Macrocyclic Aromatic Oligoamides with Diphenyladamantane Units: Conformational Change from Folded to Open by N-Alkyl Removal
Abstract
1. Introduction
2. Results and Discussion
2.1. Synthesis of Macrocyclic Compounds Comprising Tertiary Amide Moieties
2.1.1. Synthesis of a Monomer
2.1.2. Cyclization of the Monomer and Isolation of Cyclic Oligomers
2.2. X-Ray Crystal Structure Analysis
2.3. Synthesis of Cyclic Oligomers Comprising Secondary Amide Moieties
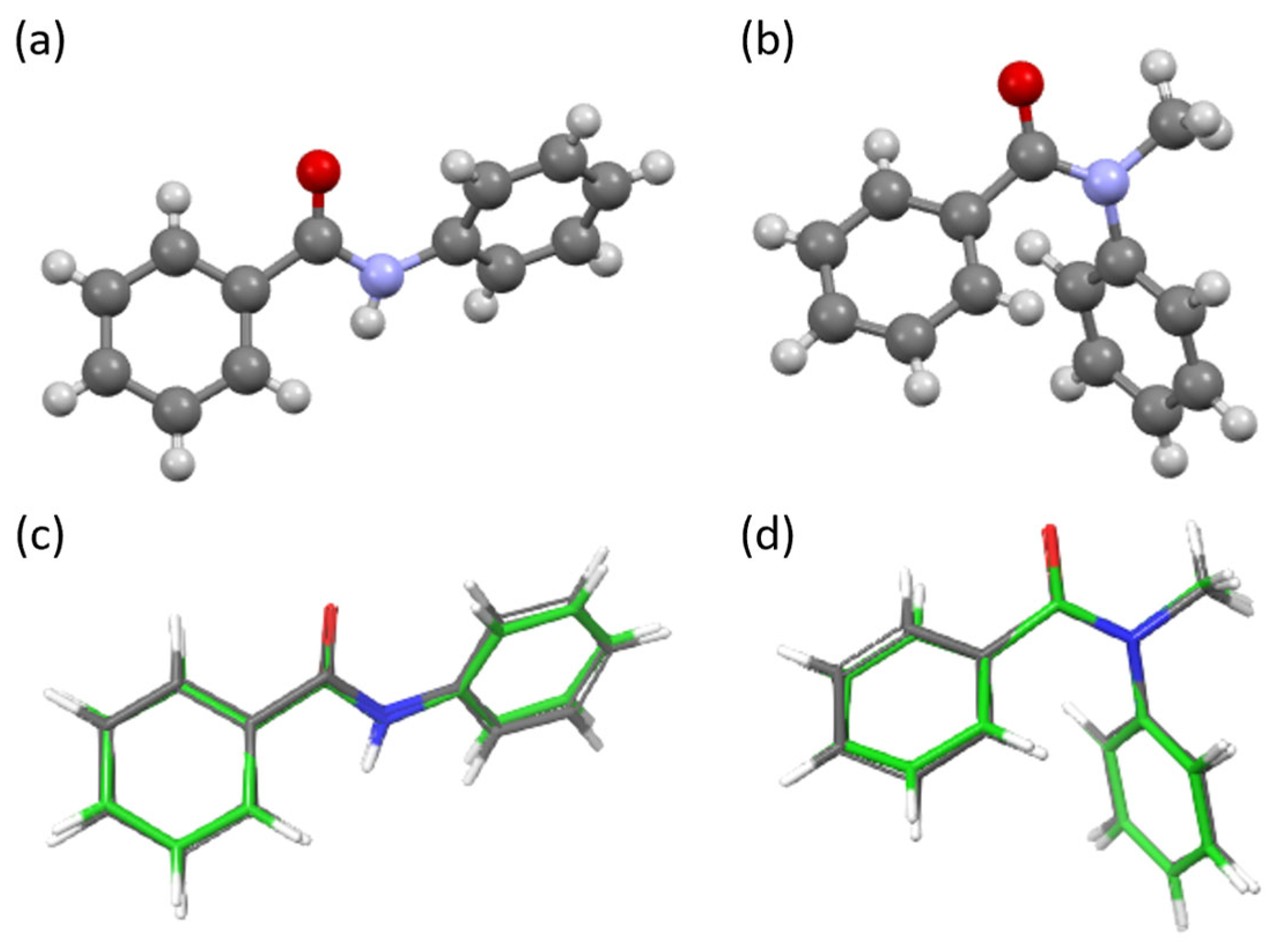
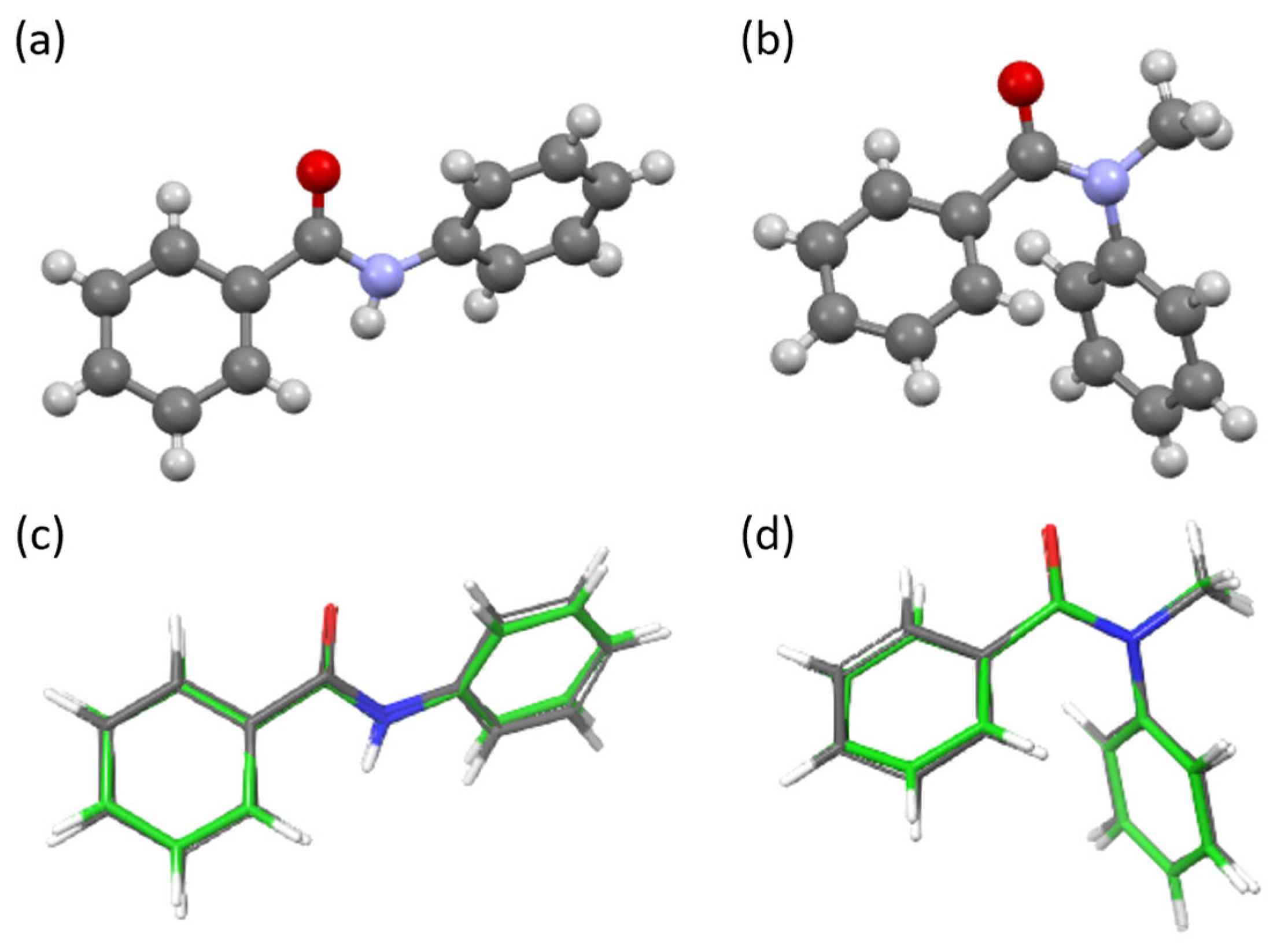
2.4. Comparison of Preferential Conformations of the Macrocyclic Compounds in Solutions
2.5. Conformational Analysis of Cyclic Oligomers
3. Materials and Methods
3.1. General
3.2. Synthesis
- 1,3-Diphenyladamantane (2) [22]
- 1-(4-Nitrophenyl)-3-phenyladamantane (3) [22]
- 1-(4-Iodophenyl)-3-(4-nitrophenyl)adamantane (4) [22]
- 1-(4-Cyanophenyl)-3-(4-nitrophenyl)adamantane (5) [22]
- 4-[3-(4-Nitrophenyl)adamantan-1-yl]benzoic acid (6)
- Ethyl 4-[3-(4-nitrophenyl)adamantan-1-yl]benzoate (7)
- Ethyl 4-(3-(4-aminophenyl)adamantan-1-yl)benzoate (8)
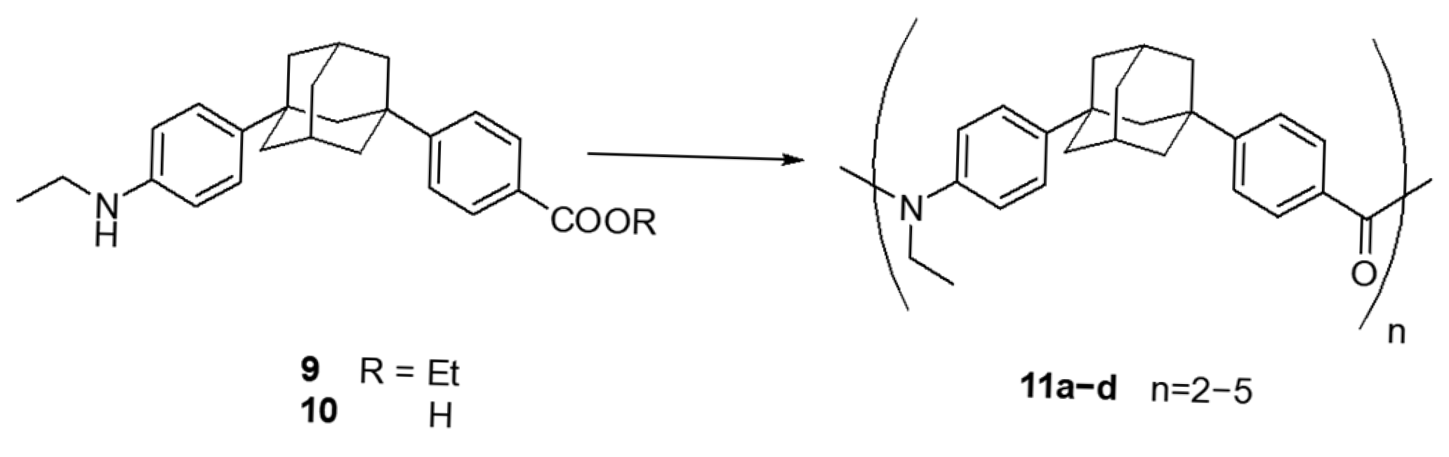
- Ethyl 4-{3-[4-(ethylamino)phenyl]adamantan-1-yl}benzoate (9)
- 4-(3-(4-(Ethylamino)phenyl)adamantan-1-yl)benzoic acid (10)
- Cyclization reaction
- Synthesis from 9
- Synthesis from 10
- Compound 11a (N-ethyl cyclic dimer)
- Compound 11b (N-ethyl cyclic trimer)
- Compound 11c (N-ethyl cyclic tetramer)
- Compound 11d (N-ethyl cyclic pentamer)
- Ethyl 4-(3-(4-((4-(decyloxy)benzyl)amino)phenyl)adamantan-1-yl)benzoate (12)
- Cyclization reaction
- Compound 13a (N-decyloxybenzyl cyclic dimer)
- Compound 13b (N-decyloxybenzyl cyclic trimer)
- Compound 13c (N-decyloxybenzyl cyclic tetramer)
- Compound 13d (N-decyloxybenzyl cyclic pentamer)
- Compound 14a (NH cyclic dimer)
- Compound 14b (NH cyclic trimer)
- Compound 14c (NH cyclic tetramer)
- Compound 14d (NH cyclic pentamer)
4. Conclusions
