Enhancing Plum Wine Safety and Aroma Using Pulsed Electric Field Pretreatment
Abstract
1. Introduction
2. Results
2.1. Aroma Components of Plum Kernel and Flesh
2.2. Detoxification Pretreatment of Plum Kernels
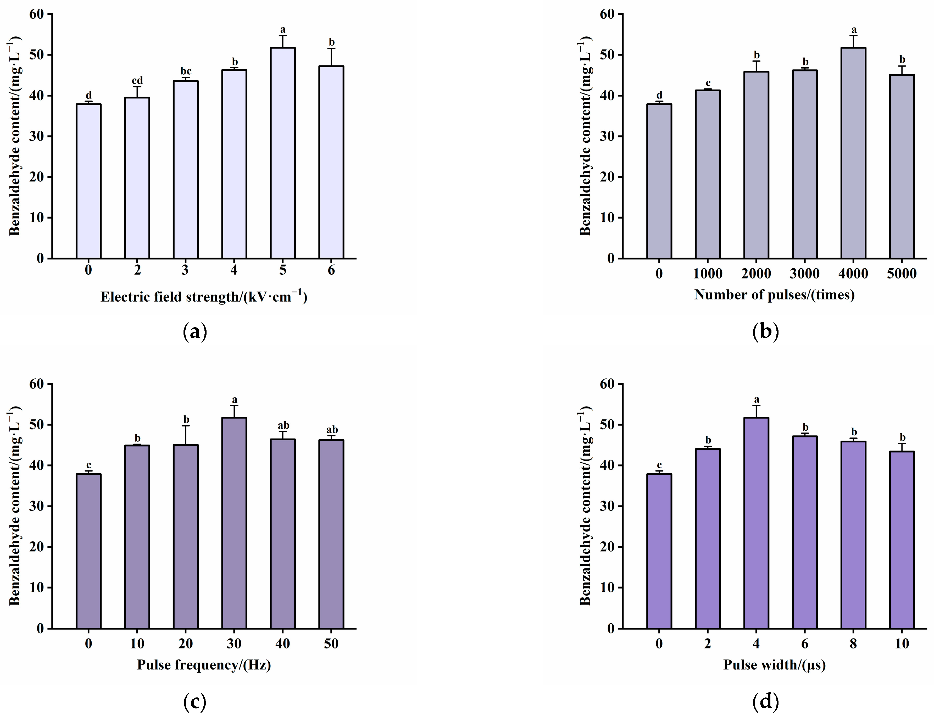
2.3. PEF-Assisted Extraction of Benzaldehyde
2.4. Changes in Benzaldehyde, Amygdalin, and Cyanide Concentrations During Kernel Soaking with PEF-Assisted Extraction
2.5. Comparison of the Analysis of the Components of the New Process of Soaking Plum Wine
2.5.1. Evaluation of the Detoxification Effect of a New Process of Soaking Green Plum Wine
2.5.2. Evaluation of Total Phenols and Total Flavonoids in a New Process of Soaking Green Plum Wine
3. Discussion
4. Materials and Methods
4.1. Raw Materials and Chemicals
4.2. Determination of Aroma Components in the Kernel and Flesh of Plums
4.3. Detoxification Pretreatment of Plum Kernels
4.4. PEF-Assisted Extraction of Benzaldehyde in Plum Kernels
4.5. Effect of PEF-Assisted Extraction on the Content of Benzaldehyde, Amygdalin, and Cyanide During Kernel Soaking
4.6. Preparation of Soaked Plum Wine with New Processing Techniques
4.7. Statistical Analyses
Supplementary Materials
Author Contributions
Funding
Institutional Review Board Statement
Informed Consent Statement
Data Availability Statement
Conflicts of Interest
Abbreviations
| PEF | Pulsed Electric Field. |
| OAV | Odor Activity Value. |
References
- Xu, L.R.; Wang, S.H.; Tian, A.L.; Liu, T.R.; Benjakul, S.; Xiao, G.; Ying, X. Characteristic volatile compounds, fatty acids and minor bioactive components in oils from green plum seed by HS-GC-IMS, GC–MS and HPLC. Food Chem. X 2022, 17, 100530. [Google Scholar] [CrossRef] [PubMed]
- Lei, Y.; Li, T.; Chen, L.; Deng, M.-S.; Jin, L.; Li, Y.-H.; Li, D. Isolation and identification of non-Saccharomyces yeasts and their flavor characteristics while brewing Yinhong plum wine. Flavour Fragr. J. 2024, 39, 244–260. [Google Scholar] [CrossRef]
- Lee, J.B.; Kim, M.K.; Kim, B.K.; Chung, Y.-H.; Lee, K.-G. Analysis of ethyl carbamate in plum wines produced in Korea. Food Sci. Biotechnol. 2018, 27, 277–282. [Google Scholar] [CrossRef]
- Xu, S.; Xu, X.; Yuan, S.; Liu, H.; Liu, M.; Zhang, Y.; Zhang, H.; Gao, Y.; Lin, R.; Li, X. Identification and Analysis of Amygdalin, Neoamygdalin and Amygdalin Amide in Different Processed Bitter Almonds by HPLC-ESI-MS/MS and HPLC-DAD. Molecules 2017, 22, 1425. [Google Scholar] [CrossRef]
- Cortés, V.; Talens, P.; Barat, J.M.; Lerma-García, M.J. Potential of NIR spectroscopy to predict amygdalin content established by HPLC in intact almonds and classification based on almond bitterness. Food Control 2018, 91, 68–75. [Google Scholar] [CrossRef]
