Next Article in Journal
Assessment of the Geochemical Availability and Ecological Risk of Trace Elements in Marine Sediments of the Tremiti Islands
Previous Article in Journal
Application of the ICP-OES and SEM-EDS Techniques for Elemental Analysis of Various Types of Cosmetic Products with Antiperspirant and Deodorant Properties Available on the EU Market
Previous Article in Special Issue
Hybrid Molecules with Purine and Pyrimidine Derivatives for Antitumor Therapy: News, Perspectives, and Future Directions
 
 
Font Type:
Arial Georgia Verdana
Font Size:
Aa Aa Aa
Line Spacing:
Column Width:
Background:
Article

Arylpiperazinyl-Benzocycloheptapyrrole-Carboxamides Endowed with Dual Anticancer and Antiviral Activities

1
Department of Medicine, Surgery and Pharmacy, University of Sassari, 07100 Sassari, Italy
2
Centro Retrovirus, Department of Translational Research, University of Pisa, 56127 Pisa, Italy
*
Authors to whom correspondence should be addressed.
These authors contributed equally to this work.
Molecules 2025, 30(20), 4052; https://doi.org/10.3390/molecules30204052 (registering DOI)
Submission received: 5 September 2025 / Revised: 30 September 2025 / Accepted: 7 October 2025 / Published: 11 October 2025
(This article belongs to the Special Issue Small Molecule Hybrids for Anticancer and Antiviral Therapy)

Abstract

In this work, we synthesized a small library of tricyclic compounds to assess whether they might have both anticancer and antiviral activity against three viruses that have recently caused epidemics. Concerning their anti-tumour activity, derivative 1 was found to be the compound with the highest GI50 values on some cancer cell line panels. Particularly, in melanoma cell lines, its GI50 values ranged between 1.54 μM (MALME-3M) and 2.03 μM (M14). Several derivatives with considerable anti-tumour activity showed antiviral activity as well, against influenza A virus (e.g., derivative 19, selectivity index of 21.36 in MDCK cells) or against Zika virus (compound 13, selectivity index of 20.20 in Huh-7 cells). Moreover, compounds 13 and 12 showed anti-SARS-CoV-2 activity, with selectivity indices of 150.00 and 63.63, respectively. Compound 1, for its anticancer activity, and 13, for its anti-SARS-CoV-2 activity, together with the compounds active against Zika virus and influenza A virus, are promising candidates for further studies.

1. Introduction

Cancer and viral infections are serious global health problems due to the great number of deaths they cause [1]. Vector-borne viruses, transmitted by mosquitoes or other arthropods, are an example of emerging public health threats: globalization, climate change, and urbanization contribute to the widening distribution of competent vectors, facilitating the circulation of arboviruses [2]. At the same time, modern patterns of mobility and trade accelerate the international spread of pathogens, transforming local outbreaks into global health emergencies. Thus, from influenza pandemics in the early 1900s [3] to more recent ones, such as the spread of Zika virus (ZIKV) [4] and the unprecedented COVID-19 crisis, it has become increasingly evident that viral infections are not isolated medical problems but global concerns [5]. Viral replication and carcinogenic processes share similar biological mechanisms: they both hijack the host cell machinery. In addition, immunosuppressed patients are prone to both cancer and viral infection. Therefore, research on compounds with both anticancer and antiviral mechanisms is likely to yield safer, more effective, and versatile therapies that can be exploited in the clinics.
As part of a research project aimed at identifying new potential chemotherapeutic agents, we synthesized new tricyclic heteroaromatic systems and evaluated their cytotoxicity in vitro against nine different NCI cancer cell lines. Among these new templates, the benzocycloheptapyrrole-carboxamide 1 (Figure 1) proved to be the most promising, showing significant inhibition percentages across different cell lines, as reported below.
To improve the efficacy of the compound, we aimed at investigating the effect of conformational stiffening of the N-ethyl-pyrrolidinmethylamine system of the carboxamide portion of 1, achievable by virtual breaking of the C2–C3 bond of the pyrrolidine ring and simultaneous welding of the methylene carbon of the ethyl residue with amide nitrogen, which led to the synthesis of a series of derivatives with general structure A (Figure 2). Preliminary biological data suggest that this modification allowed it to maintain considerable anticancer activity, although lower compared to derivative 1.
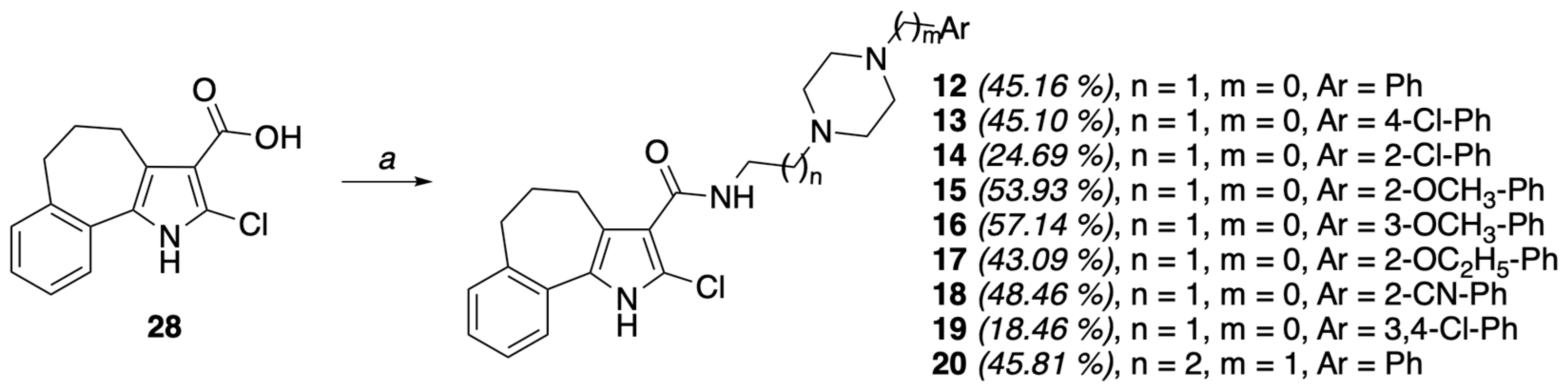
To further evaluate the structural features responsible for the cytotoxic activity against tumour cell lines, carboxamides 29 have been designed again by hypothetical splitting and welding processes involving the piperazine portion of A (Figure 2). A first break in the N1-C2 bond of the piperazine ring of A, followed by welding between the methylene terminal residue of the ethyl chain and the ethylamine bioisostere of the propyl chain, would lead to carboxamides 29 and their structural non-halogenated derivatives 10 and 11. Finally, the effect of the Cl/carboxamide shift on the pyrrole ring was studied by synthesizing isomers 1220 (Figure 2).
Due to their considerable activity against several cancer cell lines, we also evaluated their antiviral activity.
In this work, we report the synthesis and preliminary biological data of compounds listed in Table 1.

2. Results

2.1. Synthesis of Benzo[6,7]cyclohepta[1,2-b]pyrrole-3-carboxamides (111) and isomers 3-chloro-2-carboxamides (1220)

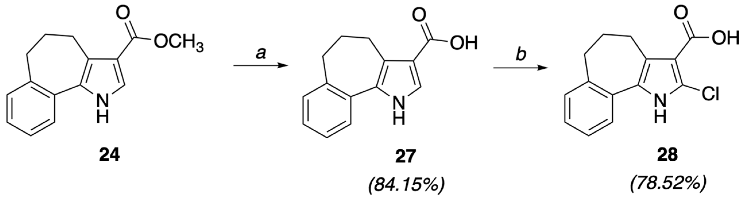
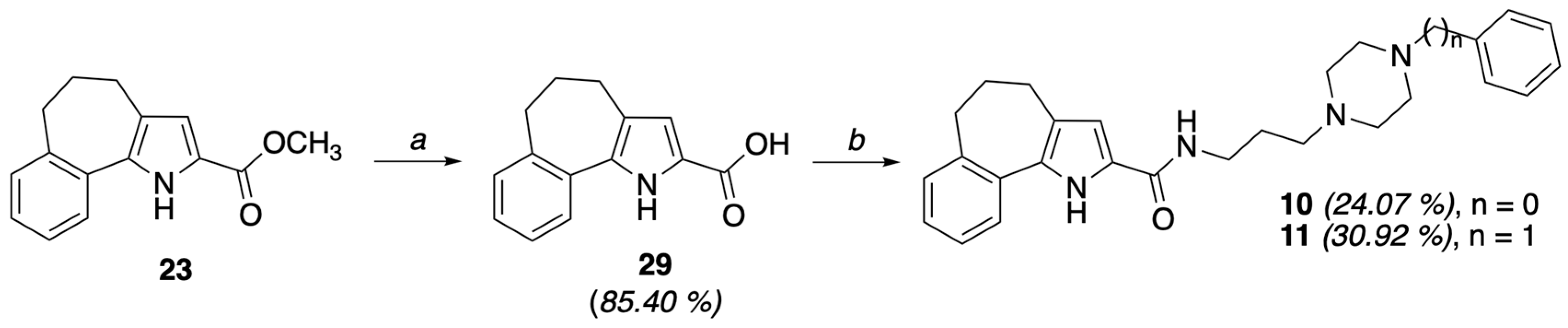
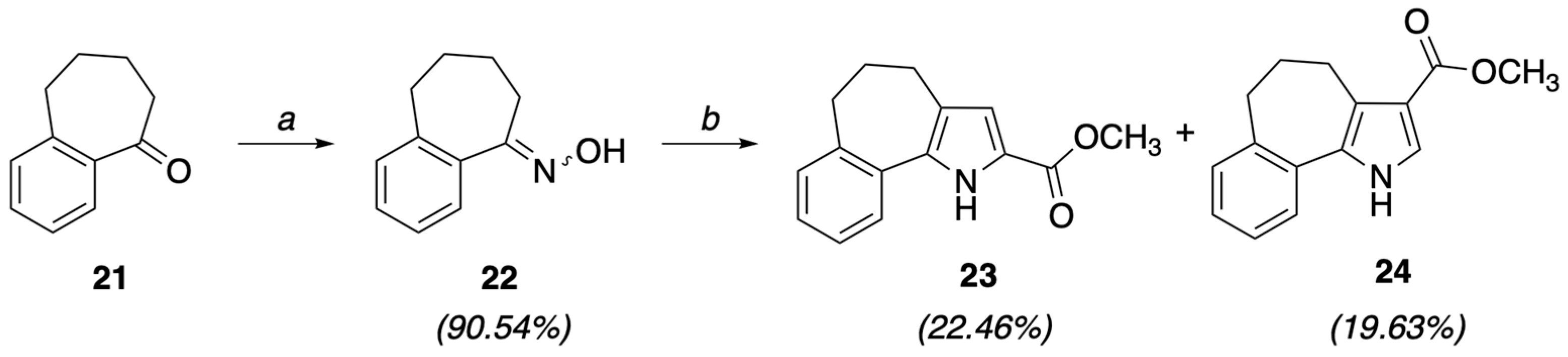
The synthetic route to obtain esters 23 and 24, key intermediates for the synthesis of the two sets of amides 111 and 1220, is reported in Scheme 1. Commercial benzosuberone (21) was reacted with NH2OH and NaOAc in EtOH and H2O to obtain the oxime 22. Then, it was reacted with methyl propiolate in toluene using 1,4-diazabicyclo[2.2.2]octane (DABCO) as a catalyst. The reaction involved two consecutive steps of microwave irradiation: in the former, the mixture was subjected to an irradiation cycle at 80 °C for 10 min with normal absorption to provide the acrylate adduct (not reported in the scheme), which was isolated and characterized only once. Then the acrylate intermediate was irradiated for another 10 min with normal absorption at 170 °C; after flash chromatography purification, esters 23 and 24 were isolated.
The structures of the two esters were determined unequivocally. Previously, we reported the synthesis of 24 by thermal cyclization of O-vinyl oximes [6]. Moreover, by a different synthetic route, we synthesized its α-chloroester analogue by cyclization of a cyano-keto ester intermediate with gaseous HCl and final dehalogenation with HCOONH4 in the presence of Pd/C 10% [7]. The resulting compound showed the same spectroscopic and analytical data as 24, confirming the β-position of the ester group. Therefore, analyzing the spectra of compound 23, we confirmed its structure as the α-isomer of ester 24. To further confirm the two structures, a two-dimensional NOE spectroscopy (NOESY) experiment was carried out (Figures S1 and S2 in the Supplementary Materials). In ester 24, the doublet at 7.50 ppm (with a Jo = 3.2 Hz), corresponding to the hydrogen on the α-position of the pyrrole ring, shows a correlation peak with the pyrrole NH at 8.59 ppm. In isomer 23, the signal for the hydrogen on the β-position appears at 7.50 ppm (with a Jm = 2.8 Hz) and does not correlate with the pyrrole NH.
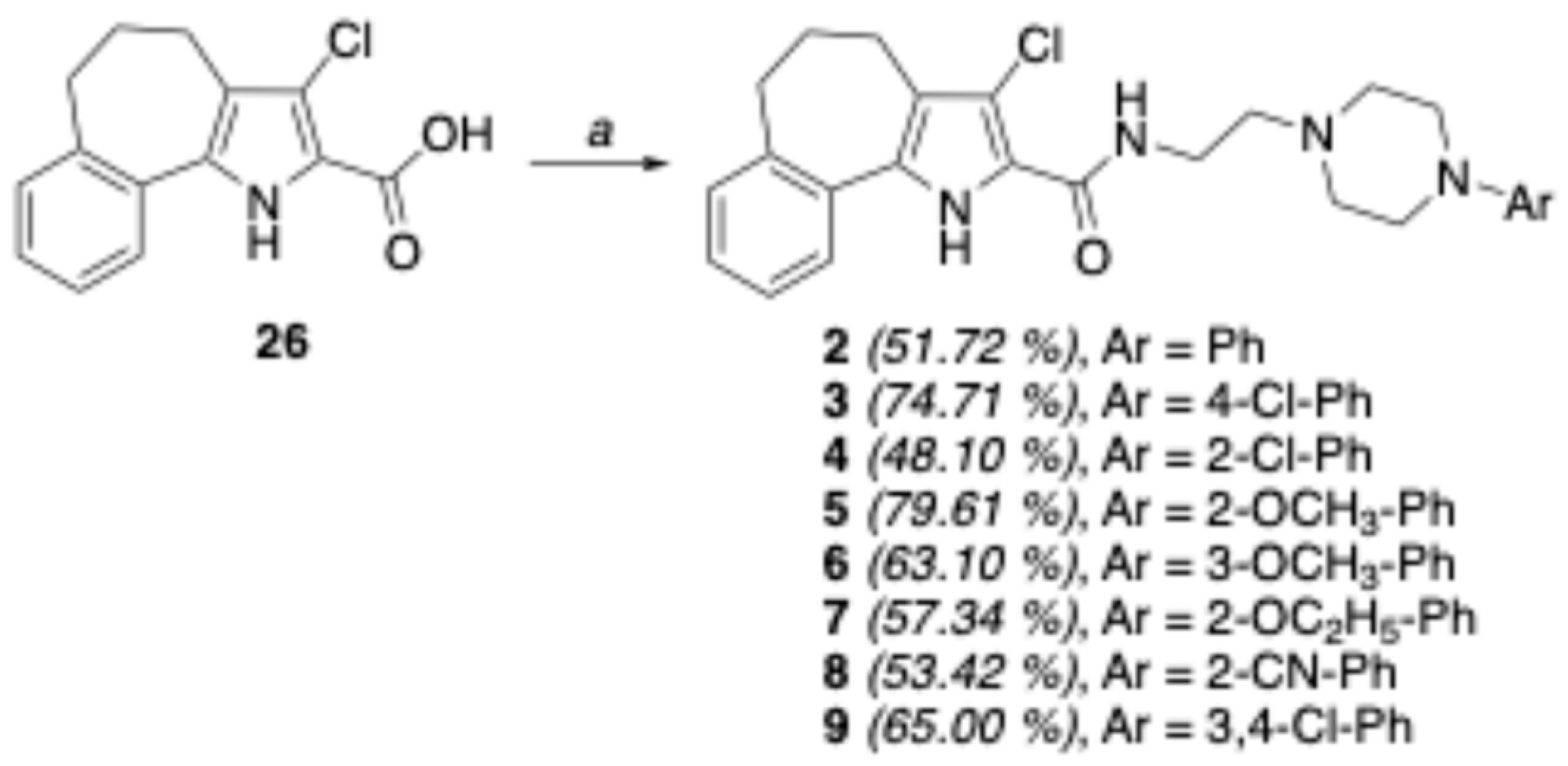
Esters underwent hydrolysis and functionalization as reported in Scheme 2 and Scheme 3. β-Chloroacid 26 (Scheme 2) was synthesized by an initial chlorination of ester 23 with N-chlorosuccinimide (NCS) to chloro-ester 25, then saponification with 10% aqueous NaOH to provide the expected acid 26.
Isomer 28 was obtained as shown in Scheme 3 by inversion of functionalization of the pyrrole moiety of the tricyclic ester 24, via intermediate 27, compared to Scheme 2.
The carboxylic acid 26 served as the starting product for the synthesis of carboxamides 19. The reaction of 26 with 1,1′-carbonyldiimidazole (CDI), 1-hydroxybenzotriazole (HOBt), and (S)-(−)-2-(aminomethyl)-1-ethylpyrrolidine gave compound 1 (Scheme 4).
The synthesis of arylpiperazinyl-alkylamines 3039 is reported in Scheme 5. Nucleophilic substitution between N-(2-bromoethyl)phthalimide 40 or N-(3-bromoproyl)phthalimide 41 and the appropriate aryl-piperazine (4250) in the presence of K2CO3 led to the corresponding isoindoline-1,3-dione derivatives 5160. Microwave-assisted Gabriel’s reaction provided the desired amines 3039.
The synthesis of carboxamides 29 is reported in Scheme 6. Acid 26 was activated with 1-hydroxybenzotriazole (HOBt) and N,N’-dicyclohexylcarbodiimide (DCC), and then the appropriate arylpiperazinyl-ethanamine (3037) was added to give final compounds 29.
A similar synthetic route was used for the synthesis of dechlorinated derivatives, using the dechlorinated analogue of 26, acid 29, as the starting compound, and N4-phenyl-N1-propylamine or its N4-benzyl analogue to give compounds 10 and 11, respectively (Scheme 7).
Carboxamides 1220 were synthesized by a similar synthetic route as described for isomers 211 starting from carboxylic acid 28 (Scheme 8).

