Indole–Imidazole Hybrids as Emerging Therapeutic Scaffolds: Synthetic Advances and Biomedical Applications
Abstract
1. Introduction
2. Synthetic Approaches for Indole–Imidazole Derivatives
2.1. Multistep Synthetic Methods
Orthogonal Protection for Multistep Synthesis
2.2. One-Pot Multicomponent Reaction Methods
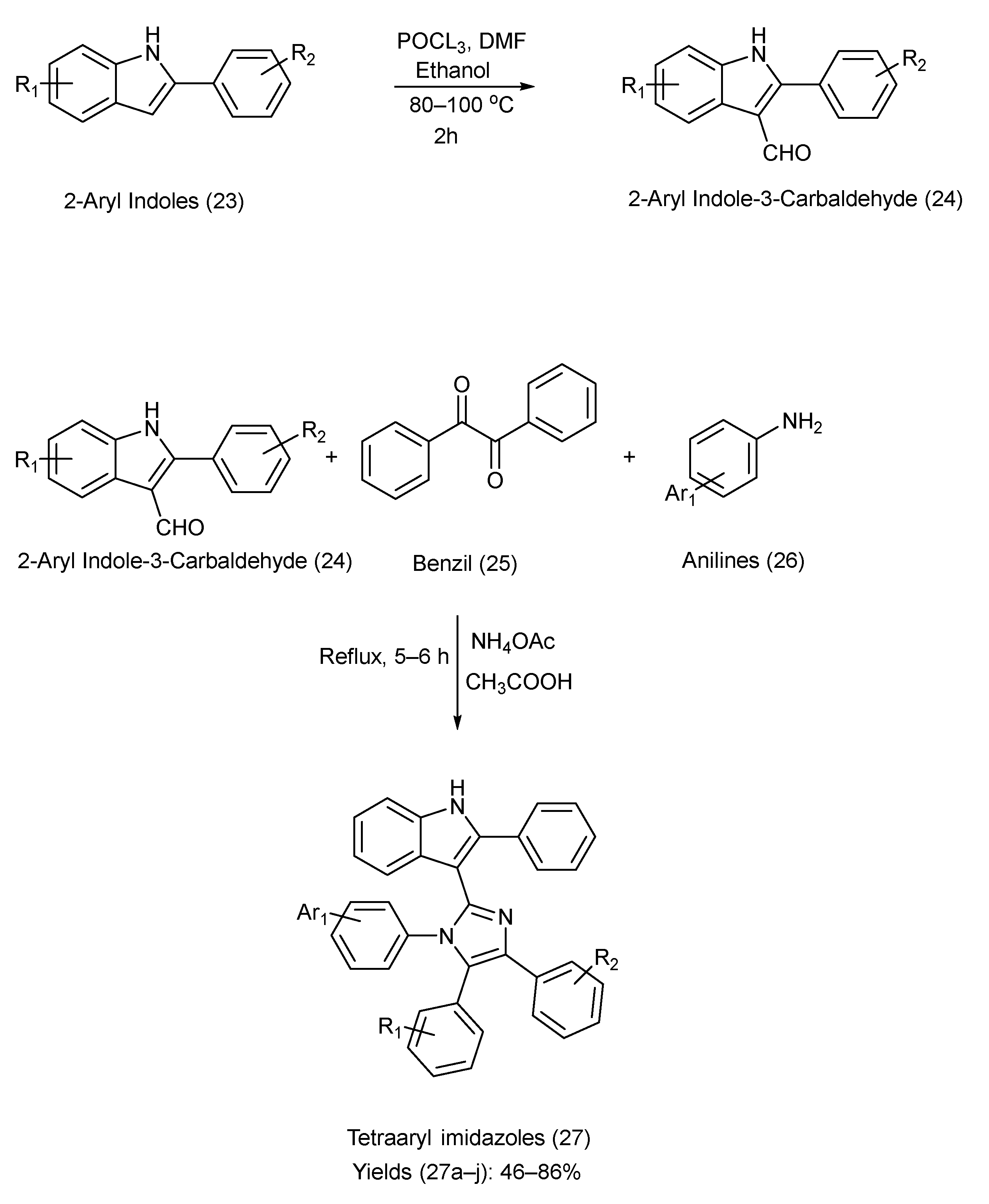
2.2.1. Ring Construction Methods
2.2.2. Metal-Catalyzed Coupling Methods
2.2.3. Metal-Free Coupling Methods
2.2.4. Green Chemistry Approaches
3. Conclusions
Author Contributions
Funding
Institutional Review Board Statement
Informed Consent Statement
Data Availability Statement
Conflicts of Interest
References
- Al-Mulla, A. A Review: Biological Importance of Heterocyclic Compounds. Der Pharma Chem. 2017, 13, 141–147. [Google Scholar]
- Dorababu, A. Indole—A Promising Pharmacophore in Recent Antiviral Drug Discovery. RSC Med. Chem. 2020, 11, 1335–1353. [Google Scholar] [CrossRef]
- Dadashpour, S.; Emami, S. Indole in the Target-Based Design of Anticancer Agents: A Versatile Scaffold with Diverse Mechanisms. Eur. J. Med. Chem. 2018, 150, 9–29. [Google Scholar] [CrossRef]
- Wang, R.; Shi, H.F.; Zhao, J.F.; He, Y.P.; Zhang, H.B.; Liu, J.P. Design, Synthesis and Aromatase Inhibitory Activities of Novel Indole-Imidazole Derivatives. Bioorg. Med. Chem. Lett. 2013, 23, 1760–1762. [Google Scholar] [CrossRef]
- Chen, Y.; Li, H.; Liu, J.; Zhong, R.; Li, H.; Fang, S.; Liu, S.; Lin, S. Synthesis and Biological Evaluation of Indole-Based Peptidomimetics as Antibacterial Agents against Gram-Positive Bacteria. Eur. J. Med. Chem. 2021, 226, 113813. [Google Scholar] [CrossRef]
- Mo, X.; Rao, D.P.; Kaur, K.; Hassan, R.; Abdel-Samea, A.S.; Farhan, S.M.; Bräse, S.; Hashem, H. Indole Derivatives: A Versatile Scaffold in Modern Drug Discovery—An Updated Review on Their Multifaceted Therapeutic Applications (2020–2024). Molecules 2024, 29, 4770. [Google Scholar] [CrossRef]
- Chandra, A.; Yadav, S.C.; Cheekatla, S.R.; Kumar, A. A Review on Indole Synthesis from Nitroarenes: Classical to Modern Approaches. Org. Biomol. Chem. 2025, 23, 6853–6887. [Google Scholar] [CrossRef]
- Annie, A.S.; Pradeep Kumar, M.; Adithya, R.; Vignesh, K.; Dhayalan, V. Recent Synthetic Strategies for the Functionalization of Indole and Azaindole Scaffolds. Asian J. Org. Chem. 2025, 14, e202400694. [Google Scholar] [CrossRef]
- Kumari, A.; Singh, R.K. Medicinal Chemistry of Indole Derivatives: Current to Future Therapeutic Prospectives. Bioorg. Chem. 2019, 89, 103021. [Google Scholar] [CrossRef]
- Siwach, A.; Verma, P.K. Synthesis and Therapeutic Potential of Imidazole Containing Compounds. BMC Chem. 2021, 15, 12. [Google Scholar] [CrossRef]
- Muheyuddeen, G.; Khan, M.Y.; Ahmad, T.; Srivastava, S.; Verma, S.; Ansari, M.S.; Sahu, N. Design, Synthesis, and Biological Evaluation of Novel Imidazole Derivatives as Analgesic and Anti-Inflammatory Agents: Experimental and Molecular Docking Insights. Sci. Rep. 2024, 14, 23121. [Google Scholar] [CrossRef]
- Molina, P.; Tarraga, A.; Oton, F. Imidazole Derivatives: A Comprehensive Survey of Their Recognition Properties. Org. Biomol. Chem. 2012, 10, 1711–1724. [Google Scholar] [CrossRef]
- Aleksandrova, E.V.; Kravchenko, A.N.; Kochergin, P.M. Properties of Haloimidazoles (Review). Chem. Heterocycl. Compd. 2011, 47, 261–289. [Google Scholar] [CrossRef]
- Narasimhan, B.; Sharma, D.; Kumar, P. Biological Importance of Imidazole Nucleus in the New Millennium. Med. Chem. Res. 2010, 20, 1119–1140. [Google Scholar] [CrossRef]
- Zheng, X.; Ma, Z.; Zhang, D. Synthesis of Imidazole-Based Medicinal Molecules Utilizing the van Leusen Imidazole Synthesis. Pharmaceuticals 2020, 13, 37. [Google Scholar] [CrossRef] [PubMed]
