Eremophilane-Type Sesquiterpenoids from Fungus Aspergillus aurantiobrunneus
Abstract
1. Introduction
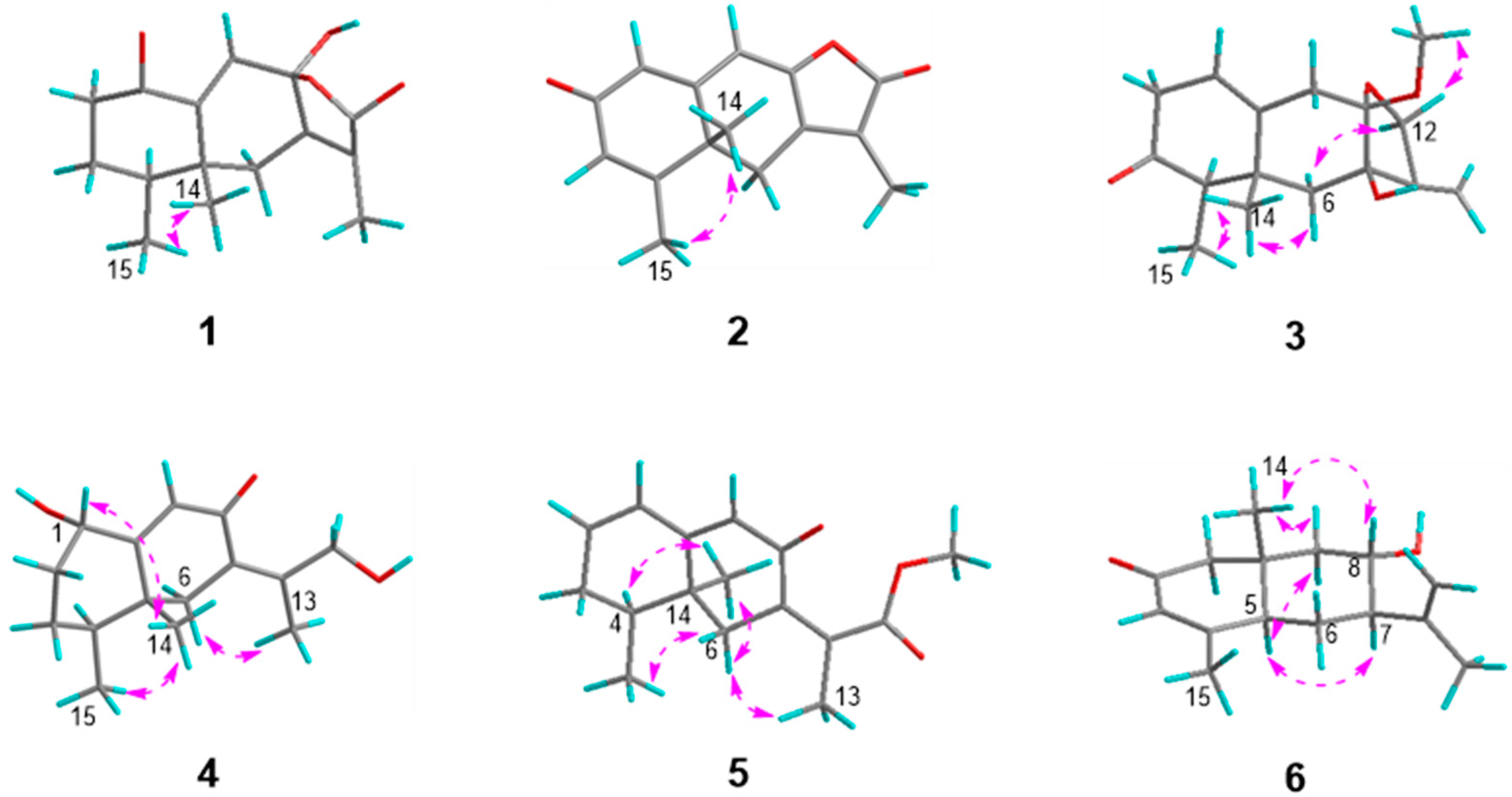
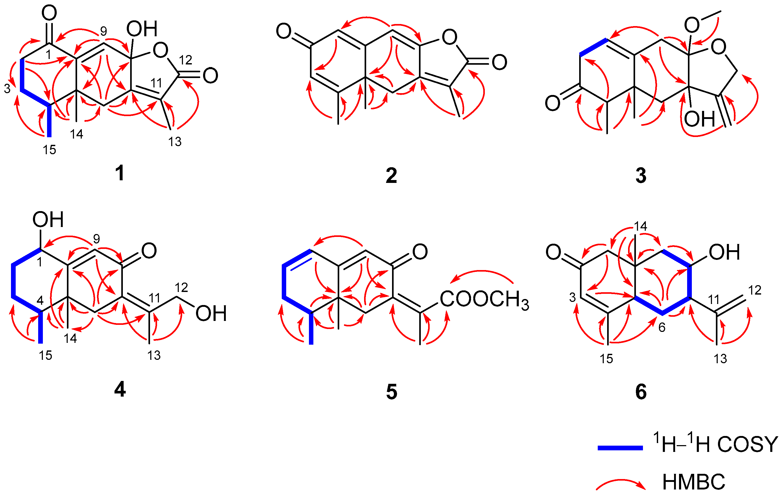
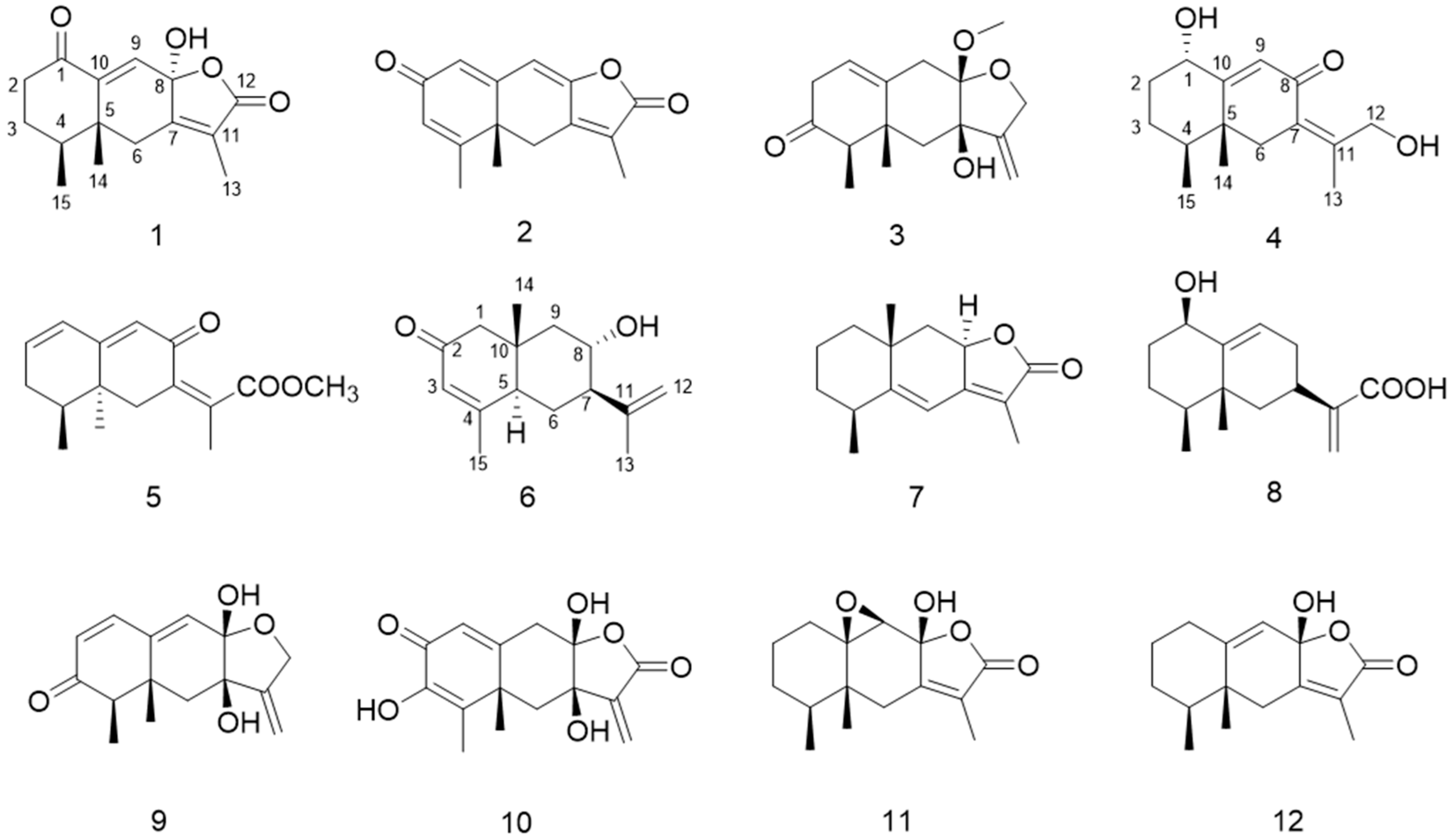
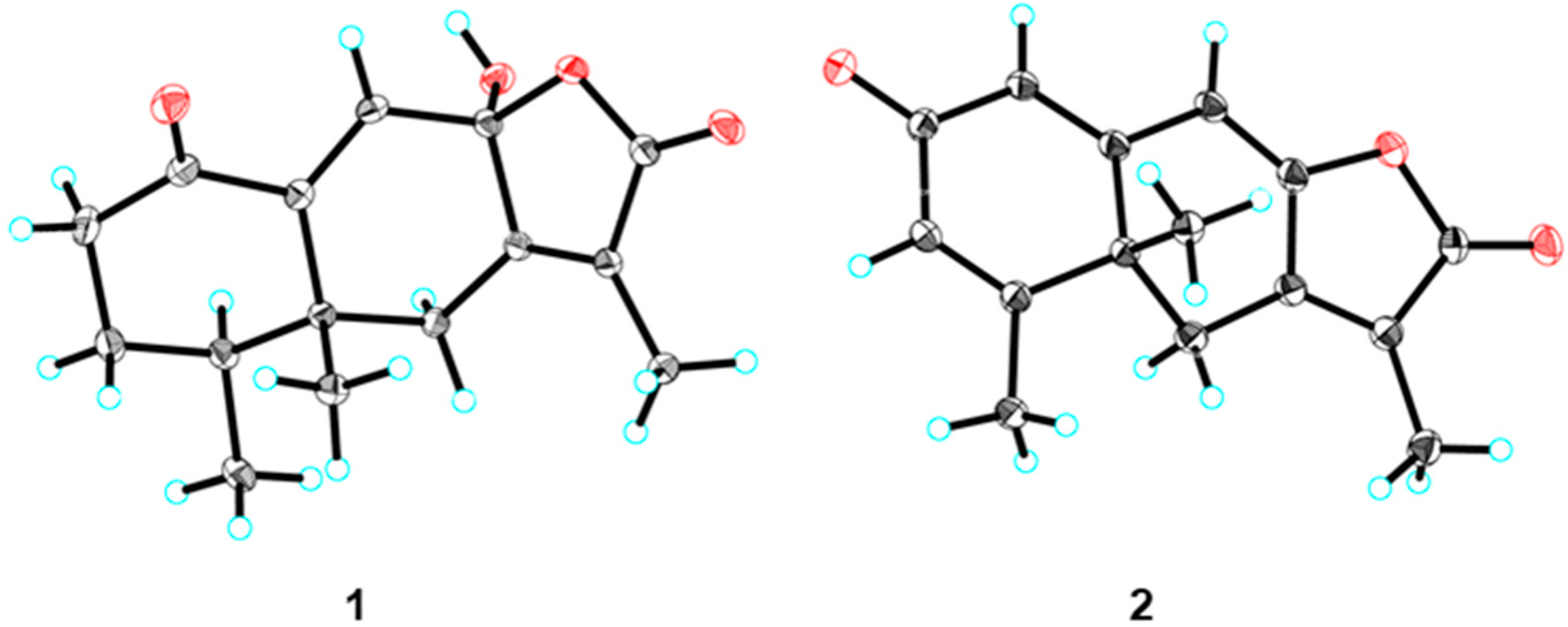
2. Results and Discussion
3. Materials and Methods
3.1. General Experimental Procedures
3.2. Fungal Material
3.3. Fermentation, Extraction, and Isolation
3.3.1. Aurantiophilane A
3.3.2. Aurantiophilane B
3.3.3. Aurantiophilane C
3.3.4. Aurantiophilane D
3.3.5. Aurantiophilane E
3.3.6. Aurantiophilane F
3.4. X-Ray Crystallographic Analysis
3.5. Biological Activity
4. Conclusions
Supplementary Materials
Author Contributions
Funding
Institutional Review Board Statement
Informed Consent Statement
Data Availability Statement
Acknowledgments
Conflicts of Interest
References
- Fraga, B.M. Natural Sesquiterpenoids. Nat. Prod. Rep. 2013, 30, 1226–1264. [Google Scholar] [CrossRef]
- Wu, M.; Torrence, I.; Liu, Y.; Wu, J.; Ge, R.; Ma, K.; Liu, D.; Ren, J.; Fan, S.; Ma, M.; et al. Characterization and Engineering of a Bisabolene Synthase Reveal an Unusual Hydride Shift and Key Residues Critical for Mono-, Bi-, and Tricyclic Sesquiterpenes Formation. J. Am. Chem. Soc. 2025, 147, 10413–10422. [Google Scholar] [CrossRef]
- Xue, T.T.; Hou, B.L.; Yuan, M.M.; Tang, Z.S.; Xu, H.B. Norsesquiterpenoids from Terrestrial and Marine Organisms: Chemistry, Activity and Possible Biosynthetic Pathways (1963–2024). Phytochemistry 2025, 239, 114592. [Google Scholar] [CrossRef] [PubMed]