2.2. Biology

We first evaluated the cytotoxic activity of tricyclic-pyrrole carboxamides 120 using the NCI-60 cell line panel, representing nine different human cancers: leukemia, melanoma, and cancers of the lung, colon, central nervous system (CNS), ovary, kidney, prostate, and breast (the one-dose graph for compounds 120 is reported in Supplementary Materials, Figures S43–S62). Compounds 1, 5, 10, 11, 17, and 20 satisfied pre-determined threshold inhibition criteria in a minimum number of cell lines; therefore, they were also tested in the full five-dose assay [8] (Figures S63–S68 in the Supplementary Materials).
Next, derivatives 120 were evaluated for their antiviral activity against ZIKV, IAV, and SARS-CoV-2 on the respective permissive cell lines using three 10-fold serial dilutions (from 0.5 to 50 μM) for an initial screening. The toxicity of the compounds at the same concentration was tested on the same cells in parallel. Compounds 12, 13, and 19 showed promising antiviral effects and were further characterized to determine their IC50, CC50, and selectivity index (SI) values.

2.2.1. Anticancer Activity

In general, leukemia, colon cancer, and melanoma were the main cell lines affected by the activity of the new compounds, whereas CNS, ovarian, and prostate cancer were only marginally affected. Eight compounds (1, 5, 10, 11, 17, 18, 19, and 20) showed both a >90% growth inhibition (GI%) and cytotoxicity against several cancer cell lines; nine (4, 6, 7, 8, 12, 13, 14, 15, and 16) elicited 60% to 88% GI% without cytotoxicity, whereas only three were not cytotoxic and showed <60% GI% (2, 3, and 9; data reported in Supplementary Materials).
In the leukemia panel (Table 2), compounds 1, 5, 10, 11, 15, 17, and 20 showed high percentages of GI% ranging from 90.09% (5, SR cell line) to 99.95% (17, K-562 cell line). Compound 1 exhibited the highest GI% values on almost all panels. Except for 15, these seven carboxamides also showed considerable cytotoxicity values on HL-60(TB) cells and, for compounds 10, 11, and 17, on SR, K-562, RPMI-8226, and MCF-7 cells. By contrast, derivatives 7, 8, 12, 13, 14, 16, and 18 showed only modest GI% values.
Three colon cancer cell lines, HCT-116, HCT-15, and HT29, were targeted by compounds 5, 10, 11, and 20, which produced GI% ranging from 91.03% to 99.04% (Table 3). Analogues 1, 7, and 17 also showed high GI% values (>80%), whereas derivatives 6, 12, 13, 14, 15, 16, and 18 showed only low to moderate GI% values (61.27–79.37%). Seven compounds, carboxamides 1, 5, 10, 11, 15, 17, and 20, showed cytotoxicity against several colon cancer cell lines: the most affected were HCC-2998, COLO 205, and HT29, although SW-620 and HCT-116 cell lines also showed sensitivity. Compound 1 was cytotoxic against six cell lines with values ranging from −21.01 (HCC-2998) to −52.66 (HCT-15). High cytotoxicity values in the COLO 205 cell line were also recorded for compounds 10, 11, and 20: −58.03, −58.61, and −59.92, respectively, with compound 20 being the most cytotoxic against the HCC-2998 cell line (−91.84). Moreover, compound 20 showed the highest GI% (99.04%, HCT-15) among the whole series of novel compounds.
Twelve of the compounds tested were shown to be particularly cytotoxic against several melanoma cell lines (Table 4). Compound 20 was cytotoxic against all nine cell lines in the panel, similarly to derivative 1, which, in contrast, showed 85.81% GI% against SK-MEL-2 cells. Both derivatives 10 and 11 elicited 95.25% and 99.73% GI% values against LOX and IMVI, respectively, and cytotoxicity against almost all other cell lines in the melanoma panel. Interestingly, eleven of the twenty compounds tested turned out to be cytotoxic against the SK-MEL-5 cell line, with values ranging from −3.84 (14) to −94.54 (11).
Compounds 5, 10, 11, 18, and 20 elicited GI% ranging from 90.73% to 98.58% in three of the nine cell lines of lung cancer (Table 5), with compound 11 showing the highest GI% value on the NCI-H460 cell line, whereas derivative 1 was the only one that showed cytotoxicity (−54.58) against the same line and, in general, against the whole non-small cell lung cancer panel. On this panel, derivatives 7, 12, and 14 showed only modest GI%.
Ten compounds (1, 10, 11, 13, 14, 15, 17, 18, 19, and 20) showed activity against the breast cancer cell line MDA-MB-468 (Table 6). Four of them (13, 15, 18, and 19) showed high GI% values ranging from 94.16% to 98.72%, and compound 14 also exhibited a high GI% (82.38%) against the same cell line. Five derivatives (1, 10, 11, 17, and 20) showed cytotoxicity against the MDA-MB-468 cell line with values between −3.75 (1) and −52.92 (11). Interestingly, the latter five compounds showed a moderate to high GI% against MCF-7 cells (10, 80.23%; 17, 82.21%; 1, 87.23%; 11, 90.34%; and 20, 95.45%).
Six of them, 11, 13, 15, 18, 19, and 20, showed high GI% values (90.34–98.72%) against MCF7 (11 and 20) and MDA-MB-468 cell lines. Only carboxamide 14 showed a lower GI% value of 82.38%, whereas analogue 15 was the sole one to elicit considerable activity against BT-549.
Nine compounds (1, 5, 10, 11, 14, 15, 17, 18, and 20) showed activity against five renal cancer cell lines (Table 7). In this panel, compound 11 emerged as the most interesting, with a GI% of 91.53% for CAKI-1 cells, although derivatives 1, 5, 10, and 20 showed good GI% values between 83.00% and 89.42% for renal cancer. Analogues 14, 15, 17, and 18 showed only low-to-moderate values (60.70–71.64%). Carboxamide 1 showed cytotoxicity against 786-0 (−22.61) and CAKI-1 (−27.03) cell lines, whereas 10 and 11 were cytotoxic against RXF 393 cells with values of −8.69 and −9.45, respectively.
Finally, the anticancer activity of these carboxamides was assayed against CNS, ovarian, and prostate cancer panels. Concerning the CNS cancer, two compounds resulted in cytotoxicity against the SF-295 cell line, 1 (−24.35) and 11 (−38.81), whereas derivative 10 showed a GI% of 90.84% in the same cells. Other compounds of the series and the other five cell lines assayed gave GI% values < 60%, showing no cytotoxicity.
Ovarian and prostate cancer were not particularly affected by the activity of these derivatives, with compound 15 being the only one with moderate GI% against the ovarian OVCAR-4 (66.06%) and prostate PC-3 (75.11) cell lines.
Due to these preliminary results, six compounds, 1, 5, 10, 11, 17, and 20, were selected for the five-dose screen NCI-programme against the same panel of tumour cell lines [9,10,11,12,13,14,15,16,17].
In Table 8, the GI50 values are reported for compounds 1, 10, 11, and 20 in the five-dose screen for each cell line of the three tumour panels—leukemia, colon cancer, and melanoma—on which they showed GI50 values < 3 μM. This value has been chosen as the threshold for the presentation of results in the text. Other cell line panels and results for derivatives 5 and 17 were not reported because they exceeded this value, except for carboxamide 17 (GI50: 2.57 μM) against RXF 393 renal cancer cells.
Compound 1 exhibited good activity against the leukemia panel (GI50: 1.76 μM–5.96 μM), with values < 3 μM against four of the six cell lines. A similar trend was observed in colon cancer cell lines (GI50: 1.80 μM–3.12 μM) and in eight melanoma cell lines (GI50: 1.54 μM–2.03 μM). The latter cell line was the one in which compound 1 is active, as reported in Table 8. Moreover, derivative 1 showed promising GI50 values on single cell lines of other tumours: 2.03 μM in NCI-H460 (non-small cell lung cancer), 2.68 μM in MDA-MB-468 (breast cancer), 2.29 μM and 2.70 μM on renal cancer cell lines CAKI-1 and RXF 393, respectively, and 1.89 μM in SF-295 (CNS cancer).
Compound 10 showed values ranging from 1.65 μM to 2.78 μM in five melanoma cell lines, whereas it had GI50 values < 3 μM against leukemia and colon cancer: cell lines SR (GI50: 2.29 μM) and K-562 (GI50: 2.58 μM) in the leukemia panel, and COLO 205 (GI50: 1.92 μM) and HCC-2998 (GI50: 2.51 μM) in the colon cancer cell panel. As for compound 1, derivative 10 showed GI50 values < 3 μM in other cell lines, such as 2.93 μM in MDA-MB-468 (breast cancer) and 2.06 μM in RXF 393 (renal cancer).
Concerning derivative 11, it showed GI50 values ranging from 2.20 μM to 2.92 μM in 83% of leukemia cell lines and from 1.72 μM to 2.59 μM in eight out of nine melanoma cell lines. Compound 11 showed the best GI% values compared with compounds 1, 10, and 20 in COLO 205 (GI50: 1.65 μM) and HCC-2998 (GI50: 1.73 μM) colon cancer cell lines. Moreover, 11 showed GI50 values < 3 μM on the following cell lines: HOP-92 (non-small cell lung cancer, 2.72 μM), MDA-MB-468 (MCF-7 (breast cancer, 2.69 and 2.77 μM, respectively), and RXF 393 (renal cancer, 1.96 μM).
Finally, derivative 20 elicited promising GI50 values both on the melanoma and on colon cancer, with a GI50 value of 0.53 μM against the SR leukemia cell line, resulting in the best GI50 value of the whole series of new compounds.
Next, a mean graph midpoint (MG_MD) was calculated [18,19] for compounds 1, 5, 10, 11, 17, and 20 and reported as waterfall graphs GI50, TGI, and LC50 in the Supplementary Materials (Figures S69–S86). In Table 9, we reported the average GI50 for the nine-cancer panels, underlining both the activity and selectivity for compounds 1, 10, 11, and 20. All derivatives showed selectivity against melanoma cell lines. Among them, the best result was obtained for compound 1 with a GI50 value of 2.14 μM. In the same panel, compound 11 showed a GI50 value of 2.34 μM, similarly to 1, whereas derivatives 10 and 20, with GI50 values of 2.95 μM and 3.39 μM, respectively, showed similar selectivity against leukemia as 1 (GI50: 2.82 μM) and 11 (GI50: 2.88 μM).
Finally, Total Growth Inhibition (TGI) and Lethal Concentration 50% (LC50) values are reported in Table 10 for compounds 1, 10, 11 and 20. Except for the SK-MEL-2 cell line, derivative 1 showed both TGI and LC50 values in the range of single-digit micromolar, whereas derivative 11 had similar TGI values only. Compounds 10 and 20 are similar to each other, showing also several single-digit micromolar values both for total GI% and LC50.

2.2.2. Antiviral Activity

We developed a protocol to screen the potential antiviral activity of compounds 120 against ZIKV (strain Brazil) on Huh-7 cells, against an H1N1 IAV strain (PR/8/1934) on MDCK cells, and against SARS-CoV-2 (strain Milano) on Vero-TMPRSS. Each compound was tested in duplicate at concentrations of 50 μM, 5 μM, and 0.5 μM. Treatment was applied immediately after infection, and at 24–48 h post-infection, supernatants were collected to assess viral yield, determined as PFU/mL for ZIKV and SARS-CoV-2 or as TCID50/mL for IAV. The test allowed us to evaluate both the antiviral action and the cytotoxicity of each compound, comparing them with reference compounds, such as sofosbuvir for ZIKV and EIDD-1931 for IAV and SARS-CoV-2 (Supplementary Materials, Figures S87–S89).
From the initial screening, only compound 13 (Figure 3) showed a modest effect against ZIKV in Huh-7 cells, with a selectivity index (SI) of 20.20 (EC50 = 3.08 μM; CC50 = 62.22 μM), indicating limited antiviral potential under the tested conditions. In comparison, sofosbuvir exhibited a markedly higher SI of 178.32 (EC50 = 1.47 μM; CC50 = 261.60 μM).
Similarly, only compound 19 exhibited slight antiviral activity against IAV in MDCK cells (Figure 4) with a selectivity index (SI) of 21.36 (EC50 = 4.31 μM; CC50 = 92.06 μM). In contrast, the reference drug EIDD-1931 exhibited a significantly higher SI of 353.85 (EC50 = 0.39 μM; CC50 = 138.00 μM).
Despite the limited activity observed against ZIKV and IAV, the results obtained with SARS-CoV-2 were quite encouraging. Notably, compounds 12 and 13 emerged as the most promising candidates, exhibiting significant inhibition of viral replication in VERO TMPRSS cells. Compound 12 showed an SI of 63.63 (EC50 = 1.17 μM; CC50 = 74.45 μM), while compound 13 showed an SI of 150.00 (EC50 = 0.66 μM; CC50 = 99.00 μM) (Figure 5). EIDD-1931 was tested as a control, with a SI of 443.60 (EC50 = 0.05 μM; CC50 = 22.18 μM). However, one must bear in mind that only one cell line was tested in this in vitro assay; therefore, the results need to be interpreted with caution.

3. Discussion

The preliminary results from the full NCI 60 cell panel test and antiviral assays suggested some considerations about the relationships between the chemical structure and the activity of the new compounds synthesized.
Firstly, concerning the anti-tumoural activity, we identified compound 1 as the most promising benzocycloheptapyrrole carboxamide with GI% and cytotoxicity on different cell lines. It showed interesting GI% values in almost all cell lines in the leukemia panel. Moreover, compound 1 showed good cytotoxic activity against colon cancer and melanoma cell lines, except for MK12 (colon) and SK-MEL-2 (melanoma). Therefore, we investigated the activity of aryl-piperazines 29, designed as reported above. Phenyl-piperazine 2 and its 4-Cl (3) and 3,4-Cl (9) analogues had poor-to-low activity. The other two compounds, 4 and 8, with electron-withdrawing groups (2-Cl and 2-CN, respectively) showed good activity. The same trend was observed with the introduction of electron-donating (5, 6, and 7) groups, with the 2-OCH3 (5) substituent on the phenyl ring turning out to be the one with the highest anticancer activity. The dechlorination of the pyrrole and the lengthening of the linker between carboxamide and piperazine led to compound 10, bearing a phenyl on the N4-piperazine atom, which, like its benzyl analogue 11, showed interesting effects on the same cell lines affected by 1. Indeed, as for 1, compounds 10 and 11 elicited significant GI% values against several leukemia, colon cancer, and melanoma cell lines, turning out to be cytotoxic for some of them.
We also evaluated the effect of the Cl/carboxamide position exchange on the pyrrole ring in compounds 1220. All compounds exhibited moderate-to-good activity against several cell lines, particularly those bearing a 2-OC2H5 (17), 2-CN (18), and 3,4-Cl (19) group. Interestingly, derivative 20, bearing a propyl linker, showed the highest GI% value among all compounds, with a GI50 of 0.53 μM in the SR leukemia cell line.
Concerning the anti-tumour activity of these carboxamides, derivative 1 showed an MG_MID Log10 GI50 = −5.32, which accounts for the highest micromolar activity against all cell lines, particularly in the leukemia (GI50: 2.82 μM), colon cancer (GI50: 2.34 μM), melanoma (GI50: 2.14 μM), and ovarian cancer panels (GI50: 2.29 μM).
From this preliminary structure–activity relationship (SAR) study, we can conclude that compound 1 has structural features responsible for its promising anticancer activity and that in its piperazinyl-benzocycloheptapyrrole-carboxamide derivatives, the substituents on the phenyl ring do not seem to be as important in both series of compounds of this newly synthesized series.
Concerning the antiviral activity, only three compounds (12, 13, and 19) out of twenty showed interesting effects against emerging RNA viruses, ZIKV and SARS-CoV-2 included in the screening. The three were further characterized to determine their EC50, CC50, and SI and compared with reference antiviral drugs sofosbuvir for ZIKV and EIDD-1931 for both IAV and SARS-CoV-2. Compounds 13 and 19 displayed modest inhibitory activity against ZIKV (SI = 20.20 in Huh-7 cells) and IAV (SI = 21.36 in MDCK cells), respectively. The most notable antiviral activity was observed in the SARS-CoV-2 infection model. Compound 12 showed a good selectivity index (SI) of 63.63 in VERO TMPRSS cells with a good balance between efficacy and cytotoxicity. Even more interestingly, 13 achieved an SI of 150.00, a result that positions it as the most promising candidate antiviral drug in the series. The potent antiviral activity demonstrates the potential for these compounds to be valuable leads for development against SARS-CoV-2.