- Devi, M.M.; Devi, K.S.; Singh, O.M.; Singh, T.P. Synthesis of Imidazole Derivatives in the Last 5 Years: An Update. Heterocycl. Comm. 2024, 30, 20220173. [Google Scholar] [CrossRef]
- Gupta, S.; Babu, M.A.; Kumar, R.; Singh, T.G.; Goel, A.; Rastogi, S.; Sharma, P.; Tyagi, Y.; Goel, K.K.; Kumar, B. Exploring USFDA-Approved Imidazole-Based Small Molecules in Drug Discovery: A Mini Perspective. Chem. Biodivers. 2025, 22, e202403020. [Google Scholar] [CrossRef] [PubMed]
- Sridhar Nagesh, G.Y.; Basavarajaiah, S.M.; Prashantha, K.; Vishwas Aradhya, K.J.; Hemanth, T.J.; Nimishamba, S.; Kavya, N.; Ahmad, H.-B. Exploration of Novel Imidazo [4, 5-b] Indoles Scaffolds as Multi Target Peroxidase, Acetylcholinesterase, and Butyrylchloinesterase Inhibitors: Synthesis, Spectral Analysis, and Molecular Docking Studies. Spectrosc. Lett. 2025, 1–18. [Google Scholar] [CrossRef]
- Jasiewicz, B.; Babijczuk, K.; Warzajtis, B.; Rychlewska, U.; Starzyk, J.; Cofta, G.; Mrowczynska, L. Indole Derivatives Bearing Imidazole, Benzothiazole-2-Thione or Benzoxazole-2-Thione Moieties-Synthesis, Structure and Evaluation of Their Cytoprotective, Antioxidant, Antibacterial and Fungicidal Activities. Molecules 2023, 28, 708. [Google Scholar] [CrossRef]
- Nikiforov, E.A.; Vaskina, N.F.; Moseev, T.D.; Varaksin, M.V.; Butorin, I.I.; Melekhin, V.V.; Tokhtueva, M.D.; Mazhukin, D.G.; Tikhonov, A.Y.; Charushin, V.N.; et al. Indolyl-Derived 4H-Imidazoles: PASE Synthesis, Molecular Docking and In Vitro Cytotoxicity Assay. Processes 2023, 11, 846. [Google Scholar] [CrossRef]
- Naureen, S.; Chaudhry, F.; Munawar, M.A.; Ashraf, M.; Hamid, S.; Khan, M.A. Biological Evaluation of New Imidazole Derivatives Tethered with Indole Moiety as Potent Alpha-Glucosidase Inhibitors. Bioorg. Chem. 2018, 76, 365–369. [Google Scholar] [CrossRef]
- Mahmoodi, N.O.; Nikokar, I.; Farhadi, M.; Ghavidast, A. One-Pot Multi-Component Synthesis of Mono- and Bis-Indolylimidazole Derivatives Using Zn2+@KSF and Their Antibacterial Activity. Z. Für Naturforschung B 2014, 69, 715–720. [Google Scholar] [CrossRef]
- Babijczuk, K.; Warżajtis, B.; Starzyk, J.; Mrówczyńska, L.; Jasiewicz, B.; Rychlewska, U. Synthesis, Structure and Biological Activity of Indole–Imidazole Complexes with ZnCl2: Can Coordination Enhance the Functionality of Bioactive Ligands? Molecules 2023, 28, 4132. [Google Scholar] [CrossRef]
- Nirwan, N.; Pareek, C.; Swami, V.K. An Efficient Green Synthesis of Substituted Indolylimazole Derivatives by Employing Reusable Catalyst under Microwave Irradiation. Indian J. Heterocycl. Chem. 2018, 28, 249–253. [Google Scholar]
- Nirwan, N.; Pareek, C. Synthesis of 2,4,5-Trisubstituted Imidazole and 4,5-Disubstituted Indolylimidazole Derivatives by Using Amberlyst A-15 as Green, Recyclable Catalyst. Int. J. Sci. Res. Sci. Technol. 2017, 3, 76–82. [Google Scholar]
- Nikoofar, K.; Dizgarani, S.M. HNO3@nano SiO2: An Efficient Catalytic System for the Synthesis of Multi-Substituted Imidazoles under Solvent-Free Conditions. J. Saudi Chem. Soc. 2017, 21, 787–794. [Google Scholar] [CrossRef]
- Chen, K.; Dai, M.; Pan, Y.; Zhang, C.; Tu, S.; Hao, W. Regioselective Synthesis of 3-(Imidazol-4-yl) Indolin-2-Ones under Microwave Heating. J. Heterocycl. Chem. 2016, 54, 1479–1485. [Google Scholar] [CrossRef]
- Ghosh, S.K.; Nagarajan, R. NIS-Mediated Regioselective Amidation of Indole with Quinazolinone and Pyrimidone. RSC Adv. 2014, 4, 20136–20144. [Google Scholar] [CrossRef]
- Kaushik, N.K.; Kaushik, N.; Attri, P.; Kumar, N.; Kim, C.H.; Verma, A.K.; Choi, E.H. Biomedical Importance of Indoles. Molecules 2013, 18, 6620–6662. [Google Scholar] [CrossRef]
- Taber, D.F.; Tirunahari, P.K. Indole Synthesis: A Review and Proposed Classification. Tetrahedron 2011, 67, 7195–7210. [Google Scholar] [CrossRef]