- Sa, R.; Jørgensen, K.; Olsen, C.E.; Dicenta, F.; Møller, B.L. Bitterness in Almonds. Plant Physiol. 2008, 146, 1040–1052. [Google Scholar] [CrossRef]
- Sahamishirazi, S.; Moehring, J.; Claupein, W.; Graeff-Hoenninger, S. Quality assessment of 178 cultivars of plum regarding phenolic, anthocyanin and sugar content. Food Chem. 2016, 214, 694–701. [Google Scholar] [CrossRef]
- Jaszczak-Wilke, E.; Polkowska, Ż.; Koprowski, M.; Owsianik, K.; Mitchell, A.E.; Bałczewski, P. Amygdalin: Toxicity, Anticancer Activity and Analytical Procedures for Its Determination in Plant Seeds. Molecules 2021, 26, 2253. [Google Scholar] [CrossRef]
- Zhong, Y.; Xu, T.; Ji, S.; Wu, X.; Zhao, T.; Li, S.; Zhang, P.; Li, K.; Lu, B. Effect of ultrasonic pretreatment on eliminating cyanogenic glycosides and hydrogen cyanide in cassava. Ultrason. Sonochemistry 2021, 78, 1350–4177. [Google Scholar] [CrossRef] [PubMed]
- Zhang, C.; Lyu, X.; Arshad, R.N.; Aadil, R.M.; Tong, Y.; Zhao, W.; Yang, R. Pulsed electric field as a promising technology for solid foods processing: A review. Food Chem. 2022, 403, 0308–8146. [Google Scholar] [CrossRef] [PubMed]
- Chen, X.; Ma, Y.; Diao, T.; Leng, Y.; Lai, X.; Wei, X. Pulsed electric field technology for the manufacturing processes of wine: A review. J. Food Process. Preserv. 2022, 46, e16750. [Google Scholar] [CrossRef]
- Toulaki, A.K.; Bozinou, E.; Athanasiadis, V.; Chatzimitakos, T.; Mantanis, G.I.; Dourtoglou, V.G.; Lalas, S.I. Accelerating Xinomavro Red Wine Flavor Aging Using a Pulsed Electric Field and Various Wood Chips. Appl. Sci. 2023, 13, 12844. [Google Scholar] [CrossRef]
- Comuzzo, P.; Marconi, M.; Zanella, G.; Querzè, M. Pulsed electric field processing of white grapes (cv. Garganega): Effects on wine composition and volatile compounds. Food Chem. 2018, 264, 16–23. [Google Scholar] [CrossRef]
- Popović, B.; Mitrović, O.; Nikićević, N.; Tešević, V.; Urošević, I.; Miletić, N.; Milojević, S. Influence of Different Pre-Distillation Steps on Aromatic Profile of Plum Spirits Produced by Traditional and Modified Methods. Processes 2023, 11, 863. [Google Scholar] [CrossRef]
- Sotelo, K.A.G.; Hamid, N.; Oey, I.; Gutierrez-Maddox, N.; Ma, Q.; Leong, S.Y. Effect of Pulsed Electric Fields on the Flavour Profile of Red-Fleshed Sweet Cherries (Prunus avium var. Stella). Molecules 2015, 20, 5223–5238. [Google Scholar] [CrossRef]