- Christianson, D.W. Structural and Chemical Biology of Terpenoid Cyclases. Chem. Rev. 2017, 117, 11570–11648. [Google Scholar] [CrossRef]
- Moeller, M.; Dhar, D.; Dräger, G.; Özbasi, M.; Struwe, H.; Wildhagen, M.; Davari, M.D.; Beutel, S.; Kirschning, A. Sesquiterpene Cyclase BcBOT2 Promotes the Unprecedented Wagner-Meerwein Rearrangement of the Methoxy Group. J. Am. Chem. Soc. 2024, 146, 17838–17846. [Google Scholar] [CrossRef]
- Struwe, H.; Schrödter, F.; Spinck, H.; Kirschning, A. Sesquiterpene Backbones Generated by Sesquiterpene Cyclases: Formation of Iso-Caryolan-1-Ol and an Isoclovane. Org. Lett. 2023, 25, 8575–8579. [Google Scholar] [CrossRef]
- Yuyama, K.T.; Fortkamp, D.; Abraham, W.-R. Eremophilane-Type Sesquiterpenes from Fungi and Their Medicinal Potential. Biol. Chem. 2018, 399, 13–28. [Google Scholar] [CrossRef] [PubMed]
- Zhang, C.; Wen, R.; Ma, X.L.; Zeng, K.W.; Xue, Y.; Zhang, P.M.; Zhao, M.B.; Jiang, Y.; Liu, G.Q.; Tu, P.F. Nitric Oxide Inhibitory Sesquiterpenoids and Its Dimers from Artemisia freyniana. J. Nat. Prod. 2018, 81, 866–878. [Google Scholar] [CrossRef]
- Zhang, J.; Liu, D.; Fan, A.; Huang, J.; Lin, W. Eremophilane-Type Sesquiterpenes from a Marine-Derived Fungus Penicillium copticola with Antitumor and Neuroprotective Activities. Mar. Drugs 2022, 20, 712. [Google Scholar] [CrossRef] [PubMed]
- Li-Bin, L.; Xiao, J.; Zhang, Q.; Han, R.; Xu, B.; Yang, S.X.; Han, W.B.; Tang, J.J.; Gao, J.M. Eremophilane Sesquiterpenoids with Antibacterial and Anti-Inflammatory Activities from the Endophytic Fungus Septoria rudbeckiae. J. Agric. Food Chem. 2021, 69, 11878–11889. [Google Scholar] [CrossRef]