- Molina, P.; Aller, E.; Lorenzo, A. Pyrido Annelation Reaction by a Tandem Aza Wittig/Electrocyclic Ring-Closure Strategy: Preparation of Pyrazolo[4,3-c]- and Pyrazolo[3,4-c]Pyridine Derivatives. Tetrahedron 1991, 47, 6737–6746. [Google Scholar] [CrossRef]
- James, D.A.; Koya, K.; Li, H.; Chen, S.; Xia, Z.; Ying, W.; Wu, Y.; Sun, L. Conjugated Indole-Imidazole Derivatives Displaying Cytotoxicity against Multidrug Resistant Cancer Cell Lines. Bioorg. Med. Chem. Lett. 2006, 16, 5164–5168. [Google Scholar] [CrossRef] [PubMed]
- Song, F.; Li, Z.; Bian, Y.; Huo, X.; Fang, J.; Shao, L.; Zhou, M. Indole/Isatin-Containing Hybrids as Potential Antibacterial Agents. Arch Pharm 2020, 353, e2000143. [Google Scholar] [CrossRef] [PubMed]
- Diana, E.J.; Jose, J.; Mathew, T.V. Recent Development in the Synthesis of Imidazo[1, 5-a]Indole Derivatives: An in-Depth Overview. Org. Biomol. Chem. 2024, 22, 7560–7581. [Google Scholar] [CrossRef]
- Zeng, W.; Han, C.; Mohammed, S.; Li, S.; Song, Y.; Sun, F.; Du, Y. Indole-Containing Pharmaceuticals: Targets, Pharmacological Activities, and SAR Studies. RSC Med. Chem. 2024, 15, 788–808. [Google Scholar] [CrossRef]
- Butler, M.S.; Capon, R.J.; Blaskovich, M.A.T.; Henderson, I.R. Natural Product-Derived Compounds in Clinical Trials and Drug Approvals. Nat. Prod. Rep. 2025. [Google Scholar] [CrossRef]
- Hogendorf, A.S.; Hogendorf, A.; Popiolek-Barczyk, K.; Ciechanowska, A.; Mika, J.; Satala, G.; Walczak, M.; Latacz, G.; Handzlik, J.; Kiec-Kononowicz, K.; et al. Fluorinated Indole-Imidazole Conjugates: Selective Orally Bioavailable 5-HT(7) Receptor Low-Basicity Agonists, Potential Neuropathic Painkillers. Eur. J. Med. Chem. 2019, 170, 261–275. [Google Scholar] [CrossRef]
- Chen, J.; Ahn, S.; Wang, J.; Lu, Y.; Dalton, J.T.; Miller, D.D.; Li, W. Discovery of Novel 2-Aryl-4-Benzoyl-Imidazole (ABI-III) Analogues Targeting Tubulin Polymerization as Antiproliferative Agents. J. Med. Chem. 2012, 55, 7285–7289. [Google Scholar] [CrossRef]
- El-Nakkady, S.S.; Hanna, M.M.; Roaiah, H.M.; Ghannam, I.A. Synthesis, Molecular Docking Study and Antitumor Activity of Novel 2-Phenylindole Derivatives. Eur. J. Med. Chem. 2012, 47, 387–398. [Google Scholar] [CrossRef]
- Li, G.C.; Zhang, B.L.; Xia, J.Y.; Fang, Z.J. Synthesis and Receptor Binding Assay of Indolin-2-One Derivatives as Dopamine D4 Receptor Ligands. Pharmazie 2015, 70, 511–514. [Google Scholar]
- Hsieh, C.J.; Xu, K.; Lee, I.; Graham, T.J.A.; Tu, Z.; Dhavale, D.; Kotzbauer, P.; Mach, R.H. Chalcones and Five-Membered Heterocyclic Isosteres Bind to Alpha Synuclein Fibrils in Vitro. ACS Omega 2018, 3, 4486–4493. [Google Scholar] [CrossRef]
- Reinhardt, T.; Lee, K.M.; Niederegger, L.; Hess, C.R.; Sieber, S.A. Indolin-2-One Nitroimidazole Antibiotics Exhibit an Unexpected Dual Mode of Action. ACS Chem. Biol. 2022, 17, 3077–3085. [Google Scholar] [CrossRef]
- Husain, A.; Ahmad, A.; Al-Abbasi, F.; Khan, S.A. Synthesis and Anticonvulsant Activity of Indolo-Imidazolone Hybrid Molecules. J. Med. Org. Chem. 2015, 1, 23–28. [Google Scholar]
- Dokla, E.M.E.; Abdel-Aziz, A.K.; Milik, S.N.; Mahmoud, A.H.; Saadeldin, M.K.; McPhillie, M.J.; Minucci, S.; Abouzid, K.A.M. Indolin-2-One Derivatives as Selective Aurora B Kinase Inhibitors Targeting Breast Cancer. Bioorg. Chem. 2021, 117, 105451. [Google Scholar] [CrossRef]
- Xue, X.; Zhang, Y.; Liu, Z.; Song, M.; Xing, Y.; Xiang, Q.; Wang, Z.; Tu, Z.; Zhou, Y.; Ding, K.; et al. Discovery of Benzo[Cd]Indol-2(1H)-Ones as Potent and Specific BET Bromodomain Inhibitors: Structure-Based Virtual Screening, Optimization, and Biological Evaluation. J. Med. Chem. 2016, 59, 1565–1579. [Google Scholar] [CrossRef]