4. Materials and Methods

4.1. Chemistry

4.1.1. General Methods

All reactions involving air- or moisture-sensitive compounds were performed with atmospheric N2. Solvents and reagents were obtained from commercial suppliers and were used without further purification. Compound 22 [6] was synthesized and identified according to and by comparison with literature. (S)-(−)-2-(aminomethyl)-1-ethylpyrrolidine, bromoalkyl-phtalimides (40 and 41), and aryl piperazines (4250) were purchased.
Microwave-assisted reactions were performed with Microwave Initiator Eight 2.5 (Biotage®, Uppsala, Sweden) in the standard configuration as delivered, including proprietary software. All experiments were carried out in sealed microwave process vials under normal absorption. At the end of the reaction, the vial was cooled to 25 °C by air jet cooling before opening. Reaction temperatures were monitored by an IR sensor on the outside wall of the reaction.
Flash column chromatography purification (FC) was performed automatically on Flash-master (Biotage®, Uppsala, Sweden) with pre-packed Biotage® SNAP silica gel cartridges or manually on silica gel (Kieselgel 60, 0.040−0.063 mm, Merck®, Darmstadt, Germany). Thin-layer chromatography (TLC) was performed with Polygram SIL N-HR/HV254 pre-coated plastic sheets (0.2 mm) on aluminum sheets (Kieselgel 60 F254, Merck®, Darmstadt, Germany). Melting points were obtained on a Köfler melting point apparatus and are uncorrected.
IR spectra were recorded as KBr pellets with a Jasco® (Cremella, Italy) FT/IR 460 plus spectrophotometer after 64 scans at 4 cm−1 resolution and are expressed in ν (cm−1). NMR experiments were recorded at room temperature, and all spectra were recorded on a Varian® (Irvine, CA, USA) XL-200 NMR spectrometer (200 MHz for 1H and 50 MHz for 13C). Spectra were acquired in deuterated chloroform (chloroform-d) as a solvent. Chemical shifts (δ) for 1H-NMR spectra are reported in parts per million (ppm) using the residual non-deuterated solvent resonance as the internal standard (chloroform-d: 7.26 ppm, 1H, and 77.16 ppm, 13C). Data are reported as follows: chemical shift (sorted in descending order), multiplicity (s for singlet, br s for broad singlet, d for doublet, t for triplet, dd for double doublet, q for quadruplet, qu for quintuplet, and m for multiplet), and integration and coupling constants (J) in Hertz (Hz) (Figures S3–S22). Spectroscopic data are in accordance with the structures. LC/MS analyses were run on an Agilent® (Santa Clara, CA, USA) 1100 LC/MSD system consisting of a single quadrupole detector (SQD) mass spectrometer (MS) equipped with an electrospray ionization (ESI) interface and a photodiode array (PDA) detector, range 120−550 nm. ESI in positive mode was applied. Mobile phases: (A) MeOH in H2O (8:2) (Figures S23–S42). Analyses were performed with a flow rate of 0.9 mL/min and a temperature of 350 °C. The purity of all final compounds was determined by elemental analysis on a PerkinElmer® (Waltham, MA, USA) 240B analyzer (C, H, and N). All the final compounds were found to be >95% when analyzed.

4.1.2. Synthesis of Methyl-5,6-dihydro-4H-benzo[6,7]cyclohepta[1,2-b]pyrrole-2-carboxylate (23) and Methyl-5,6-dihydro-4H-benzo[6,7]cyclohepta[1,2-b]pyrrole-3-carboxylate (24)

To a solution of oxime 22 (10.43 mmol) and DABCO (1.04 mmol, 0.1 eq) in toluene (18 mL), methyl propiolate (10.43 mmol, 1 eq) was dropwise added at −5 °C. The solution was brought back to room temperature, then underwent a double microwave irradiation (normal abs) cycle: the first at 80 °C for 10 min, followed by the second at 170 °C for another 10 min. After solvent evaporation by rotavapor, the crude product was purified by FC (petroleum ether/EtOAc 9/1) to give ester 23 with a retention factor (Rf) of 0.237 as a yellow solid (0.56 g, 22.46%), mp = 126–128 °C, 1H NMR (CDCl3) ppm: 2.03–2.08 (m, 2H), 2.78–2.83 (m, 4H), 3.86 (s, 3H), 6.80 (d, 1H, J = 2.8 Hz), 7.18–7.19 (m, 2H), 7.22–7.28 (m, 2H), 7.46 (d, 1H, J = 7 Hz), 9.11 (br s, 1H, NH exch. with D2O); Anal. calcd for C15H15NO2: C, 74.67; H, 6.27; N, 5.81. Found: C, 74.89; H, 6.29; N, 5.83; and 24 with a lower Rf (0.106) as a yellow solid (0.494 g, 19.63%), mp = 166–168 °C, 1H NMR (200 MHz, CDCl3) ppm: 2.02–2.04 (m, 2H), 2.79–2.82 (m, 2H), 3.14 (t, 2H, J = 6.8 Hz), 3.81 (s, 3H), 7.13–7.18 (m, 2H), 7.20–7.25 (m, 1H), 7.34 (d, 1H, J = 7.6 Hz), 7.50 (d, 1H, J = 3.2 Hz), 8.59 (br s, 1H, NH exch. with D2O). Anal. calcd for C15H15NO2: C, 74.67; H, 6.27; N, 5.81. Found: C, 74.93; H, 6.29; N, 5.83.

4.1.3. Methyl 3-chloro-5,6-dihydro-4H-benzo[6,7]cyclohepta[b]pyrrole-2-carboxylate (25)

A solution of 23 (1.76 mmol) and N-chlorosuccinimide (1.94 mmol, 1.1 eq) in chloroform (8 mL) was refluxed for 3 h, then allowed to cool to room temperature and washed with saturated aqueous NaHCO3. The organic phase was dried (Na2SO4) and concentrated to yield a crude product, which trituration with ether gave 25 as a white solid (0.353 g, 72.79%), mp = 160–162 °C, 1H NMR (CDCl3) ppm: 1.98–2.12 (m, 2H), 2.70–2.90 (m, 4H), 3.92 (s, 3H), 7.18–7.50 (m, 4H), 9.01 (br s, 1H, NH exch. with D2O). Anal. calcd for C15H14ClNO2: C, 65.34; H, 5.12; Cl, 12.86; N, 5.08. Found: C, 65.50; H, 5.13; Cl, 12.89; N, 5.09.

4.1.4. 3-Chloro-5,6-dihydro-4H-benzo[6,7]cyclohepta[b]pyrrole-2-carboxylic acid (26)

A mixture of ester 25 (1.09 mmol) in hydro-alcoholic solution (H2O/EtOH 1/2, 10.5 mL) of 2.5 M NaOH was refluxed for 12 h, then poured onto ice. The solution was acidified with concd. HCl and the solid precipitate were filtered, taken up in 5% aqueous NaHCO3 and filtered off. Concentrated HCl was dropwise added to the filtrate to give a white solid, which was filtered and air-dried to give acid 26 as a white solid (0.260 g, 91.72%), mp = 171–173 °C, 1H NMR (CDCl3) ppm: 2.28–2.98 (m, 2H), 2.60–2.90 (m, 4H), 3.89 (br s, 1H, OH exch. with D2O), 7.12–7.60 (m, 4H), 9.16 (br s, 1H, NH exch. with D2O). Anal. calcd for C14H12ClNO2: C, 64.24; H, 4.62; Cl, 13.55; N, 5.35. Found: C, 64.37; H, 4.63; Cl, 13.58; N, 5.36.

4.1.5. General Procedure I: Synthesis of 5,6-dihydro-4H-benzo[6,7]cyclohepta[b]pyrrole-3-carboxylic acid (27) and 5,6-dihydro-4H-benzo[6,7]cyclohepta[b]pyrrole-2-carboxylic acid (29)

To a solution of the appropriate ester 23 or 24 (0.83 mmol) in CH3OH (10 mL), an aqueous 20% solution of NaOH (10 mL) was added, and the mixture was refluxed for 9 h. The resulting solution was poured onto ice and concentrated HCl was added. The resulting precipitate was filtered and air-dried to give the corresponding acid. Acid 27 (from 24) as a beige solid (0.159 g, 84.15%), mp = 218–220 °C, 1H NMR (CDCl3) ppm: 1.58 (br. s, 1H, OH exch. with D2O), 1.99–2.10 (m, 2H), 2.80 (t, 2H, J = 5.0 Hz), 3.11 (t, 2H, J = 7.2 Hz), 7.16–7.20 (m, 2H), 7.33–7.38 (m, 2H), 7.59–7.63 (m, 1H), 8.53 (br. s, 1H, NH exch. with D2O). Anal. calcd for C14H13NO2: C, 73.99; H, 5.77; N, 6.16. Found: C, 74.25; H, 5.79; N, 6.18. Acid 29 (from 23) as a white solid (0.161 g, 84.15%), mp = 198–200 °C, 1H NMR (CDCl3) ppm: 2.02–2.04 (m, 2H), 2.75–2.80 (m, 4H), 3.80 (br. s, 1H, OH exch. with D2O), 6.90 (d, 1H, J = 1.6 Hz), 7.17–7.24 (m, 3H), 7.43 (d, 1H, J = 7.6 Hz), 9.14 (br. s, 1H, NH exch. with D2O). Anal. calcd for C14H13NO2: C, 73.99; H, 5.77; N, 6.16. Found: C, 74.24; H, 5.79; N, 6.17.

4.1.6. 2-Chloro-5,6-dihydro-4H-benzo[6,7]cyclohepta[b]pyrrole-3-carboxylic acid (28)

A solution of 27 (2.07 mmol) and N-chlorosuccinimide (2.48 mmol, 1.2 eq) in chloroform (12 mL) was refluxed for 4 h, then allowed to cool to room temperature and extracted with saturated aqueous NaHCO3. The aqueous solution was acidified with concentrated HCl. And the precipitate was filtered, washed (H2O), and air-dried to yield 25 as a grey solid (0.424 g, 78.52%), mp = 188–190 °C, 1H NMR (CDCl3) ppm: 1.68 (br. s, 1H, OH exch. with D2O), 1.98–2.10 (m, 2H), 2.80 (t, 2H, J = 5.0 Hz); 3.11 (t, 2H, J = 7.2 Hz), 7.16–7.20 (m, 2H); 7.26–7.31 (m, 2H); 8.48 (br. s, 1H, NH exch. with D2O). Anal. calcd for C14H12ClNO2: C, 64.24; H, 4.62; Cl, 13.55; N, 5.35. Found: C, 64.10; H, 4.61; Cl, 13.51; N, 5.33.

4.1.7. (S)-3-Chloro-N-(1-ethyl-2-pyrrolidinylmethyl)-5,6-dihydro-4H-benzo[6,7]cyclohepta[1,2-b]pyrrol-2-carboxamide (1)

To a stirred solution of 26 (0.38 mmol) in CH2Cl2 (1 mL) were added CDI (0.41 mmol, 1.1 eq) and HOBt (0.41 mmol, 1.1 eq). After stirring the reaction mixture at room temperature for 1.5 h, (S)-(−)-2-(aminomethyl)-1-ethylpyrrolidine (0.38 mmol, 1 eq) was added and stirring continued for 12 h. The reaction mixture was filtered on Celite® and the filtrate evaporated. The crude residue was taken up with EtOAc and washed (saturated aqueous NaCl). The organic phase was dried (Na2SO4) and evaporated to give a crude product, which was purified by flash chromatography (CHCl3/CH3OH 9/1) to give pure title compound 1 as a beige solid (0.091 g, 64.53%), mp = 136–139 °C, 1H NMR (CDCl3) ppm: 1.15 (t, 3H, J = 7.2 Hz), 1.60–1.90 (m, 4H), 1.99–2.15 (m, 2H), 2.16–2.38 (m, 2H), 2.72–2.95 (m, 6H), 3.22–3.411 (m, 2H), 3.66–3.80 (m, 1H), 7.17–7.26 (m, 3H), 7.50 (d, 1H, J = 7.6 Hz), 7.58 (br s, 1H, NH exch. with D2O), 9.43 (br s, 1H, exch. with D2O). 13C NMR (CDCl3) ppm: 14.20 (CH3), 23.07 (CH2), 25.31 (CH2 × 2), 26.42 (CH2), 28.47 (CH2), 34.76 (CH2), 40.95 (CH2), 48.18 (CH2), 53.56 (CH), 113.75 (C), 118.03 (C), 121.04 (CH), 124.66 (CH), 126.06 (CH), 127.27 (C), 129.27 (C), 129.69 (CH), 130.25 (C), 141.38 (C), 160.10 (C). MS (ESI): C21H26ClN3O requires m/z 371.18, found 372.18 [M+H]+. C21H26ClN3O: C, 67.82; H, 7.05; Cl, 9.53; N, 11.30. Found: C, 67.58; H, 6.96; Cl, 9.51; N, 11.27.

4.1.8. General Procedure II: Synthesis of N-(2-(4-arylpiperazin-1-yl)ethyl)phtalimides 5158 and N-(3-(4-arylpiperazin-1-yl)propyl) phtalimides 59 and 60

To a solution of N-bromoalkylphtalimide 40 or 41 (1.23 mmol) in anhydrous DMF (3.8 mL) were added the appropriate aryl-piperazine (4250) (1 eq) and K2CO3 (2.5 eq): the suspension underwent microwave irradiation (normal abs) at 55 °C for 2 h, then was poured onto water, and the crude precipitate was taken up in EtOAc. The solution was washed (H2O), dried (Na2SO4), and concentrated to give a crude product, which was purified by FC to yield the N-(arylpiperazin-1-yl)alkyl)phtalimides 5160.

4.1.9. N-(2-(4-Phenylpiperazin-1-yl)ethyl)phtalimide (51)

The title compound was prepared from 40 and 1-phenylpiperazine (42) using the general procedure II to afford 51 as a pale yellow solid (0.317 g, 53.46%), after FC purification (petroleum ether/EtOAc 8/2), mp = 152–155 °C, 1H NMR (CDCl3) ppm: 2.60–2.80 (m, 6H), 3.13 (t, 4H, J = 5.0 Hz), 3.87 (t, 2H, J = 6.6 Hz), 6.78–6.93 (m, 3H), 7.19–7.28 (m, 2H), 7.67–7.75 (m, 2H), 7.80–7.88 (m, 2H). Anal. calcd for C20H21N3O2: C, 71.62; H, 6.31; N, 12.53. Found: C, 71.44; H, 6.29; N, 12.50.

4.1.10. N-(2-(4-(4-Chlorophenyl)piperazin-1-yl)ethyl)phtalimide (52)

The title compound was prepared from 40 and 1-(4-chlorophenyl)piperazine (43) using the general procedure II to afford 52 as a pale yellow solid (0.061 g, 13.37%), after FC purification (petroleum ether/EtOAc 8/2, then CHCl3/CH3OH 9.8/0.2), mp = 165–167 °C, 1H NMR (CDCl3) ppm: 2.63–2.74 (m, 6H), 3.09 (t, 4H, J = 5.2 Hz), 3.86 (t, 2H, J = 6.6 Hz), 6.81 (d, 2H, J = 9.2 Hz), 7.17 (d, 2H, J = 9.0 Hz), 7.68–7.73 (m, 2H), 7.80–7.88 (m, 2H). Anal. calcd for C20H20ClN3O2: C, 64.95; H, 5.45; Cl, 9.85; N, 11.36. Found: C, 65.14; H, 5.47; Cl, 9.88; N, 11.39.

4.1.11. N-(2-(4-(2-Chlorophenyl)piperazin-1-yl)ethyl)phtalimide (53)

The title compound was prepared from 40 and 1-(2-chlorophenyl)piperazine (44) using the general procedure II to afford 53 as a white solid (0.138 g, 30.34%), after FC purification (petroleum ether/EtOAc 7/3), mp = 106–109 °C, 1H NMR (CDCl3) ppm: 2.63–2.74 (m, 6H), 2.96–3.10 (m, 4H), 3.87 (t, 2H, J = 6.6 Hz), 6.89–7.31 (m, 2H), 7.18 (dd, 1H, Jo = 7.4 Hz, Jm = 1.6 Hz), 7.34 (dd, 1H, Jo = 7.6 Hz, Jm = 1.6 Hz), 7.65–7.77 (m, 2H), 7.82–7.90 (m, 2H). Anal. calcd for C20H20ClN3O2: C, 64.95; H, 5.45; Cl, 9.85; N, 11.36. Found: C, 64.82; H, 5.44; Cl, 9.82; N, 11.34.

4.1.12. N-(2-(4-(2-Methoxyphenyl)piperazin-1-yl)ethyl)phtalimide (54)

The title compound was prepared from 40 and 1-(2-methoxyphenyl)piperazine (45) using the general procedure II to afford 54 as a white solid (0.163 g, 36.20%), after FC purification (petroleum ether/EtOAc 1/1), mp = 115–117 °C, 1H NMR (CDCl3) ppm: 2.56–2.76 (m, 2H), 2.99–3.10 (m, 4H), 3.85 (s, 3H), 3.86–3.91 (m, 2H), 6.84–6.96 (m, 4H), 7.67–7.74 (m, 2H), 7.80–7.90 (m, 2H). Anal. calcd for C21H23N3O3: C, 69.02; H, 6.34; N, 11.50. Found: C, 61.90; H, 6.33; N, 11.48.

4.1.13. N-(2-(4-(3-Methoxyphenyl)piperazin-1-yl)ethyl)phtalimide (55)

The title compound was prepared from 40 and 1-(3-methoxyphenyl)piperazine (46) using the general procedure II to afford 55 as a yellow solid (0.186 g, 41.20%), after FC purification (petroleum ether/EtOAc 1/1), mp = 110–112 °C, 1H NMR (CDCl3) ppm: 2.62–2.75 (m, 6H), 3.13 (t, 4H, J = 4.8 Hz), 3.78 (s, 3H), 3.86 (t, 2H, J = 6.6 Hz), 6.33–6.45 (m, 2H), 6.46–6.54 (m, 1H), 7.15 (t, 1H, J = 8.2 Hz), 7.66–7.76 (m, 2H), 7.80–7.90 (m, 2H). Anal. calcd for C21H23N3O3: C, 69.02; H, 6.34; N, 11.50. Found: C, 61.83; H, 6.32; N, 11.46.

4.1.14. N-(2-(4-(2-Ethoxyphenyl)piperazin-1-yl)ethyl)phtalimide (56)

The title compound was prepared from 40 and 1-(2-ethoxyphenyl)piperazine (47) using the general procedure II to afford 56 as a yellow solid (0.100 g, 19.70%), after FC purification (CHCl3/CH3OH 98/2), mp = 102–105 °C, 1H NMR (CDCl3) ppm: 1.45 (t, 3H, J = 6.8 Hz), 2.65–2.76 (m, 6H), 3.00–3.20 (m, 4H), 3.87 (t, 2H, J = 6.6 Hz), 4.05 (q, 2H, J = 7.2 Hz), 6.80–6.97 (m, 4H), 7.66–7.79 (m, 2H), 7.84–7.92 (m, 2H). Anal. calcd for C22H25N3O3: C, 69.64; H, 6.64; N, 11.07. Found: C, 69.85; H, 6.66; N, 11.10.

