Improved Synthesis of 5-Nitrohomovanillic Acid and 6-Nitrohomovanillic Acid as Probes for Metabolism Studies of Endothelium-Derived Dopamines: Identification in Human Amniotic Fluid
Abstract
1. Introduction
2. Results
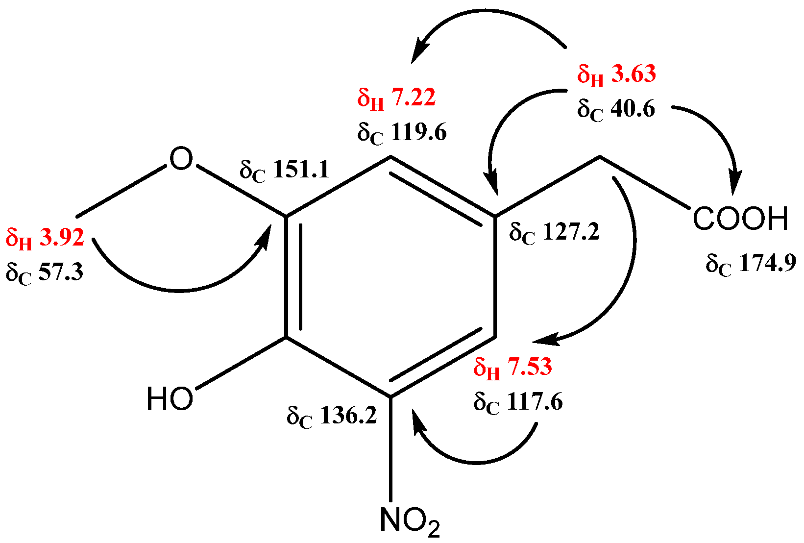
2.1. Synthesis and Chemical–Physical Characterization
2.2. 6-NHVA, 5-NHVA, and HVA Levels in Human Amniotic Fluid
3. Materials and Methods
3.1. Chemistry
3.1.1. Synthesis of 2-(4-Hydroxy-5-methoxy-2-nitrophenyl)acetic Acid (6-Nitrohomovanillic Acid, I, 6-NHVA)
3.1.2. Synthesis of 2-(4-Hydroxy-3-methoxy-5-nitrophenyl)acetic Acid (5-Nitrohomovanillic Acid, II, 5-NHVA)
3.2. Analytical Procedure for the Determination of 6-NHVA, 5-NHVA, and HVA in Human Amniotic Fluid
4. Conclusions
Supplementary Materials
Author Contributions
Funding
Institutional Review Board Statement
Informed Consent Statement
Data Availability Statement
Acknowledgments
Conflicts of Interest
References
- Eisenhofer, G.; Kopin, I.J.; Goldstein, D.S. Catecholamine metabolism: A contemporary view with implications for physiology and medicine. Pharmacol. Rev. 2004, 56, 331–349. [Google Scholar] [CrossRef]
- Segura-Aguilar, J.; Paris, I.; Muñoz, P.; Ferrari, E.; Zecca, L.; Zucca, F.A. Protective and toxic roles of dopamine in Parkinson’s disease. J. Neurochem. 2014, 129, 898–915. [Google Scholar] [CrossRef]
- de Oliveira, L.F.G.; Britto-Júnior, J.; Lima, A.T.; Moraes, M.O.; Moraes, M.E.A.; de Souza, V.B.; Schenka, A.A.; Zakia, M.F.; De Nucci, G. Release of 6-nitrodopamine from human popliteal artery and vein. Life Sci. 2023, 326, 121801. [Google Scholar] [CrossRef] [PubMed]
- Zatz, R.; De Nucci, G. Endothelium-derived dopamine and 6-nitrodopamine in the cardiovascular system. Physiology 2024, 39, 44–59. [Google Scholar] [CrossRef] [PubMed]
- Britto-Júnior, J.; Uramoto, E.H.S.; Lima, A.T.; Ribeiro, L.F.; de Souza, V.B.; Schenka, A.A.; de Almeida Magalhães, J.C.; Antunes, E.; Fregonesi, A.; De Nucci, G. Epithelium-derived 6-nitrodopamine modulates noradrenaline-induced contractions in human seminal vesicles. Life Sci. 2024, 348, 122695. [Google Scholar] [CrossRef] [PubMed]
- Britto-Júnior, J.; de Oliveira, M.G.; Dos Reis Gati, C.; Campos, R.; Moraes, M.O.; Moraes, M.E.A.; Mónica, F.Z.; Antunes, E.; De Nucci, G. 6-NitroDopamine is an endogenous modulator of rat heart chronotropism. Life Sci. 2022, 15, 120879. [Google Scholar] [CrossRef]
- Britto-Júnior, J.; Coelho-Silva, W.C.; Murari, G.F.; Nachi, C.E.; Mónica, F.Z.; Antunes, E.; De Nucci, G. 6-Nitrodopamine is released by human umbilical cord vessels and modulates vascular reactivity. Life Sci. 2021, 276, 119425. [Google Scholar] [CrossRef]