- Tahir, F.; Ali, E.; Hassan, S.A.; Bhat, Z.F.; Walayat, N.; Nawaz, A.; Khaneghah, A.M.; Phimolsiripol, Y.; Khan, M.R.; Aadil, R.M. Cyanogenic glucosides in plant-based foods: Occurrence, detection methods, and detoxification strategies—A comprehensive review. Microchem. J. 2024, 199, 110065. [Google Scholar] [CrossRef]
- Ismail, H.M.M.; Williams, A.A.; Tucknott, O.G. The flavour components of plum. Z. Lebensm.-Unters. Und-Forsch. 1980, 171, 265–268. [Google Scholar] [CrossRef]
- Gemert, L.J.V. Odour Thresholds Compilations of Odour Threshold Values in Air, Water and Other Media, Second enlarged and revised edition; Oliemans Punter: Utrecht, The Netherlands, 2003. [Google Scholar]
- Garruti, D.S.; Franco, M.R.B.; da Silva, M.A.A.P.; Janzantti, N.S.; Alves, G.L. Assessment of aroma impact compounds in a cashew apple-based alcoholic beverage by GC-MS and GC-olfactometry. LWT 2006, 39, 373–378. [Google Scholar] [CrossRef]
- Urcan, D.E.; Giacosa, S.; Torchio, F.; Segade, S.R.; Raimondi, S.; Bertolino, M.; Gerbi, V.; Pop, N.; Rolle, L. “Fortified” wines volatile composition: Effect of different postharvest dehydration conditions of wine grapes cv. Malvasia moscata (Vitis vinifera L.). Food Chem. 2017, 219, 346–356. [Google Scholar] [CrossRef]
- Song, X.; Dai, F.; Yao, J.; Li, Z.; Huang, Z.; Liu, H.; Zhu, Z. Characterization of the volatile profile of feijoa (Acca sellowiana) fruit at different ripening stages by HS-SPME-GC/MS. LWT 2023, 184, 115011. [Google Scholar] [CrossRef]
- El Hadi, M.A.M.; Zhang, F.-J.; Wu, F.-F.; Zhou, C.-H.; Tao, J. Advances in Fruit Aroma Volatile Research. Molecules 2013, 18, 8200–8229. [Google Scholar] [CrossRef]
- Ekinci, F.; Yildizdas, D.; Ates, A.; Gökay, N. Cyanide intoxication by apricot kernels: A case report and literature review. Emerg. Care J. 2019, 15, 8256. [Google Scholar] [CrossRef]
- He, X.Y.; Wu, L.J.; Wang, W.X.; Xie, P.J.; Chen, Y.H.; Wang, F. Amygdalin—A pharmacological and toxicological review. J. Ethnopharmacol. 2020, 254, 112717. [Google Scholar] [CrossRef] [PubMed]
- El-Adawy, T.A.; Rahma, E.H.; El-Badawey, A.A.; Gomaa, M.A.; Lásztity, R.; Sarkadi, L. Biochemical studies of some non-conventional sources of proteins Part 7. Effect of detoxification treatments on the nutritional quality of apricot kernels†. Nahrung 1994, 38, 12–20. [Google Scholar] [CrossRef]
- Tuncel, G.; Nout, M.J.R.; Brimer, L. The effects of grinding, soaking and cooking on the degradation of amygdalin of bitter apricot seeds. Food Chem. 1995, 53, 447–451. [Google Scholar] [CrossRef]