4.1.15. 4-(4-(2-(Phtalimido)ethyl)piperazin-1-yl)benzonitrile (57)

The title compound was prepared from 40 and 2-(piperazin-1-yl)benzonitrile (48) using the general procedure II to afford 57 as an orange solid (0.171 g, 33.46%), after FC purification (petroleum ether/EtOAC 6/4), mp = 111–113 °C, 1H NMR (CDCl3) ppm: 2.69–2.77 (m, 6H), 3.14–3.19 (m, 4H), 3.86 (t, 2H, J = 6.6 Hz), 6.90–7.10 (m, 2H), 7.44 (dd, 1H, Jo = 9.6 Hz, Jm = 1.6 Hz), 7.54 (dd, 1H, Jo = 8.0 Hz, Jm = 1.6 Hz), 7.68–7.78 (m, 2H), 7.80–7.90 (m, 2H). Anal. calcd for C21H20N4O2: C, 69.98; H, 5.59; N, 15.55. Found: C, 69.84; H, 5.58; N, 15.52.

4.1.16. N-(2-(4-(3,4-Dichlorophenyl)piperazin-1-yl)ethyl)phtalimide (58)

The title compound was prepared from 40 and 1-(3,4-dichlorophenyl)piperazine (49) using the general procedure II to afford 58 as a white solid (0.170 g, 34.26%), after FC purification (petroleum ether/EtOAC 7/3), mp = 165–168 °C, 1H NMR (CDCl3) ppm: 2.68 (dt, 6H, J = 5.2 Hz), 3.10 (dt, 4H, J = 5.2 Hz), 3.86 (t, 2H, J = 6.1 Hz), 6.71 (dd, 1H, Jo = 9 Hz, Jm = 3.0 Hz), 6.92 (d, 1H, J = 3.0 Hz), 7.22 (s, 1H), 7.67–7.76 (m, 2H), 7.80–7.90 (m, 2H). Anal. calcd for C20H19Cl2N3O2: C, 59.42; H, 4.74; Cl, 17.54; N, 10.39. Found: C, 59.54; H, 4.83; Cl, 17.57; N, 10.41.

4.1.17. N-(2-(4-Phenylpiperazin-1-yl)propyl)phtalimide (59)

The title compound was prepared from 41 and 1-phenylpiperazine (42) using the general procedure II to afford 59 as a pale yellow solid (0.392 g, 91.14%), after trituration with petroleum ether, mp = 117–119 °C, 1H NMR (CDCl3) ppm: 1.91 (qu, 2H, J = 6.8 Hz), 2.48 (t, 2H, J = 6.8 Hz), 2.54 (t, 4H, J = 4.8 Hz), 3.04 (t, 4H, J = 4.8 Hz), 3.79 (t, 2H, J = 6.8 Hz), 6.81–6.87 (m, 3H), 7.21–7.26 (m, 2H), 7.68–7.70 (m, 2H), 7.82–7.84 (m, 2H). Anal. calcd for C21H23N3O2: C, 72.18; H, 6.63; N, 12.03. Found: C, 72.32; H, 6.64; N, 12.05.

4.1.18. N-(2-(4-Benzylpiperazin-1-yl)propyl)phtalimide (60)

The title compound was prepared from 41 and 1-benzylpiperazine (50) using the general procedure II to afford 60 as a yellow solid (0.424 g, 94.21%), after trituration with petroleum ether, mp = 132–135 °C, 1H NMR (CDCl3) ppm: 1.86 (qu, 2H, J = 6.8 Hz), 2.34–2.43 (m, 10H), 3.40 (s, 2H), 3.75 (t, 2H, J = 6.8 Hz), 6.81–6.87 (m, 3H), 7.21–7.26 (m, 2H), 7.68–7.70 (m, 2H), 7.82–7.84 (m, 2H). Anal. calcd for C22H25N3O2: C, 72.70; H, 6.93; N, 11.56. Found: C, 72.55; H, 6.92; N, 11.54.

4.1.19. General Procedure III: Synthesis of amino-alkylaryl-piperazines 3039

To a solution of phtalimide (5160) (0.724 mmol) in EtOH (3 mL) was added NH2NH2·H2O (5.2 eq), and the resulting solution was reacted under microwave irradiation (abs. low) at 80 °C for 20 min. The resulting suspension was filtered and then washed with EtOH, whose evaporation gave a residue, washed with EtOAc, and filtered. The organic solution was then dried (Na2SO4) and evaporated, providing a crude product that, purified by FC with an appropriate mixture of eluents, allowed us to obtain the desired amine (3039).

4.1.20. 2-(4-Phenylpiperazin-1-yl)ethyl-1-amine (30)

The title compound was prepared from 51 using the general procedure III to afford 30 as a hygroscopic brown solid (0.058 g, 33.14%), after FC purification (CHCl3/CH3OH 9/1), mp = 90–95 °C, 1H NMR (CDCl3) ppm: 1.71 (br s, 2H, NH2 exch. with D2O), 2.50 (t, 2H, J = 5.8 Hz), 2.59–2.66 (m, 4H), 2.85 (t, 2H, J = 6.6 Hz), 3.17–3.25 (m, 4H), 6.80–6.97 (m, 3H), 7.21–7.33 (m, 2H). Anal. calcd for C12H19N3: C, 70.20; H, 9.33; N, 20.47. Found: C, 70.27; H, 9.34; N, 20.49.

4.1.21. 2-(4-(4-Chlorophenyl)piperazin-1-yl)ethyl-1-amine (31)

The title compound was prepared from 52 using the general procedure III to afford 31 as a hygroscopic pink solid (0.169 g, 84.54%), after FC purification (CHCl3/CH3OH 8/2), mp = 56–58 °C, 1H NMR (CDCl3) ppm: 1.69 (br s, 2H, NH2 exch. with D2O), 2.49 (t, 2H, J = 6.2 Hz), 2.55–2.65 (m, 4H), 2.84 (t, 2H, J = 6.0 Hz), 3.11–3.21 (m, 4H), 6.79–6.89 (m, 3H), 7.17–7.27 (m, 2H). Anal. calcd for C12H18ClN3: C, 60.12; H, 7.57; Cl, 14.79; N, 17.53. Found: C, 60.00; H, 7.55; Cl, 14.76; N, 17.49.

4.1.22. 2-(4-(2-Chlorophenyl)piperazin-1-yl)ethyl-1-amine (32)

The title compound was prepared from 53 using the general procedure III to afford 32 as a hygroscopic pink solid (0.159 g, 79.71%), after FC purification (CHCl3/CH3OH 8/2), mp = 98–100 °C, 1H NMR (CDCl3) ppm: 1.80 (br s, 2H, NH2 exch. with D2O), 2.51 (t, 2H, J = 6.0 Hz), 2.62–2.68 (m, 4H), 2.85 (t, 2H, J = 6.0 Hz), 2.99–3.11 (m, 4H), 6.95–7.07 (m, 2H), 7.23 (dd, 1H, Jo = 8.6 Hz, Jm = 1.6 Hz), 7.36 (dd, 1H, Jo = 7.8 Hz, Jm = 1.4 Hz). Anal. calcd for C12H18ClN3: C, 60.12; H, 7.57; Cl, 14.79; N, 17.53. Found: C, 60.30; H, 7.59; Cl, 14.83; N, 17.58.

4.1.23. 2-(4-(2-Methoxyphenyl)piperazin-1-yl)ethyl-1-amine (33)

The title compound was prepared from 54 using the general procedure III to afford 33 as a hygroscopic pink solid (0.111 g, 56.25%), after FC purification (CHCl3/CH3OH 9/1), mp = 61–64 °C, 1H NMR (CDCl3) ppm: 1.65 (br s, 2H, NH2 exch. with D2O), 2.50 (t, 2H, J = 6.4 Hz), 2.60–2.70 (m, 4H), 2.84 (t, 2H, J = 6.4 Hz), 2.99–3.10 (m, 4H), 3.79 (s, 3H), 6.83–6.89 (m, 1H), 6.90–7.10 (m, 1H). Anal. calcd for C13H21N3O: C, 66.35; H, 8.99; N, 17.86. Found: C, 66.42; H, 9.00; N, 17.88.

4.1.24. 2-(4-(3-Methoxyphenyl)piperazin-1-yl)ethyl-1-amine (34)

The title compound was prepared from 55 using the general procedure III to afford 34 as a hygroscopic pink solid (0.130 g, 66.24%), after FC purification (CHCl3/CH3OH 8/2), mp = 62–65 °C, 1H NMR (CDCl3) ppm: 1.91 (br s, 2H, NH2 exch. with D2O), 2.48 (t, 2H, J = 5.8 Hz), 2.56–2.63 (m, 4H), 2.84 (t, 2H, J = 6.2 Hz), 3.10–3.23 (m, 4H), 3.79 (s, 3H), 6.38–6.50 (m, 2H), 6.54 (d, 1H, J = 8.6 Hz), 7.17 (t, 1H, J = 8.0 Hz). Anal. calcd for C13H21N3O: C, 66.35; H, 8.99; N, 17.86. Found: C, 66.22; H, 8.97; N, 17.82.

4.1.25. 2-(4-(2-Ethoxyphenyl)piperazin-1-yl)ethyl-1-amine (35)

The title compound was prepared from 56 using the general procedure III to afford 35 as a hygroscopic pink solid (0.179 g, 86.57%), after FC purification (CHCl3/CH3OH 9/1), mp = 55–58 °C, 1H NMR (CDCl3) ppm: 1.46 (t, 3H, J = 7.0 Hz), 1.83 (br s, 2H, NH2 exch. with D2O), 2.50 (t, 2H, J = 6.0 Hz), 2.61–2.70 (m, 4H), 2.85 (t, 2H, J = 6.4 Hz), 3.10–3.21 (m, 4H), 4.07 (q, 2H, J = 6.8 Hz), 6.82–6.97 (m, 4H). Anal. calcd for C14H23N3O: C, 67.43; H, 9.30; N, 16.85. Found: C, 67.30; H, 9.28; N, 16.82.

4.1.26. 4-(4-(2-Aminoethyl)piperazin-1-yl)benzonitrile (36)

The title compound was prepared from 57 using the general procedure III to afford 36 as a hygroscopic yellow solid (0.179 g, 86.98%), after FC purification (CHCl3/CH3OH 9/1), mp = 72–75 °C, 1H NMR (CDCl3) ppm: 1.60 (br s, 2H, NH2 exch. with D2O), 2.52 (t, 2H, J = 6.2 Hz), 2.60–2.71 (m, 4H), 2.84 (t, 2H, J = 6.0 Hz), 3.20–3.29 (m, 4H), 6.96–7.04 (m, 2H), 7.44–7.59 (m, 2H). Anal. calcd for C13H18N4: C, 67.80; H, 7.88; N, 24.33. Found: C, 67.94; H, 7.90; N, 24.38.

4.1.27. 2-(4-(3,4-Dichlorophenyl)piperazin-1-yl)ethyl-1-amine (37)

The title compound was prepared from 58 using the general procedure III to afford 37 as a hygroscopic pink solid (0.108 g, 48.25%), after FC purification (CHCl3/CH3OH 8/2), mp = 89–92 °C, 1H NMR (CDCl3) ppm: 1.60 (br s, 2H, NH2 exch. with D2O), 2.48 (t, 2H, J = 6.2 Hz), 2.55–2.65 (m, 4H), 2.84 (t, 2H, J = 5.8 Hz), 3.13–3.21 (m, 4H), 6.74 (dd, 1H, Jo = 8.6 Hz, Jm = 2.4 Hz), 6.95 (d, 1H, J = 2.4 Hz), 7.22–7.30 (m, 1H). Anal. calcd for C12H17Cl2N3: C, 52.57; H, 6.25; Cl, 25.86; N, 15.33. Found: C, 52.62; H, 6.26; Cl, 25.89; N, 15.34.

4.1.28. 2-(4-Phenylpiperazin-1-yl)propyl-1-amine (38)

The title compound was prepared from 59 using the general procedure III to afford 38 as a white solid (0.109 g, 68.55%), after FC purification (CHCl3/CH3OH 8/2), mp = 101–103 °C, 1H NMR (CDCl3) ppm: 1.45 (br s, 2H, NH2 exch. with D2O), 1.65–1.69 (m, 2H), 2.46 (t, 2H, J = 5.6 Hz), 2.59–2.62 (m, 4H), 2.78 (t, 2H, J = 5.6 Hz), 3.19–3.21 (m, 4H), 6.85 (t, 1H, J = 7.2 Hz), 6.93 (d, 2H, J = 7.2 Hz), 7.26 (t, 2H, J = 7.6 Hz). Anal. calcd for C13H21N3: C, 71.19; H, 9.65; N, 19.16. Found: C, 71.33; H, 9.67; N, 19.20.

4.1.29. 2-(4-Benzylpiperazin-1-yl)propyl-1-amine (39)

The title compound was prepared from 60 using the general procedure III to afford 39 as an oil (0.092 g, 54.78%), after trituration with petroleum ether, 1H NMR (CDCl3) ppm 1.59–1.66 (m, 4H), 1.59–1.66 (m, 4H), 2.37 (t, 2H, J = 5.8 Hz), 2.40–2.47 (m, 6H), 2.73 (t, 2H, J = 5.2 Hz), 7.24–7.2316 (m, 5H). Anal. calcd for C14H23N3: C, 72.06; H, 9.93; N, 18.01. Found: C, 72.20; H, 9.95; N, 18.05.

4.1.30. General Procedure IV: Synthesis of carboxamides 220

Carboxamides 220 were prepared starting from the appropriate acid 26, 28, or 29 (0.38 mmol) and aryl-piperazin-alkyl amines 3039, as above reported for compound 1. The purification of the crude product by FC yielded the desired final compounds 220.

4.1.31. 3-Chloro-N-(2-(4-phenylpiperazin-1-yl)ethyl)-1,4,5,6-tetrahydrobenzo[6,7]cyclohepta[1,2-b]pyrrole-2-carboxamide (2)

The title compound was prepared from acid 26 and 2-(4-phenylpiperazin-1-yl)ethyl-1-amine (30) using the general procedure IV to afford 2 as a beige solid (0.088 g, 51.72%), after FC purification (CHCl3/CH3OH 95/5), mp = 201–203 °C, 1H NMR (CDCl3) ppm: 1.98–2.10 (m, 2H), 2.68–2.80 (m, 10H), 3.20–3.30 (m, 4H), 3.55–3.65 (m, 2H), 6.84–6.90 (m, 1H), 6.95 (d, 1H, J = 7.8 Hz), 7.17–7.19 (m, 2H), 7.23–7.31 (m, 3H), 7.48 (d, 1H, J = 7.6 Hz), 7.58 (br s, 1H, exch. with D2O), 9.26 (br s, 1H, exch. with D2O). 13C NMR (CDCl3) ppm: 25.81 (CH2), 26.57 (CH2), 34.66 (CH2), 36.01 (CH2), 49.29 (CH2 × 2), 52.67 (CH2 × 2), 55.95 (CH2), 115.98 (CH × 2), 117.99 (CH × 2), 119.72 (C), 120.96 (CH), 125.01 (C), 126.46 (C), 127.20 (C), 129.08 (CH), 129.60 (CH), 130.30 (C), 141.34 (CH), 141.48 (C), 151.17 (CH), 159.78 (C). MS (ESI): C26H29ClN4O requires m/z 448.20, found 449.21 [M+H]+. Anal. calcd for C26H29ClN4O: C, 69.55; H, 6.51; Cl, 7.90; N, 12.48. Found: C, 69.51; H, 6.50; Cl, 7.89; N, 12.50.

4.1.32. 3-Chloro-N-(4-(4-chlorophenyl)piperazin-1-yl)ethyl)-1,4,5,6-tetrahydrobenzo[6,7]cyclohepta[1,2-b]pyrrole-2-carboxamide (3)

The title compound was prepared from acid 26 and 2-(4-(4-chlorophenyl)piperazin-1-yl)ethyl-1-amine (31) using the general procedure IV to afford 3 as a beige solid (0.137 g, 74.71%), after FC purification (CHCl3/CH3OH 99/1), mp = 193–195 °C, 1H NMR (CDCl3) ppm: 1.99–2.10 (m, 2H), 2.65–2.79 (m, 10H), 3.14–3.21 (m, 4H), 3.55–3.64 (m, 2H), 6.86 (d, 2H, J = 9.0 Hz), 7.17–7.20 (m, 3H), 7.21–7.26 (m, 3H), 7.29–7.32 (m, 1H), 7.47 (d, 1H, J = 8.6 Hz), 7.50 (br s, 1H, NH exch. with D2O), 9.31 (br s, 1H, exch. with D2O). 13C NMR (CDCl3) ppm: 24.92 (CH2), 25.82 (CH2), 33.92 (CH2), 36.00 (CH2), 49.33 (CH2 × 2), 52.54 (CH2 × 2), 55.95 (CH2), 113.63 (C), 117.18 (CH × 2), 118.00 (CH × 2), 120.99 (C), 124.53 (C), 124.83 (C), 126.54 (C), 127.29 (C), 128.91 (CH × 2), 129.66 (C), 130.23 (C), 141.37 (CH), 149.77 (CH), 159.75 (C). MS (ESI): C26H28Cl2N4O requires m/z 482.16; found 483.17 [M+H]+. Anal. calcd for C26H28Cl2N4O: C, 64.60; H, 5.84; Cl, 14.67; N, 11.59. Found: C, 64.59; H, 5.83; Cl, 14.65; N, 11.48.