- Hao, W.; Jiang, Y.; Cai, M. Synthesis of Indolyl Imidazole Derivatives via Base-Promoted Tandem Reaction of N-[2-(1-Alkynyl)Phenyl]Carbodiimides with Isocyanides. J. Org. Chem. 2014, 79, 3634–3640. [Google Scholar] [CrossRef]
- Naureen, S.; Ijaz, F.; Munawar, M.A.; Asif, N.; Chaudhry, F.; Ashraf, M.; Khan, M.A. Synthesis of Tetrasubstitutd Imidazoles Containing Indole and Their Antiurease and Antioxidant Activities. J. Chil. Chem. Soc. 2017, 62, 3583–3587. [Google Scholar] [CrossRef]
- Jones, G.; Stanforth, S.P. The Vilsmeier Reaction of Non-Aromatic Compounds. Org. React. 2004, 56, 355–686. [Google Scholar] [CrossRef]
- El-Gendy, A.A.; Said, M.M.; Ghareb, N.; Mostafa, Y.M.; El-Ashryel, S.H. Synthesis and Biological Activity of Functionalized Indole-2-Carboxylates, Triazino- and Pyridazino-Indoles. Arch Pharm 2008, 341, 294–300. [Google Scholar] [CrossRef]
- Gribble, G.W. Fischer Indole Synthesis. In Indole Ring Synthesis; John Wiley & Sons: Hoboken, NJ, USA, 2016; pp. 41–115. [Google Scholar]
- Wu, W.-B.; Huang, J.-M. Highly Regioselective C–N Bond Formation through C–H Azolation of Indoles Promoted by Iodine in Aqueous Media. Org. Lett. 2012, 14, 5832–5835. [Google Scholar] [CrossRef]
- Pareek, C.; Pareek, D.; Nirwan, N.; Jain, A. An Efficient Combinatorial Approach for Beta-Lactam Antibiotics with Novel Adjuvants against Gram-Negative Organisms to Combat Multi-Drug Resistance. In Proceedings of the International Academic Conference on Applied Research in Engineering, Science and Technology, Brussels, Belgium, 14–15 September 2018; pp. 134–143. [Google Scholar] [CrossRef]
- Nirwan, N.; Pareek, C.; Chohadia, A.K.; Verma, K.K. Synthesis, Antibacterial, and Antifungal Activities of 3-(4,5-Diphenyl-1H-Imidazol-2-Yl)-1H-Indole Derivatives. J. Sci. Res. 2023, 15, 159–170. [Google Scholar] [CrossRef]
- Shaterian, H.R.; Ranjbar, M.; Azizi, K. Synthesis of Highly Substituted Imidazoles Using Brønsted Acidic Ionic Liquid, Triphenyl(Propyl-3-Sulphonyl)Phosphonium Toluenesulfonate, as Reusable Catalyst. J. Iran. Chem. Soc. 2011, 8, 1120–1134. [Google Scholar] [CrossRef]











| Products | IC50 ± SEM (nM) (n = 4) | |||||
|---|---|---|---|---|---|---|
| Melanoma and Prostate Cancer Cell Lines | ||||||
| A375 | WM164 | LNCaP | PC-3 | Du 145 | Average | |
| 6a | 3.2 ± 1.2 | 5.3 ± 2.0 | 2.8 ± 0.6 | 3.7 ± 0.3 | 3.9 ± 1.0 | 3.8 |
| 6b | 414.0 ± 35.4 | 166.2 ± 18.9 | 107.0 ± 17.5 | 105.0 ± 2.1 | 189.0 ± 13.5 | 196.2 |
| 6c | 18.8 ± 3.6 | 24.2 ± 4.1 | 35.9 ± 3.3 | 40.7 ± 5.1 | 76.5 ± 4.1 | 39.8 |
| Products | IC50 ± SEM (nM) (n = 4) | ||
|---|---|---|---|
| Paclitaxel-Resistant Cancer Cell Lines | |||
| PC-3 | PC-3/TxR | Resistance Index | |
| 6a | 3.7 ± 0.3 | 3.7 ± 0.8 | 1 |
| 6b | 33.3 ± 2.1 | 27.6 ± 9.8 | 0.9 |
| 6c | 20.8 ± 0.5 | 22.4 ± 5.1 | 1.1 |
| Paclitaxel | 0.4 ± 0.1 | 188.0 ± 22.0 | 437 |
| Products | IC50 ± SEM (nM) | |
|---|---|---|
| Breast Cancer Cell Lines | ||
| MCF-7 | MDA-MB-231 | |
| 9 | 23.50 ± 0.17 | n.d. |
| 10 | 28.40 ± 0.17 | n.d. |
| Vincristine | 2.00 ± 0.22 | 6.00 ± 0.14 |
| Substituents on 11 | Substituents on 12 | Products (13) | Yield (%) | ||
|---|---|---|---|---|---|
| Ar1 | R1 | R2 | |||
| a. | -C6H5 | -H | -C6H5 | 3-(2,5-Diphenyl-1H-imidazol-4-yl) indolin-2-one | 91 |
| b. | -C6H4(4-CH3) | -H | -C6H5 | 3-(2-Phenyl-5-(p-tolyl)-1H-imidazol-4-yl) indolin-2-one | 86 |
| c. | -C6H4(4-OCH3) | -H | -C6H5 | 3-(5-(4-Methoxyphenyl)-2-phenyl-1H-imidazol-4-yl) indolin2-one | 85 |
| d. | -C6H4(4-F) | -H | -C6H5 | 3-(5-(4-Fluorophenyl)-2-phenyl-1H-imidazol-4-yl) indolin-2-one | 85 |
| e. | -C6H4(4-Cl) | -H | -C6H5 | 3-(5-(4-Chlorophenyl)-2-phenyl-1H-imidazol-4-yl) indolin-2-one | 89 |
| f. | -C6H4(4-Br) | -H | -C6H5 | 3-(5-(4-Bromophenyl)-2-phenyl-1H-imidazol-4-yl) indolin-2-one | 87 |
| g. | -THNp (1,2,3,4-tetrahydronaphthalene) | -H | -C6H5 | 3-(2-Phenyl-5-(5,6,7,8-tetrahydronaphthalen-2-yl)-1Himidazol-4-yl) indolin-2-one | 84 |