- Silem, A.; Günter, H.-O.; Einfeldt, J.; Boualia, A. The occurrence of mass transport processes during the leaching of amygdalin from bitter apricot kernels: Detoxification and flavour improvement. Int. J. Food Sci. Technol. 2006, 41, 201–213. [Google Scholar] [CrossRef]
- López-Giral, N.; López, R.; Santamaría, P.; González-Arenzana, L.; Garde-Cerdán, T. Phenolic and colour characteristics of must and wine obtained from red grapes treated by pulsed electric fields. Efficacy of PEF to reduce maceration time in elaboration of red wines. Eur. Food Res. Technol. 2023, 249, 273–282. [Google Scholar] [CrossRef]
- Ntourtoglou, G.V.; Drosou, F.; Enoch, Y.; Tsapou, E.A.; Bozinou, E.; Athanasiadis, V.; Chatzilazarou, A.; Dourtoglou, E.G.; Lalas, S.I.; Dourtoglou, V.G. Extraction of volatile aroma compounds from toasted oak wood using pulsed electric field. Food Process. Preserv. 2021, 45, e15577. [Google Scholar] [CrossRef]
- Ignat, I.; Volf, I.; Popa, V.I. A critical review of methods for characterisation of polyphenolic compounds in fruits and vegetables. Food Chem. 2010, 126, 1821–1835. [Google Scholar] [CrossRef]
- Balasundram, N.; Sundram, K.; Samman, S. Phenolic compounds in plants and agri-industrial by-products: Antioxidant activity, occurrence, and potential uses. Food Chem. 2006, 99, 191–203. [Google Scholar] [CrossRef]
- Wang, L.H.; Yan, B.; Tang, D.L.; Han, Z.; Li, J.; Zeng, X.A. Quality enhancement and time reduction in soaking green plum wine using pulsed electric field. J. Food Eng. 2024, 372, 112004. [Google Scholar] [CrossRef]
- Zheng, Z.C.; Cai, J.L.; Zeng, X.A. Effect of pulsed electric fields pretreatment on the quality of cold soaked fermented wine. Food Ferment. Ind. 2020, 46, 72–76. [Google Scholar]
- López, N.; Puértolas, E.; Hernández-Orte, P.; Álvarez, I.; Raso, J. Effect of a pulsed electric field treatment on the anthocyanins composition and other quality parameters of ‘Cabernet Sauvignon’ freshly fermented model wines obtained after different maceration times. LWT-Food Sci. Technol. 2009, 42, 1225–1231. [Google Scholar] [CrossRef]
- Butkhup, L.; Jeenphakdee, M.; Jorjong, S.; Samappito, S.; Samappito, W. HS-SPME-GC-MS analysis of volatile aromatic compounds in alcohol related beverages made with mulberry fruits. Food Sci. Biotechnol. 2011, 20, 1021. [Google Scholar] [CrossRef]
- Gómez, E.; Burgos, L.; Soriano, C.; Marín, J. Amygdalin content in the seeds of several apricot cultivars. J. Sci. Food Agric. 1998, 77, 184–186. [Google Scholar] [CrossRef]
- GB5009.36-2023; National Food Safety Standard—Determination of Cyanide in Foods. National Health Commission of the People’s Republic of China: Beijing, China, 2023.
