mol. Biol. 2007, 42, 373–397. [Google Scholar] [CrossRef]
- Pham, T.T.; Le, T.C.; Nguyen, M.H.; Ngoc, T.; Le, T.; Tra, V.-T.; Bui, X.-T. Inactivating Escherichia coli using hexagonal array of narrow bandwidth of violet-blue light emitting diode. Case Stud. Chem. Environ. Eng. 2023, 8, 100389. [Google Scholar] [CrossRef]
- Ngowwatana, P.; Kampa, N.; Hoisang, S.; Seesupa, S.; Khunbutsri, D.; Chaimongkol, S.; Jitasombuti, P.; Jitpean, S.; Srithunyarat, T.; Nonthakotr, C.; et al. Selective bactericidal efficacy of 465-nm blue light phototherapy against standard and canine wound pathogens: An in vitro evaluation. Vet. World 2025, 18, 2064–2071. [Google Scholar] [CrossRef]
- Huang, S.; Qin, H.; Liu, M. Photoinactivation of Escherichia coli by 405 nm and 450 nm light-emitting diodes: Comparison of continuous wave and pulsed light. J. Photochem. Photobiol. B Biol. 2023, 248, 1011–1344. [Google Scholar] [CrossRef]
- Zhang, W.; Su, P.; Ma, J.; Tan, Y.; Gong, M.; Ma, L. An Approach to Improve Energy Efficiency during Antimicrobial Blue Light Inactivation: Application of Pulse-Width Modulation Dimming to Balance Irradiance and Irradiation Time. Antibiotics 2023, 12, 1431. [Google Scholar] [CrossRef]
- Tschowri, N.; Lindenberg, S.; Hengge, R. Molecular function and potential evolution of the biofilm-modulating blue light-signalling pathway of Escherichia coli. Mol. Microbiol. 2012, 85, 893–906. [Google Scholar] [CrossRef] [PubMed]
- Orlandi, V.T.; Martegani, E.; Bolognese, F.; Trivellin, N.; Garzotto, F.; Caruso, E. Photoinactivation of Pseudomonas aeruginosa Biofilm by Dicationic Diaryl-Porphyrin. Int. J. Mol. Sci. 2021, 22, 6808. [Google Scholar] [CrossRef] [PubMed]






| E. coli Strain | 30 mw/cm2 | 200 mw/cm2 | p |
|---|---|---|---|
| MG1655 | 7.00 × 106 ± 4.65 × 106 | 3.67 × 104 ± 5.50 × 104 | 0.0405 |
| JM109 | 5.50 × 106 ± 4.81 × 106 | 3.03 × 105 ± 4.32 × 105 | 0.0088 |
| DH5α | 8.88 × 106 ± 3.18 × 106 | 1.00 × 106 ± 0.00 | p < 0.0001 |
Disclaimer/Publisher’s Note: The statements, opinions and data contained in all publications are solely those of the individual author(s) and contributor(s) and not of MDPI and/or the editor(s). MDPI and/or the editor(s) disclaim responsibility for any injury to people or property resulting from any ideas, methods, instructions or products referred to in the content. |
© 2025 by the authors. Licensee MDPI, Basel, Switzerland. This article is an open access article distributed under the terms and conditions of the Creative Commons Attribution (CC BY) license (https://creativecommons.org/licenses/by/4.0/).
Share and Cite
Bolognese, F.; Emashova, N.; Baldelli, V.; Landini, P.; Orlandi, V.T. The “Irradiance Effect” Plays a Crucial Role in the Photosensitization of Escherichia coli by Blue Light. Molecules 2025, 30, 4515. https://doi.org/10.3390/molecules30234515
Bolognese F, Emashova N, Baldelli V, Landini P, Orlandi VT. The “Irradiance Effect” Plays a Crucial Role in the Photosensitization of Escherichia coli by Blue Light. Molecules. 2025; 30(23):4515. https://doi.org/10.3390/molecules30234515
Chicago/Turabian StyleBolognese, Fabrizio, Nataliia Emashova, Valerio Baldelli, Paolo Landini, and Viviana Teresa Orlandi. 2025. "The “Irradiance Effect” Plays a Crucial Role in the Photosensitization of Escherichia coli by Blue Light" Molecules 30, no. 23: 4515. https://doi.org/10.3390/molecules30234515
APA StyleBolognese, F., Emashova, N., Baldelli, V., Landini, P., & Orlandi, V. T. (2025). The “Irradiance Effect” Plays a Crucial Role in the Photosensitization of Escherichia coli by Blue Light. Molecules, 30(23), 4515. https://doi.org/10.3390/molecules30234515