Supplementary Materials
Author Contributions
Funding
Institutional Review Board Statement
Informed Consent Statement
Data Availability Statement
Acknowledgments
Conflicts of Interest
References
- Kim, K.; Selvapalam, N.; Ko, Y.H.; Park, K.M.; Kim, D.; Kim, J. Functionalized Cucurbiturils and Their Applications. Chem. Soc. Rev. 2007, 36, 267–279. [Google Scholar] [CrossRef]
- Tahara, K.; Tobe, Y. Molecular Loops and Belts. Chem. Rev. 2006, 106, 5274–5290. [Google Scholar] [CrossRef] [PubMed]
- Griffin, R.W. Meta-Bridged Aromatic Compounds. Chem. Rev. 1963, 63, 45–54. [Google Scholar] [CrossRef]
- Cramer, F.; Hettler, H. Inclusion Compounds of Cyclodextrins. Naturwissenschaften 1967, 54, 625–632. [Google Scholar] [CrossRef]
- Pedersen, C.J. Cyclic Polyethers and Their Complexes with Metal Salts. J. Am. Chem. Soc. 1967, 89, 7017–7036. [Google Scholar] [CrossRef]
- Nakamura, T.; Kaneko, Y.; Nishibori, E.; Nabeshima, T. Molecular Recognition by Multiple Metal Coordination inside Wavy-Stacked Macrocycles. Nat. Commun. 2017, 8, 129. [Google Scholar] [CrossRef]
- Gong, B.; Shao, Z. Self-Assembling Organic Nanotubes with Precisely Defined, Sub-Nanometer Pores: Formation and Mass Transport Characteristics. Acc. Chem. Res. 2013, 46, 2856–2866. [Google Scholar] [CrossRef]
- Jiang, H.; Léger, J.-M.; Guionneau, P.; Huc, I. Strained Aromatic Oligoamide Macrocycles as New Molecular Clips. Org. Lett. 2004, 6, 2985–2988. [Google Scholar] [CrossRef]
- Azumaya, I.; Kagechika, H.; Fujiwara, Y.; Itoh, M.; Yamaguchi, K.; Shudo, K. Twisted Intramolecular Charge-Transfer Fluorescence of Aromatic Amides: Conformation of the Amide Bonds in Excited States. J. Am. Chem. Soc. 1991, 113, 2833–2838. [Google Scholar] [CrossRef]
- Katagiri, K.; Sawano, K.; Okada, M.; Yoshiyasu, S.; Shiroyama, R.; Ikejima, N.; Masu, H.; Kato, T.; Tominaga, M.; Azumaya, I. Synthesis, Crystal Structure and Dynamic Behavior of Naphthalene-Based Calix [3]Amide: Cyclic Trimers of 2-Alkylamino-6-Naphthoic Acid. J. Mol. Struct. 2008, 891, 346–350. [Google Scholar] [CrossRef]