4.1.33. 3-Chloro-N-(4-(2-chlorophenyl)piperazin-1-yl)ethyl)-1,4,5,6-tetrahydrobenzo[6,7]cyclohepta[1,2-b]pyrrole-2-carboxamide (4)

The title compound was prepared from acid 26 and 2-(4-(2-chlorophenyl)piperazin-1-yl)ethyl-1-amine (32) using the general procedure IV to afford 4 as a beige solid (0.088 g, 48.10%), after FC purification (CHCl3/CH3OH 99/1), mp = 169–171 °C, 1H NMR (CDCl3) ppm: 1.99–2.13 (m, 2H), 2.64–2.85 (m, 10H), 3.08–3.14 (m, 4H), 3.54–3.62 (m, 2H), 6.95–7.02 (m, 1H), 7.06 (d, 1H, J = 8.0 Hz), 7.08–7.17 (m, 2H), 7.20–7.30 (m, 2H), 7.36 (d, 1H, J = 7.8 Hz), 7.49 (d, 1H, J = 7.6 Hz), 7.59 (br s, 1H, exch. with D2O), 9.33 (br s, 1H, NH exch. with D2O). 13C NMR (CDCl3) ppm: 25.85 (CH2), 26.56 (CH2), 34.66 (CH2), 36.05 (CH2), 51.39 (CH2 × 2), 52.82 (CH2 × 2), 55.96 (CH2), 113.57 (C), 120.28 (CH), 120.93 (CH), 120.95 (C), 123.64 (C), 124.96 (C), 126.50 (CH), 127.22 (CH), 127.52 (CH), 128.67 (CH), 129.56 (CH), 129.57 (CH), 130.29 (C), 130.61 (C), 141.33 (C), 149.14 (C), 159.76 (C). MS (ESI): C26H28Cl2N4O requires m/z 482.16; found 483.17 [M+H]+. Anal. calcd for C26H28Cl2N4O: C, 64.60; H, 5.84; Cl, 14.67; N, 11.59. Found: C, 64.59; H, 5.83; Cl, 14.65; N, 11.48.

4.1.34. 3-Chloro-N-(4-(2-methoxyphenyl)piperazin-1-yl)ethyl)-1,4,5,6-tetrahydrobenzo[6,7]cyclohepta[1,2-b]pyrrole-2-carboxamide (5)

The title compound was prepared from acid 26 and 2-(4-(2-methoxyphenyl)piperazin-1-yl)ethyl-1-amine (33) using the general procedure IV to afford 5 as a beige solid (0.145 g, 79.61%), after FC purification (CHCl3/CH3OH 99/1), mp = 163–165 °C, 1H NMR (CDCl3) ppm: 1.99–2.10 (m, 2H), 2.65–2.80 (m, 10H), 3.10–3.13 (m, 4H), 3.55–3.63 (m, 2H), 3.88 (s, 3H), 6.88 (d, 1H, J = 7.6 Hz), 6.90–7.00 (m, 2H), 7.16–7.20 (m, 2H), 7.21–7.27 (m, 2H), 7.49 (d, 1H, J = 7.2 Hz), 7.60 (br s, 1H, NH exch. with D2O), 9.33 (br s, 1H, NH exch. with D2O). 13C NMR (CDCl3) ppm: 25.79 (CH2), 26.56 (CH2), 34.65 (CH2), 36.02 (CH2), 50.81 (CH2 × 2), 52.87 (CH2 × 2), 55.29 (CH3), 55.96 (CH2), 111.79 (CH), 113.59 (C), 118.11 (CH), 120.90 (CH × 2), 121.03 (C × 2), 122.92 (CH), 125.02 (C), 126.46 (CH), 127.17 (C), 129.57 (CH × 2), 130.32 (C), 141.31 (C), 152.15 (C), 159.78 (C). MS (ESI): C27H31ClN4O2 requires m/z 478.21; found 479.22 [M+H]+. Anal. calcd for C27H31ClN4O2: C, 67.70; H, 6.52; Cl, 7.40; N, 11.70. Found: C, 67.68; H, 6.51; Cl, 7.39; N, 11.68.

4.1.35. 3-Chloro-N-(4-(3-methoxyphenyl)piperazin-1-yl)ethyl)-1,4,5,6-tetrahydrobenzo[6,7]cyclohepta[1,2-b]pyrrole-2cCarboxamide (6)

The title compound was prepared from acid 26 and 2-(4-(3-methoxyphenyl)piperazin-1-yl)ethyl-1-amine (34) using the general procedure IV to afford 6 as a beige solid (0.115 g, 63.10%), after FC purification (CHCl3/CH3OH 98/2), mp = 167–170 °C, 1H NMR (CDCl3) ppm: 1.89–2.05 (m, 2H), 2.64–2.78 (m, 10H), 3.20–3.25 (m, 4H), 3.52–3.59 (m, 2H), 3.80 (s, 3H), 6.46–6.60 (m, 3H), 7.14–7.35 (m, 4H), 7.46 (s, 1H), 7.50 (br s, 1H, NH exch. with D2O), 9.35 (br s, 1H, NH exch. with D2O). 13C NMR (CDCl3) ppm: 25.39 (CH2), 26.31 (CH2), 34.55 (CH2), 35.71 (CH2), 48.88 (CH2 × 2), 52.33 (CH2 × 2), 54.86 (CH3), 55.68 (CH2), 102.02 (CH), 104.15 (CH), 108.45 (CH), 113.35 (C), 120.62 (CH), 124.82 (CH), 126.19 (C), 126.93 (C), 129.32 (CH × 2), 129.80 (CH), 130.00 (C), 141.02 (C), 152.29 (C), 157.03 (C), 159.44 (C), 160.19 (C). MS (ESI): C27H31ClN4O2 requires m/z 478.21; found 479.22 [M+H]+. Anal. calcd for C27H31ClN4O2: C, 67.70; H, 6.52; Cl, 7.40; N, 11.70. Found: C, 67.67; H, 6.51; Cl, 7.38; N, 11.69.

4.1.36. 3-Chloro-N-(4-(2-ethoxyphenyl)piperazin-1-yl)ethyl)-1,4,5,6-tetrahydrobenzo[6,7]cyclohepta[1,2-b]pyrrole-2-carboxamide (7)

The title compound was prepared from acid 26 and 2-(4-(2-ethoxyphenyl)piperazin-1-yl)ethyl-1-amine (35) using the general procedure IV to afford 7 as a white solid (0.107 g, 57.34%), after FC purification (CHCl3/CH3OH 98/2), mp = 110–113 °C, 1H NMR (CDCl3) ppm: 1.47 (t, 3H, J = 7.2 Hz), 1.99–2.10 (m, 2H), 2.65–2.81 (m, 10H), 3.14–3.18 (m, 4H), 3.55–3.65 (m, 2H), 4.08 (q, 2H, J = 6.8 Hz), 6.87–6.98 (m, 4H), 7.17–7.19 (m, 2H), 7.25–7.30 (m, 1H), 7.48 (d, 1H, J = 8.2 Hz), 7.62 (br s, 1H, NH exch. with D2O), 9.30 (br s, 1H, NH exch. with D2O). 13C NMR (CDCl3) ppm: 14.92 (CH3), 25.88 (CH2), 26.54 (CH2), 34.71 (CH2), 36.06 (CH2), 50.75 (CH2 × 2), 52.96 (CH2 × 2), 56.05 (CH2), 63.54 (CH2), 112.50 (CH), 113.63 (C), 118.12 (CH), 120.95 (CH), 121.01 (C), 121.09 (C), 122.73 (CH), 124.85 (CH), 126.55 (CH), 127.25 (CH), 129.46 (C), 129.67 (CH), 130.32 (C), 141.31 (C), 141.37 (C), 151.54 (C), 159.76 (C). MS (ESI): C28H33ClN4O2 requires m/z 492.23, found 493.23 [M+H]+. Anal. calcd for C28H33ClN4O2: C, 68.21; H, 6.75; Cl, 7.19; N, 11.36. Found: C, 68.23; H, 6.76; Cl, 7.21; N, 11.38.

4.1.37. 3-Chloro-N-(2-(4-(2-cyanophenyl)piperazin-1-yl)ethyl)-1,4,5,6-tetrahydrobenzo[6,7]cyclohepta[1,2-b]pyrrole-2-carboxamide (8)

The title compound was prepared from acid 26 and 2-(4-(2-aminoethyl)piperazin-1-yl)benzonitrile (36) using the general procedure IV to afford 8 as a beige solid (0.096 g, 53.42%), after FC purification (CHCl3/CH3OH 99/1), mp = 171–174 °C, 1H NMR (CDCl3) ppm: 1.90–2.05 (m, 2H), 2.66–2.80 (m, 10H), 3.25–3.30 (m, 4H), 3.56–3.63 (m, 2H), 6.96–7.05 (m, 1H), 7.16–7.20 (m, 2H), 7.22–7.27 (m, 2H), 7.45–7.47 (m, 3H), 7.59 (br s, 1H, NH exch. with D2O), 9.40 (br s, 1H, NH exch. with D2O). 13C NMR (CDCl3) ppm: 25.81 (CH2), 26.58 (CH2), 34.64 (CH2), 36.00 (CH2), 51.69 (CH2 × 2), 52.62 (CH2 × 2), 55.86 (CH2), 105.92 (C), 113.63 (C), 118.41 (CH), 118.60 (CH), 120.91 (CH), 120.99 (C), 121.74 (CH), 125.00 (C), 126.49 (C), 127.25 (CH), 129.62 (CH), 130.27 (C), 133.74 (CH), 134.31 (CH), 141.31 (C), 155.54 (C), 159.75 (C). MS (ESI): C27H28ClN5O requires m/z 473.20; found 474.20 [M+H]+. Anal. calcd for C27H28ClN5O: C, 68.42; H, 5.95; Cl, 7.48; N, 14.78. Found: C, 68.43; H, 5.96; Cl, 7.50; N, 14.80.

4.1.38. 3-Chloro-N-(4-(3,4-dichlorophenyl)piperazin-1-yl)ethyl)-1,4,5,6-tetrahydrobenzo[6,7]cyclohepta[1,2-b]pyrrole-2-carboxamide (9)

The title compound was prepared from acid 26 and 2-(4-(3,4-dichlorophenyl)piperazin-1-yl)ethyl-1-amine (37) using the general procedure IV to afford 9 as a light brown solid (0.128 g, 65.00%), after FC purification (CHCl3/CH3OH 99/1), mp = 199–201 °C, 1H NMR (CDCl3) ppm: 1.99–2.10 (m, 2H), 2.65–2.85 (m, 10H), 3.16–3.25 (m, 4H), 3.56–3.62 (m, 2H), 6.76 (dd, 1H, Jo = 8.8 Hz, Jm = 2.8 Hz), 6.94–6.99 (m, 1H), 7.16–7.19 (m, 2H), 7.20–7.31 (m, 2H), 7.46 (s, 1H), 7.50 (br s, 1H, exch. with D2O), 9.30 (br s, 1H, NH exch. with D2O). 13C NMR (CDCl3) ppm: 25.81 (CH2), 26.56 (CH2), 34.65 (CH2), 35.98 (CH2), 48.84 (CH2 × 2), 52.35 (CH2 × 2), 55.94 (CH2), 113.55 (CH), 115.28 (CH), 117.14 (CH), 118.00 (C), 120.93 (CH), 122.11 (C), 124.97 (C), 126.46 (C), 127.24 (C), 129.63 (CH × 2), 130.27 (C), 130.35 (CH), 132.70 (C), 141.35 (C), 150.53 (C), 159.74 (C). MS (ESI): C26H27Cl3N4O requires m/z 516.13; found 517.13 [M+H]+. Anal. calcd for C26H27Cl3N4O: C, 60.30; H, 5.26; Cl, 20.54; N, 10.82. Found: C, 60.29; H, 5.25; Cl, 20.53; N, 10.81.

4.1.39. N-(3-(4-Phenylpiperazin-1-yl)propyl)-1,4,5,6-tetrahydrobenzo[6,7]cyclohepta[1,2-b]pyrrole-2-carboxamide (10)

The title compound was prepared from acid 29 and 2-(4-phenylpiperazin-1-yl)propyl-1-amine (38) using the general procedure IV to afford 10 as a beige solid (0.039 g, 24.07%), without FC purification, mp = 185–187 °C, 1H NMR (CDCl3) ppm: 1.55–1.60 (m, 2H), 1.80–1.83 (m, 2H), 1.95–1.99 (m, 2H), 2.61 (t, 2H, J = 6.0 Hz), 2.67–2.71 (m, 4H), 2.76–2.78 (m, 2H), 3.26–3.29 (m, 4H), 3.55–3.59 (m, 2H), 6.45 (d, 1H, Jm = 2.8 Hz), 6.88 (t, 1H, J = 7.2 Hz), 6.95 (d, 2H, J = 7.6 Hz), 7.14–7.16 (m, 2H), 7.23–7.30 (m, 3H), 7.45 (d, 1H, J = 7.6 Hz), 7.51 (br s, 1H, exch. with D2O), 9.18 (br s, 1H, exch. with D2O). MS (ESI): C27H32N4O requires m/z 428.26; found 429.26 [M+H]+. Anal. calcd for C27H32N4O: C, 75.67; H, 7.53; N, 13.07. Found: C, 75.64; H, 7.51; N, 13.05.

4.1.40. N-(3-(4-Benzylpiperazin-1-yl)propyl)-2-chloro-1,4,5,6-tetrahydrobenzo[6,7]cyclohepta[1,2-b]pyrrole-2-carboxamide (11)

The title compound was prepared from acid 29 and 2-(4-benzylpiperazin-1-yl)propyl-1-amine (39) using the general procedure IV to afford 11 as a white solid (0.052 g, 30.92%) after FC purification (CHCl3/CH3OH 98/2), mp = 103–105 °C, 1H NMR (CDCl3) ppm: 1.65–1.72 (m, 2H), 1.97–2.03 (m, 2H), 2.47–2.50 (m, 10H), 2.75–2.77 (m, 2H), 2.80–2.84 (m, 2H), 3.42–3.47 (m, 4H), 6.50 (d, 1H, Jm = 2.8 Hz), 7.08–7.11 (m, 2H), 7.17–7.19 (m, 3H), 7.24–7.26 (m, 3H), 7.41 (d, 1H, J = 7.6 Hz), 7.67 (br s, 1H, exch. with D2O), 9.18 (br s, 1H, exch. with D2O). 13C NMR (CDCl3) ppm: 24.73 (CH2), 27.57 (CH2), 27.64 (CH2), 34.94 (CH2), 39.97 (CH2), 53.23 (CH2 × 2), 53.28 (CH2 × 2), 58.14 (CH2), 63.34 (CH2), 111.29 (CH), 122.98 (C), 124.87 (CH), 126.07 (C), 126.52 (CH), 126.66 (CH × 2), 127.18 (CH), 128.30 (CH × 2), 129.22 (CH × 2), 129.65 (CH), 130.74 (C), 131.35 (C), 137.93 (C), 141.09 (C), 161.14 (C). MS (ESI): C28H34N4O requires m/z 442.27; found 443.28 [M+H]+. Anal. calcd for C28H34N4O: C, 75.98; H, 7.74; N, 12.66. Found: C, 76.00; H, 7.75; N, 12.68.

4.1.41. 2-Chloro-N-(2-(4-phenylpiperazin-1-yl)ethyl)-1,4,5,6-tetrahydrobenzo[6,7]cyclohepta[1,2-b]pyrrole-3-carboxamide (12)

The title compound was prepared from acid 28 and 2-(4-phenylpiperazin-1-yl)ethyl-1-amine (30) using the general procedure IV to afford 12 as a brown solid (0.077 g, 45.16%), after FC purification (CHCl3/CH3OH 98/2), mp = 167–170 °C, 1H NMR (CDCl3) ppm: 1.90–2.10 (m, 2H), 2.63–2.80 (m, 8H), 3.10–3.12 (m, 2H), 3.13–3.22 (m, 4H), 3.46–3.58 (m, 2H), 6.90–6.97 (m, 5H, NH exch. with D2O), 7.17–7.36 (m, 4H), 8.29 (br s, 1H, NH exch. with D2O). 13C NMR (CDCl3) ppm: 27.53 (CH2), 27.82 (CH2), 34.71 (CH2), 35.83 (CH2), 49.19 (CH2 × 2), 52.65 (CH2 × 2), 56.17 (CH2), 115.39 (C), 115.95 (CH × 2), 118.01 (CH), 119.74 (CH), 123.65 (C), 124.34 (CH), 126.19 (CH), 126.40 (C), 127.32 (C), 129.09 (CH × 2), 129.38 (CH), 130.60 (C), 141.28 (C), 151.12 (C), 164.10 (C). MS (ESI): C26H29ClN4O requires m/z 448.20, found 449.20 [M+H]+. Anal. calcd for C26H29ClN4O: C, 69.55; H, 6.51; Cl, 7.90; N, 12.48. Found: C, 69.48; H, 6.52; Cl, 7.87; N, 12.46.

4.1.42. 2-Chloro-N-(4-(4-chlorophenyl)piperazin-1-yl)ethyl)-1,4,5,6-tetrahydrobenzo[6,7]cyclohepta[1,2-b]pyrrole-3-carboxamide (13)

The title compound was prepared from acid 28 and 2-(4-(4-chlorophenyl)piperazin-1-yl)ethyl-1-amine (31) using the general procedure IV to afford 13 as a beige solid (0.083 g, 45.10%), after FC purification (CHCl3/CH3OH 98/2), mp = 200–203 °C, 1H NMR (CDCl3) ppm: 1.99–2.10 (m, 2H), 2.60–2.65 (m, 6H), 2.70–2.78 (m, 2H), 3.01–3.18 (m, 6H), 3.51–3.62 (m, 2H), 6.85 (d, 4H, J = 8.8 Hz), 7.14–7.20 (m, 2H), 7.25–7.31 (m, 3H, NH exch. with D2O), 8.32 (br s, 1H, exch. with D2O). 13C NMR (CDCl3) ppm: 27.55 (CH2), 27.89 (CH2), 34.78 (CH2), 35.89 (CH2), 49.25 (CH2 × 2), 52.60 (CH2 × 2), 56.30 (CH2), 115.22 (C), 115.61 (C), 117.20 (CH × 2), 123.80 (C), 124.26 (CH), 124.61 (C), 126.30 (C), 126.56 (CH), 127.36 (C), 128.97 (CH × 2), 129.21 (CH), 130.62 (C), 141.40 (C), 149.81 (C), 164.04 (C). MS (ESI): C26H28Cl2N4O requires m/z 482.16; found 483.17 [M+H]+. Anal. calcd for C26H28Cl2N4O: C, 64.60; H, 5.84; Cl, 14.67; N, 11.59. Found: C, 64.56; H, 5.83; Cl, 14.66; N, 11.56.