- Britto-Júnior, J.; Silva-Filho, W.P.; Amorim, A.C.; Campos, R.; Moraes, M.O.; Moraes, M.E.A.; Fregonesi, A.; Mónica, F.Z.; Antunes, E.; De Nucci, G. 6-Nitrodopamine is a major endogenous modulator of human vas deferens contractility. Andrology 2022, 10, 1540–1547. [Google Scholar] [CrossRef]
- Ribeiro, L.F.; Babadopulos, T.; de Oliveira, M.G.; Nishimaru, F.; Zatz, R.; Elias, R.M.; Moraes, O.; Moraes, E.; Peterson, L.W.; De Nucci, G. A LC–MS/MS method for the simultaneous determination of 6-cyanodopamine, 6-nitrodopamine, 6-nitrodopa, 6-nitroadrenaline and 6-bromodopamine in human plasma and its clinical application in patients with chronic kidney disease. Biomed. Chromatogr. 2024, 38, e5896. [Google Scholar] [CrossRef]
- Fuguhara, V.; De Oliveira, M.G.; Aguiar da Silva, C.A.; Guazzelli, P.R.; Peterson, L.W.; De Nucci, G. Cardiovascular effects of 6-nitrodopamine, adrenaline, noradrenaline, and dopamine in normotensive and hypertensive rats. Front. Pharmacol. 2025, 16, 1557997. [Google Scholar] [CrossRef]
- Burton, G.; Lashford, A.G. β-Lactam Derivatives. EP0091302A1, 12 October 1983. [Google Scholar]
- Burton, G.; Best, D.J.; Dixon, R.A.; Kenyon, R.F.; Lashford, A.G. Studies on 6 alpha-substituted penicillins. II. Synthesis and structure-activity relationships of 6 beta-(2-aryl-2-sulfoacetamido)-6 alpha-methoxy penicillanic acids. J. Antibiot. 1986, 39, 1419–1429. [Google Scholar] [CrossRef]
- Williams, R.M.; Cao, J.; Tsujishima, H.; Cox, R.J. Asymmetric, Stereocontrolled Total Synthesis of Paraherquamide A. J. Am. Chem. Soc. 2003, 125, 12172–12178. [Google Scholar] [CrossRef]
- Hwang, N.; Chong, E.; Oh, H.; Cho, H.W.; Lee, J.W.; Sung, K.W.; Lee, S.-Y. Application of an LC-MS/MS Method for the Simultaneous Quantification of Homovanillic Acid and Vanillylmandelic Acid for the Diagnosis and Follow-Up of Neuroblastoma in 357 Patients. Molecules 2021, 26, 3470. [Google Scholar] [CrossRef]
- Shen, Y.; Li, H.; Lu, J.; Luo, X.; Guan, Q.; Cheng, L. Analytical validation and clinical application of urinary vanillylmandelic acid and homovanillic acid by LC-MS/MS for diagnosis of neuroblastoma. Biomed. Chromatogr. 2019, 33, e4484. [Google Scholar] [CrossRef] [PubMed]
- Zhong, J.; Guan, L.; Zou, Y.; Yu, J.; Ma, X.; Liu, R.; Yu, S.; Qiu, L. Quantification of three neurotransmitters in cerebrospinal fluid, serum and random urine using a robust and simplified liquid chromatography-tandem mass spectrometry method. J. Chromatogr. A 2025, 1747, 465791. [Google Scholar] [CrossRef]
- Holland, B.; Slagle, C.L.; Starr, M.C. Renal Physiology: From Fetus to Newborn and Beyond. Adv. Pediatr. 2025, 72, 143–156. [Google Scholar] [CrossRef] [PubMed]