| h. | -C6H5 | -CH3 | -C6H5 | 3-(2,5-Diphenyl-1H-imidazol-4-yl)-5-methylindolin-2-one | 87 |
| i. | -C6H4(4-CH3) | -CH3 | -C6H5 | 5-Methyl-3-(2-phenyl-5-(p-tolyl)-1H-imidazol-4-yl) indolin-2-one | 81 |
| j. | -C6H4(4-OCH3) | -CH3 | -C6H5 | 3-(5-(4-Methoxyphenyl)-2-phenyl-1H-imidazol-4-yl)-5-methylindolin-2-one | 90 |
| k. | -C6H3(3,4-OCH3)2 | -CH3 | -C6H5 | 3-(5-(3,4-Dimethoxyphenyl)-2-phenyl-1H-imidazol-4-yl)-5-methylindolin-2-one | 83 |
| l. | -C6H5 | -Cl | -C6H5 | 5-Chloro-3-(2,5-diphenyl-1H-imidazol-4-yl) indolin-2-one | 93 |
| m. | -C6H4(4-OCH3) | -Cl | -C6H5 | 5-Chloro-3-(5-(4-methoxyphenyl)-2-phenyl-1H-imidazol-4-yl) indolin-2-one | 83 |
| n. | -C6H5 | -H | -2-(6-MeONp) 2-methoxy naphthalene | 3-(2-(6-Methoxynaphthalen-2-yl)-5-phenyl-1H-imidazol-4-yl) indolin-2-one | 83 |
| o. | -C6H4(4-CH3) | -H | -2-(6-MeONp) 2-methoxy naphthalene | 3-(2-(6-Methoxynaphthalen-2-yl)-5-(p-tolyl)-1H-imidazol-4-yl) indolin-2-one | 79 |
| p. | -C6H4(4-OCH3) | -H | -2-(6-MeONp) 2-methoxy naphthalene | 3-(2-(6-Methoxynaphthalen-2-yl)-5-(4-methoxyphenyl)-1Himidazol-4-yl) indolin-2-one | 81 |
| q. | -C6H4(4-F) | -H | -2-(6-MeONp) 2-methoxy naphthalene | 3-(5-(4-Fluorophenyl)-2-(6-methoxynaphthalen-2-yl)-1Himidazol-4-yl) indolin-2-one | 91 |
| r. | -C6H4(4-Cl) | -H | -2-(6-MeONp) 2-methoxy naphthalene | 3-(5-(4-Chlorophenyl)-2-(6-methoxynaphthalen-2-yl)-1Himidazol-4-yl) indolin-2-one | 86 |
| s. | -C6H4(4-OCH3) | -CH3 | -2-(6-MeONp) 2-methoxy naphthalene | 3-(2-(6-Methoxynaphthalen-2-yl)-5-(4-methoxyphenyl)-1Himidazol-4-yl)-5-methylindolin-2-one | 76 |
| t. | -C6H5 | -Cl | -2-(6-MeONp) 2-methoxy naphthalene | 5-Chloro-3-(2-(6-methoxynaphthalen-2-yl)-5-phenyl-1Himidazol-4-yl) indolin-2-one | 84 |
| u. | -C6H5 | -H | -CH3 | 3-(2-Methyl-5-phenyl-1H-imidazol-4-yl) indolin-2-one | 48 |
| Substituents on 14 | Substituents on 15 | Products 16 | Yield (%) | |||
|---|---|---|---|---|---|---|
| R1 | R2 | R3 | AR1 | |||
| a. | -H | -C6H5 | -C6H5 | -COOC2H5 | Ethyl 1-Phenyl-5-(2-phenyl-1H-indol-1-yl)-1H-imidazole-4-carboxylate | 62 |
| b. | -H | -C6H5 | -C6H5 | -COOBut | tert-Butyl 1-Phenyl-5-(2-phenyl-1H-indol-1-yl)-1H-imidazole-4-carboxylate | 71 |
| c. | -H | -C6H5 | -C6H5 | -(p-tolyl-sulphonyl) | 1-Phenyl-5-(2-phenyl-1H-indol-1-yl)-4-(p-tolylsulfonyl)-1Himidazole | 76 |
| d. | -H | -C6H4(4-Cl) | -C6H5 | -COOC2H5 | Ethyl 5-[2-(4-Chlorophenyl)-1H-indol-1-yl]-1-phenyl-1H-imidazole-4-carboxylate | 57 |
| e. | -H | -C6H4(4-OCH3) | -C6H5 | -COOC2H5 | Ethyl 5-[2-(4-Methoxyphenyl)-1H-indol-1-yl]-1-phenyl-1Himidazole-4-carboxylate | 66 |
| f. | -H | -C6H4(4-CH3) | -C6H5 | -COOC2H5 | Ethyl 5-[2-(p-Tolyl)-1H-indol-1-yl]-1-phenyl-1H-imidazole-4-carboxylate | 68 |
| g. | -H | -C3H5 (Cyclopropyl) | -C6H5 | -COOC2H5 | Ethyl 5-(2-Cyclopropyl-1H-indol-1-yl)-1-phenyl-1H-imidazole-4-carboxylate | 60 |
| h. | -H | -C6H5 | -C6H4(4-F) | -COOC2H5 | Ethyl 1-(4-Fluorophenyl)-5-(2-phenyl-1H-indol-1-yl)-1H-imidazole-4-carboxylate | 65 |
| i. | -H | -C6H5 | -C6H4(4-NO2) | -COOC2H5 | Ethyl 1-(4-Nitrophenyl)-5-(2-phenyl-1H-indol-1-yl)-1H-imidazole-4-carboxylate | 51 |
| j. | -H | -C6H5 | -C6H4(4-OCH3) | -COOC2H5 | Ethyl 1-(4-Methoxyphenyl)-5-(2-phenyl-1H-indol-1-yl)-1H-imidazole-4-carboxylate | 47 |
| k. | -H | -C6H5 | -C6H4(4-CH3) | -COOC2H5 | Ethyl 5-(2-Phenyl-1H-indol-1-yl)-1-(p-tolyl)-1H-imidazole-4-carboxylate | 64 |
| l. | -H | -C6H5 | -C4H9 (n-butane) | -COOC2H5 | Ethyl 1-Butyl-5-(2-phenyl-1H-indol-1-yl)-1H-imidazole-4-carboxylate | 60 |
| m. | -CH3 | -C6H5 | -C6H5 | -COOC2H5 | Ethyl 5-(5-Methyl-2-phenyl-1H-indol-1-yl)-1-phenyl-1H-imidazole-4-carboxylate | 60 |
| n. | -Cl | -C6H5 | -C6H5 | -COOC2H5 | Ethyl 5-(5-Chloro-2-phenyl-1H-indol-1-yl)-1-phenyl-1H-imidazole-4-carboxylate | 61 |