4.1.43. 2-Chloro-N-(4-(2-chlorophenyl)piperazin-1-yl)ethyl)-1,4,5,6-tetrahydrobenzo[6,7]cyclohepta[1,2-b]pyrrole-3-carboxamide (14)

The title compound was prepared from acid 28 and 2-(4-(2-chlorophenyl)piperazin-1-yl)ethyl-1-amine (32) using the general procedure IV to afford 14 as a beige solid (0.045 g, 24.69.10%), after FC purification (CHCl3/CH3OH 98/2), mp = 178–180 °C, 1H NMR (CDCl3) ppm: 1.99–2.10 (m, 2H), 2.60–2.80 (m, 8H), 3.06–3.20 (m, 6H), 3.50–3.60 (m, 2H), 6.94 (br s, 1H, exch. with D2O), 6.98–7.02 (m, 4H), 7.15–7.35 (m, 4H), 8.33 (br s, 1H, NH exch. with D2O). 13C NMR (CDCl3) ppm: 27.50 (CH2), 27.83 (CH2), 34.72 (CH2), 35.86 (CH2), 49.28 (CH2 × 2), 52.69 (CH2 × 2), 56.23 (CH2), 115.57 (CH), 120.28 (C), 120.93 (CH), 120.95 (C), 123.64 (C), 124.96 (CH), 126.50 (C), 127.22 (CH), 127.52 (CH), 128.67 (CH), 129.56 (CH), 129.57 (CH), 130.29 (C), 130.61 (C), 141.33 (C), 149.14 (C), 159.76 (C). MS (ESI): C26H28Cl2N4O requires m/z 482.16; found 483.17 [M+H]+. Anal. calcd for C26H28Cl2N4O: C, 64.60; H, 5.84; Cl, 14.67; N, 11.59. Found: C, 64.61; H, 5.85; Cl, 14.64; N, 11.60.

4.1.44. 2-Chloro-N-(4-(2-methoxyphenyl)piperazin-1-yl)ethyl)-1,4,5,6-tetrahydrobenzo[6,7]cyclohepta[1,2-b]pyrrole-3-carboxamide (15)

The title compound was prepared from acid 28 and 2-(4-(2-methoxyphenyl)piperazin-1-yl)ethyl-1-amine (33) using the general procedure IV to afford 15 as a brown solid (0.098 g, 53.93%), after FC purification (CHCl3/CH3OH 98/2), mp = 88–90 °C, 1H NMR (CDCl3) ppm: 1.98–2.10 (m, 2H), 2.63–2.80 (m, 8H), 3.00–3.20 (m, 6H), 3.52–3.60 (m, 2H), 3.87 (s, 3H), 6.80–6.96 (m, 5H, NH exch. with D2O), 7.12–7.16 (m, 2H), 7.25–7.32 (m, 2H), 8.34 (br s, 1H, NH exch. with D2O). 13C NMR (CDCl3) ppm: 27.53 (CH2), 27.83 (CH2), 34.71 (CH2), 35.84 (CH2), 50.73 (CH2 × 2), 52.85 (CH2 × 2), 55.31 (CH3), 56.22 (CH2), 11.15 (CH), 115.31 (CH), 115.53 (CH), 120.88 (CH), 120.90 (C), 122.95 (CH), 123.63 (CH), 124.26 (C), 126.19 (C), 126.38 (C), 127.26 (CH), 129.39 (C), 130.61 (CH), 141.14 (C), 141.30 (C), 152.18 (C), 164.04 (C). MS (ESI): C27H31ClN4O2 requires m/z 478.21; found 479.22 [M+H]+. Anal. calcd for C27H31ClN4O2: C, 67.70; H, 6.52; Cl, 7.40; N, 11.70. Found: C, 67.69; H, 6.51; Cl, 7.41; N, 11.72.

4.1.45. 2-Chloro-N-(4-(3-methoxyphenyl)piperazin-1-yl)ethyl)-1,4,5,6-tetrahydrobenzo[6,7]cyclohepta[1,2-b]pyrrole-3-carboxamide (16)

The title compound was prepared from acid 28 and 2-(4-(3-methoxyphenyl)piperazin-1-yl)ethyl-1-amine (34) using the general procedure IV to afford 16 as a brown solid (0.104 g, 57.14%), after FC purification (CHCl3/CH3OH 98/2), mp = 89–92 °C, 1H NMR (CDCl3) ppm: 1.99–2.10 (m, 2H), 2.60–2.80 (m, 8H), 3.00–3.20 (m, 6H), 3.50–3.58 (m, 2H), 3.80 (s, 3H), 6.40–6.54 (m, 3H), 6.90 (br s, 1H, NH exch. with D2O), 7.13–7.36 (m, 5H), 8.61 (br s, 1H, NH exch. with D2O). 13C NMR (CDCl3) ppm: 27.53 (CH2), 27.79 (CH2), 34.70 (CH2), 35.81 (CH2), 49.08 (CH2 × 2), 52.57 (CH2 × 2), 55.14 (CH3), 56.12 (CH2), 102.43 (CH), 104.37 (CH), 108.79 (CH), 115.32 (CH × 2), 123.62 (CH), 124.42 (CH), 126.17 (C), 126.37 (C), 127.35 (C), 129.35 (C), 129.76 (CH), 130.63 (C), 141.25 (C), 152.53 (C), 160.47 (C), 164.15 (C). MS (ESI): C27H31ClN4O2 requires m/z 478.21; found 479.22 [M+H]+. Anal. calcd for C27H31ClN4O2: C, 67.70; H, 6.52; Cl, 7.40; N, 11.70. Found: C, 67.68; H, 6.51; Cl, 7.39; N, 11.68.

4.1.46. 2-Chloro-N-(4-(2-ethoxyphenyl)piperazin-1-yl)ethyl)-1,4,5,6-tetrahydrobenzo[6,7]cyclohepta[1,2-b]pyrrole-3-carboxamide (17)

The title compound was prepared from acid 28 and 2-(4-(2-ethoxyphenyl)piperazin-1-yl)ethyl-1-amine (35) using the general procedure IV to afford 17 as a brown solid (0.008 g, 43.09%), after FC purification (CHCl3/CH3OH 98/2), mp = 150–152 °C, 1H NMR (CDCl3) ppm: 1.46 (t, 3H, J = 6.8 Hz), 1.99–2.10 (m, 2H), 2.61–2.80 (m, 8H), 3.00–3.20 (m, 6H), 3.47–3.58 (m, 2H), 4.07 (q, 2H, J = 7.0 Hz), 6.86–6.98 (m, 5H, NH exch. with D2O), 7.14–7.18 (m, 2H), 7.20–7.33 (m, 2H), 8.33 (br s, 1H, NH exch. with D2O). 13C NMR (CDCl3) ppm: 14.91 (CH3), 27.53 (CH2), 27.82 (CH2), 34.73 (CH2), 35.85 (CH2), 50.66 (CH2 × 2), 52.90 (CH2 × 2), 56.23 (CH2), 63.50 (CH2), 112.40 (CH), 115.32 (CH), 115.55 (CH), 120.87 (CH), 122.74 (CH), 123.65 (CH), 124.17 (C), 124.25 (C), 126.19 (CH), 126.39 (C), 127.24 (C), 129.39 (C), 130.62 (CH), 141.19 (C), 141.30 (C), 151.47 (C), 164.02 (C). MS (ESI): C28H33ClN4O2 requires m/z 492.23, found 493.23 [M+H]+. Anal. calcd for C28H33ClN4O2: C, 68.21; H, 6.75; Cl, 7.19; N, 11.36. Found: C, 68.19; H, 6.74; Cl, 7.18; N, 11.34.

4.1.47. 2-Chloro-N-(2-(4-(2-cyanophenyl)piperazin-1-yl)ethyl)-1,4,5,6-tetrahydrobenzo[6,7]cyclohepta[1,2-b]pyrrole-3-carboxamide (18)

The title compound was prepared from acid 28 and 2-(4-(2-aminoethyl)piperazin-1-yl)benzonitrile (36) using the general procedure IV to afford 18 as a beige solid (0.087 g, 48.46%), after FC purification (CHCl3/CH3OH 98/2), mp = 87–90 °C, 1H NMR (CDCl3) ppm: 1.99–2.10 (m, 2H), 2.65–2.81 (m, 8H), 3.11 (t, 2H, J = 7.0 Hz), 3.15–3.27 (m, 4H), 3.54–3.60 (m, 2H), 6.83 (br s, 1H, NH exch. with D2O), 6.96–7.10 (m, 2H), 7.14–7.20 (m, 2H), 7.22–7.31 (m, 2H), 7.42–7.61 (m, 2H), 8.36 (br s, 1H, NH exch. with D2O). 13C NMR (CDCl3) ppm: 27.30 (CH2), 27.84 (CH2), 34.74 (CH2), 35.20 (CH2), 51.52 (CH2 × 2), 52.66 (CH2 × 2), 56.21 (CH2), 105.83 (CH), 115.19 (CH), 15.28 (CH), 118.59 (CH), 121.77 (C), 123.71 (CH), 124.23 (C), 126.22 (C), 126.26 (C), 127.29 (CH), 128.56 (CH), 130.58 (CH), 133.77 (C), 134.34 (C), 141.34 (C), 155.44 (C), 164.02 (C). MS (ESI): C27H28ClN5O requires m/z 473.20, found 471.20 [M+H]+. Anal. calcd for C27H28ClN5O: C, 68.42; H, 5.95; Cl, 7.48; N, 14.78. Found: C, 68.40; H, 5.94; Cl, 7.47; N, 14.76.

4.1.48. 2-Chloro-N-(4-(3,4-dichlorophenyl)piperazin-1-yl)ethyl)-1,4,5,6-tetrahydrobenzo[6,7]cyclohepta[1,2-b]pyrrole-3-carboxamide (19)

The title compound was prepared from acid 28 and 2-(4-(3,4-dichlorophenyl)piperazin-1-yl)ethyl-1-amine (37) using the general procedure IV to afford 19 as a grey solid (0.036 g, 18.46%), after FC purification (CHCl3/CH3OH 99/1), mp = 213–216 °C, 1H NMR (CDCl3) ppm: 1.90–2.10 (m, 2H), 2.30–2.40 (m, 2H), 2.63–2.68 (m, 4H), 2.73–2.80 (m, 2H), 2.85–2.95 (m, 2H), 3.00–3.18 (m, 4H), 3.45–3.58 (m, 2H), 6.06 (br s, 1H, NH exch. with D2O), 6.69–6.79 (m, 3H), 7.93–7.17 (m, 2H), 7.18–7.34 (m, 2H), 8.58 (br s, 1H, exch. with D2O). 13C NMR (CDCl3) ppm: 25.83 (CH2), 26.58 (CH2), 34.67 (CH2), 36.01 (CH2), 48.87 (CH2 × 2), 52.34 (CH2 × 2), 55.92 (CH2), 113.52 (CH), 115.25 (CH), 117.10 (CH), 118.12 (C), 121.93 (CH), 122.21 (C), 124.94 (C), 126.47 (C), 127.32 (C), 129.62 (CH × 2), 130.29 (C), 131.85 (CH), 132.65 (C), 140.96 (C), 151.52 (C), 158.06 (C). MS (ESI): C26H27Cl3N4O requires m/z 516.13; found 517.13 [M+H]+. Anal. calcd for C26H27Cl3N4O: C, 60.30; H, 5.26; Cl, 20.54; N, 10.82. Found: C, 60.33; H, 5.27; Cl, 20.55; N, 10.83.

4.1.49. N-(3-(4-Benzylpiperazin-1-yl)propyl)-2-chloro-1,4,5,6-tetrahydrobenzo[6,7]cyclohepta[1,2-b]pyrrole-3-carboxamide (20)

The title compound was prepared from acid 28 and 2-(4-benzylpiperazin-1-yl)propyl-1-amine (39) using the general procedure IV to afford 20 as a beige solid (0.083 g, 45.81%), after FC purification (CHCl3/CH3OH 95/5), mp = 169–171 °C, 1H NMR (CDCl3) δ: 1H NMR (CDCl3) ppm: 1.65–1.72 (m, 2H), 1.97–2.03 (m, 2H), 2.47–2.50 (m, 10H), 2.75–2.77 (m, 2H), 2.80–2.84 (m, 2H), 3.42–3.47 (m, 4H), 6.50 (d, 1H, Jm = 2.8 Hz), 7.08–7.11 (m, 3H), 7.17–7.19 (m, 2H), 7.24–7.26 (m, 2H), 7.41 (d, 1H, J = 7.6 Hz), 7.67 (br s, 1H, exch. with D2O), 9.18 (br s, 1H, exch. with D2O). 13C NMR (CDCl3) ppm: 25.97 (CH2), 27.35 (CH2), 27.71 (CH2), 34.84 (CH2), 38.52 (CH2), 52.82 (CH2 × 2), 53.14 (CH2 × 2), 56.74 (CH2), 63.02 (CH2), 114.75 (C), 116.42 (C), 123.56 (C), 124.13 (CH), 126.31 (CH), 126.52 (CH), 127.09 (CH), 127.24 (C), 128.22 (CH × 2), 129.29 (CH × 2), 129.40 (CH), 130.66 (C), 137.81 (C), 141.38 (C), 164.11 (C). MS (ESI): C28H33ClN4O requires m/z 476.23, found 477.23 [M+H]+. Anal. calcd for C28H33ClN4O: C, 70.50; H, 6.97; Cl, 7.43; N, 11.74. Found: C, 70.47; H, 6.95; Cl, 7.1; N, 11.73.

4.2. Biological Methods

4.2.1. Cell Culture

Huh-7 [20] and Vero E6 cells were cultured in DMEM (Gibco by ThermoFisher Scientific, Milano, Italy), 1 mM glutamine, 1 mM sodium pyruvate, and 7% fetal bovine serum (FBS, Gibco). Vero-TMPRSS [21] were cultured like Vero-E6 cells, with 1 mg/mL of G418 (Merck®, Darmstadt, Germany) added once a month. MDCK-NBL-2 cells (ATCC CCL-34) were grown in Ex-Cell serum-free medium (Merck®, Darmstadt, Germany), 1 mM glutamine, and 1 μg/mL di-TPCK trypsin (Merck®, Darmstadt, Germany). All cells were cultured without antibiotics and checked for Mycoplasma as reported in the literature [22].

4.2.2. Preparation of Compounds

All compounds were stored at 10 mM in DMSO at −20 °C for 3 months. For longer storage, aliquots were kept at −80 °C.

4.2.3. Viruses

ZIKV, strain Brazil/2016/INMI1 (ZIKVBr) (family Flaviviridae, genus Orthoflavivirus, National Institute for Infectious Diseases Spallanzani, Roma, Italy) was propagated on Huh-7 cells. IAV (family Orthomyxoviridae, genus Alphainfluenzavirus, species Alphainfluenzavirus influenzae) strain A/PR/8/34 (ATCC) was propagated on MDCK cells in Excel medium (Merck®, Darmstadt, Germany), 1 μg/mL of TPCK trypsin (Merck®, Darmstadt, Germany) with no serum. SARS-CoV-2 VR PV10734 (GISAID EPI_ISL_2544194) (family Coronaviridae, genus Betacoronavirus, species Betacoronavirus pandemicum, SARS-CoV2-Mi), courtesy of Università San Raffaele, Milan, Italy, was propagated on Vero-TMPRSS cells.

4.2.4. Determination of Compound Cytotoxicity and Cytotoxic Concentration 50 (CC50)

Cytotoxic effects were evaluated on uninfected cells using the WST-8 assay (Orangu, Cell Guidance Systems, Cambridge, UK) and the crystal violet assay [23]. Cells were seeded in 96-well plates and treated with 10- or 3-fold serial dilutions of the compounds (from 0.5 to 50 μM for initial screening; from 0.25 to 180 μM for CC50 determination of the most promising compounds). Huh-7, MDCK, and Vero TMPRSS cells were seeded at 1 × 104, 1.5 × 104, and 1.2 × 104 cells/well, respectively, and incubated for 48 h (Huh-7 and MDCK) or 24 h (VERO TMPRSS), following conditions matching those of the corresponding antiviral assays in terms of timing and culture medium. At the end of incubation, the medium was replaced with a 10% WST-8 solution in DMEM and incubated for 1 h at 37 °C. Optical density (OD) was then measured at 450 nm using a Varioskan LUX plate reader (ThermoFisher Scientific, Milano, Italy). Subsequently, cells were fixed with 4% buffered formalin solution (Merck®, Darmstadt, Germany), stained with 1% crystal violet (Merck®, Darmstadt, Germany), and the dye was solubilized in 30% acetic acid for 30 min under shaking. OD was then measured at 595 nm as an additional readout of cell viability. The percentage of viability at each concentration was calculated using the formula:
% viability = 100 × (ODcompound/ODuntreated control)
where ODcompound and ODuntreated are the OD of the cells treated with compound or DMSO, respectively.
The CC50 value was determined by nonlinear regression analysis on GraphPad Prism 7 (San Diego, CA, USA).