- Gao, M.; Zeng, X.A.; Xiao, L.M. Determination of Benzaldehyde Content in Plum Fruit Wine by High Performance Liquid Chromatography (HPLC). Liquor.-Mak. Sci. Technol. 2009, 30, 110–112. [Google Scholar]
- Niyomvong, N.; Trakunjae, C.; Boondaeng, A. Fermentation Characteristics and Aromatic Profiles of Plum Wines Produced with Hanseniaspora thailandica Zal1 and Common Wine Yeasts. Molecules 2023, 28, 3009. [Google Scholar] [CrossRef]
- Vicaş, S.I.; Bandici, L.; Teuşdea, A.C.; Turcin, V.; Popa, D. The bioactive compounds, antioxidant capacity, and color intensity in must and wines derived from grapes processed by pulsed electric field. CyTA-J. Food 2017, 15, 553–562. [Google Scholar] [CrossRef]







| Peak | Name | CAS | RT | Aroma Description | Relative Content (mg·kg−1) | Odor Detection Threshold (mg·kg−1) [18] | OAV |
|---|---|---|---|---|---|---|---|
| 1 | Benzaldehyde | 100-52-7 | 31.838 | The fragrances of bitter almonds, cherries, and nuts | 2024.66 | 0.35 | 5784.75 |
| 2 | Benzyl alcohol | 100-51-6 | 45.071 | Faint honey-sweet fruit aroma | 35.89 | 10.00 | 3.59 |
| Peak | Name | CAS | RT | Aroma Description | Relative Content (mg/kg−1) | Odor Detection Threshold (mg/kg−1) | OAV |
|---|---|---|---|---|---|---|---|
| 1 | Propionic ether | 105-37-3 | 4.038 | Pineapple fragrance | 0.0028 | 0.01 | 0.2800 |
| 2 | Valeraldehyde | 110-62-3 | 4.481 | — | 0.0213 | 0.042 | 0.5071 |
| 3 | Ethyl butyrate | 105-54-4 | 6.063 | Pineapple fragrance | 0.1062 | 0.001 | 106.20 |
| 4 | 4-hexene-3-ketone | 2497-21-4 | 7.073 | — | 0.0114 | — | — |
| 5 | Butyl acetate | 123-86-4 | 7.373 | Delightful pineapple and banana fragrance | 0.0112 | 0.066 | 0.1697 |
| 6 | Hexanal | 66-25-1 | 7.692 | The smell of fresh green grass | 0.0281 | 0.0045 | 6.2444 |
| 7 | Limetol | 7392-19-0 | 8.699 | The refreshing aroma of camphor, sandalwood, and white lemon | 0.0662 | — | — |
| 8 | Terpinene | 99-86-5 | 10.416 | The citrusy, lemon-like fragrance of oranges | 0.0346 | 0.08 | 0.4325 |
| 9 | Myrcene | 123-35-3 | 11.486 | A light resinous fragrance | 0.0047 | 0.015 | 0.3133 |
| 10 | D-limonene | 5989-27-5 | 12.945 | The light fragrance of fresh flowers | 0.2471 | 0.2 | 1.2355 |
| 11 | Ethyl hexanoate | 123-66-0 | 15.446 | The aroma of pineapple and banana fruits | 0.0261 | 0.27 | 0.0967 |
| 12 | Ocimene quintoxide | 7416-35-5 | 15.754 | The fresh and cool taste of citrus, lime flavor | 0.0124 | — | — |
| 13 | m-Cymene | 99-87-6 | 17.102 | The strong smell of carrots | 0.0024 | 0.4 | 0.0060 |
| 14 | Ethyl 5-Hexenoate | 1000302-89-9 | 18.098 | — | 0.0016 | — | — |