- Fang, W.; Wang, J.; Wang, J.; Shi, L.; Li, K.; Lin, X.; Min, Y.; Yang, B.; Tang, L.; Liu, Y.; et al. Cytotoxic and Antibacterial Eremophilane Sesquiterpenes from the Marine-Derived Fungus Cochliobolus lunatus SCSIO41401. J. Nat. Prod. 2018, 81, 1405–1410. [Google Scholar] [CrossRef]
- Zhou, M.; Duan, F.; Gao, Y.; Peng, X.; Meng, X.; Ruan, H. Eremophilane Sesquiterpenoids from the Whole Plant of Parasenecio albus with Immunosuppressive Activity. Bioorg. Chem. 2021, 115, 105247. [Google Scholar] [CrossRef]
- Sun, B.; Wang, D.; Ren, J.; Wang, C.; Yan, P.; Gustafson, K.R.; Jiang, W. Paraconulones A−G: Eremophilane Sesquiterpenoids from the Marine-Derived Fungus Paraconiothyrium sporulosum DL-16. J. Nat. Prod. 2023, 86, 1360–1369. [Google Scholar] [CrossRef]
- Zhao, W.Y.; Yi, J.; Chang, Y.B.; Sun, C.P.; Ma, X.C. Recent Studies on Terpenoids in Aspergillus Fungi: Chemical Diversity, Biosynthesis, and Bioactivity. Phytochemistry 2022, 193, 113011. [Google Scholar] [CrossRef] [PubMed]
- Ojo, O.; Njanje, I.; Abdissa, D.; Swart, T.; Higgitt, R.L.; Dorrington, R.A. Newly Isolated Terpenoids (Covering 2019–2024) from Aspergillus Species and Their Potential for the Discovery of Novel Antimicrobials. Nat. Prod. Bioprospect. 2025, 15, 19. [Google Scholar] [CrossRef]
- Fujimoto, H.; Nakamura, E.; Okuyama, E.; Ishibashi, M. Immunomodulatory Constituents from an Ascomycete, Emericella aurantio-brunnea. Chem. Pharm. Bull. 2000, 48, 1436–1441. [Google Scholar] [CrossRef]