- Azumaya, I.; Okamoto, T.; Imabeppu, F.; Takayanagi, H. Simple and Convenient Synthesis of Tertiary Benzanilides Using Dichlorotriphenylphosphorane. Tetrahedron 2003, 59, 2325–2331. [Google Scholar] [CrossRef]
- Masu, H.; Okamoto, T.; Kato, T.; Katagiri, K.; Tominaga, M.; Goda, H.; Takayanagi, H.; Azumaya, I. Construction of Macrocyclic Structure Using Conformational Properties of Secondary and Tertiary Aromatic Amides. Tetrahedron Lett. 2006, 47, 803–807. [Google Scholar] [CrossRef]
- Katagiri, K.; Tohaya, T.; Shirai, R.; Kato, T.; Masu, H.; Tominaga, M.; Azumaya, I. Folded-to-Unfolded Structural Switching of a Macrocyclic Aromatic Hexaamide Based on Conformation Changes in the Amide Groups Induced by N-Alkylation and Dealkylation Reactions. J. Mol. Struct. 2015, 1082, 23–28. [Google Scholar] [CrossRef]
- Tukada, H.; Mochizuki, K. Long-Range Magnetic Interactions in Trans-1,4-Cyclohexylene- and 1,3-Adamantylene-Bis(p-Nitrenylbenzene) by Π−σ−π Hyperconjugation. Org. Lett. 2001, 3, 3305–3308. [Google Scholar] [CrossRef]
- Harries, D.; Rau, D.C.; Parsegian, V.A. Solutes Probe Hydration in Specific Association of Cyclodextrin and Adamantane. J. Am. Chem. Soc. 2005, 127, 2184–2190. [Google Scholar] [CrossRef]
- Talewar, S.K.; Pardo, L.C.; Headen, T.F.; Halukeerthi, S.O.; Chikani, B.; Rosu-Finsen, A.; Salzmann, C.G. Hydrophobic Hydration of the Hydrocarbon Adamantane in Amorphous Ice. Faraday Discuss. 2024, 249, 69–83. [Google Scholar] [CrossRef]
- Tominaga, M.; Masu, H.; Azumaya, I. Construction and Charge-Transfer Complexation of Adamantane-Based Macrocycles and a Cage with Aromatic Ring Moieties. J. Org. Chem. 2009, 74, 8754–8760. [Google Scholar] [CrossRef]
- Chalais, S.; Cornélis, A.; Gerstmans, A.; Kołodziejski, W.; Laszlo, P.; Mathy, A.; Métra, P. Direct Clay-Catalyzed Friedel-Crafts Arylation and Chlorination of the Hydrocarbon Adamantane. Helv. Chim. Acta 1985, 68, 1196–1203. [Google Scholar] [CrossRef]