- Kakishita, K.; Elwan, M.A.; Nakao, N.; Itakura, T.; Sakuragawa, N. Human amniotic epithelial cells produce dopamine and survive after implantation into the striatum of a rat model of Parkinson’s disease: A potential source of donor for transplantation therapy. Exp. Neurol. 2000, 165, 27–34. [Google Scholar] [CrossRef]
- Veszprémi, B.; Hartmann, G.; Szabó, I.; Vereczkey, G.; Arany, A. Dopamine, noradrenaline and serotonin levels in amniotic fluid during the second trimester in normal and pathologic pregnancy. Orvosi. Hetil. 1993, 134, 745–747. [Google Scholar]
- Muskiet, F.A.; Jeuring, H.J.; Nagel, G.T.; de Bruyn, H.W.; Wolthers, B.G. Mass-fragmentographic determination of catecholamine metabolites in amniotic fluid and its possible clinical usefulness. Clin. Chem. 1978, 24, 1899–1902. [Google Scholar] [CrossRef] [PubMed]
- Hsieh, Y.J.; Chang, Y.L.; Wu, Y.H.; Hung, C.Y.; Li, L.; Yu, J.S.; Chang, C.H.; Tu, W.J.; Chen, Y.T. Metabolic profiling of amniotic fluid by differential 12C-/13C-isotope dansylation labeling LC-MS for application in trisomy 21 fetuse. Metabolomics 2025, 21, 106. [Google Scholar] [CrossRef]
- Douglas, R.L.; Gulland, J.M. CCCCV.—Experiments on the synthesis of phenolic aporphines. Part IV. Laurotetanine. J. Chem. Soc. 1931, 2893–2903. [Google Scholar] [CrossRef]
- Clemo, G.R.; Turnbull, J.H. 398. The nitration of some derivatives of eugenol. J. Chem. Soc. 1949, 1870–1871. [Google Scholar] [CrossRef]
- Badertscher, M.; Bischofberger, K.; Munk, M.E.; Pretsch, E. A Novel Formalism to Characterize the Degree of Unsaturation of Organic Molecules. J. Chem. Inf. Comput. Sci. 2001, 41, 889–893. [Google Scholar] [CrossRef] [PubMed]

















| Ion, m/z | Formula | RDBE | Δ, ppm |
|---|---|---|---|
| 199.0709 a | C8H11N2O4 | 4.5 | −2.076 |
| 182.0446 a,b | C8H8NO4 | 5.5 | −1.232 |
| 165.0418 b | C8H7NO3 | 6.0 | −1.482 |
| 164.0339 a,b | C8H6NO3 | 6.5 | −2.192 |
| 137.0469 b | C7H7NO2 | 5.0 | −1.605 |
| 136.0516 a | C8H8O2 | 5.0 | −1.992 |
| 136.0394 b | C7H6NO2 | 5.5 | 0.698 |
| 124.0393 b | C6H6NO2 | 4.5 | 0.121 |
| 123.0441 b | C7H7O2 | 4.5 | 0.114 |
| 108.0446 a,b | C6H6NO | 4.5 | 1.662 |
| Ion, m/z | Formula | RDBE | Δ, ppm |
|---|---|---|---|
| 226.0356 | C9H8NO6 | 6.5 | 4.365 |
| 182.0453 | C8H8NO4 | 5.5 | 2.613 |
| 179.0343 | C9H7O4 | 6.5 | 2.596 |
| 167.0216 | C7H5NO4 | 6.0 | 1.682 |
| 164.0107 | C8H4O4 | 7.0 | 1.463 |
| 150.0187 | C7H4NO3 | 6.5 | 0.736 |
| 137.0233 | C7H5O3 | 5.5 | 0.069 |
| 134.0236 | C7H4NO2 | 6.5 | −0.111 |
| Ion, m/z | Formula | RDBE | Δ, ppm |
|---|---|---|---|
| 226.0354 | C9H8NO6 | 6.5 | 3.613 |