4.2.5. Determination of Viral Yield Reduction and Effective Concentration 50 (EC50)

Viral yield reduction assays for ZIKV and SARS-CoV-2 were performed as previously described by Plicanti [24]. Briefly, 1 × 104 Huh-7 cells/well and 1.2 × 104 VERO TMPRSS cells/well were infected with ZIKV (MOI 1) or SARS-CoV-2 (MOI 0.05) in a primary 96-well plate for 2 h at 37 °C, 5% CO2. Following inoculum removal, cells were treated with serial dilutions of the compounds (from 0.5 to 50 μM for initial screening; from 0.12 to 180 μM for EC50 determination of the most promising compounds) in DMEM with 2% FBS. Supernatants were collected after 48 h (Huh-7) or 24 h (VERO TMPRSS), diluted 3-fold, and added onto VERO E6 or VERO TMPRSS monolayers, respectively. After 2 h at 37 °C, the inoculum was replaced with 0.75% carboxymethyl cellulose (Merck®, Darmstadt, Germany) in DMEM 2% FBS. After 48–72 h, cells were then fixed with 4% buffered formalin solution (Merck®, Darmstadt, Germany) and stained with 1% crystal violet (Merck®, Darmstadt, Germany). Titres and percentage of inhibition were calculated as follows:
PFU/mL = number of plaques*3^n/vol infection, where n is the dilution where plaques were counted:
% inhibition = 100 × (1 − Titre-compound/Titre-untreated control)
where Titre-compound and Titre-untreated control are the titres (PFU/mL) obtained on cells treated with compound or DMSO, respectively.
For IAV, viral yield was assessed by determining Tissue Culture Infectious Dose (TCID)50/mL, as previously described [25]. An amount of 1.5 × 104 MDCK cells/well were infected with IAV at 103 TCID50/mL in a 96-well plate and incubated for 2 h at 37 °C, 5% CO2. Following inoculum removal, cells were treated with serial dilutions of the compounds, prepared in Ex-Cell medium. Supernatants were collected at 48 hpi, diluted 5-fold, and used to infect fresh MDCK monolayers. After 96 h, cells were fixed and stained with crystal violet. Viral titre reduction was calculated using the Reed and Muench method [26].
The EC50 value was determined by nonlinear regression analysis on GraphPad Prism (San Diego, CA, USA).
SI was obtained by dividing CC50 by EC50 for each drug/virus/cell line. Compounds with SI values ≥ 10 were active in vitro.

5. Conclusions

The preliminary data on anticancer and antiviral activity of these novel carboxamides allowed us to identify compound 1, which did not show any significant antiviral effect in our assays, as the most promising for the development of analogues with anti-tumour activity. At the same time, piperazine derivatives have also proven to be more interesting for their antiviral activity, particularly compound 13, identified as a reference for the development of novel antiviral agents.
Further studies will be conducted to identify the targets of the anti-tumour and antiviral action of these new molecules, as well as to deepen SAR studies.

Supplementary Materials

The following supporting information can be downloaded at: https://www.mdpi.com/article/10.3390/molecules30204052/s1, Figures S1 and S2: NOESY spectra of compounds 23 and 24; Figures S3–S22: 1H and 13C NMR spectra of compounds 120; Figures S23–S42: mass spectra of compounds 120; Figures S43–S62: one-dose graphs of compounds 120; Figures S63–S68: five-dose graphs of compounds 1, 5, 10, 11, 17 and 20; Figures S69–S71: waterfall graphs GI50, TGI and LC50 of compound 1; Figures S72–S74: waterfall graphs GI50, TGI and LC50 of compound 5; Figures S75–S77: waterfall graphs GI50, TGI and LC50 of compound 10; Figures S78–S80: waterfall graphs GI50, TGI and LC50 of compound 11; Figures S81–S83: waterfall graphs GI50, TGI and LC50 of compound 17; Figures S84–S86: waterfall graphs GI50, TGI and LC50 of compound 20; Figure S87: preliminary ZIKV/Huh-7 antiviral screening results for compounds 120; Figure S88: preliminary IAV/MDCK antiviral screening results for compounds 120; Figure S89: preliminary SARS-CoV-2/Vero TMPRSS antiviral screening results for compounds 120.

Author Contributions

Conceptualization, G.M.; methodology, C.D.M. and E.P.; validation, G.M., P.C., C.D.M., E.P., and G.F.; formal analysis, C.D.M.; investigation, P.C., S.C., B.A., and S.P.; resources, G.M. and A.C.; data curation, C.D.M.; writing—original draft preparation, G.M.; writing—review and editing, G.F.; supervision, G.F.; project administration, G.M.; funding acquisition, G.M. and G.F. All authors have read and agreed to the published version of the manuscript.

Funding

This research was funded by PRIN 2022: Missione 4 “Istruzione e Ricerca”—2022FRE3RH Dissecting the host cellular response to develop novel host-targeted approaches against RNA viruses. CUP I53D23000480006.

Data Availability Statement

The original contributions presented in this study are included in the article/Supplementary Material. Further inquiries can be directed to the corresponding authors.

Acknowledgments

G.M. is thankful to the National Cancer Institute (NCI, Germantown, MD, USA) for anticancer screening on 60 cell lines.

Conflicts of Interest

The authors declare no conflicts of interest.