- Reichert, V.R.; Mathias, L.J. Expanded Tetrahedral Molecules from 1,3,5,7-Tetraphenyladamantane. Macromolecules 1994, 27, 7015–7023. [Google Scholar] [CrossRef]
- Olah, G.A.; Kuhn, S.J. Aromatic Substitution XII.1 Steric Effects in Nitronium Salt Nitrations of Alkylbenzenes and Halobenzenes. J. Am. Chem. Soc. 1962, 84, 3684–3687. [Google Scholar] [CrossRef]
- Findlay, J.A.; Patil, K.M.; Gardiner, M.G.; MacDermott-Opeskin, H.I.; O’Mara, M.L.; Kruger, P.E.; Preston, D. Heteroleptic Tripalladium(II) Cages. Chem. Asian J. 2022, 17, e202200093. [Google Scholar] [CrossRef] [PubMed]
- Mori, S.; Takeuchi, Y.; Tanatani, A.; Kagechika, H.; Fujii, S. Development of 1,3-Diphenyladamantane Derivatives as Nonsteroidal Progesterone Receptor Antagonists. Bioorg. Med. Chem. 2015, 23, 803–809. [Google Scholar] [CrossRef] [PubMed]
- Wei, Q.; Lazzeri, A.; Di Cuia, F.; Scalari, M.; Galoppini, E. New Epoxy Resins Cured with Tetraaminophenyladamantane (TAPA). Macromol. Chem. Phys. 2004, 205, 2089–2096. [Google Scholar] [CrossRef]
- Ikawa, T.; Fujita, Y.; Mizusaki, T.; Betsuin, S.; Takamatsu, H.; Maegawa, T.; Monguchi, Y.; Sajiki, H. Selective N-Alkylation of Amines Using Nitriles under Hydrogenation Conditions: Facile Synthesis of Secondary and Tertiary Amines. Org. Biomol. Chem. 2012, 10, 293–304. [Google Scholar] [CrossRef]
- Yokoyama, A.; Maruyama, T.; Tagami, K.; Masu, H.; Katagiri, K.; Azumaya, I.; Yokozawa, T. One-Pot Synthesis of Cyclic Triamides with a Triangular Cavity from Trans -Stilbene and Diphenylacetylene Monomers. Org. Lett. 2008, 10, 3207–3210. [Google Scholar] [CrossRef]
- Li, G.; Szostak, M. Highly Selective Transition-Metal-Free Transamidation of Amides and Amidation of Esters at Room Temperature. Nat. Commun. 2018, 9, 4165. [Google Scholar] [CrossRef]