- Cheng, Z.; Zhao, J.; Liu, D.; Proksch, P.; Zhao, Z.; Lin, W. Eremophilane-Type Sesquiterpenoids from an Acremonium Sp. Fungus Isolated from Deep-Sea Sediments. J. Nat. Prod. 2016, 79, 1035–1047. [Google Scholar] [CrossRef] [PubMed]
- Zhang, M.; Zhang, C.F.; Wang, C.F. The chemical constituents of Ligularia pleurocaulis. Acta. Pharm. Sin. 2005, 40, 529–532. [Google Scholar]
- Li, P.; Jia, Z. A New Triterpene and New Sesquiterpenes from the Roots of Ligularia sagitta. Helv. Chim. Acta 2008, 91, 1717–1727. [Google Scholar]
- Ravindranath, K.R.; Raghavan, R.; Paknikar, S.K.; Trivedi, G.K.; Bhattacharyya, S.C. Structure and Stereochemistry of Inunolide, Dihydroinunolide and Neoalantolactone. Indian J. Chem. Sect. B 1978, 16, 27–31. [Google Scholar]
- Wang, L.; Li, M.; Tang, J.; Li, X. Eremophilane Sesquiterpenes from a Deep Marine-Derived Fungus, Aspergillus sp. SCSIOW2, Cultivated in the Presence of Epigenetic Modifying Agents. Molecules 2016, 21, 473. [Google Scholar] [CrossRef]
- Castro, S.J.; Garcia, M.E.; Padron, J.M.; Navarro-Vazquez, A.; Gil, R.R.; Nicotra, V.E. Phytochemical Study of Senecio Volckmannii Assisted by CASE-3D with Residual Dipolar Couplings and Isotropic 1H/13C NMR Chemical Shifts. J. Nat. Prod. 2018, 81, 2329–2337. [Google Scholar] [CrossRef] [PubMed]
- Simonparsons, Y. Enantiomeric Sesquiterpene Lactones from Senecio tsoongianus. Chin. Chem. Lett. 2002, 13, 754–757. [Google Scholar]
- Wang, N.; Chen, C.; Li, Q.; Liang, Q.; Liu, Y.; Shao, Z.; Liu, X.; Zhou, Q. Isolation of Ten New Sesquiterpenes and New Abietane-Type Diterpenoid with Immunosuppressive Activity from Marine Fungus Eutypella sp. Pharmaceuticals 2025, 18, 737. [Google Scholar] [CrossRef]