References

  1. National Cancer Institute (NIH). HIV Infection and Cancer Risk. Available online: https://www.cancer.gov/about-cancer/causes-prevention/risk/infectious-agents/hiv-fact-sheet (accessed on 15 May 2025).
  2. Thomson, M.C.; Stanberry, L.R. Climate Change and Vectorborne Diseases. N. Engl. J. Med. 2022, 387, 1969–1978. [Google Scholar] [CrossRef]
  3. Singh, A.; Kaur, P.; Kumar, M.; Bhatia, R.; Shafi, S.; Upadhyay, P.K.; Gaur, A.; Tiwari, A.; Tiwari, V. Influenza strains in focus: Global approaches to the diagnosis, treatment, and control of H1N1, H3N2, H7N9, and H9N2. Pathog. Glob. Health 2025, 119, 272–292. [Google Scholar] [CrossRef]
  4. Mazar, J.; Brooks, J.K.; Peloquin, M.; Rosario, R.; Sutton, E.; Longo, M.; Drehner, D.; Westmoreland, T.J. The Oncolytic Activity of Zika Viral Therapy in Human Neuroblastoma In Vivo Models Confers a Major Survival Advantage in a CD24-dependent Manner. Cancer Res. Commun. 2024, 4, 65–80. [Google Scholar] [CrossRef]
  5. Available online: https://www.who.int/health-topics/coronavirus#tab=tab_1 (accessed on 15 May 2025).
  6. Pinna, G.A.; Pirisi, M.A.; Chelucci, G.; Mussinu, J.M.; Murineddu, G.; Loriga, G.; D’Aquila, P.S.; Serra, G. Synthesis and D2-like binding affinity of new derivatives of N-(1-ethyl-2-pyrrolidinylmethyl)-4,5-dihydro-1H-benzo[g]indole-3-carboxamide and related 4H-[1]benzothiopyrano[4,3-b]pyrrole and 5,6-dihydro-4H-benzo[6,7]cyclohepta[b]pyrrole-3-carboxamide analogues. Bioorg. Med. Chem. 2002, 10, 2485–2496. [Google Scholar] [CrossRef]
  7. Murineddu, G.; Cignarella, G.; Chelucci, G.; Loriga, G.; Pinna, G.A. Synthesis and Cytotoxic Activities of Pyrrole[2,3-d]pyridazino-4-one Derivatives. Chem. Pharm. Bull. 2002, 50, 754–759. [Google Scholar] [CrossRef]
  8. National Cancer Institute. NCI-60 Screening Methodology. Available online: https://dtp.cancer.gov/discovery_development/nci-60/methodology.htm (accessed on 15 May 2025).
  9. Su, G.; Burant, C.F.; Beecher, C.W.; Athey, B.D.; Meng, F. Integrated metabolome and transcriptome analysis of the NCI60 dataset. BMC Bioinform. 2011, 12 (Suppl. S1), S36. [Google Scholar] [CrossRef]
  10. Søkilde, R.; Kaczkowski, B.; Podolska, A.; Cirera, S.; Gorodkin, J.; Moller, S.; Litman, T. Global microRNA analysis of the NCI-60 cancer cell panel. Mol. Cancer Ther. 2011, 10, 375–384. [Google Scholar] [CrossRef]
  11. Park, E.S.; Rabinovsky, R.; Carey, M.; Hennessy, B.T.; Agarwal, R.; Liu, W.; Ju, V.; Deng, W.; Lu, Y.; Woo, H.G.; et al. Integrative analysis of proteomic signatures, mutations, and drug responsiveness in the NCI 60 cancer cell lines set. Mol. Cancer Ther. 2010, 9, 257–267. [Google Scholar] [CrossRef]
  12. Covell, D.G.; Huang, R.; Wallqvist, A. Anticancer medicines in development: Assessment of bioactivity profiles within the National Cancer Institute anticancer screening data. Mol. Cancer Ther. 2007, 6, 2261–2270. [Google Scholar] [CrossRef]
  13. Shoemaker, R.H. The NCI60 human tumor cell line anticancer drug screen. Nat. Rev. Cancer 2006, 6, 813–823. [Google Scholar] [CrossRef] [PubMed]
  14. Phillips, L.R.; Hill, K.D.; Majerova, E. Liquid chromatographic determination of NSC 737664 (ABT-888: An inhibitor of poly(ADP-ribose) polymerase (PARP)) in plasma and urine in a phase 0 clinical trial. J. Liq. Chromatogr. Relat. Technol. 2009, 32, 261–272. [Google Scholar] [CrossRef] [PubMed]
  15. Boyd, M.R.; Paull, K.D. Some Practical Considerations and Applications of the National Cancer Institute In vitro Anticancer Drug Discovery Screen. Drug Dev. Res. 1995, 34, 91–109. [Google Scholar] [CrossRef]
  16. Grever, M.R.; Schepartz, S.A.; Chabner, B.A. The National Cancer Institute: Cancer Drug Discovery and Development Program. Semin. Oncol. 1992, 19, 622–638. [Google Scholar]
  17. Alley, M.C.; Scudiero, D.A.; Monks, P.A.; Hursey, M.L.; Czerwinski, M.J.; Fine, D.L.; Abbott, B.J.; Mayo, J.G.; Shoemaker, R.H.; Boyd, M.R. Feasibility of Drug Screening with Panels of Human Tumor Cell Lines Using a Microculture Tetrazolium Assay. Cancer Res. 1988, 48, 589–601. [Google Scholar]
  18. Monks, A.; Scudiero, D.; Skean, P.; Shoemaker, R.; Poull, K.; Vistica, D.; Hose, C.; Langley, J.; Cronise, P.; Vaigro-Wolff, A.; et al. Feasibility of High-Flux Anticancer Drug Screen Using a Diverse Panel of Cultured Human Tumor Cell Lines. J. Natl. Cancer Inst. 1991, 83, 757–766. [Google Scholar] [CrossRef]
  19. Weinstein, J.N.; Myers, T.G.; O’Connor, P.M.; Friend, S.H.; Fornance, A.J., Jr.; Kohn, K.W.; Fojo, T.; Bates, S.E.; Rubistein, L.V.; Anderson, N.L.; et al. An information-intensive approach to the molecular pharmacology of cancer. Science 1997, 275, 343–349. [Google Scholar] [CrossRef]
  20. Nakabayashi, H.; Taketa, K.; Miyano, K.; Yamane, T.; Sato, J. Growth of human hepatoma cells lines with differentiated functions in chemically defined medium. Cancer Res. 1982, 42, 3858–3863. [Google Scholar]
  21. Storti, B.; Quaranta, P.; Di Primio, C.; Clementi, N.; Mancini, N.; Criscuolo, E.; Spezia, P.G.; Carnicelli, V.; Lottini, G.; Paolini, E.; et al. A spatial multi-scale fluorescence microscopy toolbox discloses entry checkpoints of SARS-CoV-2 variants in Vero E6 cells. Comput. Struct. Biotechnol. J. 2021, 19, 6140–6156. [Google Scholar] [CrossRef] [PubMed]
  22. Lai, M.; Iacono, E.; Spezia, P.G.; Lottini, G.; La Rocca, V.; Quaranta, P.; Pistello, M.; Freer, G. A low-cost simple test for weekly detection of Mycoplasma hyorhinis and arginini contaminations in cell cultures and viral preparations. J. Virol. Methods 2022, 299, 114327. [Google Scholar] [CrossRef]
  23. Feoktistova, M.; Geserick, P.; Leverkus, M. Crystal Violet Assay for Determining Viability of Cultured Cells. Cold Spring Harb. Protoc. 2016, 2016, pdb.prot087379. [Google Scholar] [CrossRef] [PubMed]
  24. Plicanti, E.; Deiana, A.; Nottoli, S.; Lottini, G.; Ibba, R.; Piras, S.; Di Marzo, C.; Vegni, S.; Lai, M.; Pistello, M.; et al. A Pyrido-quinoxaline derivative that downregulates Reticulon 3 protein exhibits potent antiviral activity against Zika virus. J. Med. Virol. 2025, 97, e70605. [Google Scholar] [CrossRef] [PubMed]
  25. Iacono, E.; Di Marzo, C.; Di Stasi, M.; Cioni, E.; Gambineri, F.; Luminare, A.G.; De Leo, M.; Braca, A.; Quaranta, P.; Lai, M.; et al. Broad-spectrum virucidal activity of a hydroalcoholic extract of grape pomace. Bioresour. Technol. Rep. 2024, 25, 101745. [Google Scholar] [CrossRef]
  26. Ramakrishnan, M.A. Determination of 50% endpoint titer using a simple formula. World J. Virol. 2016, 5, 85–86. [Google Scholar] [CrossRef] [PubMed]
Figure 1. (S)-3-Chloro-N-(1-ethyl-2-pyrrolidinylmethyl)-5,6-dihydro-4H-benzo[6,7]cyclohepta[1,2-b]pyrrol-2-carboxamide 1.
Figure 1. (S)-3-Chloro-N-(1-ethyl-2-pyrrolidinylmethyl)-5,6-dihydro-4H-benzo[6,7]cyclohepta[1,2-b]pyrrol-2-carboxamide 1.
Molecules 30 04052 g001
Figure 2. Design of analogues A, carboxamides 211, and isomers 1220.
Figure 2. Design of analogues A, carboxamides 211, and isomers 1220.
Molecules 30 04052 g002
Scheme 1. Reagents and conditions: (a) NaOAc·3H2O, NH2OH·HCl, EtOH, H2O, 4 h, rfx; (b) methyl propiolate, DABCO, toluene, MW (abs. normal) 80 °C, 10 min, then MW (abs. normal) 170 °C, 10 min. The numbers in parentheses represents the reaction yields.
Scheme 1. Reagents and conditions: (a) NaOAc·3H2O, NH2OH·HCl, EtOH, H2O, 4 h, rfx; (b) methyl propiolate, DABCO, toluene, MW (abs. normal) 80 °C, 10 min, then MW (abs. normal) 170 °C, 10 min. The numbers in parentheses represents the reaction yields.
Molecules 30 04052 sch001
Scheme 2. Reagents and conditions: (a) NCS, CHCl3, 3 h, rfx; (b) NaOHaq 10% (EtOH/H2O, 2/1), 12 h, rfx. The numbers in parentheses represent the reaction yields.
Scheme 2. Reagents and conditions: (a) NCS, CHCl3, 3 h, rfx; (b) NaOHaq 10% (EtOH/H2O, 2/1), 12 h, rfx. The numbers in parentheses represent the reaction yields.
Molecules 30 04052 sch002
Scheme 3. Reagents and conditions: (a) NaOHaq 20%, CH3OH, 9 h, rfx; (b) NCS, CHCl3, 3 h, rfx. The numbers in parentheses represent the reaction yields.
Scheme 3. Reagents and conditions: (a) NaOHaq 20%, CH3OH, 9 h, rfx; (b) NCS, CHCl3, 3 h, rfx. The numbers in parentheses represent the reaction yields.
Molecules 30 04052 sch003
Scheme 4. Reagents and conditions: (a) CDI, HOBt, CH2Cl2, 1.5 h, r.t., then (S)-(−)-2-(aminomethyl)-1-ethylpyrrolidine, 12 h, r.t. The numbers in parentheses represent the reaction yields.
Scheme 4. Reagents and conditions: (a) CDI, HOBt, CH2Cl2, 1.5 h, r.t., then (S)-(−)-2-(aminomethyl)-1-ethylpyrrolidine, 12 h, r.t. The numbers in parentheses represent the reaction yields.
Molecules 30 04052 sch004
Scheme 5. Reagents and conditions: (a) K2CO3, DMF, MW (abs. normal), 55 °C, 10 min; (b) EtOH, NH2NH2·H2O, MW (abs. low), 80 °C, 20 min. The numbers in parentheses represent the reaction yields.
Scheme 5. Reagents and conditions: (a) K2CO3, DMF, MW (abs. normal), 55 °C, 10 min; (b) EtOH, NH2NH2·H2O, MW (abs. low), 80 °C, 20 min. The numbers in parentheses represent the reaction yields.
Molecules 30 04052 sch005
Scheme 6. Reagents and conditions: (a) HOBt, DCC, CH2Cl2, 2 h, r.t., then appropriate arylpiperazinyl-ethanamine (3037), 24 h, r.t. The numbers in parentheses represent the reaction yields.
Scheme 6. Reagents and conditions: (a) HOBt, DCC, CH2Cl2, 2 h, r.t., then appropriate arylpiperazinyl-ethanamine (3037), 24 h, r.t. The numbers in parentheses represent the reaction yields.
Molecules 30 04052 sch006
Scheme 7. Reagents and conditions: (a) NaOHaq 20%, CH3OH, 9 h, rfx; (b) HOBt, DCC, CH2Cl2, 2 h, r.t., then appropriate arylpiperazinyl-propanamine 38 or 39, 24 h, r.t. The number in parentheses represents the reaction yields.
Scheme 7. Reagents and conditions: (a) NaOHaq 20%, CH3OH, 9 h, rfx; (b) HOBt, DCC, CH2Cl2, 2 h, r.t., then appropriate arylpiperazinyl-propanamine 38 or 39, 24 h, r.t. The number in parentheses represents the reaction yields.
Molecules 30 04052 sch007
Scheme 8. Reagents and conditions: (a) HOBt, DCC, CH2Cl2, 2 h, r.t., then appropriate arylpiperazinyl-alkylamine (3037, 39), 24 h, r.t. The numbers in parentheses represent the reaction yields.
Scheme 8. Reagents and conditions: (a) HOBt, DCC, CH2Cl2, 2 h, r.t., then appropriate arylpiperazinyl-alkylamine (3037, 39), 24 h, r.t. The numbers in parentheses represent the reaction yields.
Molecules 30 04052 sch008
Figure 3. Dose–response curves of the % ZIKV replication inhibition (black line) and % cell viability (red line) for compound 13 and for control drug sofosbuvir.
Figure 3. Dose–response curves of the % ZIKV replication inhibition (black line) and % cell viability (red line) for compound 13 and for control drug sofosbuvir.
Molecules 30 04052 g003
Figure 4. Dose–response curves of % IAV replication inhibition (black line) and % cell viability (red line) of compound 19 and of control drug EIDD.
Figure 4. Dose–response curves of % IAV replication inhibition (black line) and % cell viability (red line) of compound 19 and of control drug EIDD.
Molecules 30 04052 g004
Figure 5. Dose–response curves of the % SARS-CoV-2 replication inhibition (black line) and % cell viability (red line) of the compounds 12 and 13 and of control drug EIDD.
Figure 5. Dose–response curves of the % SARS-CoV-2 replication inhibition (black line) and % cell viability (red line) of the compounds 12 and 13 and of control drug EIDD.
Molecules 30 04052 g005
Table 1. Arylpiperazinyl-benzocycloheptapyrrole-carboxamides 120.
Table 1. Arylpiperazinyl-benzocycloheptapyrrole-carboxamides 120.
CompoundStructurenmAr
1Molecules 30 04052 i001---
2Molecules 30 04052 i0021-Ph
31-4-Cl-Ph
41-2-Cl-Ph
51-2-OCH3-Ph
61-3-OCH3-Ph
71-2-OC2H5-Ph
81-2-CN-Ph
91-3,4-Cl-Ph
10 *2-Ph
11 *21Ph
12Molecules 30 04052 i0031-Ph
131-4-Cl-Ph
141-2-Cl-Ph
151-2-OCH3-Ph
161-3-OCH3-Ph
171-2-OC2H5-Ph
181-2-CN-Ph
191-3,4-Cl-Ph
2021Ph
* Compounds 10 and 11 do not contain the chlorine atom on the pyrrole ring.
Table 2. Percentage of growth inhibition (GI%) and cytotoxicity (negative values) of in vitro leukemia cell lines for compounds 1, 5, 7, 10, 11, 12, 13, 14, 15, 16, 17, 18, and 20 at 10−5 M (single-dose assay).
Table 2. Percentage of growth inhibition (GI%) and cytotoxicity (negative values) of in vitro leukemia cell lines for compounds 1, 5, 7, 10, 11, 12, 13, 14, 15, 16, 17, 18, and 20 at 10−5 M (single-dose assay).
Leukemia
Cell Line
Compound a
15710111213141516171820
CCRF-CEM75.4871.6461.1776.1461.58
HL-60(TB)−38.55−8.91−30.92−26.7267.2269.5671.7186.56−8.2174.34−23.10
K-56293.9895.8182.5899.43−15.6070.8770.8870.3192.7377.5999.9575.26
MOLT-496.1992.9866.5499.7461.6676.4795.5381.80
RPMI-822698.61b63.3992.0467.3860.8570.1260.0269.13−1.74
SR96.2890.0970.00−19.75−11.9978.6670.7395.5073.62−5.1974.2099.43
a Compound 8 showed only a low GI% activity (62.37%) against the K-562 cell line. b GI% values < 60% and no cytotoxicity.
Table 3. Percentages of growth inhibition (GI%) and cytotoxicity (negative values) of in vitro colon cancer cell lines for compounds 1, 5, 7, 10, 11, 12, 13, 14, 15, 16, 17, 18, and 20 at 10−5 M (single-dose assay).
Table 3. Percentages of growth inhibition (GI%) and cytotoxicity (negative values) of in vitro colon cancer cell lines for compounds 1, 5, 7, 10, 11, 12, 13, 14, 15, 16, 17, 18, and 20 at 10−5 M (single-dose assay).
Colon Cancer/
Cell Line
Compound a
15710111213141516171820
COLO 205−52.22−48.7488.80−58.03−58.61−47.24−59.92
HCC-2998−21.01b−9.32−49.20−18.77−35.63−91.84
HCT-116−25.2794.6476.0695.6796.8465.7866.4665.1988.9270.1095.51
HCT-15−52.6692.4682.0791.2484.7866.4281.0061.2799.04
HT29−32.25−17.4472.69−2.4791.0365.4769.2179.3774.9181.4664.1894.66
KM1283.8367.6873.7278.0070.31
SW-620−30.7867.4380.1486.6760.06−40.23
a Compound 6 showed very low activity (63.97%) against the HCT-116 cell line. b GI% values < 60% and no cytotoxicity.
Table 4. Percentages of growth inhibition (GI%) and cytotoxicity (negative values) of in vitro melanoma cell lines for compounds 1, 5, 10, 11, 12, 13, 14, 15, 17, 18, 19, and 20 at 10−5 M (single-dose assay).
Table 4. Percentages of growth inhibition (GI%) and cytotoxicity (negative values) of in vitro melanoma cell lines for compounds 1, 5, 10, 11, 12, 13, 14, 15, 17, 18, 19, and 20 at 10−5 M (single-dose assay).
Melanoma/
Cell Line
Compound a
1510111213141517181920
LOX IMVI−25.0082.8295.2599.7360.5774.35−69.19
MALME-3M−90.67b−72.64−88.1870.1090.33−84.03
M14−68.50−22.16−59.25−56.0484.85−7.74−69.37
MDA-MB-435−78.1561.8475.11−20.9969.3164.54−21.33
SK-MEL-285.8174.95−78.42−52.93
SK-MEL-28−85.77−29.31−73.6271.48−88.58
SK-MEL-5−88.03−62.59−72.58−94.54−7.83−21.64−3.84−75.22−88.73−67.02−24.28−89.68
UACC-257−55.18−8.50−62.9466.9572.00−58.02
UACC-62−73.43−22.97−59.22
a Compounds 7, 8, and 16 showed moderate to high GI% (77.71%, 75.28%, and 88.63%, respectively) against the SK-MEL-5 cell line, and compound 7 also had a high GI% value (88.63%) against the M14 cell line. b GI% values < 60% and no cytotoxicity.
Table 5. Percentages of growth inhibition (GI%) and cytotoxicity (negative values) of in vitro non-small cell lung cancer panel for compounds 1, 5, 10, 11, 15, 17, 18, and 20 at 10−5 M (single-dose assay).
Table 5. Percentages of growth inhibition (GI%) and cytotoxicity (negative values) of in vitro non-small cell lung cancer panel for compounds 1, 5, 10, 11, 15, 17, 18, and 20 at 10−5 M (single-dose assay).
Non-Small Cell Lung Cancer
Cell Line a
Compound b
15101115171820
EKVX68.7794.2374.1870.8381.6887.5392.8277.16
NCI-H226c75.1564.8760.44
NCI-H2362.2160.20
NCI-H460−54.5879.1690.7398.5869.9783.11
NCI-H52273.4985.4671.4282.24 65.65 92.20
a Compounds showed no activity against A549/ATCC and HOP-62 cell lines. b Compound 7 showed only low GI% values (60.76%) against the NCI-H460 cell line, whereas derivatives 12, 14, and 19 showed low to moderate GI% values (72.30%, 72.65%, and 61.72%, respectively) only against the EKVX cell line. c GI% values < 60% or no cytotoxicity.
Table 6. Percentages of in vitro growth inhibition (GI%) and cytotoxicity (negative values) of in vitro breast cancer panel cell line panel for compounds 1, 10, 11, 13, 14, 15, 17, 18, 19, and 20 at 10−5 M (single-dose assay).
Table 6. Percentages of in vitro growth inhibition (GI%) and cytotoxicity (negative values) of in vitro breast cancer panel cell line panel for compounds 1, 10, 11, 13, 14, 15, 17, 18, 19, and 20 at 10−5 M (single-dose assay).
Breast Cancer/
Cell Line a
Compound b
1101113141517181920
MCF-787.2380.23 90.3472.9882.2178.5095.41
MDA-MB-231/ATCC88.97c61.7162.65
BT-54962.8766.5480.6778.3568.37
T-47D66.2265.8366.07 77.5971.8378.55
MDA-MB-468−3.75−13.75−52.9295.2882.3894.75−3.7898.7294.16−29.55
a Compound 20 was the only one to show a moderate GI% value (72.36%) against the HS%/(T cell line). All the other compounds showed GI% values < 60% and no cytotoxicity. b Compounds 4, 12, and 16 showed a low to moderate GI% values (60.02%, 60.88%, and 72.98%, respectively) against the MCF7 cell line. c GI% values < 60% and no cytotoxicity.
Table 7. Percentage of growth inhibition (GI%) and cytotoxicity (negative values) of in vitro renal tumour cell line panel for compounds 1, 5, 10, 11, 15, 17, 18, and 20 at 10−5 M (single-dose assay).
Table 7. Percentage of growth inhibition (GI%) and cytotoxicity (negative values) of in vitro renal tumour cell line panel for compounds 1, 5, 10, 11, 15, 17, 18, and 20 at 10−5 M (single-dose assay).
Renal Cancer/
Cell Line a
Compound b
15101115171820
786-0−22.6162.9968.7272.8887.02
CAKI-1−27.0377.8789.4291.5361.0071.6462.7184.69
RXF 39379.6789.42−8.69−9.4562.0778.18
SN12Cc71.8260.70
UO-3183.0069.9963.1263.5969.2867.0565.86
a Compounds showed no activity against A489 and ACHN cell lines. b Compound 14 showed only a low GI% value (63.59%) against the UO-31 cell line. c GI% values < 60% and no cytotoxicity.
Table 8. Growth inhibition 50 (GI50) values of in vitro leukemia, colon, and melanoma tumour cell line panels for compounds 1, 10, 11, and 20 at five doses (10−4–10−8 M).
Table 8. Growth inhibition 50 (GI50) values of in vitro leukemia, colon, and melanoma tumour cell line panels for compounds 1, 10, 11, and 20 at five doses (10−4–10−8 M).
Panel/Cell LineCompound
1101120
Leukemia
CCRF-CEM5.96 × 10−68.21 × 10−63.89 × 10−61.07 × 10−5
HL-60(TB)2.60 × 10−65.58 × 10−62.92 × 10−65.06 × 10−6
K-5621.76 × 10−62.58 × 10−62.57 × 10−62.97 × 10−6
MOLT-43.57 × 10−64.97 × 10−62.69 × 10−64.78 × 10−6
RPMI-82262.29 × 10−63.00 × 10−62.20 × 10−63.69 × 10−6
SR2.29 × 10−62.29 × 10−62.49 × 10−60.53 × 10−6
Colon Cancer
COLO 2051.80 × 10−61.92 × 10−61.65 × 10−61.96 × 10−6
HCC-29982.98 × 10−62.51 × 10−61.73 × 10−61.77 × 10−6
HCT-1163.12 × 10−64.83 × 10−63.37 × 10−65.50 × 10−6
HCT-152.31 × 10−64.71 × 10−63.65 × 10−67.78 × 10−6
HT291.86 × 10−63.14 × 10−62.60 × 10−64.03 × 10−6
KM123.02 × 10−64.89 × 10−64.11 × 10−69.38 × 10−6
SW-6201.75 × 10−68.89 × 10−63.57 × 10−63.59 × 10−6
Melanoma
LOX IMVI1.76 × 10−63.62 × 10−62.16 × 10−64.33 × 10−6
MALME-3M1.54 × 10−61.65 × 10−61.90 × 10−62.02 × 10−6
M142.03 × 10−62.78 × 10−61.83 × 10−62.01 × 10−6
MDA-MB-4351.76 × 10−67.88 × 10−62.59 × 10−64.90 × 10−6
SK-MEL-29.38 × 10−61.49 × 10−57.85 × 10−61.37 × 10−5
SK-MEL-281.87 × 10−62.51 × 10−61.75 × 10−62.11 × 10−6
SK-MEL-51.68 × 10−62.71 × 10−61.72 × 10−61.79 × 10−6
UACC-2571.88 × 10−62.29 × 10−61.74 × 10−61.87 × 10−6
UACC-621.87 × 10−69.02 × 10−62.55 × 10−66.93 × 10−6
Table 9. GI50 mean graph midpoint (MG_MID, molar) for NCI cancer panel a for compounds 1, 10, 11, and 20.
Table 9. GI50 mean graph midpoint (MG_MID, molar) for NCI cancer panel a for compounds 1, 10, 11, and 20.
Panel/Cell LineCompound
1101120
Leukemia2.81 × 10−62.95 × 10−62.88 × 10−63.39 × 10−6
Non-Small Cell Lung Cancer7.24 × 10−69.33 × 10−67.08 × 10−610.47 × 10−6
Colon Cancer2.34 × 10−63.98 × 10−62.81 × 10−64.17 × 10−6
CNS Cancer4.79 × 10−616.98 × 10−65.25 × 10−612.02 × 10−6
Melanoma2.14 × 10−64.07 × 10−62.34 × 10−63.39 × 10−6
Ovarian Cancer2.29 × 10−612.30 × 10−67.94 × 10−612.02 × 10−6
Renal Cancer5.25 × 10−68.71 × 10−65.89 × 10−69.12 × 10−6
Prostate Cancer8.13 × 10−66.61 × 10−65.13 × 10−69.55 × 10−6
Breast Cancer4.47 × 10−68.32 × 10−63.47 × 10−66.92 × 10−6
MG_MID4.26 × 10−67.24 × 10−64.47 × 10−66.76 × 10−6
a Each cancer type represents the average of two to nine cancer cell lines.
Table 10. TGI a and LC50 b values of compounds 1, 10, 11, and 20.
Table 10. TGI a and LC50 b values of compounds 1, 10, 11, and 20.
Melanoma/Cell LineCompound
1101120
TGILC50TGILC50TGILC50TGILC50
LOX IMVI3.39 × 10−66.31 × 10−619.50 × 10−685.11 × 10−65.13 × 10−615.85 × 10−615.85 × 10−640.74 × 10−6
MALME-3M2.95 × 10−65.62 × 10−64.36 × 10−615.49 × 10−63.48 × 10−66.46 × 10−63.98 × 10−67.76 × 10−6
M144.36 × 10−69.12 × 10−68.51 × 10−644.67 × 10−63.55 × 10−66.92 × 10−64.17 × 10−68.71 × 10−6
MDA-MB-4353.55 × 10−65.62 × 10−618.62 × 10−640.74 × 10−67.41 × 10−630.20 × 10−617.78 × 10−648.98 × 10−6
SK-MEL-221.34 × 10−646.77 × 10−634.67 × 10−681.28 × 10−620.89 × 10−647.86 × 10−626.91 × 10−653.70 × 10−6
SK-MEL-287.71 × 10−67.24 × 10−68.51 × 10−629.51 × 10−63.31 × 10−66.16 × 10−64.90 × 10−613.18 × 10−6
SK-MEL-53.09 × 10−65.62 × 10−69.77 × 10−629.51 × 10−63.09 × 10−65.62 × 10−63.39 × 10−66.46 × 10−6
UACC-2573.98 × 10−68.51 × 10−66.61 × 10−628.84 × 10−63.39 × 10−66.61 × 10−66.61 × 10−626.91 × 10−6
UACC-623.98 × 10−68.32 × 10−625.12 × 10−669.18 × 10−69.77 × 10−631.62 × 10−619.95 × 10−645.71 × 10−6
a Molar concentration giving total growth inhibition (TGI). b Molar concentration leading 50% to net cell death (LC50).
Disclaimer/Publisher’s Note: The statements, opinions and data contained in all publications are solely those of the individual author(s) and contributor(s) and not of MDPI and/or the editor(s). MDPI and/or the editor(s) disclaim responsibility for any injury to people or property resulting from any ideas, methods, instructions or products referred to in the content.

Share and Cite

MDPI and ACS Style

Murineddu, G.; Di Marzo, C.; Corona, P.; Coinu, S.; Plicanti, E.; Asproni, B.; Piras, S.; Freer, G.; Carta, A. Arylpiperazinyl-Benzocycloheptapyrrole-Carboxamides Endowed with Dual Anticancer and Antiviral Activities. Molecules 2025, 30, 4052. https://doi.org/10.3390/molecules30204052

AMA Style

Murineddu G, Di Marzo C, Corona P, Coinu S, Plicanti E, Asproni B, Piras S, Freer G, Carta A. Arylpiperazinyl-Benzocycloheptapyrrole-Carboxamides Endowed with Dual Anticancer and Antiviral Activities. Molecules. 2025; 30(20):4052. https://doi.org/10.3390/molecules30204052

Chicago/Turabian Style

Murineddu, Gabriele, Carlo Di Marzo, Paola Corona, Silvia Coinu, Erika Plicanti, Battistina Asproni, Sandra Piras, Giulia Freer, and Antonio Carta. 2025. "Arylpiperazinyl-Benzocycloheptapyrrole-Carboxamides Endowed with Dual Anticancer and Antiviral Activities" Molecules 30, no. 20: 4052. https://doi.org/10.3390/molecules30204052

APA Style

Murineddu, G., Di Marzo, C., Corona, P., Coinu, S., Plicanti, E., Asproni, B., Piras, S., Freer, G., & Carta, A. (2025). Arylpiperazinyl-Benzocycloheptapyrrole-Carboxamides Endowed with Dual Anticancer and Antiviral Activities. Molecules, 30(20), 4052. https://doi.org/10.3390/molecules30204052

Article Metrics

Back to TopTop