- Muthayala, M.K.; Chhikara, B.S.; Parang, K.; Kumar, A. Ionic Liquid-Supported Synthesis of Sulfonamides and Carboxamides. ACS Comb. Sci. 2012, 14, 60–65. [Google Scholar] [CrossRef]
- Sato, S.; Sakamoto, T.; Miyazawa, E.; Kikugawa, Y. One-Pot Reductive Amination of Aldehydes and Ketones with α-Picoline-Borane in Methanol, in Water, and in Neat Conditions. Tetrahedron 2004, 60, 7899–7906. [Google Scholar] [CrossRef]
- Olanders, G.; Alogheli, H.; Brandt, P.; Karlén, A. Conformational analysis of macrocycles: Comparing general and specialized methods. J. Comput. Aided Mol. Des. 2020, 34, 231–252. [Google Scholar] [CrossRef]
- Wang, J.-L.; Xu, J.-S.; Wang, D.-Y.; Wang, H.; Li, Z.-T.; Zhang, D.-W. Anti-Parallel Sheet Structures of Side-Chain-Free γ-, δ-, and ε-Dipeptides Stabilized by Benzene–Pentafluorobenzene Stacking. CrystEngComm 2014, 16, 2078–2084. [Google Scholar] [CrossRef]
- Itai, A.; Toriumi, Y.; Tomioka, N.; Kagechika, H.; Azumaya, I.; Shudo, K. Stereochemistry of N-Methylbenzanilide and Benzanilide. Tetrahedron Lett. 1989, 30, 6177–6180. [Google Scholar] [CrossRef]
- Sheldrick, G.M. SHELXT—Integrated space-group and crystal-structure determination. Acta Crystallogr. 2014, A70, C1437. [Google Scholar] [CrossRef]
- Sheldrick, G.M. Crystal structure refinement with SHELXL. Acta Crystallogr. 2015, C71, 3–8. [Google Scholar]
- Spek, A.L. PLATON SQUEEZE: A tool for the calculation of the disordered solvent contribution to the calculated structure factors. Acta Crystallogr. 2015, C71, 9–18. [Google Scholar]












| Entry | Monomer (R=) | Reagent | Equiv. | Solvent | Temp. | Time (h) | Yield (%) a | ||||
|---|---|---|---|---|---|---|---|---|---|---|---|
| n = 2 11a | 3 11b | 4 11c | 5 11d | Total | |||||||
| 1 | 9 (Et) | LiHMDS | 2.0 + 0.5 b | THF | rt | 24 | 35 | 13 | 5 | 1 | 54 |
| 2 | 10 (H) | Ph3PCl2 | 3.6 | (CHCl2)2 | 120 °C | 7 | 76 | 11 | 3 | <1 | 90 |
| Reagent | Equiv. | Solvent | Temp. (°C) | Time (h) | Yield (%) a | ||||