| 15 | 3-oxo-1-heptene | 2918-13-0 | 19.361 | — | 0.0499 | 0.007 | 7.1286 |
| 16 | Heptenal | 18829-55-5 | 20.569 | A green grass fragrance | 0.1399 | 0.013 | 10.7615 |
| 17 | Methylheptenone | 110-93-0 | 21.667 | A fresh fruits fragrance | 0.0365 | 0.05 | 0.7300 |
| 18 | (2E)-2-Octenal | 2548-87-0 | 27.308 | A cucumber fragrance | 0.0547 | 0.003 | 18.2333 |
| 19 | Ionene | 475-03-6 | 27.698 | — | 0.0138 | — | — |
| 20 | Ethyl caprylate | 106-32-1 | 27.962 | The fragrance of brandy | 0.0069 | 0.2 | 0.0345 |
| 21 | Linalool oxide | 34995-77-2 | 28.108 | The fragrances of sandalwood, floral scents, and camphor | 0.0099 | 0.06 | 0.1650 |
| 22 | Oct-1-en-3-ol | 3391-86-4 | 29.038 | The fragrances of lavender, rose, and hay | 0.0353 | 0.001 | 35.3000 |
| 23 | 5-Methylnonan-5-ol | 33933-78-7 | 29.577 | — | 0.0136 | — | — |
| 24 | 2,4-Heptadienal | 4313-03-5 | 30.763 | — | 0.0312 | 10 | 0.0031 |
| 25 | Benzaldehyde | 100-52-7 | 31.905 | The fragrances of bitter almonds, cherries, and nuts | 0.0729 | 0.35 | 0.2083 |
| 26 | Linalool | 78-70-6 | 33.864 | The fragrance of lily of the valley | 0.0448 | 1.082 | 0.0414 |
| 27 | Dihydrolinalool | 29957-43-5 | 36.569 | Rosewood oil fragrance | 0.0298 | — | — |
| 28 | Cis-β-Ocimene | 7643-59-6 | 38.468 | — | 0.0251 | — | — |
| 29 | 2-Methylbutyric acid | 116-53-0 | 38.781 | Cheesy and fruity fragrance | 0.0069 | 5.8 | 0.0012 |
| 30 | Trans-terpin | 7643-60-9 | 39.373 | — | 0.0312 | — | — |
| 31 | α-Terpineol | 98-55-5 | 39.811 | The fragrance of cloves | 0.0333 | 0.33 | 0.1009 |
| 32 | β-Damascenone | 23726-93-4 | 43.531 | An intense rose fragrance | 0.0046 | 0.002 | 2.3000 |
| 33 | γ-Decalactone | 706-14-9 | 49.587 | A delightful fruity fragrance | 0.0076 | 0.088 | 0.0864 |
| 34 | Olivetol | 500-66-3 | 49.678 | — | 0.0050 | — | — |
| 35 | 3,5-Di-tert-butylphenol | 1138-52-9 | 51.387 | — | 0.0045 | — | — |
| 36 | Benzoic acid | 65-85-0 | 52.573 | Faint bitter almond fragrance | 0.0190 | 1.0 | 0.0190 |
| Peak | Name | CAS | RT | Aroma Description | Relative Content (mg·kg−1) | Odor Detection Threshold (mg·kg−1) | OAV |
|---|---|---|---|---|---|---|---|
| 1 | Ethyl butyrate | 105-54-4 | 6.036 | A pineapple fragrance | 0.3470 | 0.001 | 347.0000 |
| 2 | Butyl acetate | 123-86-4 | 7.396 | A delightful pineapple and banana fragrance | 2.0667 | 0.066 | 31.3136 |
| 3 | Limetol | 7392-19-0 | 8.677 | The refreshing aroma of camphor, sandalwood, and white lemon | 0.0769 | — | — |
| 4 | Amyl butyrate | 540-18-1 | 9.467 | An apricot fragrance | 0.0102 | 0.21 | 0.0486 |
| 5 | α-Terpinene | 99-86-5 | 10.376 | A citrusy, lemon fragrance | 0.0623 | 0.08 | 0.7788 |