| o. | -H | -C6H4(4-Cl) | -C6H5 | -(p-tolyl-sulphonyl) | 1-Phenyl-5-[2-(4-chlorophenyl)-1H-indol-1-yl]-4-(p-tolylsulfonyl)-1H-imidazole | 76 |
| p. | -H | -C6H4(4-OCH3) | -C6H5 | -(p-tolyl-sulphonyl) | 1-Phenyl-5-[2-(4-methoxyphenyl)-1H-indol-1-yl]-4-(p-tolylsulfonyl)-1H-imidazole | 78 |
| q. | -H | -C6H4(4-CH3) | -C6H5 | -(p-tolyl-sulphonyl) | 1-Phenyl-5-[2-(p-tolyl)-1H-indol-1-yl]-4-(p-tolylsulfonyl)-1Himidazole | 80 |
| r. | -H | -C6H5 | -C6H4(4-F) | -(p-tolyl-sulphonyl) | 1-(4-Fluorophenyl)-5-(2-phenyl-1H-indol-1-yl)-4-(p-tolylsulfonyl)-1H-imidazole | 85 |
| s. | -H | -C6H5 | -C6H4(4-OCH3) | -(p-tolyl-sulphonyl) | 1-(4-Methoxyphenyl)-5-(2-phenyl-1H-indol-1-yl)-4-(p-tolylsulfonyl)-1H-imidazole | 65 |
| t. | -H | -C6H5 | -C6H4(4-CH3) | -(p-tolyl-sulphonyl) | 1-(p-Tolyl)-5-(2-phenyl-1H-indol-1-yl)-4-(p-tolylsulfonyl)-1Himidazole | 67 |
| u. | -H | -C6H5 | -C6H11 (Cyclohexyl) | -(p-tolyl-sulphonyl) | 1-Cyclohexyl-5-(2-phenyl-1H-indol-1-yl)-4-(p-tolylsulfonyl)-1H-imidazole | 77 |
| v. | -H | -C6H5 | -C4H9 (n-butane) | -(p-tolyl-sulphonyl) | 1-Butyl-5-(2-phenyl-1H-indol-1-yl)-4-(p-tolylsulfonyl)-1Himidazole | 70 |
| w. | -CH3 | -C6H5 | -C6H5 | -(p-tolyl-sulphonyl) | 5-(5-Methyl-2-phenyl-1H-indol-1-yl)-1-phenyl-4-(p-tolylsulfonyl)-1H-imidazole | 81 |
| x. | -Cl | -C6H5 | -C6H5 | -(p-tolyl-sulphonyl) | 5-(5-Chloro-2-phenyl-1H-indol-1-yl)-1-phenyl-4-(p-tolylsulfonyl)-1H-imidazole | 79 |
| y. | -H | -C6H4(4-Cl) | -C6H5 | -COOBut | tert-Butyl 5-[2-(4-Chlorophenyl)-1H-indol-1-yl]-1-phenyl-1Himidazole-4-carboxylate | 75 |
| Substituents on 17 | Substituents on 18 | Substituents on 21 | Products | Yield (%) | ||||
|---|---|---|---|---|---|---|---|---|
| R1 | R2 | AR1 | AR2 | N | ||||
| a. | -H | -H | -H | -H | - | 20a. | 3-(1,4,5-Triphenyl-1H-imidazol-2-yl)-1H-indole | 77 |
| b. | -H | -H | -OCH3 | -H | - | 20b. | 3-(1-(4-Methoxyphenyl)-4,5-diphenyl-1H-imidazol-2-yl)-1H-indole | 78 |
| c. | -H | -H | -OC2H5 | -H | - | 20c. | 3-(1-(4-Ethoxyphenyl)-4,5-diphenyl-1H-imidazol-2-yl)-1H-indole | 81 |
| d. | -H | -H | -OCH3 | -OCH3 | - | 20d. | 3-(1-(3,4-Dimethoxyphenyl)-4,5-diphenyl-1H-imidazol2-yl)-1H-indole | 78 |
| e. | -H | -Br | -H | -H | - | 20e. | 5-Bromo-3-(1,4,5-triphenyl-1H-imidazol-2-yl)-1H-indole | 57 |
| f. | -Br | -Br | -OCH3 | -H | - | 20f. | 2,5-Dibromo-3-(1-(4-methoxyphenyl)-4,5-diphenyl1H-imidazol-2-yl)-1H-indole | 66 |
| g. | -H | -Br | -OC2H5 | -H | - | 20g. | 5-Bromo-3-(1-(4-ethoxyphenyl)-4,5-diphenyl-1H-imidazol2-yl)-1H-indole | 66 |
| h. | -CH3 | -H | -H | - | - | 20h. | 2-Methyl-3-(1,4,5-triphenyl-1H-imidazol-2-yl)-1H-indole | 80 |
| i. | -CH3 | -H | -OC2H5 | - | - | 20i. | 3-(1-(4-Ethoxyphenyl)-4,5-diphenyl-1H-imidazol-2-yl)-2-methyl-1H-indole | 84 |
| j. | - | - | - | - | 1 | 22a. | 1,4-Bis(3-(1,4,5-triphenyl-1H-imidazol-2-yl)-1H-indol1-yl) butane | 87 |
| k. | - | - | - | - | 2 | 22b. | 1,5-Bis(3-(1,4,5-triphenyl-1H-imidazol-2-yl)-1H-indol1-yl) pentane | 93 |
| l. | - | - | - | - | 3 | 22c. | 1,6-Bis(3-(1,4,5-triphenyl-1H-imidazol-2-yl)-1H-indol1-yl) hexane | 91 |
| Products | Anti-Microbial Activity (Zone of Inhibition in mm) | |||
|---|---|---|---|---|
| P. aeruginosa | S. enteritis | B. subtilis | M. Luteus | |
| 20a | - | - | 10 | 25 |
| 20b | - | 13 | 11 | 21 |
| 20c | - | - | - | 14 |
| 20d | - | - | 12 | - |
| 20e | - | - | 13 | 17 |
| 20f | - | - | 9 | 11 |
| 20g | - | - | 11 | 15 |
| 20h | - | - | 11 | 14 |
| 20i | - | - | 16 | 18 |
| 22a | - | 11 | 10 | 13 |
| 22b | - | - | - | - |
| 22c | - | - | 9 | - |
| Erythromycin | 10 | 8 | 12 | 10 |
| Tetracycline | 18 | 7 | 14 | 16 |
| Substituents on 23 | Substituent on 24 | Products 27 | Yield (%) | ||
|---|---|---|---|---|---|
| R1 | R2 | AR1 | |||
| a. | -H | -Cl | -CH3 | 2-(p-Chlorophenyl)-3-(4,5-diphenyl-1-(p-tolyl)-1H-imidazol-2-yl)-1Hindole | 57 |