|---|---|---|---|---|---|---|---|---|---|
| n = 2 13a | 3 13b | 4 13c | 5 13d | ||||||
| Entry 1 | LiHMDS | 2.0 | THF | rt | 2 | 47 | 8 | 5 | 5 |
Disclaimer/Publisher’s Note: The statements, opinions and data contained in all publications are solely those of the individual author(s) and contributor(s) and not of MDPI and/or the editor(s). MDPI and/or the editor(s) disclaim responsibility for any injury to people or property resulting from any ideas, methods, instructions or products referred to in the content. |
© 2025 by the authors. Licensee MDPI, Basel, Switzerland. This article is an open access article distributed under the terms and conditions of the Creative Commons Attribution (CC BY) license (https://creativecommons.org/licenses/by/4.0/).
Share and Cite
Maeda, S.; Usami, R.; Takamatsu, K.; Takato, M.; Kikkawa, S.; Hikawa, H.; Azumaya, I. Macrocyclic Aromatic Oligoamides with Diphenyladamantane Units: Conformational Change from Folded to Open by N-Alkyl Removal. Molecules 2025, 30, 4185. https://doi.org/10.3390/molecules30214185
Maeda S, Usami R, Takamatsu K, Takato M, Kikkawa S, Hikawa H, Azumaya I. Macrocyclic Aromatic Oligoamides with Diphenyladamantane Units: Conformational Change from Folded to Open by N-Alkyl Removal. Molecules. 2025; 30(21):4185. https://doi.org/10.3390/molecules30214185
Chicago/Turabian StyleMaeda, Sae, Ryota Usami, Kei Takamatsu, Moemi Takato, Shoko Kikkawa, Hidemasa Hikawa, and Isao Azumaya. 2025. "Macrocyclic Aromatic Oligoamides with Diphenyladamantane Units: Conformational Change from Folded to Open by N-Alkyl Removal" Molecules 30, no. 21: 4185. https://doi.org/10.3390/molecules30214185
APA StyleMaeda, S., Usami, R., Takamatsu, K., Takato, M., Kikkawa, S., Hikawa, H., & Azumaya, I. (2025). Macrocyclic Aromatic Oligoamides with Diphenyladamantane Units: Conformational Change from Folded to Open by N-Alkyl Removal. Molecules, 30(21), 4185. https://doi.org/10.3390/molecules30214185