- Zheng, M.; Li, Q.; Liao, H.; Li, Y.; Zhou, C.; Zhao, X.; Chen, C.; Sun, W.; Zhang, Y.; Zhu, H. Adpressins A−G: Oligophenalenone Dimers from Talaromyces adpressus. J. Nat. Prod. 2024, 87, 1921–1929. [Google Scholar] [CrossRef]
- Neese, F. The ORCA program system. Wiley Interdiscip. Rev. Comput. Mol. Sci. 2012, 2, 73–78. [Google Scholar] [CrossRef]
- Stephens, P.J.; Harada, N. ECD cotton effect approximated by the Gaussian curve and other methods. Chirality 2010, 22, 229–233. [Google Scholar] [CrossRef] [PubMed]






| 1 a | 2 b | 3 b | ||||
|---|---|---|---|---|---|---|
| No. | δC, Type | δH, (J in Hz) | δC, Type | δH, (J in Hz) | δC, Type | δH, (J in Hz) |
| 1 | 204.2, C | 128.3, CH | 6.30, s | 119.0, CH | 5.49, dd (3.4, 3.1) | |
| 2 | 41.4, CH2 | 2.45, m | 185.1, C | 40.7, CH2 | 3.03, dd (14.0, 3.1) | |
| 1.74, m | 2.71, dd (14.0, 3.4) | |||||
| 3 | 29.3, CH2 | 1.83, m | 128.0, CH | 6.19, s | 210.5, C | |
| 1.75, m | ||||||
| 4 | 42.1. CH | 2.06, m | 157.9, C | 54.2, CH | 2.55, m | |
| 5 | 47.5, C | 42.3, C | 42.8, C | |||
| 6 | 36.7, CH2 | 2.86, d (12.5) | 31.4, CH2 | 3.04, d (16.5) | 46.4, CH2 | 1.98, d (14.6) |
| 2.53, d (12.5) | 2.53, d (16.5) | 1.52, d (14.6) | ||||
| 7 | 159.4, C | 144.8, C | 78.4, C | |||
| 8 | 100.8, C | 152.1, C | 103.9, C | |||
| 9 | 127.7. CH | 6.29, s | 106.9, CH | 6.23, s | 33.8, CH2 | 2.78, d (15.2) |
| 2.59, d (15.2) | ||||||
| 10 | 150.3, C | 162.3, C | 140.1, C | |||
| 11 | 124.7, C | 125.7, C | 153.5, C | |||
| 12 | 173.5, C | 169.9, C | 67.7, CH2 | 4.43, m | ||
| 4.37, m | ||||||