| 182.0452 | C8H8NO4 | 5.5 | 2.449 |
| 179.0343 | C9H7O4 | 6.5 | 2.149 |
| 167.0216 | C7H5NO4 | 6.0 | 1.203 |
| 164.0106 | C8H4O4 | 7.0 | 1.158 |
| 150.0187 | C7H4NO3 | 6.5 | 0.603 |
| 137.0233 | C7H5O3 | 5.5 | −0.150 |
| 134.0236 | C7H4NO2 | 6.5 | −0.261 |
Disclaimer/Publisher’s Note: The statements, opinions and data contained in all publications are solely those of the individual author(s) and contributor(s) and not of MDPI and/or the editor(s). MDPI and/or the editor(s) disclaim responsibility for any injury to people or property resulting from any ideas, methods, instructions or products referred to in the content. |
© 2025 by the authors. Licensee MDPI, Basel, Switzerland. This article is an open access article distributed under the terms and conditions of the Creative Commons Attribution (CC BY) license (https://creativecommons.org/licenses/by/4.0/).
Share and Cite
Sparaco, R.; Cinque, P.; Scognamiglio, A.; Vertuccio, S.; Caliendo, G.; Fiorino, F.; Corvino, A.; Magli, E.; Perissutti, E.; Santagada, V.; et al. Improved Synthesis of 5-Nitrohomovanillic Acid and 6-Nitrohomovanillic Acid as Probes for Metabolism Studies of Endothelium-Derived Dopamines: Identification in Human Amniotic Fluid. Molecules 2025, 30, 4096. https://doi.org/10.3390/molecules30204096
Sparaco R, Cinque P, Scognamiglio A, Vertuccio S, Caliendo G, Fiorino F, Corvino A, Magli E, Perissutti E, Santagada V, et al. Improved Synthesis of 5-Nitrohomovanillic Acid and 6-Nitrohomovanillic Acid as Probes for Metabolism Studies of Endothelium-Derived Dopamines: Identification in Human Amniotic Fluid. Molecules. 2025; 30(20):4096. https://doi.org/10.3390/molecules30204096
Chicago/Turabian StyleSparaco, Rosa, Pierfrancesco Cinque, Antonia Scognamiglio, Stefania Vertuccio, Giuseppe Caliendo, Ferdinando Fiorino, Angela Corvino, Elisa Magli, Elisa Perissutti, Vincenzo Santagada, and et al. 2025. "Improved Synthesis of 5-Nitrohomovanillic Acid and 6-Nitrohomovanillic Acid as Probes for Metabolism Studies of Endothelium-Derived Dopamines: Identification in Human Amniotic Fluid" Molecules 30, no. 20: 4096. https://doi.org/10.3390/molecules30204096
APA StyleSparaco, R., Cinque, P., Scognamiglio, A., Vertuccio, S., Caliendo, G., Fiorino, F., Corvino, A., Magli, E., Perissutti, E., Santagada, V., Severino, B., Andreozzi, G., Luciano, P., Dell’Aversano, C., Miller, A. H., De Nucci, G., & Frecentese, F. (2025). Improved Synthesis of 5-Nitrohomovanillic Acid and 6-Nitrohomovanillic Acid as Probes for Metabolism Studies of Endothelium-Derived Dopamines: Identification in Human Amniotic Fluid. Molecules, 30(20), 4096. https://doi.org/10.3390/molecules30204096