| 6 | Pentyl acetate | 628-63-7 | 12.053 | A banana fragrance | 0.0249 | 8.2 | 0.0030 |
| 7 | Butyl butanoate | 109-21-7 | 14.496 | A pineapple fragrance | 0.3704 | 1.089 | 0.3401 |
| 8 | Ethyl hexanoate | 123-66-0 | 15.41 | The fruity aroma of pineapple and banana | 0.1893 | 0.27 | 0.7011 |
| 9 | Ocimene quintoxide | 7416-35-5 | 15.711 | The fresh and cool taste of citrus, lime flavor | 0.0263 | — | — |
| 10 | Hexyl acetate | 142-92-7 | 17.776 | The aroma of pear and apple | 0.6151 | 0.002 | 307.5500 |
| 11 | Ethyl 5-Hexenoate | 1000302-89-9 | 18.06 | — | 0.0458 | — | — |
| 12 | Ethyl hex-3-enoate | 2396-83-0 | 19.492 | The fragrance of pineapple | 0.0070 | — | — |
| 13 | (3Z)-3-Hexen-1-yl acetate | 3681-71-8 | 20.395 | A strong grassy fragrance | 0.4138 | 0.031 | 13.3484 |
| 14 | 5-Hexenyl Acetate | 5048-26-0 | 21.042 | — | 0.0434 | — | — |
| 15 | Hex-2-enyl acetate | 2497-18-9 | 21.577 | The fragrance of fresh grass | 0.0478 | — | — |
| 16 | 3-methylpentanol | 589-35-5 | 23.064 | — | 0.0420 | 1 | 0.0420 |
| 17 | Butyl Hexanoate | 626-82-4 | 26.644 | A pineapple fragrance | 0.0920 | 0.7 | 0.1314 |
| 18 | Hexyl butyrate | 2639-63-6 | 26.817 | A fruity fragrance | 0.0819 | 0.25 | 0.3276 |
| 19 | Ionene | 475-03-6 | 27.663 | — | 0.0444 | — | — |
| 20 | Ethyl caprylate | 106-32-1 | 27.911 | The aroma of brandy | 0.0335 | 0.2 | 0.1675 |
| 21 | 5-methyl-5-nonanol | 33933-78-7 | 29.536 | — | 0.0197 | — | — |
| 22 | Benzaldehyde | 100-52-7 | 31.846 | The fragrances of bitter almonds, cherries, and nuts | 0.2074 | 0.35 | 0.5926 |
| 23 | Linalool | 78-70-6 | 33.815 | The fragrances of lily of the valley | 0.1013 | 1.082 | 0.0936 |
| 24 | Hexyl hexanoate | 6378-65-0 | 36.379 | The fragrances of green bean and raw fruit aromas | 0.0098 | 0.5 | 0.0196 |
| 25 | Hexyl octanoate | 1551-42-4 | 36.517 | — | 0.0540 | — | — |
| 26 | (Z)-β-ocimene | 7643-59-6 | 38.42 | — | 0.0490 | — | — |
| 27 | 2-Methylbutyric acid | 116-53-0 | 38.72 | Cheesy and fruity flavors | 0.0240 | 5.8 | 0.0041 |
| 28 | (E)-β-ocimene | 7643-60-9 | 39.334 | — | 0.0598 | — | — |
| 29 | γ- Caprolactone | 695-06-7 | 39.549 | The fragrances of sweet herb with caramel aroma | 0.0413 | 1.6 | 0.0258 |
| 30 | α-Terpineol | 98-55-5 | 39.769 | The fragrance of cloves | 0.0650 | 0.33 | 0.1970 |
| 31 | Benzyl acetate | 140-11-4 | 40.75 | The fragrance of jasmine | 0.0348 | 1.0 | 0.0348 |
| 32 | Methyl salicylate | 119-36-8 | 42.08 | The fragrance of holly leaf | 0.0056 | 0.04 | 0.1400 |
| 33 | β-Damascenone | 23726-93-4 | 43.504 | An intense rose fragrance | 0.0090 | 0.002 | 4.5000 |