| 13 | 8.4, CH3 | 1.83, s | 9.1, CH3 | 2.01, s | 104.4, CH2 | 5.22, d (2.6) |
| 4.94, d (2.6) | ||||||
| 14 | 18.4, CH3 | 0.81, s | 29.1, CH3 | 1.37, s | 20.1, CH3 | 1.05, s |
| 15 | 15.3, CH3 | 1.07, d (6.9) | 19.4, CH3 | 2.12, s | 7.3, CH3 | 1.03, d (6.6) |
| O-Me | 48.5, CH3 | 3.30, s | ||||
| 4 a | 5 b | 6 b | ||||
|---|---|---|---|---|---|---|
| No. | δC, Type | δH, (J in Hz) | δC, Type | δH, (J in Hz) | δC, Type | δH, (J in Hz) |
| 1 | 73.2, CH | 4.51, m | 128.0, CH | 6.16, d (2.6) | 54.4, CH2 | 2.31, m |
| 2 | 34.1, CH2 | 2.21, m | 138.8, CH | 6.25, m | 198.8, C | |
| 1.94, m | ||||||
| 3 | 26.3, CH2 | 2.08, m | 32.6, CH2 | 2.23, m | 127.3, CH | 5.89, s |
| 1.65, m | 2.22, m | |||||
| 4 | 44.0, CH | 1.77, m | 37.9, CH | 1.80, m | 161.8, C | |
| 5 | 42.6, C | 38.5, C | 47.4, CH | 2.46, m | ||
| 6 | 43.1, CH2 | 3.29, d (13.6) | 38.1, CH2 | 2.84, d (14.2) | 28.1, CH2 | 1.93, m |
| 2.40, d (13.6) | 2.28, d (14.2) | 1.48, m | ||||
| 7 | 130.9, C | 132.0, C | 55.4, CH | 2.10, m | ||
| 8 | 195.4, C | 187.4, C | 66.4, CH | 3.79 dt (10.2, 4.5) | ||
| 9 | 129.2, CH | 124.3, CH | 5.78, s | 47.4, CH2 | 1.96, m | |
| 1.39, m | ||||||
| 10 | 169.6, C | 163.1, C | 39.0, C | |||
| 11 | 146.9, CH | 4.53, m | 137.2, C | 145.7, C | ||
| 12 | 63.8, CH2 | 4.40, m | 172.6, C | 114.0, CH2 | 4.97, d (3.1) | |
| 4.93, d (3.1) | ||||||
| 13 | 18.4, CH3 | 2.35, s | 17.0, CH3 | 2.01, s | 19.5, CH3 | 1.78, s |
| 14 | 18.7, CH3 | 1.43, s | 17.1, CH3 | 0.98, s | 18.1, CH3 | 0.94, s |
| 15 | 15.9, CH3 | 1.25, d (6.8) | 14.7, CH3 | 1.02, d (6.8) | 22.3, CH3 | 1.90, s |
| O-Me | 52.5, CH3 | 3.80, s | ||||