| b. | -H | -Cl | -Br | 3-(1-(p-Bromophenyl)-4,5-diphenyl-1H-imidazol-2-yl)-2-(p-chlorophenyl)-1H-indole | 68 |
| c. | -Br | -H | -F | 5-Bromo-3-(1-(p-fluorophenyl)-4,5-diphenyl-1′H-imidazol-2-yl)-2-phenyl-1H-indole | 83 |
| d. | -H | -Br | -CH3 | 2-(p-Bromophenyl)-3-(4,5-diphenyl-1-(p-tolyl)-1H-imidazol-2-yl)-1Hindole | 52 |
| e. | -H | -Br | -CL | 2-(p-Bromophenyl)-3-(1-(p-chlorophenyl)-4,5-diphenyl-1H-imidazol2-yl)-1H-indole | 86 |
| f. | -H | -CH3 | -H | 2-(p-Tolyl)-3-(1,4,5-triphenyl-1H-imidazol-2-yl)-1H-indole | 54 |
| g. | -H | -CH3 | -CH3 | 3-(4,5-Diphenyl-1-(p-tolyl)-1H-imidazol-2-yl)-2-(p-tolyl)-1H-indole | 68 |
| h. | -H | -CH3 | -Br | 3-(1-(p-Bromophenyl)-4, 5-diphenyl-1H-imidazol-2-yl)-2-(p-tolyl)-1Hindole | 48 |
| i. | -H | -CH3 | -F | 3-(1-(p-Fluorophenyl)-4,5-diphenyl-1H-imidazol-2-yl)-2-(p-tolyl)-1Hindole | 54 |
| j. | -H | -CH3 | -OCH3 | 3-(1-(p-Methoxyphenyl)-4,5-diphenyl-1H-imidazol-2-yl)-2-(p-tolyl)-1H-indole | 46 |
| Products | Anti-Urease Activity | Antioxidant Activity | ||
|---|---|---|---|---|
| Inhibition (%) | IC50 (µM) | Inhibition (%) | IC50 (µM) | |
| 27a | 76.44 ± 0.8 | 47.53 ± 0.12 | 62.58 ± 0.7 | 175.26 ± 1.24 |
| 27b | 76.54 ± 0.8 | 47.64 ± 0.15 | 71.74 ± 0.2 | 146.27 ± 1.09 |
| 27c | 92.58 ± 0.3 | 11.35 ± 0.07 | 71.87 ± 0.5 | 181.26 ± 1.1 |
| 27d | 87.44 ± 0.8 | 9.95 ± 0.05 | 90.39 ± 0.5 | 148.26 ± 1.2 |
| 27e | 89.44 ± 0.3 | 20.25 ± 0.03 | 20.97 ± 0.5 | - |
| 27f | 85.77 ± 0.6 | 4.85 ± 0.07 | 67.61 ± 0.3 | 162.27 ± 1.2 |
| 27g | 86.73 ± 0.7 | 0.16 ± 0.04 | 44.21 ± 0.7 | - |
| 27h | 87.38 ± 0.46 | 1.45 ± 0.05 | 7.11 ± 0.2 | - |
| 27i | 89.73 ± 0.9 | 4.31 ± 0.02 | 18.91 ± 0.6 | - |
| 27j | 87.63 ± 0.9 | 0.12 ± 0.02 | 23.03 ± 0.5 | - |
| Thiourea | 88.7 ± 0.8 | 21.25 ± 0.15 | - | - |
| Quercetin | - | 93.21 ± 0.9 | 16.96 ± 0.1 | |
| Substituents on 28 | Substituents on 29 | Products 30 | Yields (%) | ||
|---|---|---|---|---|---|
| R1 | R2 | AR1 | |||
| a. | -H | -H | -H | 2-Imidazol-1-yl-1H-indole | 90 |
| b. | -H | -CH3 | -H | 2-Imidazol-1-yl-1-methyl-1H-indole | 64 |
| c. | -H | -CH3 | -CH3 | 1-Methyl-2-(2-methyl-imidazol-1-yl)-1H-indole | 61 |
| Substituents on 32 | Product 33 | Yields (%) | |||
|---|---|---|---|---|---|
| R1 | R2 | R3 | |||
| a. | -H | -H | -CH3 | 3-((2-methyl-1H-imidazol-1-yl) methyl)-1H-indole | 85 |
| b. | -H | -H | -C2H5 | 3-((2-ethyl-1H-imidazol-1-yl) methyl)-1H-indole | 89 |
| c. | -H | -H | -CH(CH3)2 | 3-((2-isopropyl-1H-imidazol-1-yl) methyl)-1H-indole | 88 |
| d. | -H | -CH3 | -C2H5 | 3-((2-ethyl-4-methyl-1H-imidazol-1-yl) methyl)-1H-indole | 69 |
| e. | -Cl | -Cl | -H | 3-((4,5-dichloro-1H-imidazol-1-yl) methyl)-1H-indole | 50 |
| f. | -H | -H | -C6H5 | 3-((2-phenyl-2,5-dihydro-1H-imidazol-1-yl) methyl)-1H-indole | 56 |
| 35. | 1-((1H-indol-3-yl)methyl)-1H-benzo[d]imidazol | 95 | |||
| Products | Antibacterial Activity (Zone of Inhibition in mm) | |||
|---|---|---|---|---|
| M. Luteus | B. subtilis | E. coli | P. fluorescens | |
| 33a | 3 | 1 | 1 | 16 |
| 33b | 8.8 | 4.3 | 3.8 | 3 |
| 33c | 3 | 1.8 | 3 | 0 |
| 33d | 6 | 2.4 | 3.5 | 2.3 |
| 33e | 5 | 8.7 | 4.3 | 0 |
| 33f | 8.6 | 3.7 | 5 | 0 |
| 35 | 4.3 | 2.7 | 3 | 0 |
| Products | Concentration of Products | Fungicidal Effect Inhibition (%) | |||
|---|---|---|---|---|---|
| (%) | C. puteana | G. trabeum | P. placenta | C. versicolor | |
| 33a | 0.1 | 100 | 100 | 100 | 100 |
| 0.01 | 48 | 44 | 48 | 35 | |
| 0.001 | 0 | 19 | 0 | 1 | |
| 0.0001 | 0 | 15 | 0 | 0 | |
| 33b | 0.1 | 100 | 100 | 100 | 100 |
| 0.01 | 37 | 30 | 32 | 43 | |
| 0.001 | 15 | 11 | 18 | 13 | |
| 0.0001 | 13 | 8 | 16 | 6 | |
| 33c | 0.1 | 100 | 100 | 100 | 100 |
| 0.01 | 26 | 17 | 21 | 43 | |
| 0.001 | 14 | 16 | 6 | 12 | |
| 0.0001 | 13 | 12 | 1 | 13 | |