| 34 | Benzyl alcohol | 100-51-6 | 45.071 | A faint sweet fruit aroma | 0.0141 | 10.0 | 0.0014 |
| 35 | Octanoic acid | 124-07-2 | 48.387 | A fruity aroma | 0.0107 | 3.0 | 0.0036 |
| 36 | γ-Decalactone | 706-14-9 | 49.571 | A delightful fruity fragrance | 0.1387 | 0.088 | 1.5761 |
| 37 | Olivetol | 500-66-3 | 49.667 | — | 0.0086 | — | — |
| 38 | δ-Decalactone | 705-86-2 | 50.182 | The fragrances of cream, nut, sweet fruit | 0.0060 | 0.16 | 0.0375 |
| 39 | γ- Dodecalactone | 2305-05-7 | 52.138 | The fragrances of intense peach fruit, slight cream | 0.0090 | 0.007 | 1.2857 |
| 40 | Benzoic acid | 65-85-0 | 52.554 | Faint bitter almond fragrance | 0.0103 | 1.0 | 0.0103 |
| Variant | −1 | 0 | 1 |
|---|---|---|---|
| Electric field strength (A) | 4 kV·cm−1 | 5 kV·cm−1 | 6 kV·cm−1 |
| Number of pulses (B) | 3000 times | 4000 times | 5000 times |
| Pulse frequency (C) | 20 Hz | 30 Hz | 40 Hz |
| Pulse width (D) | 2 μs | 4 μs | 6 μs |
| Model significance | <0.01 | significance | |
| R2 | 0.9979 | R2 Predicted | 0.9964 |
| R2 adjusted | 0.9982 | F-value | 2606.41 |
| C.V% | 1.28 |
Disclaimer/Publisher’s Note: The statements, opinions and data contained in all publications are solely those of the individual author(s) and contributor(s) and not of MDPI and/or the editor(s). MDPI and/or the editor(s) disclaim responsibility for any injury to people or property resulting from any ideas, methods, instructions or products referred to in the content. |
© 2025 by the authors. Licensee MDPI, Basel, Switzerland. This article is an open access article distributed under the terms and conditions of the Creative Commons Attribution (CC BY) license (https://creativecommons.org/licenses/by/4.0/).
Share and Cite
Li, J.; Huang, H.-X.; Tang, D.-L.; Zeng, X.-A.; Wang, L.-H.; Wang, M.-S. Enhancing Plum Wine Safety and Aroma Using Pulsed Electric Field Pretreatment. Molecules 2025, 30, 4393. https://doi.org/10.3390/molecules30224393
Li J, Huang H-X, Tang D-L, Zeng X-A, Wang L-H, Wang M-S. Enhancing Plum Wine Safety and Aroma Using Pulsed Electric Field Pretreatment. Molecules. 2025; 30(22):4393. https://doi.org/10.3390/molecules30224393
Chicago/Turabian StyleLi, Jian, Hua-Xi Huang, Dan-Li Tang, Xin-An Zeng, Lang-Hong Wang, and Man-Sheng Wang. 2025. "Enhancing Plum Wine Safety and Aroma Using Pulsed Electric Field Pretreatment" Molecules 30, no. 22: 4393. https://doi.org/10.3390/molecules30224393
APA StyleLi, J., Huang, H.-X., Tang, D.-L., Zeng, X.-A., Wang, L.-H., & Wang, M.-S. (2025). Enhancing Plum Wine Safety and Aroma Using Pulsed Electric Field Pretreatment. Molecules, 30(22), 4393. https://doi.org/10.3390/molecules30224393