Disclaimer/Publisher’s Note: The statements, opinions and data contained in all publications are solely those of the individual author(s) and contributor(s) and not of MDPI and/or the editor(s). MDPI and/or the editor(s) disclaim responsibility for any injury to people or property resulting from any ideas, methods, instructions or products referred to in the content. |
© 2025 by the authors. Licensee MDPI, Basel, Switzerland. This article is an open access article distributed under the terms and conditions of the Creative Commons Attribution (CC BY) license (https://creativecommons.org/licenses/by/4.0/).
Share and Cite
Deng, X.; Wei, M.; Zheng, Y.; Shen, Y.; Bao, A.; Yu, M.; Chen, C.; Li, Q.; Zhu, H. Eremophilane-Type Sesquiterpenoids from Fungus Aspergillus aurantiobrunneus. Molecules 2025, 30, 4068. https://doi.org/10.3390/molecules30204068
Deng X, Wei M, Zheng Y, Shen Y, Bao A, Yu M, Chen C, Li Q, Zhu H. Eremophilane-Type Sesquiterpenoids from Fungus Aspergillus aurantiobrunneus. Molecules. 2025; 30(20):4068. https://doi.org/10.3390/molecules30204068
Chicago/Turabian StyleDeng, Xueying, Mengsha Wei, Yuyi Zheng, Yong Shen, Alan Bao, Mengru Yu, Chunmei Chen, Qin Li, and Hucheng Zhu. 2025. "Eremophilane-Type Sesquiterpenoids from Fungus Aspergillus aurantiobrunneus" Molecules 30, no. 20: 4068. https://doi.org/10.3390/molecules30204068
APA StyleDeng, X., Wei, M., Zheng, Y., Shen, Y., Bao, A., Yu, M., Chen, C., Li, Q., & Zhu, H. (2025). Eremophilane-Type Sesquiterpenoids from Fungus Aspergillus aurantiobrunneus. Molecules, 30(20), 4068. https://doi.org/10.3390/molecules30204068