| 33d | 0.1 | 100 | 100 | 100 | 100 |
| 0.01 | 49 | 27 | 41 | 44 | |
| 0.001 | 37 | 9 | 0 | 19 | |
| 0.0001 | 40 | 13 | 4 | 19 | |
| 33e | 0.1 | 100 | 100 | 100 | 100 |
| 0.01 | 74 | 91 | 78 | 96 | |
| 0.001 | 46 | 51 | 35 | 23 | |
| 0.0001 | 0 | 28 | 0 | 0 | |
| 33f | 0.1 | 100 | 100 | 100 | 100 |
| 0.01 | 48 | 53 | 45 | 41 | |
| 0.001 | 0 | 18 | 17 | 13 | |
| 0.0001 | 0 | 13 | 0 | 7 | |
| 35 | 0.1 | 100 | 100 | 100 | 100 |
| 0.01 | 40 | 48 | 37 | 44 | |
| 0.001 | 0 | 28 | 23 | 6 | |
| 0.0001 | 0 | 17 | 0 | 0 | |
| Substituents on 36 | Substituents on 38 | Products 39 | Yield (%) | |
|---|---|---|---|---|
| R | AR1 | |||
| a. | -H | -H | 3-(4,5-diphenyl-1H-imidazol-2-yl)-1H-indole | 97 |
| b. | -Br | -H | 5-bromo-3-(4,5-diphenyl-1H-imidazol-2-yl)-1H-indole | 92 |
| c. | -Cl | -H | 5-Chloro-3-(4,5-diphenyl-1H-imidazol-2-yl)-1H-indole | 89 |
| d. | -I | -H | 5-Iodo-3-(4,5-diphenyl-1H-imidazol-2-yl)-1H-indole | 90 |
| e. | -H | -C6H5 | 3-(1,4,5-triphenyl-1H-imidazol-2-yl)-1H-indole | 94 |
| f. | -H | -C6H4(4-CH3) | 3-(4,5-diphenyl-1-(p-tolyl)-1H-imidazol-2-yl)-1H-indole | 93 |
| g. | -H | -C6H4(4-OCH3) | 3-(1-(4-methoxyphenyl)-4,5-diphenyl-1H-imidazol-2-yl)-1H-indole | 96 |
| h. | -H | -C6H4(4-OC2H5) | 3-(1-(4-ethoxyphenyl)-4,5-diphenyl-1H-imidazol-2-yl)-1H-indole | 97 |
| Products | Anti-Microbial Activity (Zone of Inhibition in Mm) | ||||
|---|---|---|---|---|---|
| S. aureus ATCC 29213 | S. epidermidis ATCC 35984 | E. coli ATCC 25922 | P. aeruginosa ATCC 27853 | C. albicans ATCC 10231 | |
| 39a | 13.32 ± 12 | 07.62 ± 51 | 10.66 ± 21 | 18.96 ± 21 | 08.14 ± 11 |
| 39b | 16.12 ± 22 | 14.33 ± 05 | 14.06 ± 62 | 17.66 ± 37 | 09.59 ± 03 |
| 39c | 20.68 ± 31 | 18.68 ± 30 | 18.54 ± 32 | 13.54 ± 08 | 10.24 ± 07 |
| 39d | 15.68 ± 68 | 11.82 ± 02 | 08.98 ± 11 | 10.44 ± 32 | 11.55 ± 41 |
| 39e | 08.20 ± 38 | 09.38 ± 09 | 12.22 ± 06 | 09.24 ± 64 | 09.74 ± 03 |
| 39f | 07.57 ± 41 | 05.62 ± 16 | 05.52 ± 45 | 08.49 ± 09 | 06.30 ± 03 |
| 39g | 08.98 ± 82 | 06.38 ± 15 | 08.44 ± 27 | 12.87 ± 61 | 08.37 ± 83 |
| 39h | 05.64 ± 76 | 08.58 ± 55 | 07.57 ± 87 | 09.68 ± 69 | 06.82 ± 05 |
| Ampicillin | 15.03 ± 38 | 15.00 ± 53 | 07.53 ± 08 | 12.09 ± 09 | - |
| Amikacin | 19.03 ± 6 | 17.69 ± 08 | 18.13 ± 64 | 18.82 ± 62 | - |
| Fluconazole | - | - | - | - | 21.23 ± 06 |
Disclaimer/Publisher’s Note: The statements, opinions and data contained in all publications are solely those of the individual author(s) and contributor(s) and not of MDPI and/or the editor(s). MDPI and/or the editor(s) disclaim responsibility for any injury to people or property resulting from any ideas, methods, instructions or products referred to in the content. |
© 2025 by the authors. Licensee MDPI, Basel, Switzerland. This article is an open access article distributed under the terms and conditions of the Creative Commons Attribution (CC BY) license (https://creativecommons.org/licenses/by/4.0/).
Share and Cite
Bawazir, W.A.; Ain, Q. Indole–Imidazole Hybrids as Emerging Therapeutic Scaffolds: Synthetic Advances and Biomedical Applications. Molecules 2025, 30, 4164. https://doi.org/10.3390/molecules30214164
Bawazir WA, Ain Q. Indole–Imidazole Hybrids as Emerging Therapeutic Scaffolds: Synthetic Advances and Biomedical Applications. Molecules. 2025; 30(21):4164. https://doi.org/10.3390/molecules30214164
Chicago/Turabian StyleBawazir, Wafa A., and Qurratul Ain. 2025. "Indole–Imidazole Hybrids as Emerging Therapeutic Scaffolds: Synthetic Advances and Biomedical Applications" Molecules 30, no. 21: 4164. https://doi.org/10.3390/molecules30214164
APA StyleBawazir, W. A., & Ain, Q. (2025). Indole–Imidazole Hybrids as Emerging Therapeutic Scaffolds: Synthetic Advances and Biomedical Applications. Molecules, 30(21), 4164. https://doi.org/10.3390/molecules30214164

